Receptor Protein Tyrosine Phosphatases (RPTPs): Structure and Biological Roles in Cancer
Abstract
1. Introduction
2. The Conserved PTP Catalytic Domain and Mechanism
3. Classification of RPTPs Based on Their Extracellular Domains
4. Two Catalytic Domains Containing RPTPs
5. RPTP Catalytic Specificity and Regulation Mechanisms
6. RPTPs and Their Signaling Effectors in Cancer
6.1. PTPα and PTPε: Activators of SRC Family Kinases in Cellular Transformation and Adhesion
6.2. LAR: Context-Dependent Receptor Tyrosine Kinase Regulation and Complex Signaling Networks
6.3. PTPρ and PTPζ: Cell Migration Control and Ligand-Dependent Regulation
6.4. PTPδ, and PTPσ: Diverse Regulatory Functions Across Cancer Types
6.5. DEP-1: A Multifunctional Phosphatase with a Diverse Substrate Repertoire
6.6. Nuclear and Membrane-Bound Forms of PTPκ and PTPμ: Dual Localization and Function
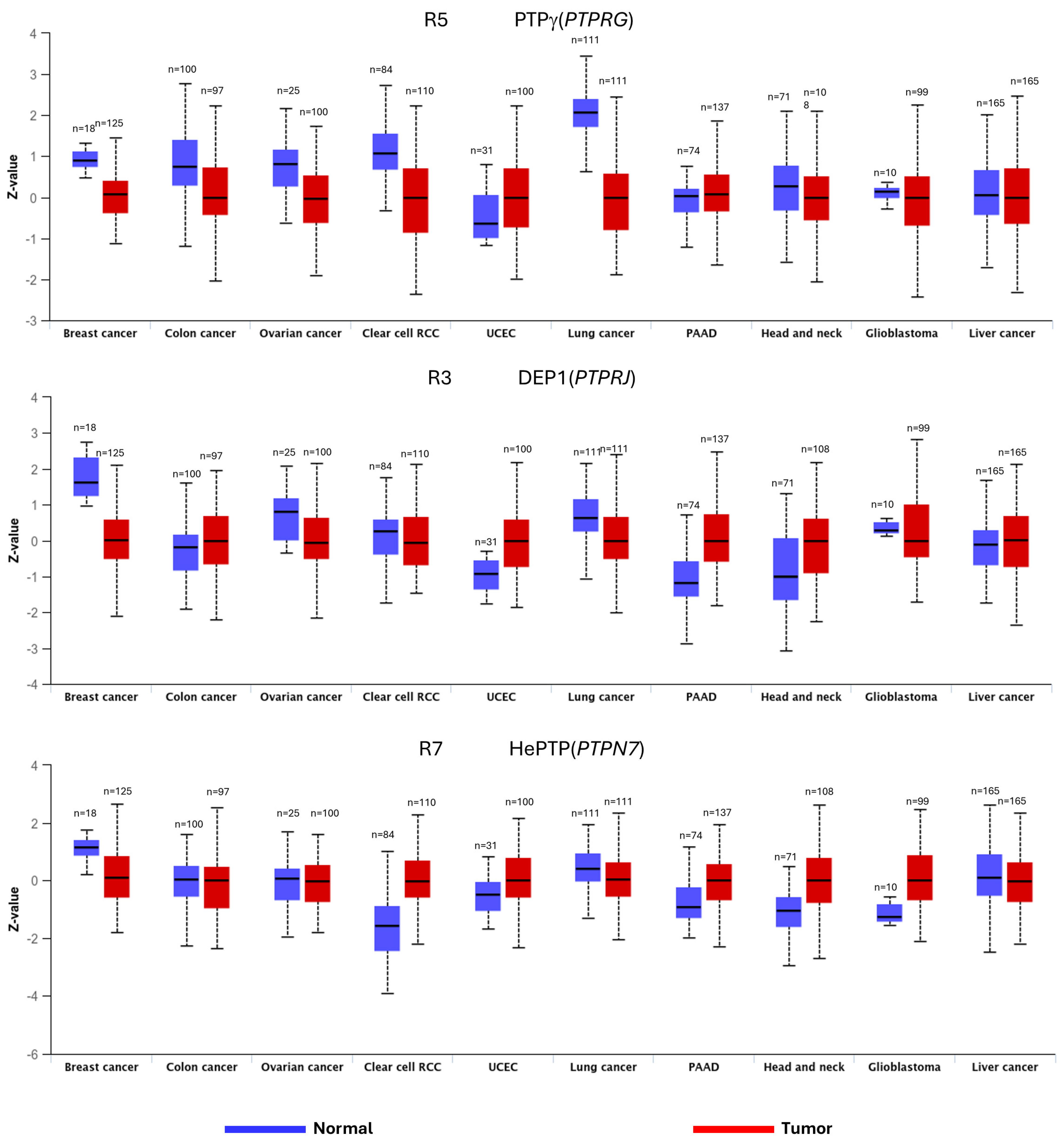
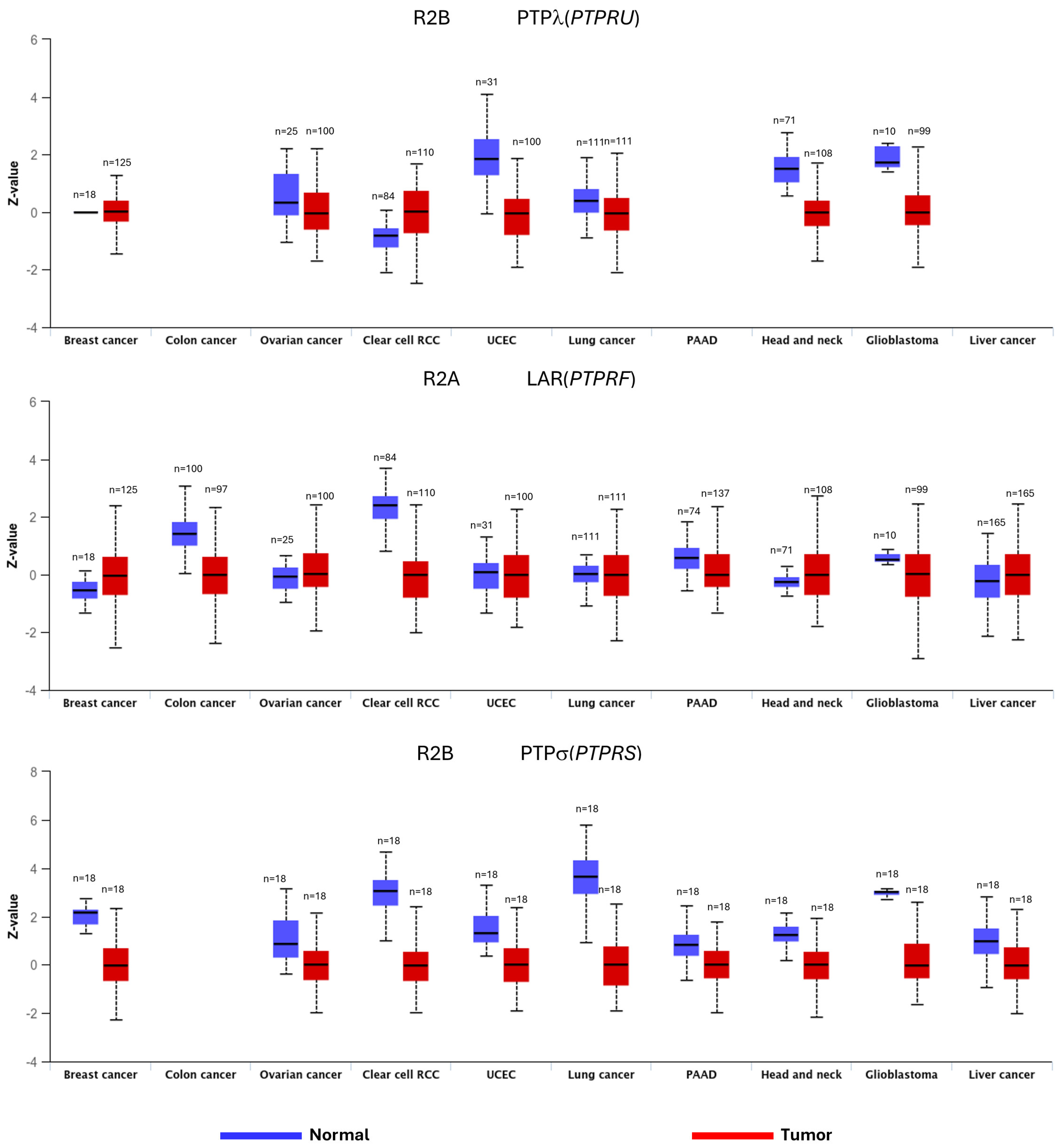
7. RPTP Expression and Signaling in Human Cancers: Analysis of CPTAC/ICPC Database
8. Therapeutic Implications: Challenges and Opportunities
9. Conclusions
Author Contributions
Funding
Data Availability Statement
Conflicts of Interest
References
- Hunter, T. The genesis of tyrosine phosphorylation. Cold Spring Harb. Perspect. Biol. 2014, 6, a020644. [Google Scholar] [CrossRef]
- Manning, G.; Whyte, D.B.; Martinez, R.; Hunter, T.; Sudarsanam, S. The protein kinase complement of the human genome. Science 2002, 298, 1912–1934. [Google Scholar] [CrossRef] [PubMed]
- Rygiel, K.A.; Elkins, J.M. Recent advances in the structural biology of tyrosine kinases. Curr. Opin. Struct. Biol. 2023, 82, 102665. [Google Scholar] [CrossRef] [PubMed]
- Hunter, T. Tyrosine phosphorylation: Thirty years and counting. Curr. Opin. Cell Biol. 2009, 21, 140–146. [Google Scholar] [CrossRef]
- Andersen, J.N.; Mortensen, O.H.; Peters, G.H.; Drake, P.G.; Iversen, L.F.; Olsen, O.H.; Jansen, P.G.; Andersen, H.S.; Tonks, N.K.; Moller, N.P. Structural and evolutionary relationships among protein tyrosine phosphatase domains. Mol. Cell. Biol. 2001, 21, 7117–7136. [Google Scholar] [CrossRef]
- Cicenas, J.; Zalyte, E.; Bairoch, A.; Gaudet, P. Kinases and Cancer. Cancers 2018, 10, 63. [Google Scholar] [CrossRef] [PubMed]
- Motiwala, T.; Jacob, S.T. Role of protein tyrosine phosphatases in cancer. Prog. Nucleic Acid. Res. Mol. Biol. 2006, 81, 297–329. [Google Scholar] [CrossRef]
- Qi, X.M.; Wang, F.; Mortensen, M.; Wertz, R.; Chen, G. Targeting an oncogenic kinase/phosphatase signaling network for cancer therapy. Acta Pharm. Sin. B 2018, 8, 511–517. [Google Scholar] [CrossRef]
- Ventura, J.J.; Nebreda, A.R. Protein kinases and phosphatases as therapeutic targets in cancer. Clin. Transl. Oncol. 2006, 8, 153–160. [Google Scholar] [CrossRef]
- Andersen, J.N.; Jansen, P.G.; Echwald, S.M.; Mortensen, O.H.; Fukada, T.; Del Vecchio, R.; Tonks, N.K.; Moller, N.P. A genomic perspective on protein tyrosine phosphatases: Gene structure, pseudogenes, and genetic disease linkage. FASEB J. 2004, 18, 8–30. [Google Scholar] [CrossRef]
