Abstract
Swearing, a highly emotive form of expression, has recently attracted growing interest from researchers. Yet, swearing is still largely unexamined as a form of self-talk among professional athletes, coaches, and casual exercisers. This study aims to fill that gap by creating and validating the Use of Swear Words in Sport and Exercise Questionnaire (USWSEQ), an innovative instrument intended to assess how often athletes, coaches, and recreational exercisers utilize common swear words. The questionnaire was administered to 513 participants and underwent exploratory (n = 333) and confirmatory (n = 180) factor analyses to evaluate its content structure, reliability, and validity. Results confirmed a robust two-factor model: (1) Self/Other Degradation, and (2) Situational Swearing. Notably, the study emphasizes the complexity involved in researching language, because swear words can be semantically ambiguous, pragmatically flexible, and deeply embedded in culture. These attributes present challenges for conventional psychometric methods and highlight the importance of function-based and context-aware frameworks.
1. Introduction
Self-talk (ST) is defined as “verbalizations or self-statements addressed to the self” (J. Hardy, 2006, p. 84). A key distinction exists between overt ST, which is spoken aloud and can heard by others, and covert ST, which occurs silently as internal dialogue. Across both competitive and recreational sports, ST is recognized as a powerful psychological tool, aiding in performance optimization (Cabral et al., 2024). One form of ST that remains overlooked in sport psychology is swearing, a unique and emotionally charged linguistic phenomenon (Vingerhoets et al., 2013). Swearing is considered a distinct and more powerful form of language, as it often elicits stronger emotional responses and carries a unique communicative impact (Stapleton et al., 2022) and can serve both spontaneous and goal-directed functions (Latinjak et al., 2014). Spontaneous ST emerges naturally and unintentionally, serving as a way for expressing thoughts and emotions in response to a situation, whereas goal-directed ST is intentionally employed to navigate challenges, boost motivation, enhance self-efficacy, and regulate emotions. Recent research revealed that swearing can enhance physical performance and improve pain tolerance (Hay et al., 2024; Washmuth et al., 2024), emphasizing its relevance in athletic contexts. However, despite its apparent value, measures of swearing are missing, and thus the phenomenon lacks research and ecological evidence.
Swearing is taboo or offensive language used to express strong emotions (Vingerhoets et al., 2013). Jay (2009) maintained that English-language taboos primarily involve terms related to sexuality, religion, bodily functions, animals, and vulgar slang (i.e., everyday insults or colloquial expressions not specifically related to sexuality or bodily functions), as these words carry strong cultural and social connotations that make them offensive in many contexts. Swearing is considered as a fundamental characteristic of languages and cultures (Jay, 2009; Ljung, 2010). For a word to qualify as a swear word, it must convey strong emotions such as fear, joy, rage, and enthusiasm, and carry significant emotional intensity or attitudes, thereby reflecting, or appearing to reflect, the speaker’s feelings and perspectives (Jay, 2009; Ljung, 2010). Thus, emotion emerges as a central element in both everyday perceptions and academic analyses of swearing.
1.1. The Ergogenic Benefits of Swearing
Swearing received little academic attention, likely due to its reputation as “distasteful” and “unworthy of serious scholarship” (Stapleton & Beers Fägersten, 2023). However, the potential benefits of swearing have been revealed in the last decade. Stapleton et al. (2022), in a literature review, emphasized the distinctive influence of swearing, pointing to its psychological, physiological, and emotional effects, as well as its unique communicative functions that are not replicated by other forms of language.
Building on Stapleton et al.’s (2022) findings, a recent review by Hay et al. (2024) concluded that swearing consistently induces hypoalgesic effects, as demonstrated across multiple studies. These effects include attenuating acute pain responses by increasing pain tolerance and pain threshold while decreasing perceived pain. Similarly, Washmuth et al. (2024) found swearing to consistently improve physical performance across studies. They further emphasized that swearing is easily accessible, cost-effective, and a powerful ergogenic aid (i.e., performance-enhancing). These reviews revealed that swearing, as part of one’s ST, can be highly effective in various situations, particularly in the context of sport and exercise. In these settings, where maximizing physical performance is a constant pursuit, managing physical pain and discomfort is crucial, and the ability to control and navigate emotions effectively is essential, swearing emerges as a valuable means for addressing both physical and emotional challenges, making it a practical strategy for achieving goals.
Swearing is often considered a taboo activity, leading to the expectation that its use would be rare. However, Jay (2018) observed that “where humans go, swearing will follow” (p. 121). Most people admit that swearing is used “sometimes” or “often”, and perceive it as both a highly frequent and highly offensive behavior (Rosenberg et al., 2017), known as the “Swearing Paradox” (Beers Fägersten, 2012). For example, Love (2021) maintained that the word fuck became a highly frequent and productive swear word, despite being considered one of the strongest bad language words of all.
Although swearing is inherently considered a taboo activity, to the best of our knowledge, no data currently exist on the amount of swearing in sport and exercise contexts. Because swearing is prevalent in many areas of life, it likely occurs in sport and exercise as well. In these domains, athletes and coaches often face various challenges and pressures that may elicit swearing as a common behavior.
1.2. ST Models and Measurement: Conceptual Gaps
J. T. Hardy et al. (2009) proposed an integrative framework that conceptualizes ST through four key functions: cognitive, motivational, behavioral, and affective. Cognitive ST enhances attention regulation and decision-making, motivational ST fuels effort and persistence, behavioral ST supports skill execution (for instance, using technical cues), and affective ST manages emotions like frustration and anxiety. Although this model provides a detailed perspective on ST in sports, it tends to focus narrowly on conventional and socially acceptable expressions. While it recognizes that ST can be negative or emotionally charged, it generally presents these expressions in sanitized language such as “don’t give up” or “stay focused”, overlooking the more emotionally intense, spontaneous language that sportspeople are likely to resort to in high-pressure or challenging situations. In reality, words like “fuck”, “shit”, or other culturally specific expletives frequently emerge in both training and competitions. Such expressions may fulfill the very functions noted in the framework, boosting motivation, regulating arousal, alleviating frustration, or helping to withstand pain; however, they are notably absent from theoretical discussions. This gap likely arises from underlying assumptions about what is deemed “appropriate” or “professional” language in sports and exercise psychology, alongside a tendency to view swearing as socially unacceptable rather than as psychologically useful. These assumptions undermine the model’s ecological validity, as they overlook the authentic expressions athletes use in emotionally charged situations. To advance this domain, we consider ST as a self-expression not always as a polished script; it can be raw, impulsive, taboo, yet still effective. Incorporating swearing into ST theory would enhance our grasp of a self-directed speech’s dynamic and emotionally intricate nature, better mirroring the linguistic realities faced in performance settings.
