Next Article in Journal
Drugs, Mother, and Child—An Integrative Review of Substance-Related Obstetric Challenges and Long-Term Offspring Effects
Next Article in Special Issue
Thalidomide-Based PROTACs: A Viable Strategy Against Trypanosomatids?
Previous Article in Journal / Special Issue
Resistance to Antileishmanial Drug Candidates: A Flowchart for an Early Phenotypic Evaluation of Risk
 
 
Font Type:
Arial Georgia Verdana
Font Size:
Aa Aa Aa
Line Spacing:
Column Width:
Background:
Article

Synthesis of New 1,3-bis[(4-(Substituted-Aminomethyl)Phenyl)methyl]benzene and 1,3-bis[(4-(Substituted-Aminomethyl)Phenoxy)methyl]benzene Derivatives, Designed as Novel Potential G-Quadruplex Antimalarial Ligands

1
Faculty of Pharmacy, University of Bordeaux, CNRS, INSERM, ARNA, UMR 5320, U1212, F-33076 Bordeaux, France
2
Faculty of Pharmacy, Agents Infectieux, Résistance et Chimiothérapie (AGIR), UR 4294, UFR de Pharmacie, University of Picardie Jules Verne, F-80037 Amiens, France
3
IPREM (Institut des Sciences Analytiques et de Physico-Chimie pour l’Environnement et les Matériaux), CNRS, E2S UPPA, Université de Pau et des Pays de l’Adour, CEDEX 9, 64012 Pau, France
4
ISM, CNRS, Bordeaux INP, UMR 5255, University of Bordeaux, F-33400 Talence, France
5
Laboratoire d’Optique et Biosciences, Institut Polytechnique de Paris, Ecole Polytechnique, CNRS, INSERM, F-91128 Palaiseau, France
6
ICMCB—UMR 5026, University Bordeaux, F-33608 Pessac, France
7
Centre de Recherche Cardio-Thoracique de Bordeaux (CRCTB), UMR U1045 INSERM, PTIB—Hôpital Xavier Arnozan, F-33600 Pessac, France
8
INRAE Bordeaux Aquitaine, F-33140 Villenave-d’Ornon, France
9
Faculty of Pharmacy, Aix-Marseille Université, MCT-UMR MD1, INSERM SSA U1261, F-13385 Marseille, France
*
Author to whom correspondence should be addressed.
Drugs Drug Candidates 2025, 4(3), 39; https://doi.org/10.3390/ddc4030039
Submission received: 28 July 2025 / Revised: 19 August 2025 / Accepted: 20 August 2025 / Published: 22 August 2025
(This article belongs to the Collection Anti-Parasite Drug Discovery)

Abstract

Background: Based on our previously reported series of novel 1,3,5-tris[(4-(substituted-aminomethyl)phenyl)methyl]benzene and 1,3,5-tris[(4-(substituted-aminomethyl)phenoxy)methyl]benzene derivatives, we have now designed, synthesized, and tested a new series of novel restricted and simplified structural analogues of these compounds against Plasmodium falciparum in vitro; i.e., the 1,3-bis[(4-(substituted-aminomethyl)phenyl)methyl]benzene and 1,3-bis[(4-(substituted-aminomethyl)phenoxy)methyl]benzene compounds. Methods & Results: The pharmacological results revealed significant antimalarial activity, with IC50 values in the submicromolar to micromolar range. Additionally, the in vitro cytotoxicity of these new nitrogen-containing polyphenyl- or -phenoxymethylbenzene compounds was evaluated on human HepG2 cells. The compound 1f, the 1,3-bis[(4-(3-(morpholin-1-yl)propyl)aminomethyl)phenoxy)methyl]benzene derivative, emerged as one of the most potent and promising antimalarial candidates, demonstrating a cytotoxicity/antiprotozoal activity ratio of 594 against the chloroquine-sensitive Plasmodium falciparum 3D7 strain. Additionally, the 1,3-bis[((substituted aminomethyl)phenyl)methyl]benzene compound 1j and the 1,3-bis[((substituted aminomethyl)phenoxy)methyl]benzenes 2p and 2q also showed strong antimalarial potential, with selectivity indexes (SI) of over 303, 280, and 217, respectively, against the 3D7 strain, which has mefloquine-reduced sensitivity. Furthermore, the 1,3-bis[(4-(pyridin-2-ylethylaminomethyl)phenyl)methyl]benzene 2k was identified as the most noteworthy antimalarial compound, exhibiting a selectivity index (SI) that was superior to 178 against the chloroquine-resistant Plasmodium falciparum W2 strain. It has previously been suggested that the telomeres of P. falciparum may serve as potential targets for these polyaromatic compounds; thus, we assessed the ability of our novel derivatives to stabilize parasitic telomeric G-quadruplexes using a FRET melting assay. Conclusions: However, regarding the stabilization of the protozoan G-quadruplex, it was noted that the few substituted derivatives, which showed interesting stabilization profiles, were not necessarily the most effective antimalarial compounds against both Plasmodium strains. Moreover, these new compounds did not show promising stabilizing effects on the different G4 sequences. Therefore, no correlation arises between their antimalarial activity and the selectivity of their binding to G-quadruplexes.