- Andersen, J.N.; Del Vecchio, R.L.; Kannan, N.; Gergel, J.; Neuwald, A.F.; Tonks, N.K. Computational analysis of protein tyrosine phosphatases: Practical guide to bioinformatics and data resources. Methods 2005, 35, 90–114. [Google Scholar] [CrossRef] [PubMed]
- Ahuja, L.G. Protein Tyrosine Phosphatases; De Gruyter: Berlin, Germany, 2018. [Google Scholar] [CrossRef]
- Tonks, N.K. Protein tyrosine phosphatases--from housekeeping enzymes to master regulators of signal transduction. FEBS J. 2013, 280, 346–378. [Google Scholar] [CrossRef] [PubMed]
- Tonks, N.K. PTP1B: From the sidelines to the front lines! FEBS Lett. 2003, 546, 140–148. [Google Scholar] [CrossRef]
- Ferguson, K.M. Structure-based view of epidermal growth factor receptor regulation. Annu. Rev. Biophys. 2008, 37, 353–373. [Google Scholar] [CrossRef] [PubMed]
- Meng, Y.; Ahuja, L.G.; Kornev, A.P.; Taylor, S.S.; Roux, B. A Catalytically Disabled Double Mutant of Src Tyrosine Kinase Can Be Stabilized into an Active-Like Conformation. J. Mol. Biol. 2018, 430, 881–889, Erratum in J. Mol. Biol. 2018, 430, 4439. https://doi.org/10.1016/j.jmb.2018.09.001.. [Google Scholar] [CrossRef]
- Bian, Y.; Song, C.; Cheng, K.; Dong, M.; Wang, F.; Huang, J.; Sun, D.; Wang, L.; Ye, M.; Zou, H. An enzyme assisted RP-RPLC approach for in-depth analysis of human liver phosphoproteome. J. Proteom. 2014, 96, 253–262. [Google Scholar] [CrossRef]
- Welsh, C.L.; Pandey, P.; Ahuja, L.G. Protein Tyrosine Phosphatases: A new paradigm in an old signaling system? Adv. Cancer Res. 2021, 152, 263–303. [Google Scholar] [CrossRef]
- Muise, E.S.; Vrielink, A.; Ennis, M.A.; Lemieux, N.H.; Tremblay, M.L. Thermosensitive mutants of the MPTP and hPTP1B protein tyrosine phosphatases: Isolation and structural analysis. Protein Sci. 1996, 5, 604–613. [Google Scholar] [CrossRef]
- Tsai, A.Y.; Itoh, M.; Streuli, M.; Thai, T.; Saito, H. Isolation and characterization of temperature-sensitive and thermostable mutants of the human receptor-like protein tyrosine phosphatase LAR. J. Biol. Chem. 1991, 266, 10534–10543. [Google Scholar] [CrossRef]
- Madan, L.L.; Gopal, B. Conformational basis for substrate recruitment in protein tyrosine phosphatase 10 D. Biochemistry 2011, 50, 10114–10125. [Google Scholar] [CrossRef]
- Jia, Z.; Barford, D.; Flint, A.J.; Tonks, N.K. Structural basis for phosphotyrosine peptide recognition by protein tyrosine phosphatase 1B. Science 1995, 268, 1754–1758. [Google Scholar] [CrossRef]
- Moise, G.; Morales, Y.; Beaumont, V.; Caradonna, T.; Loria, J.P.; Johnson, S.J.; Hengge, A.C. A YopH PTP1B Chimera Shows the Importance of the WPD-Loop Sequence to the Activity, Structure, and Dynamics of Protein Tyrosine Phosphatases. Biochemistry 2018, 57, 5315–5326. [Google Scholar] [CrossRef]
- Brandão, T.A.S.; Johnson, S.J.; Hengge, A.C. The molecular details of WPD-loop movement differ in the protein-tyrosine phosphatases YopH and PTP1B. Arch. Biochem. Biophys. 2012, 525, 53–59. [Google Scholar] [CrossRef]
- Denu, J.M.; Dixon, J.E. Protein tyrosine phosphatases: Mechanisms of catalysis and regulation. Curr. Opin. Chem. Biol. 1998, 2, 633–641. [Google Scholar] [CrossRef] [PubMed]
- Zhang, Z.Y.; Wang, Y.; Dixon, J.E. Dissecting the catalytic mechanism of protein-tyrosine phosphatases. Proc. Natl. Acad. Sci. USA 1994, 91, 1624–1627. [Google Scholar] [CrossRef] [PubMed]