Furthermore, the minimal theoretical exploration of swearing in ST literature is also mirrored in the assessment tools typically used in sports and exercise contexts. Commonly used ST questionnaires (as noted by Karamitrou et al., 2024) do not examine the particular words (i.e., content) individuals choose. Instead, these tools focus on broad statements (e.g., “I can do this”, “stay focused”) and neglect the nuanced lexical elements of ST, missing important linguistic and emotional subtleties. In contrast, some instruments, like the Thought Occurrence Questionnaire for Sport (TOQS) (Hatzigeorgiadis & Biddle, 2000) and the Automatic ST Questionnaire for Sports (ASTQS) (Zourbanos et al., 2009), do aim to evaluate the content of ST. However, they have faced criticism for being outdated. Karamitrou et al. (2024) noted that the ASTQS needs refinement to align with modern views on ST. We concur and emphasize that a vital next step is incorporating emotionally charged or taboo words, especially swearing, into ST assessments. This oversight is significant because it ignores an essential aspect of genuine verbal behavior: the use of emotionally potent, raw, and often socially unacceptable language, particularly during intense pressure, fatigue, or frustration. Ignoring the specific language athletes, coaches and exercisers likely use, including swearing, creates a sanitized view of ST that lacks ecological validity. These existing tools fail to acknowledge people’s spontaneous, intense, and occasionally vulgar verbal strategies to manage emotions, boost motivation, or endure discomfort. It is important to note that recent developments, such as the Organic ST Questionnaire for Sport (OSTQS) (Karamitrou et al., 2024), strive to address these shortcomings by capturing natural, spontaneous, and intentional ST as it occurs during performance. Although the OSTQS marks a considerable improvement, it fails to evaluate the inclusion of swear words or culturally sensitive expressions. This gap is still pertinent given the substantial anecdotal and empirical support for using such strong language (Hay et al., 2024; Washmuth et al., 2024). We aim to bridge this gap by presenting a tool specifically designed to evaluate swearing as a form of ST. This measure seeks to provide a more authentic, culturally significant, and psychologically accurate depiction of verbal self-regulation in sports and exercise contexts.
1.3. The Aim of the Study
Although swearing has garnered growing academic interest in recent years, its advancement in sport and exercise remains limited. To our knowledge, no study has specifically explored the concept of swearing as part of athletes’ and coaches’ ST despite being a visible and audible part of the sporting experience. Since swearing has been shown to enhance physical output and provide a hypoalgesia effect (Hay et al., 2024; Washmuth et al., 2024), it is essential to recognize its role within sport and exercise contexts. Therefore, this study aims to address this gap by developing a novel questionnaire to investigate swearing as an integral component of ST among athletes and coaches. The study seeks to identify the most frequently used swear words, categorize their usage through exploratory and confirmatory factor analyses, and evaluate their perceived effectiveness in training and competition contexts. Furthermore, it examines differences in swearing patterns across various groups, including team versus individual sport participants, male versus female athletes and coaches, and professional versus recreational athletes and coaches.
2. Materials and Methods
2.1. Initial Sampling and Procedure for Items’ Generation
To compile a comprehensive list of the most used swear words among athletes and coaches, 15 professional athletes and coaches were recruited. They aged M = 33.07, SD = 11.98, representing both male (n = 11) and female (n = 4) from different sporting disciplines (basketball n = 4, soccer n = 5, modern pentathlon n = 1, Olympic weightlifting n = 1, swimming n = 1, powerlifting n = 2, bodybuilding n = 1, mixed martial arts n = 1). Recruitment efforts included social media advertising, direct outreach to athletes receiving mental services, and referrals from colleagues. To acquire representative data on swearing behaviors in sports, participants were engaged in structured phone interviews, each lasting approximately 10 min. Before beginning the interview, participants were informed about the study’s objectives and assured of the confidentiality of their responses. During the interview, participants were asked the following questions: (1) “During training and competitions, do you personally use any swear words? If yes, please list the 10 swear words you use most frequently”, and (2) “If you do not use swear words during training and/or competitions, are there any specific swear words you have frequently heard from other athletes or coaches? Please list them”. For those participants who acknowledged using swear words, a follow-up question was presented: “Please indicate the reason you use swear words during training and competitions”. To ensure thorough data collection, we also asked, “Are there any other reasons you might swear as a part of your ST?” and provided examples of challenging scenarios in training and competition that might prompt a swearing response. The responses from the initial inquiry guided the development of two instruments: the Use of Swear Words in Sport and Exercise Questionnaire (USWSEQ) and the Reasons for Swearing in Sport and Exercise Questionnaire (RSSEQ). The development process of the USWSEQ is reported herein. The initial list of 25 swear words is presented in Table 1. The research took place in Israel, involving participants who were all native Hebrew speakers. Due to the region’s linguistic diversity and the casual language culture in Israeli sports, several participants naturally mentioned swear words in Hebrew, English, and Arabic. The questionnaires were given in Hebrew, yet participants recorded the swear words in the language they usually use in training or competitions. To ensure clarity and consistency, all swear words were translated into English for the purposes of this report. The initial compilation of 25 swear words in Table 1 encompasses all the unique swear words shared by participants during the interview phase. Each participant was requested to provide between five and ten swear words they regularly use in their ST during training and competition. The 25 terms reflect all the distinct swearing expressions identified in the sample, without any filtering or omissions at this point. Therefore, the list consists of participant input rather than being derived from the researchers’ subset.
Table 1.
The 25 swear words identified by athletes and coaches.
2.2. Data Generation
Recruitment of participants was conducted through social media advertisements, email outreach to sport organizations to engage their athletes and coaches, and by asking peers who work with athletes to distribute the questionnaires. To recruit participants effectively, an incentive was provided: all participants were offered entry into a lottery, with three winners receiving a spa package. Data collection was facilitated using the Google Forms platform. The sample comprised both active and retired competitive coaches and athletes, as well as recreational exercisers. Participants were recruited from various competitive backgrounds, representing different levels of competition. Competitive athletes and coaches were eligible for inclusion if they had competed within the past 12 months in a recognized league or tournament at the regional, national, or international level. This criterion included involvement in professional leagues, major national championships, or internationally sanctioned events, ensuring that the participants maintained experience in structured competitive environments.
