Next Article in Journal
Sustainable Utilisation of Mining Waste in Road Construction: A Review
Previous Article in Journal
A Hybrid Whale Optimization Approach for Fast-Convergence Global Optimization
 
 
Font Type:
Arial Georgia Verdana
Font Size:
Aa Aa Aa
Line Spacing:
Column Width:
Background:
Article

Insights into an Angular-Motion Electromechanical-Switching Device: Characteristics, Behavior, and Modeling

by
José M. Campos-Salazar
1 and
Jorge Gonzalez-Salazar
2,*
1
Electronic Engineering Department, Universitat Politècnica de Catalunya, 08034 Barcelona, Spain
2
Mechanical Engineering Department, Universidad de La Frontera, Temuco 4811230, Chile
*
Author to whom correspondence should be addressed.
J. Exp. Theor. Anal. 2025, 3(2), 18; https://doi.org/10.3390/jeta3020018
Submission received: 17 March 2025 / Revised: 29 May 2025 / Accepted: 9 June 2025 / Published: 16 June 2025

Abstract

While extensive research has addressed electromechanical systems interacting with power electronic converters, most studies lack a unified modeling framework that simultaneously captures converter switching behavior, nonlinear dynamics, and linearized control-oriented representations. In particular, the dynamic interaction between two-level full-bridge converters and angular-motion electromechanical switching devices (EMDs) is often simplified or abstracted, thereby limiting control system design and frequency-domain analysis. This work presents a comprehensive dynamic modeling methodology for an angular-motion EMD driven by a full-bridge dc-dc converter. The modeling framework includes (i) a detailed nonlinear switching model, (ii) an averaged nonlinear model suitable for control design, and (iii) a small-signal linearized model for deriving transfer functions and evaluating system stability. The proposed models are rigorously validated through time-domain simulations and Bode frequency analysis, confirming both theoretical equilibrium points and dynamic characteristics such as resonant frequencies and phase margins. The results demonstrate strong consistency across the modeling hierarchy and reveal critical features—such as ripple-induced resonance and low-frequency coupling—that are essential for robust controller design. This framework established a foundational tool for advancing the control and optimization of electromechanical switching systems in high-performance applications.

1. Introduction

An electromechanical device represents the convergence of Maxwell’s electromagnetic theory and Newton’s classical mechanics, yielding a unified framework of dynamic equations. This theoretical synthesis characterizes electromechanical devices as integrated dynamic systems in which electrical and mechanical domains are intricately coupled through field interactions and motion-induced forces [1].
Concurrently, power electronic converters play an essential role in transforming fixed electrical input sources into regulated output signals tailored to specific application requirements. These converters enable efficient modulation of voltage, frequency, phase, and waveform characteristics, thereby enabling precise control across a broad range of electromechanical loads [2].
The interplay between electromechanical systems (EMSs) and power converters constitutes a fundamental interface that bridges the electrical and mechanical energy domains [3,4,5]. This integrated platform is central to a wide range of applications, including high-precision actuation, energy harvesting, automotive propulsion, and robotic manipulation.
Although the literature offers a wealth of analytical and simulation-based models for EMSs operating in conjunction with power converters [6,7,8,9,10,11,12], a significant gap remains in the development of switching models and their nonlinear-averaged and small-signal linear equivalents, particularly within integrated dynamic modeling frameworks. For instance, Reference [6] addresses the modeling and simulation of a hybrid rubber-tire gantry crane incorporating electromechanical subsystems and renewable energy integration, but it omits low-level switching behavior. In [7], the modeling and control of a coupled electromechanical system for ocean-wave energy recovery are developed using a linear permanent magnet generator. Although synchronization strategies are examined, the treatment of switching dynamics remains abstract. Reference [8] employs the Lagrangian formalism for EMS simulation, offering a powerful variational modeling framework capable of capturing energy interactions, constraints, and generalized coordinates. However, its application is largely limited to generalized electric machines and does not explicitly address switching converter dynamics. Reference [9] develops a MATLAB-Simulink®, version R2019b model of an electromechanical system incorporating hydraulic and pneumatic components, including dc motors and actuators. While it effectively demonstrates system-level response analysis, it does not capture converter-switching phenomena. In [10], nonlinearities such as dry friction and elastic backlash are emphasized in servo electromechanical systems, leading to the rejection of conventional PID control in favor of nonlinear compensators. However, the power electronics interface is again simplified.
The study in [11] addresses actuation systems for aerospace and defense applications. It provides both linear and nonlinear control perspectives using motion-based equations but lacks detailed converter dynamics. Similarly, Reference [12] investigates elastic energy storage with synchronous machines, focusing on the mechanical-to-electrical transduction chain without exploring discrete-time switching effects. A distinct shift is observed in [13], which proposes a dynamic parameter adaptation method to improve the modeling of valve-switching behavior in semiconductor converters. This method accounts for inverse current phenomena and enhances simulation accuracy through real-time inductance and resistance adjustment.
In [14], an advanced brushless dc motor drive is presented featuring an LLC resonant dc-dc converter, SiC MOSFETs, and a nonlinear adaptive sliding controller. This integrated control strategy achieves superior harmonic rejection and energy efficiency, particularly in electric vehicle and automation applications. However, it focuses on general-purpose motors rather than angular motion-switching devices. Moreover, Reference [15] examines dc-dc converters in plasma arc applications. By modeling negative-resistance behavior and system instability, it highlights the importance of detailed small-signal and frequency-domain analysis but does not consider mechanical feedback.
Recent works have attempted to narrow this gap. For example, Reference [16] proposes a hybrid dynamical model for bistable electromagnetic actuators, combining equilibrium and stability analysis with an H-bridge drive. The authors in [17,18] design adaptive converter networks and high-bandwidth current control schemes for arrays of electromagnetic micro-actuators, integrating converter–actuator behavior. Reference [19] explores solenoid-based actuators with unknown parameters, developing a two-degree-of-freedom adaptive control framework based on an averaged model. In [20], buck-boost converters for capacitive actuator loads, using nonlinear averaging to define soft-charging strategies, are studied. Additionally, Reference [21] develops a comprehensive model of a permanent magnet dc motor driven by a full H-bridge converter, applied to a bidirectional conveyor system. The approach integrates state-space modeling with a feedforward control scheme and an extended state observer to enhance disturbance rejection and velocity tracking.
Despite these developments, a unified, full-order model that incorporates (i) switching dynamics, (ii) nonlinear averaging, and (iii) linearization around equilibrium points for angular-motion electromechanical switching devices (EMDs) driven by two-level full-bridge converters has not been reported in the literature. Therefore, this article presents a fully integrated modeling framework for an angular-motion EMD driven by a two-level full-bridge dc-dc converter. The contribution is threefold:
  • It derives the full nonlinear switching model of the EMD-converter system, capturing detailed coupling between converter states and mechanical motion;
  • It develops a nonlinear averaged model to extract meaningful dynamic behavior under high-frequency switching operations;
  • It introduces small-signal linearization via Jacobian-based analysis, enabling transfer function derivation and closed-loop stability assessment in both time and frequency domains.
This comprehensive modeling methodology enables seamless system identification, controller design, and stability validation under switching regimes. Overall, the primary objective of this study is to establish a comprehensive mathematical and simulation framework for angular-motion EMDs coupled with two-level full-bridge dc-dc converters. This framework supports detailed stability and frequency-domain analysis using switching, averaged, and small-signal models and serves as a foundation for the future development of advanced control strategies for high-performance electromechanical systems.
The article is organized as follows. Section 2 introduces the topic and presents the topology and description of the device under study. In Section 3, the system modeling is developed. Section 4 and Section 5 present the stability analysis and frequency-domain analysis of the device, respectively, and finally, Section 6 and Section 7 show the simulation results and conclusions of the study.