1. Introduction

Since the beginning of the millennium, an estimated 2.2 billion malaria cases and 12.7 million deaths linked to this vector-borne disease have been avoided worldwide according to the latest world malaria report [1]. Nevertheless, malaria still represents a real global health challenge, with nearly 600,000 deaths in 2023 [1]. Rising threats such as insecticide and drug resistance are worrying, especially as they are associated with climate change and the population displacement inherent in the current situation in the wake of the COVID-19 pandemic. In this context, managing the resistance of mosquito vectors to pyrethrinoids [2] and controlling the spread of the Anopheles stephensi species in Africa [3] are among the major challenges to be resolved in the fight against malaria. In particular, the spread of antimalarial drug resistance in Africa is alarming, notably the presence of partial resistance to artemisinin in a growing number of countries. Considering the importance of artemisinin-based combination therapies (ACTs) as part of the recommended curative treatment [4], the WHO has launched a “strategy to respond to antimalarial drug resistance in Africa” in 2022 [5]. Among the pillars of this strategy, there is the stimulation of research and innovation to leverage existing tools and the development of original tools against antimalarial drug resistance.
A potentially innovative approach would be to develop original compounds against Plasmodium, which would involve the design and synthesis of quinoline-based derivatives that are not recognizable by resistance mechanisms such as plasmodial efflux pumps. From this perspective, previous work has presented original synthons, such as bisquinoline A and bisacridine B (Figure 1, compounds A–B and Piperaquine), which display antiplasmodial activity without being recognized by the protein system involved in drug efflux [6,7,8,9,10,11,12,13]. These newly developed compounds exhibit significantly lower resistance indexes than chloroquine (CQ), which indicates that these bis-heterocyclic derivatives are less rejected by the efflux pumps of drug-resistant parasites. Similarly, tafenoquine, an 8-aminoquinoline compound developed to prevent all types of malaria [10,12,14], has recently been described as an efflux pump inhibitor (Figure 1) [15].
In our research endeavors, we concentrated on the exploration of new nitrogen heterocyclic derivatives with potentialities in antiprotozoal chemotherapy [16,17,18,19,20,21,22,23,24,25,26]. Previously, we have synthesized various series, including 2,9-bis[(substituted-aminomethyl)phenyl]phenanthrolines (series A–B), 2,4-bis[(substituted-aminomethyl)phenyl]quinoline, 1,3-bis[(substituted-aminomethyl)phenyl]isoquinoline, and 2,4-bis[(substituted-aminomethyl)phenyl]quinazoline derivatives (series C) [16,19,20,21,22]. More recently, we have developed two novel series of 1,3,5-tris[(4-(substituted-aminomethyl)phenyl)methyl]benzene and 1,3,5-tris[(4-(substituted-aminomethyl)phenoxy)methyl]benzene derivatives (series D and E), which could be considered as novel alternative antiparasitic scaffolds (Figure 2). These new series, series D and E, were developed as potential candidates for antiprotozoal agents, and were specifically designed to interact with Plasmodium falciparum DNA G-quadruplexes via π–stacking interactions [25,26]. Synthetic preparation of C-3 homo-trimeric ligands has led to the development of potential drug candidates with a striking structure and promising antimalarial activity. These novel compounds show the potential for more efficient DNA G-4 binding, which could enhance their therapeutic effects. DNA G-quadruplexes, as a therapeutic target, could benefit from these C-3 symmetric ligands, which could improve their interactions and overall effectiveness [27].
This strategy aims to counteract resistance mechanisms used by parasites, including drug efflux. Previous studies have shown that the telomeres of various protozoa could be attractive targets for drug development [28,29,30,31]. Telomerase activity is observed in gametocytes and during the transition of the P. falciparum parasite to the erythrocytic stage [32,33]. The telomeric 3′ G-overhang region in P. falciparum comprises a repetitive degenerate unit, 5′GGGTTYA3′ (where Y is either T or C) [34,35], which can fold into an intramolecular G-quadruplex, potentially modulating the expression of a G-quadruplex-containing reporter gene [36]. Consequently, several G-quadruplex-binding drug candidates have been shown to be potent and fast-acting against the intraerythrocytic stages of the parasite in vitro [28,29,33,36]. Indeed, the literature has shown that some G-quadruplex-binding ligands could potentially be repositioned as antimalarials, such as for the derivatives PhenDC3, PDS, and quarfloxin (Figure 1). The latter compound, the phase 2 anticancer drug quarfloxin, was potent against the P. falciparum 3D7 strain, with an IC50 of 0.114 μM. Its selection window on P. falciparum is at least 40 times greater than that on human cells (0.114 μM against 3D7 versus 4.44 μM on MCF10A human mammary epithelial cells) [29,33].
Importantly, the distinction between parasitic and human (5′GGGTTA3′) G-quadruplexes opens the door to the development of antiprotozoal ligands that specifically target G-quadruplexes found in this parasitic species.
Given our research expertise in the preparation of new antimalarial derivatives, we present here the design and synthesis of original 1,3-bis[(4-(substituted-aminomethyl)phenyl)methyl]benzenes 1a–r (series F) and 1,3-bis[(4-(substituted-aminomethyl)phenoxy)methyl]benzenes 2a–r (series G), which could be considered as novel, restricted, and simplified structural analogues of our previously described 1,3,5-tris[(4-(substituted-aminomethyl)phenyl)methyl]benzenes and 1,3,5-tris[(4-(substitutedaminomethyl)phenyl)methyl]benzenes (series D and E) (Figure 2).
We anticipate that these novel, simplified, and extended aromatic structures will facilitate π–π stacking interactions with various G-quartets, which is the classical strategy and mechanism to stabilize G-quadruplexes.
We examine the in vitro antimalarial activities of these new derivatives against both the chloroquine-sensitive (3D7) and chloroquine-resistant (W2) strains of the malaria parasite Plasmodium falciparum. The in vitro cytotoxicity of our 1,3-bis[(4-(substituted-aminomethyl)-phenyl or -phenoxy)methyl]benzene derivatives (1–2) was assessed in human HepG2 cells. For each compound, we determine the index of selectivity and the ratio of cytotoxicity to antiprotozoal activity. Additionally, we investigate the potential of these novel polyaromatic compounds to stabilize specific telomeric DNA G-quadruplex structures in parasites. To evaluate this, we used a FRET melting assay to assess the stabilization of G-quadruplexes found in Plasmodium falciparum telomeric DNA.