Recreational exercisers, on the other hand, were included if they had adhered to an exercise regimen for at least 6 months, training at least twice per week, without competing in formal leagues or tournaments. For retired athletes and coaches, inclusion consisted of their declaration of previous competitive or coaching involvement at a recognized level (regional, national, or international). Although they were no longer actively competing or coaching, these participants indicated past engagement in structured, competitive sports, aligning them with the profile of current athletes and coaches in terms of professional experience. We recognize that involving retired athletes and coaches could lead to some retrospective bias, especially regarding the accuracy of recalling swearing behavior. Nevertheless, our main objective at this point was to create a thorough and ecologically valid pool of items that reflected genuine language use across various sporting roles. To reduce possible bias, the interviewer prompted participants to remember specific instances during training or competition where swearing might have taken place, encouraging more precise and context-oriented responses. Moreover, we found that both retired and active participants reported largely the same swear words, indicating consistent recall between groups. These measures were implemented to improve data reliability and ensure that the items were based on authentic language used in sport and exercise settings. The diverse participant pool provided a comprehensive dataset for conducting exploratory factor analysis (EFA), ensuring the findings reflect a broad spectrum of athletic experiences and recreational exercisers. While there are differences in the structure and competitiveness of sports and exercise, both share elements of physical exertion, emotional engagement, and goal-oriented activities. These environments are essential for examining the role of swearing as a practical part of ST. This study aims to gather extensive data from all participants involved in both sports and exercise, including athletes, coaches, and casual exercisers, filling a gap as prior research lacked a comprehensive analysis of swearing within such a diverse group.
About 333 participants were recruited (Mage = 32.8, SD = 12.7), including 172 females (51.6%), 157 males (47.2%), and 4 participants (1.2%) who selected “Prefer not to say”. Of these, 156 (46.8%) were competitive athletes or coaches, and 177 (53.2%) were recreational athletes. Regarding education, 147 (44.1%) held a high school diploma, 98 (29.4%) a bachelor’s degree, 61 (18.3%) master’s degree, 1 (0.3%) a PhD, and 26 (7.8%) reported “Other”. Regarding sports experience, 140 (42.0%) had more than 10 years, 83 (24.9%) 6–10 years, 77 (23.1%) 3–5 years, 28 (8.4%) 1–2 years, and 5 (1.5%) had less than one year. Of these, 24 (7.2%) trained more than 20 h per week, 36 (10.8%) 16–20 h, 69 (20.7%) 11–15 h, 147 (44.1%) 5–10 h, and 57 (17.1%) trained fewer than 5 h per week.
2.3. Instrumentation
Demographic questionnaire (DM). The DM was designed to gain information about demographic variables such as age, gender (relying on the participants’ self-reported biological sex), nationality, educational background, the primary sport of interest, weekly hours of training, and years of experience.
The Use of Swear words in Sport and Exercise Questionnaire (USWSEQ). The initial pool of items (see Table 1) was used to generate the swearing use is sport and exercise. Participants were asked to rate the amount with which they used each swear word as part of their ST on a scale ranging from 1 (never) to 5 (very frequently). For each swear word they acknowledged using, they were then asked to rate how much it helps them function during training and competition on a scale ranging from 1 (not helpful at all) to 5 (very helpful). If participants refrained from answering a particular swear word (by selecting 1, Never), they were instructed to skip the follow-up question regarding its perceived impact on their performance.
The Competitive Aggressiveness and Anger Questionnaire (CAAS; Maxwell & Moores, 2007). The CAAS is a 12-item self-report questionnaire designed to measure athletes’ perceived aggressiveness and anger during athletic competitions. The CAAS is partitioned into two 6-item subscales: one for anger and one for aggressiveness. It employs a 5-point Likert-type scale ranging from 1 (almost never) to 5 (almost always) for responses. A sample item from the anger subscale is as follows: “I find it difficult to control my temper during a match”. A sample item from the aggressiveness subscale is as follows: “It is acceptable to use illegal physical force to gain an advantage”. Confirmatory factor analysis conducted by the authors indicated robust internal consistencies for the subscales and the overall scale score, with Cronbach’s alpha coefficients for anger (α = 0.78), aggressiveness (α = 0.84), and the total scale (α = 0.87).
The Brief Aggression Questionnaire (BAQ; Webster et al., 2014). The BAQ is a 12-item self-report measure designed to assess trait aggression, derived from the Buss–Perry Trait Aggression Scale (Buss & Perry, 1992). Participants are required to rate the extent to which various statements reflecting behaviors and emotions are characteristic of themselves, on a 5-point Likert-type scale ranging from 1 (strongly disagree) to 5 (strongly agree). The BAQ measures aggression across four subdimensions: physical aggression (e.g., “Given enough provocation, I may hit another person”), verbal aggression (e.g., “I tell my friends openly when I disagree with them”), hostility (e.g., “Other people always seem to get the breaks”), and anger-related emotion (e.g., “I have trouble controlling my temper”). Scores for these dimensions are averaged to yield a global score, with higher scores indicating higher levels of trait aggression. The BAQ is a valid and reliable measure, demonstrating strong and significant temporal stability, ranging from 0.68 to 0.80 across the four subscales, and reaching 0.81 for the overall BAQ (Webster et al., 2015). It also demonstrates robust convergent validity with established measures of aggression, including strong correlations ranging from r = 0.75–0.85 with the Buss–Perry Aggression Questionnaire (Webster et al., 2014). Cronbach’s alpha reliability of the total questionnaire in the current study was 0.71.
All instruments were administered in Hebrew. Since the original questionnaires were developed in English and no validated Hebrew versions existed, we conducted a translation and back-translation process in line with Brislin’s (1986) guidelines to guarantee conceptual equivalence. Two bilingual experts reviewed and addressed any discrepancies.
2.4. Procedure
Prior to data collection, ethics clearance was obtained from the university IRB committee. Participants were informed about the purpose of the study, assured of their anonymity and confidentiality, and provided informed consent before proceeding. Data collection was conducted electronically using Google Forms, with participants first completing a demographic questionnaire, followed by USWSEQ. Subsequently, aggression-related measures were administered: the CAAS and the BAQ were given to athletes and coaches, while recreational exercisers completed only the BAQ.
The sample size for the EFA phase adhered to empirical recommendations for factor analysis (Hair et al., 2019), ensuring sufficient statistical power and robust analysis of the data. An EFA using maximum likelihood (ML) method followed by oblimin rotation was conducted to generate the initial factor structure of the USWSEQ. The suitability of the data was assessed using the Kaiser–Meyer–Olkin (KMO) measure of sampling adequacy and Bartlett’s Test of Sphericity (BTS). Factors were determined by the criterion of Eigenvalues > 1. Though the exploratory factor analysis was performed in the first stage, insights into the psychological roles of swearing guided the interpretation of the factors that emerged.