2. Electromechanical-Switching Device Topology

The configuration of the EMD is shown in Figure 1 and comprises two integral stages: the EMS and the two-level full-bridge dc-dc converter (2LC).
The EMS consists of a torsion rod connected to a flywheel, with the connection facilitated by an L-type magnetic circuit. The torsion rod is characterized by torsional stiffness (k) and torsional damping (b) due to the gearing, and the flywheel provides polar inertia (J). The dynamic characteristics of the system include angular position θ(t) and its time derivatives, including angular velocity dθ(t)/dt and angular acceleration d2θ(t)/dt2.
The magnetic assembly includes a single-loop inductor with constant resistance R and whose inductance L(θ(t)) varies linearly with θ(t): L(θ(t)) = AL + BL · θ(t), where AL and BL are constants. In particular, the driving coil is connected to the dynamic variables, i.e., voltage vo(t) and current io(t).
The 2LC is powered by a DC power supply characterized by input voltage vdc(t), internal resistance Rdc, and the dc current idc(t). This power source is fed into a DC link supported by a capacitor Cdc. In this context, dynamic variables are expressed as voltage vCdc(t) and current i2(t). The full-bridge switching network interfaces with the dc link and is configured with two switches per leg, namely Qx, where x ∈ {1, 2, 3, 4}.
Similar to a servomechanism [22], the EMD controls torsion rod angular positioning θ(t) by controlling vo(t). The current io(t) induces a magnetic field in the L-type structure, which facilitates the coupling with the flywheel [23]. This coupling generates an electromagnetic torque Te(t). The voltage vo(t), under the control of the 2LC, is the final control variable of the EMS. The modulation of 2LC is controlled by the regulation of switches (Qx, where x ∈ {1, 2, 3, 4}) over a given switching period Ts.

3. Modeling of the EMD

The derivation of the switching, nonlinear-averaged, and linear small-signal models of the EMD is presented based on the configuration shown in Figure 1.

3.1. Switching Model of the EMD

For the convenience of practical analysis, the model begins by isolating the EMS by virtually decoupling it from the 2LC. Applying Kirchhoff’s voltage law to the magnetic circuit yields:
v o t = R · i o t + d L θ t · i o t d t
Expanding the derivative term gives the following:
v o t = R · i o t + i o t · L θ t θ t · d θ t d t + L θ t · d i o t d t
and multiplying both sides by io(t) yields the instantaneous electric power of the magnetic circuit Pe(t) which is given as follows:
P e t = v o t · i o t = R · i o 2 t + i o 2 t · L θ t θ t · d θ t d t + L θ t · i o t · d i o t d t
The magnetic energy Wg(t) in the circuit is defined by
W g t = 1 2 · L θ t · i o 2 t
according to [23,24]. The magnetic power Pg(t) is expressed as follows:
P g t = d W g t d t = 1 2 · i o 2 t · L θ t θ t · d θ t d t + L θ t · i o t · d i o t d t
Considering Pe(t) and Pg(t), the power balance of the magnetic circuit is expressed as Pe(t) = Pm(t) + PR(t) + Pg(t), where Pm(t) and PR(t) = Rio2(t) denote the mechanical power and energy dissipation through R, respectively. The expression for Pm(t) is then given by
P m t = 1 2 · i o 2 t · L θ t θ t · d θ t d t
For rotating devices, the mechanical power Pm(t) is defined as the product of angular velocity dθ(t)/dt and the mechanical torque Tm(t), expressed as Pm(t) = Tm(t)∙dθ(t)/dt.
Assuming a lossless magnetic circuit, Tm(t) = Te(t), where Te(t) is the electromagnetic torque derived as follows:
T e t = 1 2 · i o 2 t · L θ t θ t
Applying the torque balance to the torsion rod results in its dynamic expression, known as the torsional equation of motion [25], given as follows:
J · d 2 θ t d t 2 + b · d θ t d t + k · θ t = T e t
By substituting the linear inductance L(θ(t)) into (2) and (8), updated versions of the dynamic model of the EMS are defined as follows:
J · d 2 θ t d t 2 + b · d θ t d t + k · θ t = 1 2 · B L · i o 2 t B L · i o t · d θ t d t + A L + B L · θ t · d i o t d t = v o t R · i o t
For the 2LC, the application of Kirchhoff’s voltage law leads to the dynamic expression:
d v C dc t d t = v dc t v C dc t R dc · i 2 t R dc · C dc
which relates the input source to the dc link.
This equation results in the following set of expressions:
v o t i 2 t = 2 · s t 0.5 0 0 2 · s t 0.5 · v C dc t i o t
which relates the EMS to the 2LC. From here, the switching function s(t) is given by
s t = 1 ,   Q 2   and   Q 3   are   close   and   Q 1   and   Q 4   are   open 0 ,   otherwise  
The following expression:
J · d 2 θ t d t 2 + b · d θ t d t + k · θ t = 1 2 · B L · i o 2 t B L · i o t · d θ t d t + A L + B L · θ t · d i o t d t = 2 · s t 0.5 · v C dc t R · i o t d v C dc t d t = v dc t v C dc t R dc · C dc 2 · R dc · s t 0.5 · i o t R dc · C dc
is obtained by substituting (11) into (9) and (10), leading to the EMD switching model. Due to its inherent switching behavior, (13) is not directly applicable to linear control theory [22,26,27,28]. Therefore, an averaged model is required to address the discrete nature of the system as follows:

3.2. Nonlinear-Averaged Model of the EMD

Classical control theory is formulated for continuous systems and, therefore, requires the application of an averaging operator to transform discrete control variables (the switching functions) in (13) into continuous control variables (averaged switching functions or duty ratios) [26].
Averaging involves calculating the average values of the system variables over a switching period Ts. The averaging operator is defined as
x t T s = 1 T s · t T s t x τ · d τ
Here, <x(t)>Ts represents any function. To minimize differences between actual and averaged values, especially for ac variables, a high switching frequency is essential, exceeding the frequency of the ac system (i.e., magnetic system) by a significant margin.
Substituting (14) into (13) yields the averaged model, which is defined as follows:
J · d 2 θ t T s d t 2 + b · d θ t T s d t + k · θ t T s = 1 2 · B L · i o t T s 2 B L · i o t T s · d θ t T s d t + A L + B L · θ t T s · d i o t T s d t = = 2 · d t 0.5 · v C dc t T s R · i o t T s d v C dc t T s d t = v dc t T s v C dc t T s R dc · C dc 2 · R dc · d t 0.5 · i o t T s R dc · C dc
Here, <s(t)>Ts = d(t) is the duty ratio of the 2LC, which ranges continuously from 0 to 1. The nonlinear averaged model in (15), with second-order derivatives, can be simplified to a system of first-order differential equations based on state variables (SVs). The SVs are defined as x1 = <io(t)>Ts, x2 = <vCdc(t)>Ts, x3 = <θ(t)>Ts, and x4 = <dθ(t)/dt>Ts. The input variables are u1 = <vdc(t)>Ts and u2 = d(t).
Substituting these variables into the model in (15) yields a new version of the nonlinear-averaged system model, which is presented as follows:
d x 1 d t = 1 A L + B L · x 3 · 2 · u 2 0.5 · x 2 B L · x 1 · x 4 R · x 1 d x 2 d t = 1 R dc · C dc · u 1 x 2 2 · R dc · u 2 0.5 · x 1 d x 3 d t = x 4 d x 4 d t = 1 J · 1 2 · B L · x 1 2 k · x 3 b · x 4