2. Results & Discussion

2.1. Chemistry

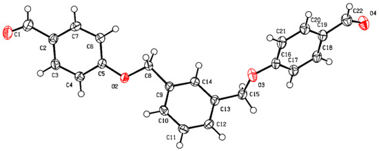
These novel reported 1,3-bis[(4-(substituted-aminomethyl)phenyl)methyl]benzenes 1a–r and 1,3-bis[(4-(substituted-aminomethyl)phenoxy)methyl]benzenes 2a–r have both been synthesized starting from the commercially available 1,3-bis(bromomethylbenzene (Scheme 1). The first intermediate 1,3-bis[(4-formylphenyl)methyl]benzene (3) was synthesized by a double-Suzuki–Miyaura cross-coupling reaction of 1,3-bis(bromomethylbenzene with an excess of 4-formylphenylboronic acid in the presence of Pd(PPh3)4 as a catalyst and sodium carbonate, which was used as the base [37]. The synthesis of the second intermediate involved the preparation of 1,3-bis[(4-formylphenoxy)methyl]benzene 4 through a coupling reaction between 1,3-bis(bromomethyl)benzene and an excess of 4-hydroxybenzaldehyde in the presence of potassium carbonate in THF [38]. The structure of intermediate compound 4 was established by X-ray crystallography (Figure 3) [39].
Then, the reaction of various primary substituted alkylaminoalkylamines with dialdehydes 3 or 4 resulted in the formation of 1,3-bis[(4-(substituted-iminomethyl)phenyl)methyl]benzenes 5a–r and 1,3-bis[(4-(substituted-iminomethyl)phenoxy)methyl]benzenes 6a–r, which were then both reduced into 1,3,5-tris[(4-(substituted-aminomethyl)phenyl)methyl]benzenes 7a–r and 1,3-bis[(4-(substituted-aminomethyl)phenoxy)methyl]benzenes 8a–r, respectively, using sodium borohydride in methanol [18,21,22,23,24,25,26]. These new polyamino derivatives, 7–8a–r, were then converted into ammonium oxalate salts 1–2a–r through a reaction with oxalic acid in reflux isopropanol. These novel derivatives 7–8a–r, Figures S1(a–c) to S36(a–c) have been converted into their oxalate salts to acquire water solubility parameters for pharmacological testing. These oxalates were observed to be less hygroscopic than the hydrochloride ones and were also found soluble in water. Table 1 provides their physical properties.

2.2. Biological Evaluation

2.2.1. In Vitro Antimalarial Activity

All these novel 1,3-bis[(4-(substituted-aminomethyl)phenyl)methyl]benzenes, 1a–r, and 1,3-bis[(4-(substituted-aminomethyl)phenoxy)methyl]benzenes, 2a–r, were tested for their in vitro antimalarial activity by incubation with P. falciparum chloroquine (CQ)-resistant strain W2 (IC50 CQ = 0.40 μM, IC50 mefloquine (MQ) = 0.016 μM) and the strain 3D7, which is CQ-sensitive and has decreased sensitivity to MQ (IC50 CQ = 0.11 μM, MQ = 0.06 μM). The IC50 values of these new active 1,3-bis[(4-(substituted-aminomethyl)phenyl)methyl]benzenes, 1a–r, and 1,3-bis[(4-(substituted-aminomethyl)phenoxy)methyl]benzenes, 2a–r, were observed to be between 0.11 μM and greater than 40 μM against the CQ-resistant strain W2 and between 0.038 μM and greater than 40 μM against the 3D7 P. falciparum strains (Table 2).
In these novel series, we can observe that the 1,3-bis[(4-(substituted-aminomethyl)phenyl)methyl]benzene 1r, bearing two pyridin-4-ylpropylaminomethyl side chains, was found to be the most active compound against the CQ-resistant W2 strain, with an IC50 of 0.11 μM. 1,3-Bis[(4-(substituted-aminomethyl)phenyl)methyl]benzene derivative 1a–h, bearing alkylaminoalkylaminomethyl side chains, were noticed to display better activities than their analogues, 1,3-bis[(4-(substituted-aminomethyl)phenoxy)methyl]benzenes 2a–h, except for compounds 2e–d, which were slightly more active than 1e–d. While compound 1i was found to be completely inactive, with an IC50 greater than 40 μM, its homologue 2i exhibits moderate activity, with an IC50 of 5.37 μM.
From a general point of view, it is possible to say that the derivatives 1j–r and 2j–r, bearing two pyridinylalkylaminomethyl side chains, generally show a more interesting antimalarial activity than their homologue compounds 1a–h and 2a–h, which are substituted by the alkylaminoalkylaminomethyl groups; however, it remains difficult to establish truly successful structure–activity relationships.
Against the 3D7 CQ-sensitive strain, in the first subseries, the 1,3-bis[(4-(pyridin-4-ylpropylaminomethyl)phenyl)methyl]benzene 1r was found to be the most active derivative, with an IC50 of 0.07 μM, while the best antimalarial activities of the second subseries were observed for the two 1,3-bis[(4-(pyridinylethylaminomethyl)phenoxy)methyl]benzenes 2n and 2q, which had IC50 of 0.038 and 0.095 μM against this 3D7 P. falciparum strain, respectively. These first results seem to indicate that a pyridinylethylaminomethyl)phenoxy)methyl substitution of the benzene ring (derivatives 2n and 2q) is more interesting than a methyl or propyl chain between the pyridine nucleus and the amino function in the side chains, i.e., compounds 2m, 2o, 2p, and 2r.
The situation seems very complex in terms of SAR, but it is also possible to see that the aryl substitution of compound 1 (probably by its planarity) contributes to the activity and that the extension of the alkyl side chain from one to three carbon atoms further decreases the activity, with a propyl group being presented as optimal for series 1. However, if we consider the pyridine compounds 1m,n,o, a chain with a single carbon is presented as optimal. The trend is totally reversed if we consider the derivatives 1j,k,l, which show an improvement in their antimalarial activity when the alkyl chain is increased. The position of the nitrogen atom also seems to play a role here, which could further contribute to an interaction. From this point of view, it seems that the positions of this pyridine nitrogen in meta and para present more interesting antimalarial activities against both strains than the compounds bearing the pyridine ring in ortho.
The resistance index values (Table 2), which represent the ratio of the IC50 of the resistant strain to that of the sensitive strain, were calculated based on the activities of a CQ-resistant strain (W2) and a strain with reduced sensitivity to MQ (3D7). For CQ, the W2/3D7 ratio is approximately ~3.64. Since W2 is resistant to CQ and 3D7 is sensitive to it, this ratio (~3.64) reflects the level of CQ resistance. Any ligand with a W2/3D7 ratio higher than 3.64 exhibits greater resistance to W2 than CQ, which suggests a potential shared mechanism of action. From the data in Table 2, it appears that several derivatives, 1b (W2/3D7 ~ 14.14), 1d (~7.07), 1f (~10.8), 1j (~8.58), 1n (~14.88), 1o (~61.25), 2f (~6.06), 2i (~5.84), 2n (~4.47), and 2q (~22.31), could all share the CQ mechanism of action. Likewise, for MQ, the 3D7/W2 ratio is around 3.75. Given that 3D7 is less susceptible to MQ, a derivative showing a 3D7/W2 ratio above 3.75 might act through a similar mechanism to that of MQ. Among the tested compounds, only compound 2o exhibits this property (ratio 3D7/W2 > 14.49). In the vast majority, it is possible to observe that these new compounds, 1–2, are more active against the 3D7 CQ-sensitive strain than against the CQ-resistant W2 strain. Additional studies are required to investigate their potential mode of action.