3. Results
EFA with ML was performed on the 25 items of the initial USWSEQ with the aim of exploring its underlying factor structure. Item coefficients below 0.40 were suppressed as often as recommended (Nunally, 1978; Raykov & Marcoulides, 2011). The KMO measure of sampling adequacy stood at 0.884, while Bartlett’s Test of Sphericity was significant, χ2 (300) = 3257.94, p < 0.001, indicating that the items possessed sufficient common variance for factor analysis, thus confirming the dataset’s appropriateness for conducting EFA. In the first EFA, a 6-factor structure emerged, explaining 49.53% of the variance. Items F8, F13, F14, F20, F24, and F25 were excluded due to insufficient loadings (<0.40). In the second EFA, a 5-factor structure was identified, accounting for 50.46% of the variance, with items F18 and F21 also removed for similar reasons (<0.40). The third EFA revealed a 4-factor structure explaining 51.31% of the variance, leading to the removal of item F9 due to cross-loadings on Factor 2 (0.45) and Factor 3 (0.47) (Boateng et al., 2018). The fourth EFA resulted in a 4-factor structure accounting for 51.31% of the variance; however, the items in Factor 4 were conceptually redundant with those in Factor 1 (all items pertain to undermining a person’s intellectual abilities), which led to their merger. Ultimately, this process produced a finalized 3-factor structure without additional cross-loadings. Of the original 25 items, 16 were retained for the subsequent confirmatory factor analysis (CFA), and are presented in Table 2.
Table 2.
EFA 3-factor pattern solution following oblimin rotation (items with loadings ≥ 0.40 retained).
The final 3-factors were defined as follows: (1) Intellectual Degradation (Factor 1; 6 items)—items that undermine an individual’s intelligence or cognitive abilities, focusing on themes that attack mental capacity; (2) Sexual Degradation (Factor 2; 6 items)—items that employ sexualized language to insult or degrade others, referring to sexual identity, preferences, behaviors, and roles (e.g., “whore”), aimed at reducing perceived status or worth; and (3) Expression of Frustration (Factor 3; 4 items)—terms primarily used to express anger or irritation, serving as emotional outlets rather than direct insults. This refined structure set the stage for the subsequent Confirmatory Factor Analysis (CFA).
3.1. Confirmatory Factor Analysis (CFA)—Sampling and Procedure
The CFA aimed to test the factor structure established by the EFA, verifying the reliability and validity of the identified 3-factor structure of swearing words. About 180 new participants were included in the CFA procedure (Mage = 32.28, SD = 11.01), of whom 82 (45.8%) were female, 96 (53.6%) were male, and 2 (0.6%) were unspecified. Of these, 87 (48.6%) were competitive athletes, coaches, or retired competitive individuals; 92 (51.4%) were recreational athletes; and one (0.6%) was unspecified. A total of 60 competitive athletes and coaches reported participating in individual sports, while 26 reported participating in team sports. We followed an identical protocol to that performed in the EFA stage, including similar incentives, to maintain consistency and ensure comparability of results. CFA was conducted to evaluate the measurement model. Reliability was assessed using Cronbach’s alpha, with values exceeding the recommended threshold (α > 0.70; Nunally, 1978). Composite Reliability (CR) (≥0.70) and Average Variance Extracted (AVE) (≥0.50) were also calculated to further evaluate construct reliability and convergent validity, and the Heterotrait–Monotrait ratio of correlations (HTMT) was used to assess discriminant validity. Model fit was evaluated using several statistical indices in line with Kline’s (2015) guidelines: Chi-square to degrees of freedom ratio (CMIN/df ≤ 3), Comparative Fit Index (CFI ≥ 0.90), Tucker–Lewis Index (TLI ≥ 0.90), Root Mean Square Error of Approximation (RMSEA ≤ 0.08), and Standardized Root Mean Square Residual (SRMR < 0.08).
Consisting of the hypothesized 3-factor structure, the initial CFA model (Model 1) was conducted on the full set of items (see Table 3). However, the model demonstrated a poor fit to the data, indicating the need for model refinement. To improve the model’s adequacy, items with high residual variances (i.e., >1) were identified and removed. The model was then re-evaluated, and further adjustments were applied based on modification indices. These revisions resulted in a substantially improved and acceptable fit in the updated model (Model 2) (see Table 3). Internal consistency was acceptable for all three factors, with Cronbach’s alpha values of 0.71, 0.82, and 0.77, and CR values of 0.72, 0.83, and 0.77 for Factors 1, 2, and 3, respectively. AVE ranged from 0.47 to 0.53, supporting acceptable convergent validity (Hair et al., 2019).
Table 3.
Goodness-of-fit statistics for all models.
Despite the improved model fit, discriminant validity concerns emerged (see Table 4). The Fornell–Larcker criterion (Fornell & Larcker, 1981) revealed that the square root of the AVE for Factor 1 (0.68) was lower than its correlation with Factor 2 (0.97). Additionally, the HTMT value between Factors 1 and 2 was 0.97, exceeding the accepted threshold of 0.85. These results indicate a substantial lack of discriminant validity between the two factors. Considering both statistical evidence and theoretical considerations, specifically that both factors reflected swearing intended to degrade a person, whether directed at the self or an opponent, we chose not to retain separate factors for intellectual and sexual degradation. Instead, these dimensions were merged into a single dimension labeled Self/Other Degradation.
Table 4.
Discriminant validity of the measures (Fornell–Larcker criteria).
A revised CFA model was then tested with a 2-factor structure comprising Self/Other Degradation as Factor 1 and Situation-Focused Swearing as Factor 2 (which refers to the use of swear words in response to frustrating or difficult situations rather than targeting a person and serves a cathartic emotional purpose by helping to release emotional tension). To improve model fit, two items were removed (F2 from Factor 1 and F22 from Factor 2). The final 2-factor model demonstrated improved fit across all indices, indicating an acceptable overall fit (see Table 5). Discriminant validity was supported by an HTMT value of 0.56 between Factor 1 and Factor 2, which is well below the recommended threshold of 0.85, indicating a clear distinction between the two constructs.
Table 5.
Goodness-of-fit statistics for the two models.
Cronbach’s alpha and CR were acceptable for both factors (Factor 1: α = 0.87, CR = 0.87; Factor 2: α = 0.70, CR = 0.71), and AVE values were 0.39 and 0.45, respectively (see Table 6). Although the AVE for Factors 1 and 2 were slightly below the recommended 0.50 threshold, their high CR indicates acceptable convergent validity in line with recommendations from recent literature (Hair et al., 2019). Figure 1 illustrates the final model.
Table 6.
Measurement properties of reflective constructs (N = 180).
Figure 1.
Best fitted model (Model 2).
3.2. Validity Procedures
The primary goal of the study was to investigate variations in swearing habits among different demographic and professional groups, such as gender, occupation, and sport type. These comparisons were exploratory due to a lack of theoretical models focusing on swearing behavior in the contexts of sports and exercise. Although not guided by specific hypotheses, the exploratory and confirmatory analyses enable the development and validation of the USWSEQ.