3.3. Small-Signal Linear Model of the EMD

The model presented in (16) is linearized using the Taylor expansion series technique, which requires finding the equilibrium points (EPs) of the system. This is achieved by setting the derivative expressions with respect to time in (16) to zero. The steady-state model of the EMD is then defined as follows:
1 A L + B L · x 3 · 2 · U 2 0.5 · X 2 B L · X 1 · X 4 R · X 1 = 0 U 1 X 2 2 · R dc · U 2 0.5 · X 1 = 0 X 4 = 0 1 2 · B L · X 1 2 k · X 3 b · X 4 = 0
In this system, capital letters represent the steady-state variables for both state and input variables. Solving the system yields the expressions for the EPs, which are essentially the values of the state variables at steady-state defined as follows:
X 1 = 2 · U 1 · U 2 0.5 R + 4 · R dc · U 2 0.5 2 X 2 = R · U 1 R + 4 · R dc · U 2 0.5 2 X 3 = 4 · B L · U 1 · U 2 0.5 2 2 · k · R + 4 · R dc · U 2 0.5 2 2 X 4 = 0
The influence of the EPs is primarily driven by the dynamics of the 2LC, highlighting its critical role in the proper operation of the EMS.
With the EPs determined, the next step is to apply the Taylor series. The dynamic equations in (16) are grouped into a vector of functions defined as follows:
f 1 x 1 , x 2 , x 3 , x 4 , u 1 , u 2 = 1 A L + B L · x 3 · 2 · u 2 0.5 · x 2 B L · x 1 · x 4 R · x 1 = f 2 x 1 , x 2 , x 3 , x 4 , u 1 , u 2 = 1 R dc · C dc · u 1 x 2 2 · R dc · u 2 0.5 · x 1 f 3 x 1 , x 2 , x 3 , x 4 , u 1 , u 2 = x 4 f 4 x 1 , x 2 , x 3 , x 4 , u 1 , u 2 = 1 J · 1 2 · B L · x 1 2 k · x 3 b · x 4
The EPs and the function vector are used to linearize the nonlinear dynamic equations in (16). The small-signal linear model is then described as follows:
d x ^ d t = A ss · x ^ +   B ss · u ^ y   ^ = C ss · x ^ + D ss · u ^
where x ^ = [x1, x2, x3, x4]T is the small signal vector of the state variables, û = [u1, u2]T is the small signal vector of the input variables, and ŷ = x ^ is the vector of the output variables. Moreover, { x ^ , ŷ} ∈ {R4} and û ∈ {ℝ2}.
The matrices Ass = (∂ f ^ /∂ x ^ )|ep, Bss = (∂ f ^ /∂û)|ep, Css = (∂ŷ/∂ x ^ )|ep, and Dss = (∂ŷ/∂û)|ep are derived from the Jacobian matrices evaluated at the EPs vector defined as ep = [X1 X2 X3 X4]. Also, the vector f ^ groups the dynamic functions described in (19). Moreover, {epT, f ^ } ∈ {ℝ4}. Ass, Bss, Css, and Dss represent the state, input, output, and direct-transmission matrices of the system, respectively. Symbolically, {Ass, Css} ∈ 4×4 {K} and {Bss, Dss} ∈ 4×2 {K}. The expressions of the Ass and Bss matrices are given by
A ss = R + B L · X 4 A L +   B L · X 3 2 · U 2 0.5 C dc 0 B L · X 1 J 2 · U 2 0.5 C dc 1 R dc · C dc 0 0 X 1 · X 4 · B L 2 + R · X 1 2 · X 2 · B L · U 2 0.5 A L + B L · X 3 2 0 0 k J B L · X 1 A L + B L · X 3 0 1 b J B ss = 0 1 R dc · C dc 0 0 2 · X 2 A L + B L · X 3 2 · X 1 C dc 0 0
Also, Css and Dss are identity and zero matrices, respectively.
Finally, the small-signal analysis assumes that any given variable g(t) can be represented as the sum of its steady-state value G and a small-signal component ĝ; therefore ĝ = g(t) − G, where G is significantly larger than ĝ (G >> ĝ). This assumption simplifies the analysis of the linearized behavior around the steady state [22,28,29].

4. Representation of the EMD in Transfer Functions

When designing control systems to ensure optimal EMD performance, it becomes imperative to establish an EMD model in the Laplace complex s-frequency domain. Although it is common practice to transition models from the time domain to the s-domain, it is equally viable and sometimes advantageous to utilize time domain models within state-space representations for control algorithm design [22,28,29].
The Laplace transform provides a method of representing system dynamics in the s-domain, where complex numbers facilitate the analysis of frequency response and stability. This representation is particularly effective in designing controllers capable of handling different frequency components and disturbances in the system [22,28,29]. Conversely, state-space representations are recognized as a robust tool for control system design due to their precise and intuitive ability to describe system behavior. In the state-space form, a system is represented by a set of first-order differential equations that define the relationships between the system’s state variables and inputs [22,28,29]. As explained in [22,28,29], the s-domain representation of the model in (20) is formulated as follows:
Y s U s =   C ss · s · I 4 × 4 A ss 1 · B ss + D ss
In this expression, Y(s), U(s), and I4×4 denote the complex output and input vectors of the EMD model and the identity matrix of dimensions 4 × 4, respectively. These are defined as Y(s) = [Y1(s), Y2(s), Y3(s), Y4(s)]T and U(s) = [U1(s), U2(s)]T. Furthermore, Yi(s) and Uj(s), where i ∈ {1, 2, 3, 4} and j ∈ {1, 2}, denote the s-domain transformations of the variables x ^ i and ûj, respectively. Symbolically, Y(s) ∈ {₵4} and U(s) ∈ {₵2}.
Formulating the complex vector Equation (22) results in four transfer functions (TFs) per output for a total of eight TFs for the EMD. To maintain clarity and manage analytical complexity, each of these TFs is computed using the parameters of the EMD listed in Table 1. This approach enables an efficient evaluation of system behavior while avoiding unnecessary analytical burden.
Considering (20) and utilizing the superposition principle, the TFs of the system are formulated as shown in (22). Defining the TFs as Yi(s)⁄Uj(s)|Uj(s)=0 = Gij(s), where i ∈ {1, 2, 3, 4} and j ∈ {1, 2}, captures the essence of the system behavior and response in the frequency domain. These transfer functions provide critical insight into the behavior of the EMD under various conditions and serve as indispensable tools for control system design and analysis. The TFs of the EMD are shown in Figure 2.