2.2.2. Cytotoxicity and Selectivity Index

In order to assess their selectivity of action, the cytotoxicities of our novel antiprotozoal 1,3-bis[(4-(substituted-aminomethyl)phenyl)methyl]benzenes, 1a–r, and 1,3-bis[(4-(substituted-aminomethyl)phenoxy)methyl]benzenes, 2a–r, were evaluated in vitro on the human cell line HepG2, a commonly used human-derived hepatocarcinoma cell line that expresses many hepatocyte-specific metabolic enzymes. This test not only highlights the potential cytotoxicity of a test compound, but can also detect the formation of toxic metabolites, although it does not allow their identification. This makes the HepG2 cell line particularly effective for assessing the in vitro cytotoxicity of new compounds. [40,41]. The 50% cytotoxic concentration (CC50) values were determined and the selectivity index (SI), which represent the ratio between cytotoxic and antiparasitic activities (SI = CC50/IC50), were calculated (Table 3).
Our newly synthesized 1,3-bis[(4-(substituted-aminomethyl)phenyl)methyl]benzenes 1a–r and 1,3-bis[(4-(substituted-aminomethyl)phenoxy)methyl]benzenes 2a–r exhibited varying degrees of cytotoxicity against HepG2 cells, with CC50 values ranging from 0.05 µM to over 100 µM.
Concerning the P. falciparum strain W2, the calculated SIs were observed to be between 0.10 and a value superior to 178.6. For the CQ-sensitive strain 3D7, the SIs were observed to be from 0.026 to 594.8. Based on the selectivity index (SI) data, the 1,3-bis[(4-(3-(morpholin-1-yl)propyl)aminomethyl)phenoxy)methyl]benzene derivative 1f was identified as the most promising antimalarial candidate, showing an SI of 594.8 against the Plasmodium falciparum 3D7 strain. Additionally, the 1,3-bis[((substituted aminomethyl)phenyl)methyl]benzene derivative 1j, along with the 1,3-bis[((substituted aminomethyl)phenoxy)methyl]benzenes 2p and 2q, demonstrated strong antimalarial activity against the mefloquine-reduced sensitivity Plasmodium falciparum 3D7 strain, with selectivity index (SI) that exceeded 303 and were equal to 280 and 217, respectively. Moreover, the compound 2k, a 1,3-bis[(4-(pyridin-2-ylethylaminomethyl)phenyl)methyl]benzene derivative, was identified as the most notable antimalarial candidate against the chloroquine-resistant P. falciparum W2 strain, displaying a selectivity index greater than 178.
The interesting selectivity index values suggest that the novel 1,3-bis[(4-(substituted-aminomethyl)phenyl)methyl]benzenes 1f and 1j and the 1,3-bis[(4-(substituted-aminomethyl)phenoxy)methyl]benzene derivatives 2k and 2p–q probably merit further investigation for their potential as antimalarial drug candidates.

