Lower Intolerance of Uncertainty but Not Behavioral Inhibition Is Associated with Increased Preference for a Novel Context
Abstract
1. Introduction
2. Materials and Methods
2.1. Participants
2.2. Procedure
2.2.1. Questionnaires
2.2.2. Conditioned Place Preference Task
2.3. Data Analysis
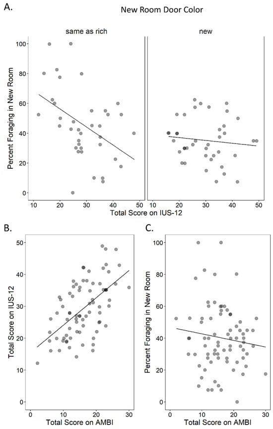
3. Results
4. Discussion
Funding
Institutional Review Board Statement
Informed Consent Statement
Data Availability Statement
Conflicts of Interest
Abbreviations
| CPP | Conditioned place preference |
| BI | Behavioral inhibition |
| IU | Intolerance of uncertainty |
Appendix A
References
- Anselme, P. (2023). Exploratory search: Information matters more than primary reward. Animal Behavior and Cognition, 10(4), 366–383. [Google Scholar] [CrossRef]
- Astur, R. S., Carew, A. W., & Deaton, B. E. (2014). Conditioned place preferences in humans using virtual reality. Behavioural Brain Research, 267, 173–177. [Google Scholar] [CrossRef]
- Astur, R. S., Palmisano, A. N., Carew, A. W., Deaton, B. E., Kuhney, F. S., Niezrecki, R. N., Hudd, E. C., Mendicino, K. L., & Ritter, C. J. (2016). Conditioned place preferences in humans using secondary reinforcers. Behavioural Brain Research, 297, 15–19. [Google Scholar] [CrossRef]
- Bardo, M. T., Neisewander, J. L., & Pierce, R. C. (1989). Novelty-induced place preference behavior in rats: Effects of opiate and dopaminergic drugs. Pharmacology Biochemistry and Behavior, 32(3), 683–689. [Google Scholar] [CrossRef]
- Birch, J. (2012). Worldwide prevalence of red-green color deficiency. Journal of the Optical Society of America A, 29(3), 313–320. [Google Scholar] [CrossRef] [PubMed]
- Carleton, R. N. (2012). The intolerance of uncertainty construct in the context of anxiety disorders: Theoretical and practical perspectives. Expert Review of Neurotherapeutics, 12(8), 937–947. [Google Scholar] [CrossRef]
- Carleton, R. N. (2016). Fear of the unknown: One fear to rule them all? Journal of Anxiety Disorders, 41, 5–21. [Google Scholar] [CrossRef] [PubMed]
- Carleton, R. N., Duranceau, S., Shulman, E. P., Zerff, M., Gonzales, J., & Mishra, S. (2016). Self-reported intolerance of uncertainty and behavioural decisions. Journal of Behavior Therapy and Experimental Psychiatry, 51, 58–65. [Google Scholar] [CrossRef]
- Carleton, R. N., Norton, M. A. P. J., & Asmundson, G. J. G. (2007). Fearing the unknown: A short version of the intolerance of uncertainty scale. Journal of Anxiety Disorders, 21(1), 105–117. [Google Scholar] [CrossRef] [PubMed]
- Childs, E., Astur, R. S., & de Wit, H. (2017). Virtual reality conditioned place preference using monetary reward. Behavioural Brain Research, 322(Pt A), 110–114. [Google Scholar] [CrossRef]
- Clauss, J. A., & Blackford, J. U. (2012). Behavioral inhibition and risk for developing social anxiety disorder: A meta-analytic study. Journal of the American Academy of Child and Adolescent Psychiatry, 51(10), 1066–1075. [Google Scholar] [CrossRef]
- Contractor, A. A., Elhai, J. D., Ractliffe, K. C., & Forbes, D. (2013). PTSD’s underlying symptom dimensions and relations with behavioral inhibition and activation. Journal of Anxiety Disorders, 27(7), 645–651. [Google Scholar] [CrossRef]
- Costa, V. D., Tran, V. L., Turchi, J., & Averbeck, B. B. (2014). Dopamine modulates novelty seeking behavior during decision making. Behavioral Neuroscience, 128(5), 556–566. [Google Scholar] [CrossRef]