5. EMD Stability Analysis

Based on the time domain model of (20), this representation captures the dynamics of the EMD in the context of a set of first-order differential equations. Time domain stability analysis traditionally involves an examination of the eigenvalues included in the state matrix. If all of the eigenvalues have negative real components, the resulting system is classified as stable, indicating that small perturbations around the equilibrium state will attenuate over time and return the system to its steady-state operating configuration [22,28,29]. Conversely, the presence of any eigenvalue with a positive real component implies instability, which means that deviations will increase over time and initiate a departure from the equilibrium state [30]. This exposition emphasizes the importance of examining the stability of the EPs in the effective operation of the EMD.
Focusing on the s-domain model of (23), the dynamics of the EMD are represented by Laplace transforms, a framework conducive to frequency-domain analysis. In evaluating s-domain stability, it is imperative to evaluate the poles of the TFs emanating from the model. Sustainably structured s-domain systems have poles characterized by negative real elements, indicating that the system responses decay over time in response to disturbances. In contrast, systems characterized by instability exhibit poles with positive real components, implying that the system response intensifies over time and moves toward unbounded outcomes [22,29]. In both cases, the importance of stability analysis lies in its ability to highlight the behavior of the EMD around the equilibrium state, thereby providing valuable insights into the design of control systems. Stability, a key objective, ensures reliability and predictability of performance, while instability may require additional control measures or parameter adjustments to achieve stability [22,29].

5.1. EMD Stability Analysis

When the EPs defined in (18) are evaluated in terms of the parameters listed in Table 1, the following values are obtained: X1 = Io = 105.8824 A, X2 = VCdc = 17.6471 V, X3 = Θ = 56.0554°, and X4 = dΘ/dt = 0 rad/s. This result reflects the marginal stability of the evaluated equilibrium points due to the presence of the eigenvalue λ₂ on the imaginary axis, while the remaining eigenvalues λ1, λ3, and λ4 exhibit negative real parts satisfying the standard stability condition Re{λᵢ} < 0 [22,29].

5.2. Stability Analysis in S-Domain

To examine the stability within the s-domain, it is important to examine the stability of the TFs described in (22). Accordingly, the zeros for each TF are calculated and listed in Table 2, where λ2, being zero, does not strictly satisfy this criterion. Taking these observations into account, it can be concluded that the EMD exhibits Ass; the matrix Ass is obtained and shown as follows:
A ss = 5 · 1 0 4 12 0 0 3 · 1 0 3 2 0 0.176 0 0 0 1 0 2.506 · 1 0 3 1 2.5
The methodology used to study the stability of EPs within the EMD is based on the calculation of eigenvalues (λ) via the characteristic polynomial, defined as follows:
P(λ) = det[λI4×4Ass]
By solving for P(λ) = 0, the values of λ determined are λ1 = −5.0∙104, λ2 = 0, and λ3,4 = −2.61 ± j∙21.1. Based on the eigenvalues obtained, the system exhibits marginal stability [22,29]. In particular, all four outputs Yi(s), share a common characteristic equation, which consequently imparts an identical set of poles to all TFs.
This result essentially means that the system response to inputs or disturbances will gradually attenuate over time and eventually converge to its equilibrium state.
Based on the results of the comprehensive stability analysis, which includes the calculation of λ from the matrix Ass as well as the examination of the zeros and poles inherent in the TFs, a definitive conclusion can be drawn: the EMD system emphasizes stability.

6. EMD Frequency Analysis

The EMD frequency responses are examined by performing a detailed analysis of the Bode plots, including both magnitude and phase response plots, applied to the transfer functions defined as follows [22,28,29]:
Y 1 s U 1 s U 2 s = 0 = 50 · 1 0 3 · s 3 + 2.25 · 1 0 5 · s 2 + 2.241 · 1 0 7 · s + 1 0 5 s 4 + 50 · 1 0 4 · s 3 + 2.614 · 1 0 5 · s 2 + 2.25 · 1 0 7 · s + 1.36 · 1 0 5 Y 2 s U 1 s U 2 s = 0 = 6 · 1 0 5 · s 2 + 1.5 · 1 0 6 · s + 6 · 1 0 5 s 4 + 50 · 1 0 4 · s 3 + 2.614 · 1 0 5 · s 2 + 2.25 · 1 0 7 · s + 1.36 · 1 0 5 Y 3 s U 1 s U 2 s = 0 = 1.5 · 1 0 5 s 4 + 50 · 1 0 4 · s 3 + 2.614 · 1 0 5 · s 2 + 2.25 · 1 0 7 · s + 1.36 · 1 0 5 Y 4 s U 1 s U 2 s = 0 = 1.5 · 1 0 5 s 4 + 50 · 1 0 4 · s 3 + 2.614 · 1 0 5 · s 2 + 2.25 · 1 0 7 · s + 1.36 · 1 0 5 Y 1 s U 2 s U 1 s = 0 = - 1.765 · 1 0 3 · s 3 + 1.35 · 1 0 7 · s 2 + 1.109 · 1 0 8 · s + 1.306 · 1 0 7 s 4 + 50 · 1 0 4 · s 3 + 2.614 · 1 0 5 · s 2 + 2.25 · 1 0 7 · s + 1.36 · 1 0 5 Y 2 s U 2 s U 1 s = 0 = 4.235 · 1 0 3 · s 3 + 2.097 · 1 0 8 · s 2 + 5.241 · 1 0 8 · s + 2.096 · 1 0 8 s 4 + 50 · 1 0 4 · s 3 + 2.614 · 1 0 5 · s 2 + 2.25 · 1 0 7 · s + 1.36 · 1 0 5 Y 3 s U 2 s U 1 s = 0 = 747.4 · s + 3.7 · 1 0 7 s 4 + 50 · 1 0 4 · s 3 + 2.614 · 1 0 5 · s 2 + 2.25 · 1 0 7 · s + 1.36 · 1 0 5 Y 4 s U 2 s U 1 s = 0 = 747.4 · s + 3.7 · 1 0 7 s 4 + 50 · 1 0 4 · s 3 + 2.614 · 1 0 5 · s 2 + 2.25 · 1 0 7 · s + 1.36 · 1 0 5
Their utility extends to many aspects of frequency analysis, aiding in the identification of resonant frequencies, bandwidths, and cutoff frequencies for filter design [31] and control system formulation [32,33]. In addition, they clarify signal gain or attenuation at various frequencies, proving indispensable in applications such as signal processing [34,35], communications [36], and mechanical vibrations [37,38]. They also show the interaction between the system phase response and its stability, which has fundamental implications for control system design. In addition, Bode plots allow the evaluation of system stability, the fine-tuning of parameters to achieve optimal responses, the design of compensators to meet specific performance requirements, and even the estimation of transfer functions from empirical data. The simulation results regarding the TFs plots that illustrate the behavior of the system described in (22) presented in this study include Bode frequency domain, providing a variety of insights [22,28,29].