3.3. Construct Validity
A multivariate analysis of variance (MANOVA) was performed to examine the effects of gender (males vs. females), profession (competitive vs. recreational), and sport type (individual vs team) on the two swearing factors. Gender resulted in a significant but small multivariate effect, Wilks’ = 0.97, F(2, 506) = 6.97, p = 0.001, η2 = 0.02. Follow-up ANOVAs revealed a negligible effect on Self/Other Degradation, F(1, 507) = 6.25, p = 0.013, η2 = 0.01, with males reporting slightly higher usage than females. No significant effect was revealed for Situational-Focused Swearing, F(1, 507) = 3.20, p = 0.074, η2 = 0.006. Profession revealed a moderate multivariate effect, Wilks’ = 0.89, F(2, 508) = 31.32, p < 0.001, η2 = 0.11. Follow-up ANOVA revealed a moderate effect of occupation on Situational-Focused Swearing, F(1, 508) = 61.50, p < 0.001, η2 = 0.108, indicating greater usage among recreational than competitive athletes, with no significant effects on the 2nd factor (p = 0.896). Sport type resulted in a non-significant multivariate effect, Wilks’ = 0.984, F(2, 248) = 2.02, p = 0.135, η2 = 0.016, indicating a small and negligible overall effect. Overall, gender had a minor effect on Self/Other Degradation, profession moderately influenced Situational-Focused Swearing, and sport type had no meaningful impact.
3.4. Convergent Validity
The convergent validity of the USWSEQ was tested by examining its correlations with the BAQ and CAAS questionnaires (see Table 7). In this study, we utilized the composite scores from these instruments to generalize participants’ overall aggressive tendencies related to swearing behaviors. This choice aimed to identify broad trends in convergent validity during the scale’s development phase.
Table 7.
Pearson Product Moment Correlations between Use of Swear Words (USWSEQ) and its factors, The Brief Aggression Questionnaire (BAQ) and its factors, and Competitive Aggression in Sport Scale (CAAS) and its factors.
A significant positive low correlation between the USWSEQ and the BAQ (r = 0.33, p < 0.001) as well as the CAAS (r = 0.21, p = 0.008) were evident. Intellectual Degradation shared low positive associations with Anger—CAAS (r = 0.15, p = 0.048) and Hostility—CAAS (r = 0.13, p = 0.017), with no significant links to other factors. Sexual Degradation was uncorrelated (p > 0.05) with the aggression and anger scales. Expression of Frustration shared stronger relationships, correlating significantly with Physical Aggression—BAQ (r = 0.17, p = 0.002), Anger—BAQ (r = 0.32, p < 0.001), Verbal Aggression—BAQ (r = 0.31, p < 0.001), and Hostility—BAQ (r = 0.25, p < 0.001), but not with CAAS factors (p > 0.05). The CAAS and BAQ encompass various forms of aggression.
3.5. Amount and Effectiveness of Identified Swear Words
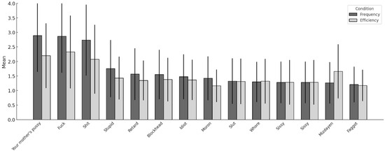
The most frequently used swear words and their perceived effectiveness were contrasted by incorporating data from the EFA and CFA participants. The findings revealed that “your mother’s pussy” (F1), “fuck” (F4), and “shit” (F5), all of which belong to the Expression of Frustration factor, were the three most reported swear words (see Figure 2). Interestingly, these terms were also rated as the most effective, indicating that the most frequently used swear words are perceived as the most effective.
Figure 2.
Means and standard deviations of the most frequently used swear words and their subjective helpfulness ratings. Note: error bars represent ±1 standard error of the mean.
3.6. Temporal Stability
The data from 92 participants who responded in the EFA sample at two different times, separated by a three-month interval, were used to estimate the temporal stability of the USWSEQ. Spearman correlations for each item resulted in coefficients ranging between 0.62 and 0.92 (all p < 0.001), which indicates strong temporal stability across the measured items.
4. Discussion
This study aimed to develop a valid and reliable tool to assess swearing as a component of self-talk (ST) among athletes, coaches, and recreational exercisers. Despite swearing’s longstanding cultural presence (Jay, 2009; Ljung, 2010), scholarly attention to its psychological and functional roles has emerged only recently (Beck et al., 2024; Hay et al., 2024; Stapleton et al., 2022; Washmuth et al., 2024), often being dismissed as trivial (Stapleton & Beers Fägersten, 2023). This research addresses that gap by introducing the USWSEQ, a psychometrically sound questionnaire that captures swearing behaviors in sport and exercise contexts.
The initial EFA indicated a 3-factor model, distinguishing between swear words related to sexual degradation and intellectual degradation. This conceptual division initially appeared reasonable, as the items represented different insult categories: some focusing on gender or sexual identity (e.g., “whore”, “faggot”), while others addressing cognitive incompetence or poor decision-making (e.g., “idiot”, “blockhead”). However, the CFA–HTMT analysis revealed a very high correlation (r = 0.97) between these two factors, indicating a lack of discriminant validity. Further theoretical reflection and item-level inspection showed that the common denominator of both categories was the function of personal insult, directed either toward the self or others (i.e., teammates, opponents, etc.). Consequently, we decided to merge the two factors into a single dimension representing Self/Other-directed Degradation, encompassing swear words whose primary function is to demean, criticize, or attack an individual. The distinction between the remaining factors, Self/Other Degradation and Situational-Focused Swearing, is supported by empirical findings that address the functions of swearing as a form of ST. Self/Other Degradation mainly involves swearing to express criticism, frustration, or aggression directed at oneself or others, as part of one’s internal or external dialogue. This category reflects self-evaluative processes or venting negative emotions (Jay & Janschewitz, 2008; Stapleton et al., 2022). In contrast, Situational-Focused Swearing serves as a strategy for emotional regulation, assisting individuals in coping with situational stress, pain, or frustration without directing negativity toward anyone (Stephens & Robertson, 2020; Beck et al., 2024). While the two categories capture distinct psychological mechanisms (i.e., self-criticism versus situational coping), it is essential to recognize that swearing often serves multiple, overlapping functions depending on context, emotional state, and individual differences (Jay & Janschewitz, 2008; Sulpizio et al., 2024). For example, swearing, categorized as Self/Other Degradation, may also serve as a self-regulation strategy. To illustrate, an athlete might use such language internally to manage frustration without escalating conflict, thinking, “This guy is an idiot, let it go, it’s not worth it”. This illustrates how swear words can fulfill both evaluative and regulatory roles simultaneously. Therefore, the 2-factor model represents a functional approximation that reflects primary usage patterns while acknowledging the inherent flexibility and multifunctionality of language use in self-talk.
Furthermore, although the initial semantic distinction between intellectual and sexual degradation seems theoretically meaningful, the empirical findings and further theoretical analysis suggest that the primary psychological function of both categories is similar: to demean or devalue either oneself or others. This aligns with social and linguistic theories suggesting that swearing serves various pragmatic and emotional functions—including social devaluation and emotional release—and that the meaning of swear words is often shaped more by their situational use than by their literal content (Jay & Janschewitz, 2008; Ljung, 2010). From a functional perspective, athletes and coaches may not consciously differentiate between the semantic content of swear words but rather use them as tools for emotional release, assertion of dominance, or expression of frustration. Therefore, merging these categories reflects the real-world use of language in sports settings, where the pragmatic function outweighs lexical distinctions. Such a unification also supports the ecological validity of the questionnaire and offers a more practical and psychologically relevant framework for understanding swearing behaviors in sport and exercise contexts.