- Faillace, M. P., Pisera-Fuster, A., & Bernabeu, R. (2018). Evaluation of the rewarding properties of nicotine and caffeine by implementation of a five-choice conditioned place preference task in zebrafish. Progress in Neuro-Psychopharmacology and Biological Psychiatry, 84, 160–172. [Google Scholar] [CrossRef]
- Freeston, M. H., Rhéaume, J., Letarte, H., Dugas, M. J., & Ladouceur, R. (1994). Why do people worry? Personality and Individual Differences, 17(6), 791–802. [Google Scholar] [CrossRef]
- Gladstone, G., & Parker, G. (2005). Measuring a behaviorally inhibited temperament style: Development and initial validation of new self-report measures. Psychiatry Research, 135(2), 133–143. [Google Scholar] [CrossRef]
- Koerner, N., Mejia, T., & Kusec, A. (2017). What’s in a name? Intolerance of uncertainty, other uncertainty-relevant constructs, and their differential relations to worry and generalized anxiety disorder. Cognitive Behaviour Therapy, 46(2), 141–161. [Google Scholar] [CrossRef] [PubMed]
- Linhardt, M., Kiser, D. P., Pauli, P., & Hilger, K. (2022). Approach and avoidance beyond verbal measures: A quantitative meta-analysis of human conditioned place preference studies. Behavioural Brain Research, 426, 113834. [Google Scholar] [CrossRef] [PubMed]
- Malivoire, B. L., Marcos, M., Pawluk, E. J., Tallon, K., Kusec, A., & Koerner, N. (2019). Look before you leap: The role of negative urgency in appraisals of ambiguous and unambiguous scenarios in individuals high in generalized anxiety disorder symptoms. Cognitive Behaviour Therapy, 48(3), 217–240. [Google Scholar] [CrossRef] [PubMed]
- Muris, P., van Brakel, A. M., Arntz, A., & Schouten, E. (2011). Behavioral inhibition as a risk factor for the development of childhood anxiety disorders: A longitudinal study. Journal of Child and Family Studies, 20, 157–170. [Google Scholar] [CrossRef]
- Myers, C. E., Kostek, J. A., Ekeh, B., Sanchez, R., Ebanks-Williams, Y., Krusznis, A. L., Weinflash, N., & Servatius, R. J. (2016). Watch what I do, not what I say I do: Computer-based avatars to assess behavioral inhibition, a vulnerability factor for anxiety disorders. Computers in Human Behavior, 55, 804–816. [Google Scholar] [CrossRef] [PubMed]
- Myers, C. E., VanMeenen, K. M., & Servatius, R. J. (2012). Behavioral inhibition and PTSD symptoms in veterans. Psychiatry Research, 196(2–3), 271–276. [Google Scholar] [CrossRef] [PubMed][Green Version]
- Parker, L. A. (1992). Place conditioning in a three- or four-choice apparatus: Role of stimulus novelty in drug-induced place conditioning. Behavioral Neuroscience, 106(2), 294–306. [Google Scholar] [CrossRef] [PubMed]
- Radell, M. L., Allen, M. T., Favaloro, B., Myers, C. E., Haber, P., Morley, K., & Moustafa, A. A. (2018). Intolerance of uncertainty and conditioned place preference in opioid addiction. PeerJ, 6, e4775. [Google Scholar] [CrossRef]
- Radell, M. L., & McGuire, B. M. (2021). Intolerance of uncertainty predicts fear of healthcare settings but not desire for testing during the novel coronavirus pandemic. Discover Psychology, 1(1), 10. [Google Scholar] [CrossRef]
- Radell, M. L., Myers, C. E., Beck, K. D., Moustafa, A. A., & Allen, M. T. (2016). The personality trait of intolerance to uncertainty affects behavior in a novel computer-based conditioned place preference task. Frontiers in Psychology, 7, 1175. [Google Scholar] [CrossRef]