- Zhao, Y.; Wu, L.; Noh, S.J.; Guan, K.L.; Zhang, Z.Y. Altering the nucleophile specificity of a protein-tyrosine phosphatase-catalyzed reaction. Probing the function of the invariant glutamine residues. J. Biol. Chem. 1998, 273, 5484–5492. [Google Scholar] [CrossRef]
- Brady-Kalnay, S.M.; Tonks, N.K. Protein tyrosine phosphatases as adhesion receptors. Curr. Opin. Cell Biol. 1995, 7, 650–657. [Google Scholar] [CrossRef]
- Pixley, F.J.; Lee, P.S.; Dominguez, M.G.; Einstein, D.B.; Stanley, E.R. A heteromorphic protein-tyrosine phosphatase, PTP phi, is regulated by CSF-1 in macrophages. J. Biol. Chem. 1995, 270, 27339–27347. [Google Scholar] [CrossRef]
- Elson, A.; Leder, P. Identification of a cytoplasmic, phorbol ester-inducible isoform of protein tyrosine phosphatase epsilon. Proc. Natl. Acad. Sci. USA 1995, 92, 12235–12239. [Google Scholar] [CrossRef] [PubMed]
- Ahuja, L.G.; Gopal, B. Bi-domain protein tyrosine phosphatases reveal an evolutionary adaptation to optimize signal transduction. Antioxid. Redox Signal. 2014, 20, 2141–2159. [Google Scholar] [CrossRef]
- Hay, I.M.; Fearnley, G.W.; Rios, P.; Köhn, M.; Sharpe, H.J.; Deane, J.E. The receptor PTPRU is a redox sensitive pseudophosphatase. Nat. Commun. 2020, 11, 3219. [Google Scholar] [CrossRef]
- Krueger, N.X.; Streuli, M.; Saito, H. Structural diversity and evolution of human receptor-like protein tyrosine phosphatases. EMBO J. 1990, 9, 3241–3252. [Google Scholar] [CrossRef]
- Pils, B.; Schultz, J. Evolution of the multifunctional protein tyrosine phosphatase family. Mol. Biol. Evol. 2004, 21, 625–631. [Google Scholar] [CrossRef] [PubMed]
- Nam, H.J.; Poy, F.; Krueger, N.X.; Saito, H.; Frederick, C.A. Crystal structure of the tandem phosphatase domains of RPTP LAR. Cell 1999, 97, 449–457. [Google Scholar] [CrossRef] [PubMed]
- Buist, A.; Zhang, Y.L.; Keng, Y.F.; Wu, L.; Zhang, Z.Y.; Den Hertog, J. Restoration of potent protein-tyrosine phosphatase activity into the membrane-distal domain of receptor protein-tyrosine phosphatase α. Biochemistry 1999, 38, 914–922. [Google Scholar] [CrossRef]
- Lim, K.L.; Kolatkar, P.R.; Ng, K.P.; Ng, C.H.; Pallen, C.J. Interconversion of the kinetic identities of the tandem catalytic domains of receptor-like protein-tyrosine phosphatase PTPα by two point mutations is synergistic and substrate-dependent. J. Biol. Chem. 1998, 273, 28986–28993. [Google Scholar] [CrossRef]
- Lim, K.L.; Ng, C.H.; Pallen, C.J. Catalytic activation of the membrane distal domain of protein tyrosine phosphatase ε, but not CD45, by two point mutations. Biochim. Biophys. Acta-Protein Struct. Mol. Enzymol. 1999, 1434, 275–283. [Google Scholar] [CrossRef]
- Barr, A.J.; Ugochukwu, E.; Lee, W.H.; King, O.N.; Filippakopoulos, P.; Alfano, I.; Savitsky, P.; Burgess-Brown, N.A.; Muller, S.; Knapp, S. Large-scale structural analysis of the classical human protein tyrosine phosphatome. Cell 2009, 136, 352–363. [Google Scholar] [CrossRef]
- Shen, Y.; Tenney, A.P.; Busch, S.A.; Horn, K.P.; Cuascut, F.X.; Liu, K.; He, Z.; Silver, J.; Flanagan, J.G. PTPsigma is a receptor for chondroitin sulfate proteoglycan, an inhibitor of neural regeneration. Science 2009, 326, 592–596. [Google Scholar] [CrossRef] [PubMed]