2.3. FRET Melting Experiments

In Plasmodium falciparum, G-quadruplexes appear to be involved in the regulation of virulence genes and genome stability and could represent potential therapeutic targets, but their exact functional role remains largely to be characterized. However, given the potential of P. falciparum telomeres as promising targets for polyaromatic derivatives [22,29,32,33,34,35,36], we further investigated the ability of our biologically active compounds 1–2 to potentially stabilize P. falciparum telomeric chromosomal G-quadruplexes. This study was conducted using a FRET melting assay. The goal was to evaluate how effectively the new polyaromatic derivatives 1–2 could stabilize G-quadruplex structures formed by oligonucleotides with sequences from both P. falciparum and human telomeres. Two fluorescently labeled P. falciparum telomeric chromosomal sequences (FPf1T and FPf8T) and one human telomeric sequence (F21T) were used in this assay.
To assess the G4 selectivity of our novel 1,3-bis[(4-(substituted-aminomethyl)phenyl)methyl]benzenes 1a–r and 1,3-bis[(4-(substituted-aminomethyl)phenoxy)methyl]benzenes 2a–r over duplex DNA, we performed a FRET melting assay using a duplex control sequence, FdxT. We also evaluated the reference G4 ligand PhenDC3 (inactive against the P. falciparum W2 and 3D7 strains, but active against the F32, FcB1, and K1 strains [29]), as well as the antimalarial reference drugs CQ and MQ. To obtain a meaningful comparison of selectivities, we calculated the difference (ΔTm) in melting temperature (Tm) of the G-quadruplexes formed by FPf1T, FPf8T, F21T, or FdxT in the presence or absence of each selected derivative. The ΔTm values are summarized in Table 4, which shows that the selected ligands from series 1–2 exhibited ΔTm values ranging from 0.24 to 26.43 °C at a 2 µM derivative concentration.
Only compound 2c was found to be the best ligand of both series, as it stabilized the three G-quadruplex sequences (the two parasitic FPf1T and FPf8T, and the human F21T) with ΔTm values ranging from 21.23 to 26.43 °C (Table 4).
On the other hand, all other ligands, whether they belong to the series F (1,3-bis[(4-(substituted-aminomethyl)phenyl)methyl]benzenes) or series G (1,3-bis[(4-(substituted-aminomethyl)phenoxy)methyl]benzenes), stabilize the FPf1T, FPf8T, and F21T G-quadruplexes with moderate or even relatively weak ΔTm values, i.e., ranging from 0.24 to 11.89 °C, from 0.53 to 12.63 °C, and from 0.26 to 11.77 °C, respectively, on the FPf1T, FPf8T, and F21T sequences.
Moreover, in terms of structure–activity relationships, we noticed that only the polyaromatic compounds 1–2b, 1c, 1–2g, and 1–2h, respectively, substituted with 4-(3-dimethylaminopropyl)aminomethyl)phenyl(oxy)methyl, 4-(3-dimethylaminobutyl)aminomethyl)phenylmethyl, 4-(3-(pyrrolidin-1-yl)propyl)aminomethyl)phen(oxy))methyl, or 4-(3-(piperidin-1-yl) propyl)aminomethyl)phen(oxy))methyl side chains, moderately stabilize the FPf1T, FPf8T, and F21T G-quadruplexes. Thus, the ΔTm values ranged from 10.02 to 13.01 °C at a 2 µM ligand concentration. In addition, derivatives 1–2e, bearing two 4-(3-(4-methylpiperazin-1-yl)propyl)aminomethyl)phen(oxy))methyl substituents, also showed moderate stabilization of the three FPf1T, FPf8T, and F21T G-quadruplexes (ΔTm values found to be between 8.34 and 10.95 °C). No difference is observed in the stabilization of the Plasmodium telomeric sequences FPf1T and FPf8T G-quadruplexes and the human F21T G-quadruplex by our novel derivatives. Unfortunately, the 1,3-bis[(4-(pyridin-4-ylpropylaminomethyl)phenyl)methyl]benzene 1r and 1,3-bis[(4-(pyridin-3-ylethylaminomethyl)phenoxy)methyl]benzene 2n, which were found to be the most active derivatives against W2 and 3D7 P. falciparum strains, exhibited low stabilization of the two FPf1T and FPf8T sequences. Moreover, all of the 1,3-bis[(4-(substituted-aminomethyl)phenoxy)methyl]benzene compounds that were substituted by two pyridinylalkylaminomethyl chains (compounds 1-2j-r) or which bore two quinolinylaminomethyl chains (derivatives 1-2i) exhibited much lower stabilization profiles on the FPf1T and FPf8T Plasmodium telomeric sequences and also on the human one, F21T.
The radar plots presented in Figure 4 show that the compounds 1–2a–r may be able to more or less moderately stabilize some of the G4-forming sequences.
No real binding to duplex DNA sequence was noted for all of our compounds when using FRET assays.
Interestingly, although some derivatives showed notable stabilization of protozoal G-quadruplex structures, these were not the most potent antimalarial agents. As a result, no clear correlation could be established between G-quadruplex stabilization and antimalarial activity within this compound series. It therefore appears unlikely that the antimalarial effects of 1,3-bis[(4-(substituted-aminomethyl)phenyl)methyl]benzenes 1 and 1,3-bis[(4-(substituted-aminomethyl)phenoxy)methyl]benzenes 2 are mediated through specific G-quadruplex binding mechanisms.

3. Materials and Methods

3.1. Chemistry

3.1.1. General

Commercially available reagents were used without additional purification. Melting points were determined with an SM-LUX-POL Leitz hot-stage microscope (Leitz GMBH, Midland, ON, USA) and are uncorrected.
IR spectra were recorded on a NICOLET 380FT-IR spectrophotometer (Bruker BioSpin, Wissembourg, France). NMR spectra were recorded with tetramethylsilane as an internal standard using a BRUKER AVANCE 300 spectrometer (Bruker BioSpin, Wissembourg, France). Splitting patterns have been reported as follows: s = singlet; bs = broad singlet; d = doublet; t = triplet; q = quartet; dd = double doublet; ddd = double double doublet; qt = quintuplet; and m = multiplet.
Analytical TLCs were carried out on 0.25 precoated silica gel plates (POLYGRAM SIL G/UV254) (Merck KGaA, Darmstadt, Germany) and compounds were visualized after UV light irradiation. Silica gel 60 (70–230 mesh) was used for column chromatography. Mass spectra were recorded on an ESI LTQ Orbitrap Velos mass spectrometer (ThermoFisher, Bremen, Germany). Ionization was performed using an Electrospray ion source operating in positive ion mode with a capillary voltage of 3.80 kV and a capillary temperature of 250 °C. The scan type analyzed was full scan, and all MS recordings were in the m/z range between 150 to 2000 m/z. No fragmentation was carried out and the resolution used for the analysis was 60,000.