7. Simulation Results

The simulations were performed using MATLAB-Simulink, with the parameter values listed in Table 1. The input conditions for the converter were standardized, with a 24 V supply and a steady-state duty ratio of 0.8 pu at a fs of 10 kHz. It is also important to note that all SVs were initialized to zero initial conditions, and the simulations were conducted in the absence of any external disturbances.
The simulations were performed using MATLAB-Simulink, with the parameter values listed in Table 1. The input conditions for the converter were standardized, with a 24 V supply and a steady-state duty ratio of 0.8 pu at a fs of 10 kHz. It is also important to note that all SVs were initialized to zero initial conditions, and the simulations were conducted in the absence of any external disturbances.
The simulation results are visually presented in Figure 3a–d, each illustrating the dynamics of different SVs: iosw(t), vCdc(t), θ(t), and dθ(t)/dt, and the angular acceleration d2θ(t)/dt2. Each variable is shown in two forms: their switching versions, io(t)swm, vCdc(t)swm, θ(t)swm, dθ(t)/dtswm, and d2θ(t)/dt2swm, extracted from model (13) and shown in blue, and their averaged versions, io(t)avm, vCdc(t)avm, θ(t)avm, dθ(t)/dtavm, and d2θ(t)/dt2)avm, extracted from model (16) and shown in red.
Analysis of Figure 3a clearly indicates that the steady-state current io(t), in both its switched and averaged forms, converges to approximately 106 A. This result confirms the accuracy of the calculations derived from the expressions in (18). Similarly, the results of Figure 3b provide strong evidence by confirming that the steady-state voltage vCdc(t) stabilizes at approximately 18 V, which is consistent with the value predicted by (18).
Moreover, Figure 3c provides a crucial insight by showing that the steady-state angular position θ(t) is approximately 56°, effectively validating the calculations presented in (18). This consistency between calculated and observed values further reinforces the accuracy of the developed models.
Referring to Figure 3d,e, the angular velocity dθ(t)/dt and the angular acceleration d2θ(t)/dt2 of the torsion rod are shown. It is important to note that both the angular velocity and acceleration profiles exhibit the expected behavior, initially peaking and subsequently converging to zero values. Such agreement with the predictions derived from (18) emphasizes the reliability, accuracy, and precision of the developed models in capturing the complex dynamics of the EMD system. Moreover, an examination of the results presented reveals the presence of high-frequency components around the fs within each dynamic response. In particular, there is a noticeable high-frequency ripple in both the voltage waveform vCdc(t) and the current waveform io(t) around the fs. This observation highlights the effect of switching operations on the system dynamics. The appearance of these high-frequency components provides essential insight into the transient behavior of the system. The oscillations at fs are inherent to the switching nature of the converter and are attributable to the rapid transitions between different operating states. The observed ripples in both the voltage and current profiles represent the dynamic interaction between the switching action of the converter and the fundamental electromechanical processes.
While this high-frequency behavior is inherent and expected due to the switching nature of the converter, it is critical to consider it in system design and control strategies. Mitigating these high-frequency components, often through filtering or control techniques, is essential to ensure stable and efficient operation. In summary, the identification of high-frequency oscillations at fs in both voltage and current dynamics reinforces the need to address these transients for the robust performance of the electromechanical system.
Figure 4a–d show the Bode plots of TFs G11(s) = Io(s)/Vdc(s), G21(s) = VCdc(s)/Vdc(s), G31(s) = Θ(s)/Vdc(s), and G41(s) = w(s)/Vdc(s), respectively. w(s) is the Laplace transform of dθ(t)/dt.
In Figure 4a, the Bode plot of G11(s) shows that its gain remains constant at unity over a significant frequency range. Specifically, G11(s) exhibits a unity gain (0 dB) and a 0° phase at low frequencies. At approximately 8 kHz, the cutoff frequency fc is observed, characterized by a −3 dB drop in gain. G11(s) behaves similarly to a low-pass filter, attenuating frequencies beyond fc. Its phase response varies gradually, reflecting a tendency toward non-oscillatory behavior [22,28,29]. In particular, at very low frequencies, a small phase shift of −3.52° occurs at 3.07 Hz, followed by a transition to 4.27° at 4.85 Hz, and finally, a return to the original phase. As the frequency increases, the phase converges to −90°. Figure 4b shows the frequency response of G21(s) at −16 dB gain and 0° phase at system start-up. At very low frequencies, a resonant response appears with a resonant frequency (fr) of 3.07 Hz and a peak gain of 5.28 dB. This resonant frequency matches the inherent natural frequency of the system associated with the input VCdc(s) [22,28,29]. The associated bandwidth (BW) is narrow, at 2.06 Hz, emphasizing the gradual response of the system to behavioral changes due to the low fr. It is worth noting that G21(s) manifests two cutoff frequencies, fc1 at 2.21 Hz and fc2 at 4.27 Hz, implying distinct behavioral transitions within different frequency ranges.
Examining the phase of G21(s), its gradual transition indicates minimal oscillatory tendencies. The phase margins associated with fc1 and fc2 are PM1 = 116° and PM2 = 248°, respectively. These substantial phase margin values indicate the robust stability of G21(s) [22,28,29].
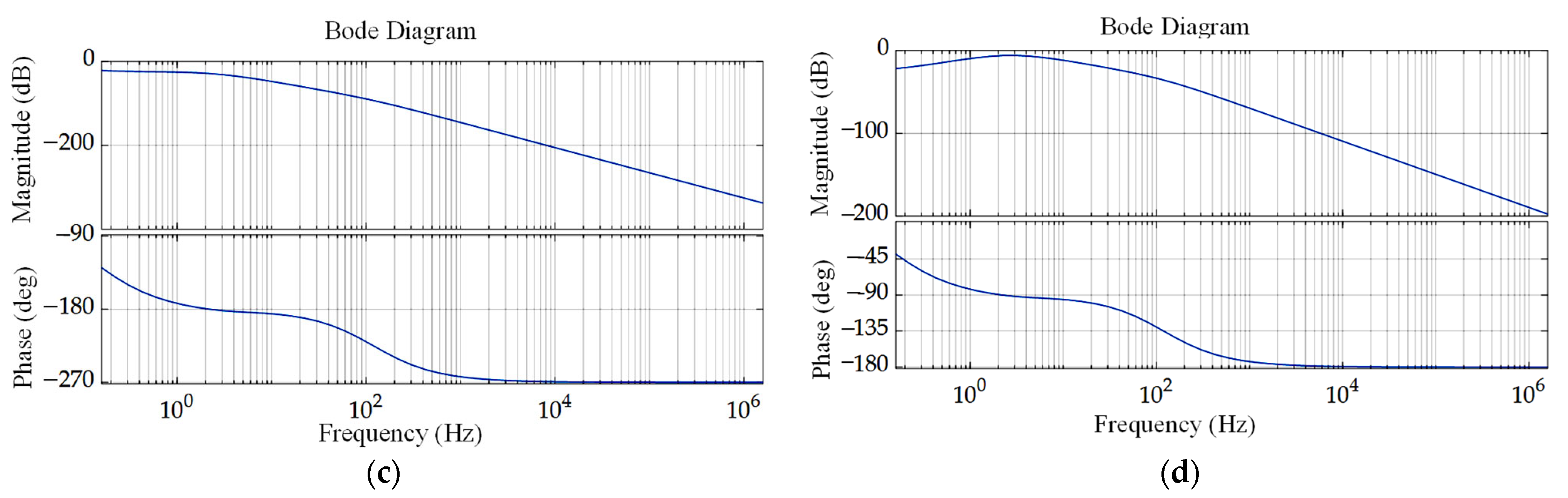
Finally, Figure 4c,d show the frequency response of G31(s) and G41(s), respectively. As can be seen, both TFs exhibit identical frequency responses, with initial gain and phase values of 1.15 dB and −95.3°, respectively. G31(s) and G41(s) exhibit resonant dynamics at a very low fr, specifically at 3.07 Hz, along with a narrow BW of 0.86 Hz, consistent with their gradual response to change [22,28,29].
The phase behavior of G31(s) and G41(s) exhibits a smooth transition without abrupt changes, indicating their non-oscillatory nature [22,28,29]. Notably, three phase shifts are observed: after fr, the phase shifts from −90° to −270°, and in the higher frequency range, it extends to −360°.
In addition, Figure 5a–d show Bode plots for the transfer functions G12(s) = Io(s)/D(s), G22(s) = VCdc(s)/D(s), G32(s) = Θ(s)/D(s), and G41(s) = w(s)/D(s), respectively.
In Figure 5a, the TF G12(s) exhibits an initial gain and phase of 14.3 dB and 195°, respectively. Specifically, G12(s) exhibits resonant behavior at a fr = 3.07 Hz, characterized by a BW = 3.05 Hz and a peak gain of 3.06 dB. Because of its low fr value, G12(s) responds gradually to changes. The phase dynamics of G12(s) show a smooth but highly multi-phase transition as the input frequency increases.
In Figure 5b, G22(s) shows resonant behavior similar to G12(s), with both the fr and BW close to those of G12(s). Notably, G22(s) exhibits a gain-dependent fc at 593 Hz, with a corresponding phase that provides insight into its high stability. This is reinforced by minimal phase changes and a phase margin of approximately 270°.
Figure 5c,d show G32(s) and G42(s), for which the dynamics are identical, with initial gain and phase values of −13.6 dB and −98.4°, respectively. Resonant characteristics emerge, sharing similar fr and BW values with G12(s). The phase dynamics of G32(s) and G42(s) show limited phase transitions, validating their non-oscillatory nature.
In summary, the analysis of the Bode plots provides valuable insight into the frequency response and stability characteristics of the EMD system, particularly in relation to the selected fs of 10 kHz. The Bode plots of the system TFs illustrate its behavior over different frequency ranges and provide insight into its gain, phase, resonant frequencies, and stability margins.
In particular, the resonances and cutoff frequencies seen in the Bode plots have significant implications for the system performance. The resonant frequencies, such as those exhibited by G21(s) and G31(s), are influenced by the natural dynamics of the system, which can be enhanced or dampened by the fs value. In addition, the cutoff frequencies of various transfer functions, such as those in G11(s), G21(s), and G22(s), emphasize the system’s ability to attenuate or transmit certain frequency components, introduced into the system by switching dynamics [39,40,41]. This, in turn, can affect the observed resonances, phase shifts, and stability margins shown in the Bode plots [40,41]. The impact of the fs value on switching losses, electromagnetic-emission interference, control algorithms, thermal management, and component selection further amplifies its importance in shaping the system behavior revealed by the Bode analysis [40,41]. Therefore, a comprehensive understanding of the Bode plots, combined with careful consideration of the chosen fs, enables an integrated approach to designing and optimizing the performance, stability, and efficiency of the EMD system over a range of frequencies.