In contrast, the other factor remained distinct and was retained as a situational-focused swearing dimension. Unlike the other factor, these expressions are not aimed at a person but at the situation itself, typically during acute stress, frustration, or physical pain. When individuals exclaim words like “fuck”, “shit”, or “kus emek” (translated from Arabic into English as “your mother’s pussy”), their intent is not to insult anyone but instead to release emotional tension and acknowledge the difficulty of the moment, without repressing or denying it (Boag, 2020; Costa, 2017). In such cases, swearing serves as a form of emotional regulation and psychological catharsis, helping individuals cope with immediate demands without avoidance, particularly in high-pressure physical or emotional contexts. The revised 2-factor model shared good overall fit and statistical adequacy to the model, but its interpretation must be approached with caution and nuance because of the inherent complexity of researching language (Ehret et al., 2023), and specifically swearing (Sulpizio et al., 2024).
Furthermore, swear words are semantically ambiguous and pragmatically flexible because their meaning and function are shaped by cultural norms, situational context, tone, and speaker’s intent (Jay & Janschewitz, 2008; Ljung, 2010). For instance, while “fuck” and “your mother’s pussy” carry clear sexual–linguistic connotations, they are often used in practice, not as sexually explicit insults but rather as emotionally charged reactions to frustrating or painful situations (Beck et al., 2024). Conversely, terms like “motherfucker” or “faggot” are deployed specifically to insult or demean others. Thus, even swear words that belong to the same semantic family, such as sex-related language (Jay, 2009), can serve radically different psychological functions depending on context. Functional divergence presents a major challenge for psychometric modeling. Assigning each swear word to a single latent factor consists solely on semantic content risks overlooking the fluid, context-dependent nature of swearing. Furthermore, swearing is culturally embedded, and patterns of use vary significantly across languages and regions. For example, expressions like “cunt”, “arse”, “damn”, or “hell” are prevalent in English-speaking contexts but are rarely used by Hebrew speakers (e.g., these swear words were not recognized in the original list of 25 common swear words).
These findings underscore the necessity of pursuing additional cross-cultural research on swearing in sports and exercise. Since swearing is influenced by social, emotional, and linguistic constituents, any effort to classify, measure, or theorize it must consider cultural variances, functional diversity, and the dynamic nature of language. Therefore, well-developed theoretical models of swearing must merge statistical precision with a comprehensive understanding of the psychological and cultural intricacies that determine how, when, and why individuals use profanity in athletic situations. While the USWSEQ showed strong validity among Hebrew-speaking participants in Israel, it is crucial to acknowledge that cultural norms influence not only the frequency of swearing but also the choice of words and their perceived offensiveness (Dewaele, 2010; Sulpizio et al., 2024). Terms that may serve as harsh insults in one culture can be deemed mild or even joking in another. The prevalent use of Arabic and English profanity in our sample illustrates Israel’s linguistic and cultural variety, which might not extend to more homogeneous populations. To increase the broader relevance of the USWSEQ, forthcoming studies must be devoted to investigating whether its structure and items remain consistent across various languages and cultural environments (Jay & Janschewitz, 2008; Stephens & Robertson, 2020).
The functional classification of swearing presented in this research adds conceptual depth, diverging from traditional semantic approaches (Jay, 2009). For example, words like “shit” and “fuck” are categorized not by content (excretory or sexual) but by function (i.e., emotional catharsis), supporting their pragmatic value in sports (Stephens & Robertson, 2020). This reframing allows for a more accurate understanding of swearing as a strategic psychological tool.
The top three swear words identified as the most commonly used and effective were “fuck”, “shit”, and “kus emek” (“your mother’s pussy”), none of which are Hebrew terms. This supports earlier research on swearing habits (Beck et al., 2024) and emphasizes the influence of both English and Arabic profanities on Hebrew speakers. The findings indicate that specific swears, especially “fuck” and “shit”, have reached a quasi-universal presence, crossing language barriers and integrating into global swearing habits (Westphal & Jansen, 2021). However, the relatively low ratings of swearing’s effectiveness may reflect individual variability (Stephens & Umland, 2011), ambiguous question wording, or cultural inhibitions. more research must clarify whether “functionality” refers to focus, emotional regulation, or motivation.
Gender differences were minimal, limited to Self/Other Degradation, and effect sizes were negligible. These findings challenge traditional beliefs that males swear more frequently than females, aligning with more recent studies suggesting similar swearing behavior across genders (Baker, 2014; Rassin & Muris, 2005). Recreational exercisers swore significantly more than competitive athletes, particularly in situational-focused swearing. A reduced cognitive load can explain the higher incidence of situational swearing among recreational exercisers (Langerock et al., 2025). Unlike competitive athletes, who are highly focused on performance and may not pay attention to their language under pressure, recreational exercisers are more in tune with their emotional responses and more likely to notice their use of swear words. Additionally, they may be less trained in formal emotional regulation strategies (Gross, 1998), relying instead on spontaneous expressions such as swearing to manage frustration or discomfort. Nevertheless, this unexpected pattern warrants further investigation, as the findings challenge common assumptions about swearing behavior in high-pressure compared to low-pressure training environments. The absence of significant differences between team and individual sport athletes further suggests that psychological factors, rather than purely contextual or structural elements of the sport, play a greater role in shaping swearing behavior in sport and exercise contexts. These subgroup comparisons were pre-registered and used a priori for stating hypotheses about potential differences in swearing patterns across demographic and sport-related variables.
4.1. Limitations
This study presents a fresh perspective on swearing within sport and exercise contexts, but certain limitations must be addressed. The reliance on self-reported data introduces biases related to social desirability and recall, especially due to the sensitive nature of swearing. Participants may have downplayed their actual use of swear words, affecting the findings’ accuracy. The utilization of real-time methods, such as think-aloud protocol, can more objectively capture spontaneous swearing behavior.
Moreover, the functionality description (i.e., “helps you function better”) was ambiguous and likely interpreted differently by participants. Without clear references to whether this indicated focus, motivation, or emotional regulation, responses lacked specificity. A future version of the USWSEQ must address this limitation by refining the wording of the effectiveness items or by creating separate items to assess distinct functional effects, such as motivation, emotional relief, pain tolerance, and attentional focus.