3.1.2. Synthesis of 1,3,-bis[(4-formylphenyl)methyl]benzene 3

To a suspension of α,α’-dibromo-m-xylene (2 mmol), 4-formylphenylboronic acid (5 mmol), and Pd(PPh3)4 (0.225 mmol) in THF (40 mL) under nitrogen were added 4 mL of a 2 M aqueous solution of Na2CO3. The reaction mixture was refluxed for 24 h. The suspension was then evaporated to dryness and extracted with AcOEt (2 × 30 mL). The organic layer was filtered and washed with water (2 × 40 mL). The organic layer was dried over sodium sulfate, filtered, and evaporated under reduced pressure. The crude residue was purified by column chromatography on silica gel using EtOAc/petroleum ether (v/v: 30/70) as eluent to give the pure product 2. Colourless oil (59%): 1H NMR (CDCl3) δ ppm: 9.97 (s, 2H, CHO), 7.80 (d, 4H, J = 8.10 Hz, H-3phen and H-5phen), 7.29 (d, 4H, J = 8.10 Hz, H-2phen and H-6phen), 7.25 (t, 1H, J = 7.2 Hz, Hbenz), 7.02 (s, 1H, Hbenz), 7.05 (d, 2H, J = 6.1 Hz, Hbenz), 3.92 (s, 4H, CH2); 13C NMR (CDCl3) δ ppm: 193.3 (CO), 149.6 (C-1phen), 141.6 (Cq-benz), 136.1 (C-4phen), 131.4 (C-3phen and C-5phen), 130.9 (C-2phen and C-6phen), 130.43 (CHbenz),129.4 (CHbenz), 128.6 (CHbenz), 43.4 (CH2).