8. Conclusions

This comprehensive analysis has highlighted the intricate dynamics, stability, and frequency response of an electromechanical switching device, offering valuable insights for control and design efforts. The development of a comprehensive model incorporating both electrical and mechanical elements via differential equations and state variables formed the foundation of this study.
Through the derivation of transfer functions and subsequent Bode plots, the complex interactions between inputs and outputs were analyzed, revealing critical features such as resonant and cutoff frequencies. The rigorous stability analysis, conducted using both time and s-domain perspectives, confirmed the stability of the system, a cornerstone for ensuring consistent and reliable performance.
Additionally, MATLAB/Simulink simulations served as a robust validation tool, capturing the high-frequency dynamics that dominate real-world applications. As a result, this study not only deepens the understanding of electromechanical switching devices but also provides a practical foundation for the development of robust control strategies. These strategies, tailored to resonance and phase management while carefully considering the effects of switching frequency, hold promise for improving the performance and efficiency of such systems.
Looking ahead, this research will lay the groundwork for several lines of development. Future studies could address the fine-tuning of control algorithms to mitigate the effects of high-frequency switching dynamics, thereby improving system efficiency. Moreover, the integration of advanced materials and components could be explored to optimize the performance and reliability of the EMD. Finally, these findings may facilitate their application across various fields, from renewable energy systems to precision machinery, where electromechanical switching devices play a pivotal role in achieving operational excellence and sustainability.

Author Contributions

Conceptualization, J.M.C.-S.; methodology, J.M.C.-S. and J.G.-S.; software, J.M.C.-S.; validation, J.M.C.-S. and J.G.-S.; formal analysis, J.M.C.-S. and J.G.-S.; investigation, J.M.C.-S. and J.G.-S.; writing—original draft preparation, J.M.C.-S.; writing—review and editing, J.M.C.-S. and J.G.-S.; visualization, J.M.C.-S. and J.G.-S.; supervision, J.M.C.-S. All authors have read and agreed to the published version of the manuscript.

Funding

This research received no external funding.

Data Availability Statement

The original contributions presented in this study are included in the article; further inquiries can be directed to the corresponding author.

Conflicts of Interest

The authors declare no conflicts of interest.