Additionally, the study did not distinguish between self-directed and other-directed swearing, which is important when exploring connections to aggression. While Expressions of Frustration might reflect situational reactions, other categories could involve more deliberate or internalized language. Additionally, the context of swearing must be further explored. Although participants reported sport-related instances, the study did not clarify whether the swear words were genuinely tied to training and competition or merely part of their general speech patterns. The cultural context was also quite narrow, with all participants being Hebrew speakers from Israel. Norms regarding swearing, perceived intensity, and emotional effects can differ across cultures. The lack of racial or religious slurs, perhaps due to cultural standards or self-censorship, further restricts the tool’s relevance in other contexts.
Lastly, while aggression scales tested convergent validity, low correlations indicate that swearing might relate to other psychological factors like impulsivity, emotional regulation, or coping with stress. There is still a need for specialized tools to evaluate these aspects concerning swearing.
4.2. Directions for Future Research on Swearing in Sport and Exercise
Future research must effectively refine measurement tools to differentiate between self-directed and other-directed swearing because this distinction is crucial for analyzing its emotional and behavioral connections, especially regarding aggression and self-regulation.
It is also vital to investigate whether swearing in sports varies from everyday language use. Control conditions or comparison groups are recommended to assess the context-specific nature of swearing. Furthermore, the perceived purpose of swearing must be evaluated with greater precision by inquiring about specific psychological effects, such as emotional relief or heightened focus, instead of relying on vague, general questions.
Conducted exclusively in Israel, the results reflect local linguistic and social customs. Cross-cultural validation of the USWSEQ is crucial to determine if its structure and categories apply in other areas, like North America, Europe, East Asia, Australia, and Latin America. These replications can reveal both universal trends and culturally specific differences in swearing, including interpretations of severity, frequency, and acceptability.
Future investigations must also examine whether swearing in foreign languages is perceived as more intense or socially acceptable than swearing in one’s native tongue. Additionally, design enhancements must tackle confounding variables such as sport type and duration, which interact to influence swearing behavior. Lastly, broadening the psychological focus to encompass factors beyond aggression, such as emotional regulation, impulsivity, and stress management, may provide a richer view of swearing’s role in ST.
Author Contributions
Conceptualization, N.M.; methodology, N.M.; formal analysis, N.M.; investigation, N.M.; data curation, N.M.; writing—original draft preparation, N.M.; writing—review and editing, G.T.; supervision, G.T. All authors have read and agreed to the published version of the manuscript.
Funding
This research received no external funding.
Institutional Review Board Statement
The study was conducted in accordance with the Declaration of Helsinki, and approved by the Ethics Committee of the Faculty of Health Sciences at Ariel University (Approval Number: AU-HEA-GT-20240307, 7 March 2024).
Informed Consent Statement
Informed consent was obtained from all subjects involved in the study.
Data Availability Statement
The raw data supporting the conclusions of this article will be made available by the authors on request.
Acknowledgments
During the preparation of this work, the authors used ChatGPT (version 7 March 2025, OpenAI, San Francisco, CA, USA) to improve the manuscript’s grammar, clarity, and conciseness. After using this technology, the authors carefully reviewed and edited the content as required. We take full responsibility for the final version of the published article.
Conflicts of Interest
The authors declare no conflicts of interest.
References
- Baker, P. (2014). Using corpora to analyze gender. Routledge. [Google Scholar]
- Beck, V., Brooks, J. L., & Stephens, R. (2024). EXPRESS: The effect of swearing on error-related negativity as an indicator for state disinhibition. Quarterly Journal of Experimental Psychology, 17470218241308560. [Google Scholar] [CrossRef]
- Beers Fägersten, K. (2012). Who’s swearing now? The social aspects of conversational swearing. Cambridge Scholars Publishing. [Google Scholar]
- Boag, S. (2020). Repression (defense mechanism). In V. Zeigler-Hill, & T. K. Shackelford (Eds.), Encyclopedia of personality and individual differences (pp. 4425–4428). Springer. [Google Scholar] [CrossRef]
- Boateng, G. O., Neilands, T. B., Frongillo, E. A., Melgar-Quiñonez, H. R., & Young, S. L. (2018). Best practices for developing and validating scales for health, social, and behavioral research: A primer. Frontiers in Public Health, 6, 149. [Google Scholar] [CrossRef] [PubMed]
- Brislin, R. W. (1986). The wording and translation of research instruments. In W. J. Lonner, & J. W. Berry (Eds.), Field methods in cross-cultural research (pp. 137–164). Sage Publications, Inc. [Google Scholar]
- Buss, A. H., & Perry, M. (1992). The aggression questionnaire. Journal of Personality and Social Psychology, 63(3), 452–459. [Google Scholar] [CrossRef]
- Cabral, L. L., da Silva, C. K., Delisle-Rodriguez, D., Lima-Silva, A. E., Galanis, E., Bertollo, M., & Pereira, G. (2024). Motivational self-talk mitigates the harmful impact of mental fatigue on endurance performance. Journal of Applied Sport Psychology, 36(2), 257–275. [Google Scholar] [CrossRef]
- Costa, R. M. (2017). Denial (defense mechanism). In V. Zeigler-Hill, & T. Shackelford (Eds.), Encyclopedia of personality and individual differences. Springer. [Google Scholar] [CrossRef]
- Dewaele, J. M. (2010). Christ fucking shit merde! Language preferences for swearing among maximally proficient multilinguals. Sociolinguistic Studies, 4(3), 595–614. [Google Scholar] [CrossRef]
- Ehret, K., Berdicevskis, A., Bentz, C., & Blumenthal-Dramé, A. (2023). Measuring language complexity: Challenges and opportunities. Linguistics Vanguard, 9(S1), 1–8. [Google Scholar] [CrossRef]
- Fornell, C., & Larcker, D. F. (1981). Evaluating structural equation models with unobservable variables and measurement error. Journal of Marketing Research, 18(1), 39–50. [Google Scholar] [CrossRef]
- Gross, J. J. (1998). The emerging field of emotion regulation: An integrative review. Review of General Psychology, 2(3), 271–299. [Google Scholar] [CrossRef]