- Hermiston, M.L.; Xu, Z.; Weiss, A. CD45: A critical regulator of signaling thresholds in immune cells. Annu. Rev. Immunol. 2003, 21, 107–137. [Google Scholar] [CrossRef]
- Majeti, R.; Bilwes, A.M.; Noel, J.P.; Hunter, T.; Weiss, A. Dimerization-Induced Inhibition of Receptor Protein Tyrosine Phosphatase Function Through an Inhibitory Wedge. Science 1998, 279, 88–91. [Google Scholar] [CrossRef]
- Aricescu, A.R.; McKinnell, I.W.; Halfter, W.; Stoker, A.W. Heparan sulfate proteoglycans are ligands for receptor protein tyrosine phosphatase sigma. Mol. Cell. Biol. 2002, 22, 1881–1892. [Google Scholar] [CrossRef]
- Xie, Y.; Massa, S.M.; Ensslen-Craig, S.E.; Major, D.L.; Yang, T.; Tisi, M.A.; Derevyanny, V.D.; Runge, W.O.; Mehta, B.P.; Moore, L.A.; et al. Protein-tyrosine Phosphatase (PTP) Wedge Domain Peptides. J. Biol. Chem. 2006, 281, 16482–16492. [Google Scholar] [CrossRef]
- Welsh, C.L.; Madan, L.K. Protein Tyrosine Phosphatase regulation by Reactive Oxygen Species. Adv. Cancer Res. 2024, 162, 45–74. [Google Scholar] [CrossRef] [PubMed]
- Jeon, T.J.; Chien, P.N.; Chun, H.-J.; Ryu, S.E. Structure of the Catalytic Domain of Protein Tyrosine Phosphatase Sigma in the Sulfenic Acid Form. Mol. Cells 2013, 36, 55–61. [Google Scholar] [CrossRef]
- Ponniah, S.; Wang, D.Z.; Lim, K.L.; Pallen, C.J. Targeted disruption of the tyrosine phosphatase PTPalpha leads to constitutive downregulation of the kinases Src and Fyn. Curr. Biol. 1999, 9, 535–538. [Google Scholar] [CrossRef] [PubMed]
- Bodrikov, V.; Leshchyns’ka, I.; Sytnyk, V.; Overvoorde, J.; den Hertog, J.; Schachner, M. RPTPalpha is essential for NCAM-mediated p59fyn activation and neurite elongation. J. Cell Biol. 2005, 168, 127–139. [Google Scholar] [CrossRef] [PubMed]
- Harder, K.W.; Moller, N.P.H.; Peacock, J.W.; Jirik, F.R. Protein-tyrosine Phosphatase α Regulates Src Family Kinases and Alters Cell-Substratum Adhesion. J. Biol. Chem. 1998, 273, 31890–31900. [Google Scholar] [CrossRef]
- Zeng, L.; Si, X.; Yu, W.P.; Le, H.T.; Ng, K.P.; Teng, R.M.; Ryan, K.; Wang, D.Z.; Ponniah, S.; Pallen, C.J. PTP alpha regulates integrin-stimulated FAK autophosphorylation and cytoskeletal rearrangement in cell spreading and migration. J. Cell Biol. 2003, 160, 137–146. [Google Scholar] [CrossRef]
- Chen, M.; Chen, S.C.; Pallen, C.J. Integrin-induced tyrosine phosphorylation of protein-tyrosine phosphatase-alpha is required for cytoskeletal reorganization and cell migration. J. Biol. Chem. 2006, 281, 11972–11980. [Google Scholar] [CrossRef]
- Wang, Q.; Wang, Y.; Fritz, D.; Rajshankar, D.; Downey, G.P.; McCulloch, C.A. Interactions of the protein-tyrosine phosphatase-α with the focal adhesion targeting domain of focal adhesion kinase are involved in interleukin-1 signaling in fibroblasts. J. Biol. Chem. 2014, 289, 18427–18441. [Google Scholar] [CrossRef]
- Huang, J.; Yao, L.; Xu, R.; Wu, H.; Wang, M.; White, B.S.; Shalloway, D.; Zheng, X. Activation of Src and transformation by an RPTPalpha splice mutant found in human tumours. EMBO J. 2011, 30, 3200–3211. [Google Scholar] [CrossRef]
- Okada, M. Regulation of the SRC family kinases by Csk. Int. J. Biol. Sci. 2012, 8, 1385–1397. [Google Scholar] [CrossRef]