References

  1. Campos, J. Modeling, Control, and Simulation of a Single-Stage Capacitor Microphone. TechRxiv 2023. [Google Scholar] [CrossRef]
  2. Mohan, N. Electric Machines and Drives: A First Course; Wiley: Hoboken, NJ, USA, 2011; ISBN 978-1-118-07481-7. [Google Scholar]
  3. Mahmoud, M.S. Chapter 6—Control Design of Electromechanical Systems. In Advanced Control Design with Application to Electromechanical Systems; Mahmoud, M.S., Ed.; Butterworth-Heinemann: Oxford, UK, 2018; pp. 255–311, ISBN 978-0-12-814543-2. [Google Scholar]
  4. Krause, P.C.; Wasynczuk, O.; O’Connell, T. Introduction to the Analysis of Electromechanical Systems, 1st ed.; Wiley-IEEE Press: Hoboken, NJ, USA, 2021; ISBN 978-1-119-82999-7. [Google Scholar]
  5. Silva, F.A. Introduction to the Analysis of Electromechanical Systems. IEEE Ind. Electron. Mag. 2022, 16, 90–91. [Google Scholar] [CrossRef]
  6. Bolonne, S.R.A.; Chandima, D.P. Modeling and Simulation of an Electromechanical System for a Hybrid Rubber Tire Gantry Crane. In Proceedings of the 2018 2nd International Conference on Electrical Engineering (EECon), Colombo, Sri Lanka, 28 September 2018; pp. 14–20. [Google Scholar]
  7. Kimoulakis, N.M.; Kladas, A.G. Modeling and Control of a Coupled Electromechanical System Exploiting Heave Motion, for Energy Conversion from Sea Waves. In Proceedings of the 2008 IEEE Power Electronics Specialists Conference, Rhodes, Greece, 15–19 June 2008; pp. 3850–3853. [Google Scholar]
  8. Enge-Rosenblatt, O.; Kielau, G.; Maißer, P. Modelling and Simulation of Discrete Electromechanical Systems; Springer Fachmedien Wiesbaden GmbH: Wiesbaden, Germany, 1995; ISBN 978-3-519-02625-9. [Google Scholar]
  9. MathWorks. Part 1: In An Electro-Mechanical System Model by MATLAB SIMULINK Electromechanical. In Simscape Electrical—Electrical Block Libraries. 2025. Available online: https://www.mathworks.com/help/sps/electromechanical.html (accessed on 3 May 2025).
  10. Grepl, R. Modelling and Control of Electromechanical Servo System with High Nonlinearity. In Mechatronic Systems Simulation Modeling and Control; IntechOpen: London, UK, 2010; ISBN 978-953-307-041-4. [Google Scholar]
  11. Yerlikaya, Ü.; Balkan, R.T. Dynamic Modeling and Control of an Electromechanical Control Actuation System; American Society of Mechanical Engineers Digital Collection: New York, NY, USA, 2017. [Google Scholar]
  12. Yu, Y.; Mi, Z. Dynamic Modeling and Control of Electromechanical Coupling for Mechanical Elastic Energy Storage System. J. Appl. Math. 2013, 2013, 603063. [Google Scholar] [CrossRef]
  13. Vasyliv, K.M. Method of Dynamic Parameters for Mathematical Modelling of Switching Processes of Valves Closing of Semiconductor Converters. Electr. Eng. Electromech. 2022, 3, 28–38. [Google Scholar] [CrossRef]
  14. Suba, G.M.; Kumaresan, M. Design of LLC Resonant Converter with Silicon Carbide MOSFET Switches and Nonlinear Adaptive Sliding Controller for Brushless DC Motor System. Electr. Eng. Electromech. 2022, 4, 34–43. [Google Scholar] [CrossRef]
  15. Vereshchago, E.; Kostiuchenko, V.; Novogretskyi, S. Analysis of a DC Converter Working on a Plasma Arc. Electr. Eng. Electromech. 2023, 5, 31–36. [Google Scholar] [CrossRef]
  16. Ramirez-Laboreo, E.; Sagues, C.; Moya-Lasheras, E.; Serrano-Seco, E. On the Stability of Electromechanical Switching Devices. IEEE/ASME Trans. Mechatron. 2024, 30, 1143–1153. [Google Scholar] [CrossRef]
  17. Ye, Z.; Patin, N. Design of a DC-DC Converter Network for an Electromagnetic Actuator Array. E Prime Adv. Electr. Eng. Electron. Energy 2023, 4, 100172. [Google Scholar] [CrossRef]
  18. Ye, Z.; Patin, N. Fast Current Control Based on Indirect Current Sensing of The Full-Bridge Converter Associated with An Electromagnetic Micro-Actuator. E Prime Adv. Electr. Eng. Electron. 2023, 5, 100188. [Google Scholar] [CrossRef]
  19. Schwegel, M.; Glück, T.; Shaferman, V.; Zaccarian, L.; Kugi, A. Adaptive Two-Degrees-of-Freedom Current Control for Solenoids: Theoretical Investigation and Practical Application. IEEE Trans. Control Syst. Technol. 2023, 31, 1078–1091. [Google Scholar] [CrossRef]
  20. Mabetha, B.; Li, Y.; Stauth, J.T. Modeling and Analysis of Buck-Boost Converter for Soft Charging Capacitive Loads. In Proceedings of the 2023 IEEE Energy Conversion Congress and Exposition (ECCE), Nashville, TN, USA, 29 October–2 November 2023; pp. 3445–3451. [Google Scholar]
  21. Molina-Santana, E.; Iturralde Carrera, L.A.; Álvarez-Alvarado, J.M.; Aviles, M.; Rodríguez-Resendiz, J. Modeling and Control of a Permanent Magnet DC Motor: A Case Study for a Bidirectional Conveyor Belt’s Application. Eng 2025, 6, 42. [Google Scholar] [CrossRef]
  22. Katsuhiko, O. Modern Control Engineering; Pearson: Boston, MA, USA, 2009; ISBN 978-0-13-615673-4. [Google Scholar]
  23. Nasar, S.A. Schaum’s Outline of Electrical Power Systems; McGraw Hill Professional: New York, NY, USA, 1990; ISBN 978-0-07-045917-5. [Google Scholar]
  24. Fitzgerald, A.E. Electric Machinery, 6th ed.; Fitzgerald, A.E., Charles Kingsley, J.R., Stephen, D.U., Eds.; McGraw-Hill: Boston, MA, USA, 2005; ISBN 978-0-07-123010-0. [Google Scholar]
  25. Moussaoui, L. Performance Enhancement of Direct Torque Control Induction Motor Drive Using Space Vector Modulation Strategy. Eng 2022, 1, 29–37. [Google Scholar] [CrossRef]
  26. Alepuz, S. Aportación Al Control DEL convertidor CC/CA De Tres Niveles; Universitat Politècnica de Catalunya: Barcelona, Spain, 2004; ISBN 978-84-689-0569-3. [Google Scholar]
  27. Brogan, W.L. Modern Control Theory; Prentice Hall: Hoboken, NJ, USA, 1991; ISBN 978-0-13-589763-8. [Google Scholar]
  28. Levine, W.S. The Control Handbook (Three Volume Set); CRC Press: Boca Raton, FL, USA, 2018; ISBN 978-1-315-21869-4. [Google Scholar]
  29. Kuo, B.C. Automatic Control Systems, 6th ed.; Prentice Hall: Englewood Cliffs, NJ, USA, 1991; ISBN 978-0-13-051046-4. [Google Scholar]
  30. Khalil, H. Nonlinear Control, 1st ed.; Pearson: Boston, MA, USA, 2014; ISBN 978-0-13-349926-1. [Google Scholar]
  31. Duda, J.T.; Pelech-Pilichowski, T. Moving Trend Based Filters Design in Frequency Domain. In Proceedings of the 2013 Federated Conference on Computer Science and Information Systems, Krakow, Poland, 8–11 September 2013; pp. 927–930. [Google Scholar]
  32. Pavlov, A.; van de Wouw, N.; Nijmeijer, H. Frequency Response Functions and Bode Plots for Nonlinear Convergent Systems. In Proceedings of the 45th IEEE Conference on Decision and Control, San Diego, CA, USA, 13–15 December 2006; pp. 3765–3770. [Google Scholar]
  33. Keel, L.H.; Bhattacharyya, S.P. A Bode Plot Characterization of All Stabilizing Controllers. IEEE Trans. Autom. Control 2010, 55, 2650–2654. [Google Scholar] [CrossRef]
  34. Gabel, R.; Smith, B. Bode Plot Analysis of Linear Discrete-Time Systems. IEEE Trans. Acoust. Speech Signal Process. 1975, 23, 525–529. [Google Scholar] [CrossRef]
  35. Coppens, P.; Van den Bossche, J.; De Cock, M. Student Understanding of Phase Shifts, Frequency and Bode Plots. Int. J. Electr. Eng. Educ. 2017, 54, 247–261. [Google Scholar] [CrossRef]
  36. Li, X.; Wang, H.; Dai, X. A Power and Data Decoupled Transmission Method for Wireless Power Transfer Systems via a Shared Inductive Link. Energies 2018, 11, 2161. [Google Scholar] [CrossRef]
  37. Perng, J.W.; Tseng, W.T.; Han, K.W.; Tsai, S.J.; Lin, C.H. Frequency Domain Analysis of Mechanical Vibrations in Automatic Rolling Systems. J. Frankl. Inst. 1998, 335, 679–694. [Google Scholar] [CrossRef]
  38. Rao, S.S. Mechanical Vibrations, 5th ed.; Pearson: Singapore, 2010; ISBN 978-0-13-212819-3. [Google Scholar]
  39. Nandankar, P.V.; Bedekar, P.P.; Dhawas, P.K.V. Variable Switching Frequency Control for Efficient DC-DC Converter. Mater. Today Proc. 2022, 51, 515–521. [Google Scholar] [CrossRef]
  40. Mohan, N. Power Electronics: Converters, Applications, and Design; Wiley: Hoboken, NJ, USA, 1995; ISBN 978-9971-5-1177-7. [Google Scholar]
  41. Erickson, R.W.; Maksimović, D. Fundamentals of Power Electronics; Springer Science & Business Media: Berlin/Heidelberg, Germany, 2013; ISBN 978-1-4615-7646-4. [Google Scholar]
Figure 1. Topology of electromechanical device.
Figure 1. Topology of electromechanical device.
Jeta 03 00018 g001
Figure 2. Block diagram of the EMD. It follows the definition of the TFs as (Yi(s)/Uj(s))|Uj(s) = 0 = Gij(s) where i ∈ {1, 2, 3, 4} and ∈ {1, 2}.
Figure 2. Block diagram of the EMD. It follows the definition of the TFs as (Yi(s)/Uj(s))|Uj(s) = 0 = Gij(s) where i ∈ {1, 2, 3, 4} and ∈ {1, 2}.
Jeta 03 00018 g002
Figure 3. Open-loop EMD dynamics in the absence of disturbances. Initial conditions at all SVs set to zero: (a) io(t) dynamic; (b) vCdc(t) dynamic; (c) θ(t) dynamic; (d) d(t)/dt dynamic; (e) d2θ(t)/dt2 dynamic.
Figure 3. Open-loop EMD dynamics in the absence of disturbances. Initial conditions at all SVs set to zero: (a) io(t) dynamic; (b) vCdc(t) dynamic; (c) θ(t) dynamic; (d) d(t)/dt dynamic; (e) d2θ(t)/dt2 dynamic.
Jeta 03 00018 g003
Figure 4. Bode plots of the TFs with reference to the input U1(s) (= Vdc(s)): (a) G11(s) = Io(s)/Vdc(s); (b) G21(s) = VCdc(s)/Vdc(s); (c) G31(s) = Θ(s)/Vdc(s); (d) G41(s) = w(s)/Vdc(s).
Figure 4. Bode plots of the TFs with reference to the input U1(s) (= Vdc(s)): (a) G11(s) = Io(s)/Vdc(s); (b) G21(s) = VCdc(s)/Vdc(s); (c) G31(s) = Θ(s)/Vdc(s); (d) G41(s) = w(s)/Vdc(s).
Jeta 03 00018 g004aJeta 03 00018 g004b
Figure 5. Bode plots of the TFs with reference to the input U2(s) (= D(s)): (a) G12(s) = Io(s)/D(s); (b) G22(s) = VCdc(s)/D(s); (c) G32(s) = Θ(s)/D(s); (d) G42(s) = w(s)/D(s).
Figure 5. Bode plots of the TFs with reference to the input U2(s) (= D(s)): (a) G12(s) = Io(s)/D(s); (b) G22(s) = VCdc(s)/D(s); (c) G32(s) = Θ(s)/D(s); (d) G42(s) = w(s)/D(s).
Jeta 03 00018 g005
Table 1. EMD parameters.
Table 1. EMD parameters.
ParametersValues
AL0.05
BLAL
J10 kgm2/rad
b25 Nms/rad
k10 Nm/rad
R100 mΩ
Rdc100 mΩ
Cdc900 μF
Table 2. Zeros of the TFs defined in (23).
Table 2. Zeros of the TFs defined in (23).
TFZeros
G11(s)−2.2478 + j·21.0506
−2.2478 − j·21.0506
−0.0045
G21(s)−2
−0.5
G31(s)
G41(s)0
G12(s)−67.1460
−9.2217
−0.1195
G22(s)−4.9513·104
−2
0
G32(s)−4.9505·104
G42(s)−4.9505·104
0
Disclaimer/Publisher’s Note: The statements, opinions and data contained in all publications are solely those of the individual author(s) and contributor(s) and not of MDPI and/or the editor(s). MDPI and/or the editor(s) disclaim responsibility for any injury to people or property resulting from any ideas, methods, instructions or products referred to in the content.