- Hair, J. F., Black, W. C., Babin, B. J., & Anderson, R. E. (2019). Multivariate data analysis (8th ed.). Cengage Learning. [Google Scholar]
- Hardy, J. (2006). Speaking clearly: A critical review of the self-talk literature. Psychology of Sport and Exercise, 7(1), 81–97. [Google Scholar] [CrossRef]
- Hardy, J. T., Hardy, J., Oliver, E., Tod, D., Mellalieu, S. D., & Hanton, S. (Eds.). (2009). A framework for the study and application of self-talk within sport. In Advances in applied sport psychology (2009 ed., pp. 37–74). Routledge. [Google Scholar]
- Hatzigeorgiadis, A., & Biddle, S. J. H. (2000). Assessing cognitive interference in sport: Development of the thought occurrence questionnaire for sport. Anxiety, Stress, & Coping, 13(1), 65–86. [Google Scholar] [CrossRef]
- Hay, C. M., Sills, J. L., Shoemake, J. M., Ballmann, C. G., Stephens, R., & Washmuth, N. B. (2024). F@#$ pain! A mini-review of the hypoalgesic effects of swearing. Frontiers in Psychology, 15, 1416041. [Google Scholar] [CrossRef]
- Jay, T. (2009). The utility and ubiquity of taboo words. Perspectives on Psychological Science, 4(2), 153–161. [Google Scholar] [CrossRef]
- Jay, T. (2018). Swearing, moral order, and online communication. Journal of Language Aggression and Conflict, 6(1), 107–126. [Google Scholar] [CrossRef]
- Jay, T., & Janschewitz, K. (2008). The pragmatics of swearing. Journal of Politeness Research, 4(2), 267–288. [Google Scholar] [CrossRef]
- Karamitrou, A., Comoutos, N., Brisimis, E., Hatzigeorgiadis, A., Krommidas, C., Galanis, E., Loules, G., Tzioumakis, Y., Papaioannou, A., Goudas, M., & Theodorakis, Y. (2024). Organic self-talk questionnaire for sport: Development and validation of a theory-based, state measure of athletes’ organic self-talk. International Journal of Sport and Exercise Psychology. Advance online publication. [Google Scholar] [CrossRef]
- Kline, R. B. (2015). Principles and practice of structural equation modeling (4th ed.). The Guilford Press. [Google Scholar]
- Langerock, N., Oberauer, K., Throm, E., & Vergauwe, E. (2025). The cognitive load effect in working memory: Refreshing the empirical landscape, removing outdated explanations. Journal of Memory and Language, 140, 104558. [Google Scholar] [CrossRef]
- Latinjak, A. T., Zourbanos, N., López-Ros, V., & Hatzigeorgiadis, A. (2014). Goal-directed and undirected self-talk: Exploring a new perspective for the study of athletes’ self-talk. Psychology of Sport and Exercise, 15, 548–558. [Google Scholar] [CrossRef]
- Ljung, M. (2010). Swearing: A cross-cultural linguistic study. Springer. [Google Scholar]
- Love, R. (2021). Swearing in informal spoken English: 1990s–2010s. Text & Talk, 41(5–6), 739–762. [Google Scholar] [CrossRef]
- Maxwell, J. P., & Moores, E. (2007). The development of a short scale measuring aggressiveness and anger in competitive athletes. Psychology of Sport and Exercise, 8(2), 179–193. [Google Scholar] [CrossRef]
- Nunally, J. C. (1978). Psychometric theory. Mc Graw-Hill. [Google Scholar]
- Rassin, E., & Muris, P. (2005). Why do women swear? An exploration of reasons for and perceived efficacy of swearing in Dutch female students. Personality and Individual Differences, 38, 1669–1674. [Google Scholar] [CrossRef]
- Raykov, T., & Marcoulides, G. A. (2011). Introduction to psychometric theory. Routledge/Taylor & Francis Group. [Google Scholar]
- Rosenberg, P., Sikström, S., & Garcia, D. (2017). The affective, behavioral, cognitive of taboo words in natural language: The relationship between taboo words’ intensity and frequency. Journal of Language and Social Psychology, 36(3), 306–320. [Google Scholar] [CrossRef]
- Stapleton, K., & Beers Fägersten, K. (2023). Editorial: Swearng and interpersonal pragmatics. Journal of Pragmatics, 218, 148–150. [Google Scholar] [CrossRef]
- Stapleton, K., Fägersten, K. B., Stephens, R., & Loveday, C. (2022). The power of swearing: What we know and what we don’t. Lingua, 277, 103406. [Google Scholar] [CrossRef]
- Stephens, R., & Robertson, O. (2020). Swearing as a response to pain: Assessing hypoalgesic effects of novel “swear” words. Frontiers in Psychology, 11, 723. [Google Scholar] [CrossRef]
- Stephens, R., & Umland, C. (2011). Swearing as a response to pain—Effect of daily swearing frequency. The Journal of Pain, 12(12), 1274–1281. [Google Scholar] [CrossRef] [PubMed]
- Sulpizio, S., Günther, F., Badan, L., Basclain, B., Brysbaert, M., Chan, Y. L., Ciaccio, L. A., Dudschig, C., Duñabeitia, J. A., Fasoli, F., & Ferrand, L. (2024). Taboo language across the globe: A multi-lab study. Behavior Research Methods, 56(2), 3794–3813. [Google Scholar] [CrossRef] [PubMed]
- Vingerhoets, A. J., Bylsma, L. M., & De Vlam, C. (2013). Swearing: A biopsychosocial perspective. Psychological Topics, 22(2), 287–304. [Google Scholar]
- Washmuth, N. B., Stephens, R., & Ballmann, C. G. (2024). Effect of swearing on physical performance: A mini-review. Frontiers in Psychology, 15, 1445175. [Google Scholar] [CrossRef]
- Webster, G. D., DeWall, C. N., Pond, R. S., Jr., Deckman, T., Jonason, P. K., Le, B. M., Nichols, A. L., Schember, T. O., Crysel, L. C., Crosier, B. S., & Smith, C. V. (2014). The brief aggression questionnaire: Psychometric and behavioral evidence for an efficient measure of trait aggression. Aggressive Behavior, 40(2), 120–139. [Google Scholar] [CrossRef]
- Webster, G. D., DeWall, C. N., Pond, R. S., Jr., Deckman, T., Jonason, P. K., Le, B. M., Nichols, A. L., Schember, T. O., Crysel, L. C., Crosier, B. S., Smith, C. V., Paddock, E. L., Nezlek, J. B., Kirkpatrick, L. A., Bryan, A. D., & Bator, R. J. (2015). The brief aggression questionnaire: Structure, validity, reliability, and generalizability. Journal of Personality Assessment, 97(6), 638–649. [Google Scholar] [CrossRef]
- Westphal, M., & Jansen, L. (2021). English in global pop music. Bloomsbury World Englishes, 1, 190–206. [Google Scholar]
- Zourbanos, N., Hatzigeorgiadis, A., Chroni, S., Theodorakis, Y., & Papaioannou, A. (2009). Automatic Self-Talk Questionnaire for Sports (ASTQS): Development and preliminary validation of a measure identifying the structure of athletes’ self-talk. The Sport Psychologist, 23(2), 233–251. [Google Scholar] [CrossRef]
Disclaimer/Publisher’s Note: The statements, opinions and data contained in all publications are solely those of the individual author(s) and contributor(s) and not of MDPI and/or the editor(s). MDPI and/or the editor(s) disclaim responsibility for any injury to people or property resulting from any ideas, methods, instructions or products referred to in the content. |
© 2025 by the authors. Licensee MDPI, Basel, Switzerland. This article is an open access article distributed under the terms and conditions of the Creative Commons Attribution (CC BY) license (https://creativecommons.org/licenses/by/4.0/).