- Ardini, E.; Agresti, R.; Tagliabue, E.; Greco, M.; Aiello, P.; Yang, L.T.; Ménard, S.; Sap, J. Expression of protein tyrosine phosphatase alpha (RPTPalpha) in human breast cancer correlates with low tumor grade, and inhibits tumor cell growth in vitro and in vivo. Oncogene 2000, 19, 4979–4987. [Google Scholar] [CrossRef] [PubMed]
- Elson, A.; Leder, P. Protein-tyrosine phosphatase epsilon. An isoform specifically expressed in mouse mammary tumors initiated by v-Ha-ras OR neu. J. Biol. Chem. 1995, 270, 26116–26122. [Google Scholar] [CrossRef] [PubMed]
- Gil-Henn, H.; Elson, A. Tyrosine Phosphatase-ε Activates Src and Supports the Transformed Phenotype of Neu-induced Mammary Tumor Cells. J. Biol. Chem. 2003, 278, 15579–15586. [Google Scholar] [CrossRef]
- Dunah, A.W.; Hueske, E.; Wyszynski, M.; Hoogenraad, C.C.; Jaworski, J.; Pak, D.T.; Simonetta, A.; Liu, G.; Sheng, M. LAR receptor protein tyrosine phosphatases in the development and maintenance of excitatory synapses. Nat. Neurosci. 2005, 8, 458–467. [Google Scholar] [CrossRef] [PubMed]
- Gan, T.; Stevens, A.T.; Xiong, X.; Wen, Y.A.; Farmer, T.N.; Li, A.T.; Stevens, P.D.; Golshani, S.; Weiss, H.L.; Evers, B.M.; et al. Inhibition of protein tyrosine phosphatase receptor type F suppresses Wnt signaling in colorectal cancer. Oncogene 2020, 39, 6789–6801. [Google Scholar] [CrossRef]
- Zheng, W.; Lennartsson, J.; Hendriks, W.; Heldin, C.-H.; Hellberg, C. The LAR protein tyrosine phosphatase enables PDGF β-receptor activation through attenuation of the c-Abl kinase activity. Cell. Signal. 2011, 23, 1050–1056. [Google Scholar] [CrossRef]
- Sarhan, A.R.; Patel, T.R.; Creese, A.J.; Tomlinson, M.G.; Hellberg, C.; Heath, J.K.; Hotchin, N.A.; Cunningham, D.L. Regulation of Platelet Derived Growth Factor Signaling by Leukocyte Common Antigen-related (LAR) Protein Tyrosine Phosphatase: A Quantitative Phosphoproteomics Study. Mol. Cell. Proteom. 2016, 15, 1823–1836. [Google Scholar] [CrossRef]
- Kulas, D.T.; Zhang, W.-R.; Goldstein, B.J.; Furlanetto, R.W.; Mooney, R.A. Insulin Receptor Signaling Is Augmented by Antisense Inhibition of the Protein Tyrosine Phosphatase LAR (∗). J. Biol. Chem. 1995, 270, 2435–2438. [Google Scholar] [CrossRef]
- Bera, R.; Chiou, C.Y.; Yu, M.C.; Peng, J.M.; He, C.R.; Hsu, C.Y.; Huang, H.L.; Ho, U.Y.; Lin, S.M.; Lin, Y.J.; et al. Functional genomics identified a novel protein tyrosine phosphatase receptor type F-mediated growth inhibition in hepatocarcinogenesis. Hepatology 2014, 59, 2238–2250. [Google Scholar] [CrossRef]
- Tian, X.; Yang, C.; Yang, L.; Sun, Q.; Liu, N. PTPRF as a novel tumor suppressor through deactivation of ERK1/2 signaling in gastric adenocarcinoma. OncoTargets Ther. 2018, 11, 7795–7803. [Google Scholar] [CrossRef]
- Zhao, Y.; Zhang, X.; Guda, K.; Lawrence, E.; Sun, Q.; Watanabe, T.; Iwakura, Y.; Asano, M.; Wei, L.; Yang, Z.; et al. Identification and functional characterization of paxillin as a target of protein tyrosine phosphatase receptor T. Proc. Natl. Acad. Sci. USA 2010, 107, 2592–2597. [Google Scholar] [CrossRef]