3.1.3. General Procedure for the Synthesis of 1,3,-bis[(4-(substituted-iminomethyl)phenyl)methyl]benzenes 5a–r

The 1,3-bis[(4-formylphenyl)methyl]benzene 3 (62 mg, 0.2 mmol) was dissolved in 6 mL of toluene. Activated molecular sieves 4 Å (800 mg) were then introduced in the reaction mixture, after which dialkylamine (0.5 mmol) was added. The reaction mixture was stirred in a stoppered flask for 24 h. The suspension that was obtained was filtered and washed with dichloromethane, and the solvent was removed under reduced pressure to afford the di-imine 5. The crude products were then used without further purification.
1,3,-bis[(4-(2-dimethylaminoethyl)iminomethyl)phenyl)methyl]benzene (5a)
Yellow oil (99%); 1H NMR (CDCl3) δ ppm: 8.28 (s, 2H, CH=N), 7.65 (d, 4H, J = 8.10 Hz, H-3phen, and H-5phen), 7.22 (d, 4H, J = 8.10 Hz, H-2phen, and H-6phen), 7.18 (m, 1H, Hbenz), 7.03 (s, 2H, Hbenz), 7.02 (s, 1H, Hbenz), 3.96 (s, 4H, CH2), 3.75 (t, 4H, J = 6.90 Hz, NCH2), 2.67 (t, 4H, J = 6.90 Hz, NCH2), 2.33 (s, 12H, N(CH3)2).
1,3,-bis[(4-(3-dimethylaminopropyl)iminomethyl)phenyl)methyl]benzene (5b)
Yellow oil (98%); 1H NMR (CDCl3) δ ppm: 8.30 (s, 2H, CH=N), 7.70 (d, 4H, J = 8.10 Hz, H-3phen, and H-5phen), 7.30 (d, 4H, J = 8.10 Hz, H-2phen, and H-6phen), 7.18 (m, 1H, Hbenz), 7.21 (s, 2H, Hbenz), 7.20 (s, 1H, Hbenz), 4.00 (s, 4H, CH2), 3.68 (t, 4H, J = 6.90 Hz, NCH2), 2.40 (t, 6H, J = 6.90 Hz, NCH2), 2.18 (s, 12H, N(CH3)2), 1.92 (qt, 4H, J = 8.40 Hz, CH2).
1,3-bis[(4-(4-dimethylaminobutyl)iminomethyl)phenyl)methyl]benzene (5c)
Yellow oil (98%); 1H NMR (CDCl3) δ ppm: 8.24 (s, 2H, CH=N), 7.64 (d, 4H, J = 8.1 Hz, H-3phen, and H-5phen), 7.19 (d, 4H, J = 8.10 Hz, H-2phen, and H-6phen), 7.18 (m, 1H, Hbenz), 7.02 (s, 2H, Hbenz), 7.01 (s, 1H, Hbenz), 3.96 (s, 4H, CH2), 3.62 (t, 4H, J = 6.90 Hz, NCH2), 2.33 (t, 4H, J = 6.90 Hz, NCH2), 2.24 (s, 12H, N(CH3)2), 1.72-1.69 (m, 4H, CH2), 1.58–1.55 (m, 4H, CH2).
1,3-bis[(4-(2-(4-methylpiperazin-1-yl)ethyl)iminomethyl)phenyl)methyl]benzene (5d)
Yellow oil (98%); 1H NMR (CDCl3) δ ppm: 8.25 (s, 2H, CH=N), 7.62 (d, 4H, J = 8.10 Hz, H-3phen, and H-5phen), 7.20 (d, 4H, J = 8.10 Hz, H-2phen, and H-6phen), 7.19 (m, 1H, Hbenz), 6.99 (s, 2H, Hbenz), 6.98 (s, 1H, Hbenz), 3.94 (s, 4H, CH2), 3.74 (t, 4H, J = 6.0 Hz, NCH2), 2.72 (t, 4H, J = 8.40 Hz, NCH2), 2.46 (s, 16H, NCH2pip), 2.28 (s, 6H, NCH3).
1,3,-bis[(4-(3-(4-methylpiperazin-1-yl)propyl)iminomethyl)phenyl)methyl]benzene (5e)
Yellow oil (98%); 1H NMR (CDCl3) δ ppm: 8.25 (s, 2H, CH=N), 7.64 (d, 4H, J = 8.10 Hz, H-3phen, and H-5phen), 7.27 (d, 4H, J = 8.10 Hz, H-2phen, and H-6phen), 7.28 (m, 1H, Hbenz), 7.03 (s, 2H, Hbenz), 7.01 (s, 1H, Hbenz), 3.96 (s, 4H, CH2), 3.63 (t, 4H, J = 6.00 Hz, NCH2), 2.48 (t, 4H, J = 6.00 Hz, NCH2), 2.33 (s, 16H, NCH2pip), 2.28 (s, 6H, NCH3), 1.90–1.88 (m, 4H, CH2).
1,3,-bis[(4-(3-(morpholin-1-yl)propyl)iminomethyl)phenyl)methyl]benzene (5f)
Yellow oil (99%); 1H NMR (CDCl3) δ ppm: 8.24 (s, 2H, CH=N), 7.62 (d, 4H, J = 8.10 Hz, H-3phen, and H-5phen), 7.19 (d, 4H, J = 8.10 Hz, H-2phen, and H-6phen), 7.20 (s, 1H, Hbenz), 7.01 (s, 2H, Hbenz), 6.98 (s, 1H, Hbenz), 3.94 (s, 4H, CH2), 3.69 (t, 8H, J = 4.20 Hz, OCH2), 3.58 (t, 4H, J = 6.9 Hz, NCH2), 2.39–2.28 (m, 10H, NCH2 and NCH2morph), 1.83 (qt, 4H, J = 6.90 Hz, CH2).
1,3-bis[(4-(3-(pyrrolidin-1-yl)propyl)iminomethyl)phenyl)methyl]benzene (5g)
Yellow oil (98%); 1H NMR (CDCl3) δ ppm: 8.24 (s, 2H, CH=N), 7.62 (d, 4H, J = 8.1 Hz, H-3phen, and H-5phen), 7.20 (d, 4H, J = 8.10 Hz, H-2phen, and H-6phen), 7.19 (s, 1H, Hbenz), 7.01 (s, 2H, Hbenz), 6.98 (s, 1H, Hbenz), 3.95 (s, 4H, CH2), 3.64 (t, 4H, J = 6.60 Hz, NCH2), 2.54–2.47 (m, 12H, NCH2 and NCH2pyrrol), 1.94–1.92 (m, 4H, J = 6.90 Hz, CH2), 1.79–1.76 (m, 8H, CH2pyrrol).
1,3-bis[(4-(3-(piperidin-1-yl)propyl)iminomethyl)phenyl)methyl]benzene (5h)