Share and Cite

MDPI and ACS Style

Campos-Salazar, J.M.; Gonzalez-Salazar, J. Insights into an Angular-Motion Electromechanical-Switching Device: Characteristics, Behavior, and Modeling. J. Exp. Theor. Anal. 2025, 3, 18. https://doi.org/10.3390/jeta3020018

AMA Style

Campos-Salazar JM, Gonzalez-Salazar J. Insights into an Angular-Motion Electromechanical-Switching Device: Characteristics, Behavior, and Modeling. Journal of Experimental and Theoretical Analyses. 2025; 3(2):18. https://doi.org/10.3390/jeta3020018

Chicago/Turabian Style

Campos-Salazar, José M., and Jorge Gonzalez-Salazar. 2025. "Insights into an Angular-Motion Electromechanical-Switching Device: Characteristics, Behavior, and Modeling" Journal of Experimental and Theoretical Analyses 3, no. 2: 18. https://doi.org/10.3390/jeta3020018

APA Style

Campos-Salazar, J. M., & Gonzalez-Salazar, J. (2025). Insights into an Angular-Motion Electromechanical-Switching Device: Characteristics, Behavior, and Modeling. Journal of Experimental and Theoretical Analyses, 3(2), 18. https://doi.org/10.3390/jeta3020018

Article Metrics

Back to TopTop