- Xia, Z.; Ouyang, D.; Li, Q.; Li, M.; Zou, Q.; Li, L.; Yi, W.; Zhou, E. The Expression, Functions, Interactions and Prognostic Values of PTPRZ1: A Review and Bioinformatic Analysis. J. Cancer 2019, 10, 1663–1674. [Google Scholar] [CrossRef] [PubMed]
- Maeda, N.; Ichihara-Tanaka, K.; Kimura, T.; Kadomatsu, K.; Muramatsu, T.; Noda, M. A receptor-like protein-tyrosine phosphatase PTPzeta/RPTPbeta binds a heparin-binding growth factor midkine. Involvement of arginine 78 of midkine in the high affinity binding to PTPzeta. J. Biol. Chem. 1999, 274, 12474–12479. [Google Scholar] [CrossRef]
- Meng, K.; Rodriguez-Peña, A.; Dimitrov, T.; Chen, W.; Yamin, M.; Noda, M.; Deuel, T.F. Pleiotrophin signals increased tyrosine phosphorylation of beta beta-catenin through inactivation of the intrinsic catalytic activity of the receptor-type protein tyrosine phosphatase beta/zeta. Proc. Natl. Acad. Sci. USA 2000, 97, 2603–2608. [Google Scholar] [CrossRef] [PubMed]
- Shang, D.; Xu, X.; Wang, D.; Li, Y.; Liu, Y. Protein tyrosine phosphatase ζ enhances proliferation by increasing β-catenin nuclear expression in VHL-inactive human renal cell carcinoma cells. World J. Urol. 2013, 31, 1547–1554. [Google Scholar] [CrossRef]
- Pariser, H.; Herradon, G.; Ezquerra, L.; Perez-Pinera, P.; Deuel, T.F. Pleiotrophin regulates serine phosphorylation and the cellular distribution of beta-adducin through activation of protein kinase C. Proc. Natl. Acad. Sci. USA 2005, 102, 12407–12412. [Google Scholar] [CrossRef]
- Makinoshima, H.; Ishii, G.; Kojima, M.; Fujii, S.; Higuchi, Y.; Kuwata, T.; Ochiai, A. PTPRZ1 regulates calmodulin phosphorylation and tumor progression in small-cell lung carcinoma. BMC Cancer 2012, 12, 537. [Google Scholar] [CrossRef] [PubMed]
- Veeriah, S.; Brennan, C.; Meng, S.; Singh, B.; Fagin, J.A.; Solit, D.B.; Paty, P.B.; Rohle, D.; Vivanco, I.; Chmielecki, J.; et al. The tyrosine phosphatase PTPRD is a tumor suppressor that is frequently inactivated and mutated in glioblastoma and other human cancers. Proc. Natl. Acad. Sci. USA 2009, 106, 9435–9440. [Google Scholar] [CrossRef]
- Cornejo, F.; Cortés, B.I.; Findlay, G.M.; Cancino, G.I. LAR Receptor Tyrosine Phosphatase Family in Healthy and Diseased Brain. Front. Cell Dev. Biol. 2021, 9, 659951. [Google Scholar] [CrossRef] [PubMed]
- Solomon, D.A.; Kim, J.S.; Cronin, J.C.; Sibenaller, Z.; Ryken, T.; Rosenberg, S.A.; Ressom, H.; Jean, W.; Bigner, D.; Yan, H.; et al. Mutational inactivation of PTPRD in glioblastoma multiforme and malignant melanoma. Cancer Res. 2008, 68, 10300–10306. [Google Scholar] [CrossRef] [PubMed]
- Huang, X.; Qin, F.; Meng, Q.; Dong, M. Protein tyrosine phosphatase receptor type D (PTPRD)-mediated signaling pathways for the potential treatment of hepatocellular carcinoma: A narrative review. Ann. Transl. Med. 2020, 8, 1192. [Google Scholar] [CrossRef]
- Lambert, S.R.; Harwood, C.A.; Purdie, K.J.; Gulati, A.; Matin, R.N.; Romanowska, M.; Cerio, R.; Kelsell, D.P.; Leigh, I.M.; Proby, C.M. Metastatic cutaneous squamous cell carcinoma shows frequent deletion in the protein tyrosine phosphatase receptor Type D gene. Int. J. Cancer 2012, 131, E216–E226. [Google Scholar] [CrossRef]