- Rosen, N. O., Ivanova, E., & Knäuper, B. (2014). Differentiating intolerance of uncertainty from three related but distinct constructs. Anxiety, Stress & Coping, 27(1), 55–73. [Google Scholar] [CrossRef]
- Sheynin, J., Beck, K. D., Pang, K. C. H., Servatius, R. J., Shikari, S., Ostovich, J., & Myers, C. E. (2014). Behaviourally inhibited temperament and female sex, two vulnerability factors for anxiety disorders, facilitate conditioned avoidance (also) in humans. Behavioural Processes, 103, 228–235. [Google Scholar] [CrossRef]
- Sheynin, J., Moustafa, A. A., Beck, K. D., Servatius, R. J., Casbolt, P. A., Haber, P., Elsayed, M., Hogarth, L., & Myers, C. E. (2016). Exaggerated acquisition and resistance to extinction of avoidance behavior in treated heroin-dependent males. The Journal of Clinical Psychiatry, 77(3), 386–394. [Google Scholar] [CrossRef]
- Sheynin, J., Shind, C., Radell, M., Ebanks-Williams, Y., Gilbertson, M. W., Beck, K. D., & Myers, C. E. (2017). Greater avoidance behavior in individuals with posttraumatic stress disorder symptoms. Stress, 20(3), 285–293. [Google Scholar] [CrossRef]
- Tzschentke, T. M. (2007). Measuring reward with the conditioned place preference (CPP) paradigm: Update of the last decade. Addiction Biology, 12(3–4), 227–462. [Google Scholar] [CrossRef] [PubMed]



| 95% CI for B | |||||
|---|---|---|---|---|---|
| Included | B (SE) | Lower | Upper | β | p |
| intercept | 79.11 (10.75) | 57.68 | 100.54 | <0.001 | |
| BI | 0.25 (0.44) | −0.63 | 1.14 | 0.07 | 0.573 |
| IU | −1.30 (0.38) | −2.07 | −0.54 | −0.56 | 0.001 |
| door color | −39.39 (14.88) | −69.06 | −9.72 | 0.010 | |
| door color × IU | 1.02 (0.49) | 0.05 | 1.99 | 0.041 | |
Disclaimer/Publisher’s Note: The statements, opinions and data contained in all publications are solely those of the individual author(s) and contributor(s) and not of MDPI and/or the editor(s). MDPI and/or the editor(s) disclaim responsibility for any injury to people or property resulting from any ideas, methods, instructions or products referred to in the content. |
© 2025 by the author. Licensee MDPI, Basel, Switzerland. This article is an open access article distributed under the terms and conditions of the Creative Commons Attribution (CC BY) license (https://creativecommons.org/licenses/by/4.0/).
Share and Cite
Radell, M.L. Lower Intolerance of Uncertainty but Not Behavioral Inhibition Is Associated with Increased Preference for a Novel Context. Psychol. Int. 2025, 7, 69. https://doi.org/10.3390/psycholint7030069
Radell ML. Lower Intolerance of Uncertainty but Not Behavioral Inhibition Is Associated with Increased Preference for a Novel Context. Psychology International. 2025; 7(3):69. https://doi.org/10.3390/psycholint7030069
Chicago/Turabian StyleRadell, Milen L. 2025. "Lower Intolerance of Uncertainty but Not Behavioral Inhibition Is Associated with Increased Preference for a Novel Context" Psychology International 7, no. 3: 69. https://doi.org/10.3390/psycholint7030069
APA StyleRadell, M. L. (2025). Lower Intolerance of Uncertainty but Not Behavioral Inhibition Is Associated with Increased Preference for a Novel Context. Psychology International, 7(3), 69. https://doi.org/10.3390/psycholint7030069