- Suárez Pestana, E.; Tenev, T.; Gross, S.; Stoyanov, B.; Ogata, M.; Böhmer, F.D. The transmembrane protein tyrosine phosphatase RPTPsigma modulates signaling of the epidermal growth factor receptor in A431 cells. Oncogene 1999, 18, 4069–4079. [Google Scholar] [CrossRef]
- Wang, Z.C.; Gao, Q.; Shi, J.Y.; Guo, W.J.; Yang, L.X.; Liu, X.Y.; Liu, L.Z.; Ma, L.J.; Duan, M.; Zhao, Y.J.; et al. Protein tyrosine phosphatase receptor S acts as a metastatic suppressor in hepatocellular carcinoma by control of epithermal growth factor receptor-induced epithelial-mesenchymal transition. Hepatology 2015, 62, 1201–1214, Erratum in Hepatology 2015, 63, 349. https://doi.org/10.1002/hep.28350.. [Google Scholar] [CrossRef] [PubMed]
- Davis, T.B.; Yang, M.; Schell, M.J.; Wang, H.; Ma, L.; Pledger, W.J.; Yeatman, T.J. PTPRS Regulates Colorectal Cancer RAS Pathway Activity by Inactivating Erk and Preventing Its Nuclear Translocation. Sci. Rep. 2018, 8, 9296. [Google Scholar] [CrossRef]
- Holsinger, L.J.; Ward, K.; Duffield, B.; Zachwieja, J.; Jallal, B. The transmembrane receptor protein tyrosine phosphatase DEP1 interacts with p120(ctn). Oncogene 2002, 21, 7067–7076. [Google Scholar] [CrossRef]
- Palka, H.L.; Park, M.; Tonks, N.K. Hepatocyte growth factor receptor tyrosine kinase met is a substrate of the receptor protein-tyrosine phosphatase DEP-1. J. Biol. Chem. 2003, 278, 5728–5735. [Google Scholar] [CrossRef]
- Sun, Y.; Li, S.; Yu, W.; Chen, C.; Liu, T.; Li, L.; Zhang, D.; Zhao, Z.; Gao, J.; Wang, X.; et al. CD148 Serves as a Prognostic Marker of Gastric Cancer and Hinders Tumor Progression by Dephosphorylating EGFR. J. Cancer 2020, 11, 2667–2678. [Google Scholar] [CrossRef]
- Kovalenko, M.; Denner, K.; Sandström, J.; Persson, C.; Gross, S.; Jandt, E.; Vilella, R.; Böhmer, F.; Ostman, A. Site-selective dephosphorylation of the platelet-derived growth factor beta-receptor by the receptor-like protein-tyrosine phosphatase DEP-1. J. Biol. Chem. 2000, 275, 16219–16226. [Google Scholar] [CrossRef] [PubMed]
- Fournier, P.; Dussault, S.; Fusco, A.; Rivard, A.; Royal, I. Tyrosine Phosphatase PTPRJ/DEP-1 Is an Essential Promoter of Vascular Permeability, Angiogenesis, and Tumor Progression. Cancer Res. 2016, 76, 5080–5091. [Google Scholar] [CrossRef]
- Wadham, C.; Gamble, J.R.; Vadas, M.A.; Khew-Goodall, Y. The protein tyrosine phosphatase Pez is a major phosphatase of adherens junctions and dephosphorylates beta-catenin. Mol. Biol. Cell 2003, 14, 2520–2529. [Google Scholar] [CrossRef]
- Streuli, M.; Krueger, N.X.; Ariniello, P.D.; Tang, M.; Munro, J.M.; Blattler, W.A.; Adler, D.A.; Disteche, C.M.; Saito, H. Expression of the receptor-linked protein tyrosine phosphatase LAR: Proteolytic cleavage and shedding of the CAM-like extracellular region. EMBO J. 1992, 11, 897–907. [Google Scholar] [CrossRef]
- Anders, L.; Mertins, P.; Lammich, S.; Murgia, M.; Hartmann, D.; Saftig, P.; Haass, C.; Ullrich, A. Furin-, ADAM 10-, and gamma-secretase-mediated cleavage of a receptor tyrosine phosphatase and regulation of beta-catenin’s transcriptional activity. Mol. Cell. Biol. 2006, 26, 3917–3934. [Google Scholar] [CrossRef] [PubMed]
- Sánchez-Morgan, N.; Kirsch, K.H.; Trackman, P.C.; Sonenshein, G.E. The lysyl oxidase propeptide interacts with the receptor-type protein tyrosine phosphatase kappa and inhibits β-catenin transcriptional activity in lung cancer cells. Mol. Cell. Biol. 2011, 31, 3286–3297. [Google Scholar] [CrossRef] [PubMed]
- Mourton, T.; Hellberg, C.B.; Burden-Gulley, S.M.; Hinman, J.; Rhee, A.; Brady-Kalnay, S.M. The PTPμ Protein-tyrosine Phosphatase Binds and Recruits the Scaffolding Protein RACK1 to Cell-Cell Contacts. J. Biol. Chem. 2001, 276, 14896–14901. [Google Scholar] [CrossRef]
- Chandrashekar, D.S.; Karthikeyan, S.K.; Korla, P.K.; Patel, H.; Shovon, A.R.; Athar, M.; Netto, G.J.; Qin, Z.S.; Kumar, S.; Manne, U.; et al. UALCAN: An update to the integrated cancer data analysis platform. Neoplasia 2022, 25, 18–27. [Google Scholar] [CrossRef]
- Chandrashekar, D.S.; Bashel, B.; Balasubramanya, S.A.H.; Creighton, C.J.; Ponce-Rodriguez, I.; Chakravarthi, B.; Varambally, S. UALCAN: A Portal for Facilitating Tumor Subgroup Gene Expression and Survival Analyses. Neoplasia 2017, 19, 649–658. [Google Scholar] [CrossRef]
- Julien, S.G.; Dubé, N.; Hardy, S.; Tremblay, M.L. Inside the human cancer tyrosine phosphatome. Nat. Rev. Cancer 2011, 11, 35–49. [Google Scholar] [CrossRef] [PubMed]
- Ostergaard, H.L.; Shackelford, D.A.; Hurley, T.R.; Johnson, P.; Hyman, R.; Sefton, B.M.; Trowbridge, I.S. Expression of CD45 alters phosphorylation of the lck-encoded tyrosine protein kinase in murine lymphoma T-cell lines. Proc. Natl. Acad. Sci. USA 1989, 86, 8959–8963. [Google Scholar] [CrossRef] [PubMed]
- Courtney, A.H.; Shvets, A.A.; Lu, W.; Griffante, G.; Mollenauer, M.; Horkova, V.; Lo, W.-L.; Yu, S.; Stepanek, O.; Chakraborty, A.K.; et al. CD45 functions as a signaling gatekeeper in T cells. Sci. Signal. 2019, 12, eaaw8151. [Google Scholar] [CrossRef] [PubMed]









Disclaimer/Publisher’s Note: The statements, opinions and data contained in all publications are solely those of the individual author(s) and contributor(s) and not of MDPI and/or the editor(s). MDPI and/or the editor(s) disclaim responsibility for any injury to people or property resulting from any ideas, methods, instructions or products referred to in the content. |
© 2026 by the authors. Licensee MDPI, Basel, Switzerland. This article is an open access article distributed under the terms and conditions of the Creative Commons Attribution (CC BY) license.
Share and Cite
Conklin, A.E.; Welsh, C.L.; Madan, L.K. Receptor Protein Tyrosine Phosphatases (RPTPs): Structure and Biological Roles in Cancer. Kinases Phosphatases 2026, 4, 7. https://doi.org/10.3390/kinasesphosphatases4010007
Conklin AE, Welsh CL, Madan LK. Receptor Protein Tyrosine Phosphatases (RPTPs): Structure and Biological Roles in Cancer. Kinases and Phosphatases. 2026; 4(1):7. https://doi.org/10.3390/kinasesphosphatases4010007
Chicago/Turabian StyleConklin, Abigail E., Colin L. Welsh, and Lalima K. Madan. 2026. "Receptor Protein Tyrosine Phosphatases (RPTPs): Structure and Biological Roles in Cancer" Kinases and Phosphatases 4, no. 1: 7. https://doi.org/10.3390/kinasesphosphatases4010007
APA StyleConklin, A. E., Welsh, C. L., & Madan, L. K. (2026). Receptor Protein Tyrosine Phosphatases (RPTPs): Structure and Biological Roles in Cancer. Kinases and Phosphatases, 4(1), 7. https://doi.org/10.3390/kinasesphosphatases4010007