Yellow oil (99%); 1H NMR (CDCl3) δ ppm: 8.23 (s, 2H, CH=N), 7.62 (d, 4H, J = 8.10 Hz, H-3phen, and H-5phen), 7.19 (s, 1H, Hbenz), 7.18 (d, 4H, J = 8.10 Hz, H-2phen, and H-6phen), 7.01 (s, 2H, Hbenz), 6.98 (s, 1H, Hbenz), 3.94 (s, 4H, CH2), 3.60 (t, 4H, J = 6.90 Hz, NCH2), 2.42–2.31 (m, 12H, NCH2 and NCH2pip), 1.62–1.54 (m, 16H, CH2 and CH2pip).
1,3-bis{[4-((quinolin-3-yl)iminomethyl)phenyl]methyl}benzene (5i)
Pale-yellow oil (98%); 1H NMR (CDCl3) δ ppm: 8.92 (d, 2H, J = 2.70 Hz, H-2quinol), 8.59 (s, 2H, CH=N), 8.15-8.12 (m, 2H, H-8quinol), 8.02-7.99 (m, 2H, H-5quinol), 7.97 (d, 2H, J = 2.70 Hz, H-4quinol), 7.89 (d, 4H, J = 7.80 Hz, H-3phen, and H-5phen), 7.50–7.39 (m, 4H, H-6quinol, and H-7quinol), 7.23 (d, 4H, J = 7.80 Hz, H-2phen, and H-6phen), 7.19 (s, 1H, Hbenz), 7.01 (s, 2H, Hbenz), 6.98 (s, 1H, Hbenz), 4.05 (s, 4H, CH2).
1,3-bis[(4-(pyridin-2-ylmethyliminomethyl)phenyl)methyl]benzene (5j)
Pale-yellow oil (93%); 1H NMR (CDCl3) δ ppm: 8.58 (d, 2H, J = 6.90 Hz, H-6pyrid), 8.45 (s, 2H, CH=N), 7.75-7.67 (m, 6H, H-3phen, H-5phen and H-4pyrid), 7.42 (d, 2H, J = 6.90 Hz, H-5pyrid), 7.25–7.17 (m, 7H, H-2phen, H-6phen, H-3pyrid and Hbenz), 7.04 (s, 2H, Hbenz), 7.01 (s, 1H, Hbenz), 4.95 (s, 4H, NCH2), 3.98 (s, 4H, CH2).
1,3-bis[(4-(pyridin-2-ylethyliminomethyl)phenyl)methyl]benzene (5k)
Yellow oil (97%); 1H NMR (CDCl3) δ ppm: 8.55 (d, 2H, J = 5.90 Hz, H-6pyrid), 8.17 (s, 2H, CH=N), 7.61-7.54 (m, 6H, H-3phen, H-5phen, and H-4pyrid), 7.20-7.09 (m, 9H, J = 8.10 Hz, H-2phen, H-6phen, H-3pyrid, Hbenz, and H-5pyrid), 7.01 (s, 2H, Hbenz), 7.00 (s, 1H, Hbenz), 4.00 (t, 4H, J = 7.20 Hz, NCH2), 3.94 (s, 4H, CH2), 3.18 (t, 4H, J = 7.20 Hz, CH2Pyrid).
1,3-bis[(4-(pyridin-2-ylpropyliminomethyl)phenyl)methyl]benzene (5l)
Yellow oil (97%); 1H NMR (CDCl3) δ ppm: 8.54 (d, 2H, J = 5.80 Hz, H-6pyrid), 8.25 (s, 2H, CH=N), 7.61-7.54 (m, 6H, H-3phen, H-5phen, and H-4pyrid), 7.23–7.17 (m, 8H, J = 8.10 Hz, H-2phen, H-6phen, H-3pyrid, and H-5pyrid), 7.10 (m, 1H, Hbenz), 7.03 (s, 2H, Hbenz), 7.01 (s, 1H, Hbenz), 3.96 (s, 4H, CH2), 3.67 (t, 4H, J = 6.60 Hz, NCH2), 2.88 (t, 4H, J = 6.60 Hz, CH2Pyrid), 2.16 (qt, 4H, J = 6.60 Hz, CH2).
1,3-bis[(4-(pyridin-3-ylmethyliminomethyl)phenyl)methyl]benzene (5m)
Pale-yellow oil (98%); 1H NMR (CDCl3) δ ppm: 8.61 (d, 2H, J = 2.20 Hz, H-2pyrid), 8.54 (dd, 2H, J = 4.80 and 1.60 Hz, H-6pyrid), 8.40 (s, 2H, CH=N), 7.72–7.68 (m, 6H, H-3phen, H-5phen and H-4pyrid), 7.28–7.22 (m, 7H, H-2phen, H-6phen, Hbenz, and H-5pyrid), 7.04 (s, 2H, Hbenz), 7.03 (s, 1H, Hbenz), 4.80 (s, 4H, NCH2), 3.98 (s, 4H, CH2).
1,3-bis[(4-(pyridin-3-ylethyliminomethyl)phenyl)methyl]benzene (5n)
Yellow oil (99%); 1H NMR (CDCl3) δ ppm: 8.52-8.44 (m, 4H, H-2pyrid and H-6pyrid), 8.13 (s, 2H, CH=N), 7.63 (d, 4H, J = 7.80 Hz, H-3phen, and H-5phen), 7.53-7.54 (d, 2H, J = 7.80 Hz H-4pyrid), 7.27–7.20 (m, 7H, H-2phen, H-6phen, Hbenz, and H-5pyrid), 7.05 (s, 2H, Hbenz), 7.02 (s, 1H, Hbenz), 3.97 (s, 4H, CH2), 3.85 (t, 2H, J = 7.20 Hz, NCH2), 3.02 (t, 4H, J = 7.20 Hz, CH2Pyrid).
1,3-bis[(4-(pyridin-3-ylpropyliminomethyl)phenyl)methyl]benzene (5o)
Yellow oil (91%); 1H NMR (CDCl3) δ ppm: 8.52 (d, 2H, J = 2.20 Hz, H-2pyrid), 8.49 (dd, 2H, J = 4.80 and 1.60 Hz, H-6pyrid), 8.28 (s, 2H, CH=N), 7.70 (d, 4H, J = 8.10 Hz, H-3phen, and H-5phen), 7.56–7.53 (m, 2H, H-4pyrid), 7.32-7.18 (m, 7H, H-5pyrid, Hbenz, H-2phen, and H-6phen), 7.04 (s, 2H, Hbenz), 7.03 (s, 1H, Hbenz), 4.01 (s, 4H, CH2), 3.65 (t, 4H, J = 6.60 Hz, NCH2), 2.74 (t, 4H, J = 6.60 Hz, CH2Pyrid), 2.08 (qt, 4H, J = 6.60 Hz, CH2).
1,3-bis[(4-(pyridin-4-ylmethyliminomethyl)phenyl)methyl]benzene (5p)
Pale-yellow oil (99%); 1H NMR (CDCl3) δ ppm: 8.54 (d, 4H, J = 5.40 Hz, H-2pyrid, and H-6pyrid), 8.37 (s, 2H, CH=N), 7.72 (d, 4H, J = 8.10 Hz, H-3phen, and H-5phen), 7.28–7.23 (m, 9H, H-2phen, H-6phen, Hbenz, H-3pyrid, and H-5pyrid), 7.04 (s, 2H, Hbenz), 7.03 (s, 1H, Hbenz), 4.78 (s, 4H, NCH2), 3.98 (s, 4H, CH2).
1,3-bis[(4-(pyridin-4-ylethyliminomethyl)phenyl)methyl]benzene (5q)
Yellow oil (97%); 1H NMR (CDCl3) δ ppm: 8.50–8.48 (m, 4H, H-2pyrid, and H-6pyrid), 8.12 (s, 2H, CH=N), 7.62 (d, 4H, J = 8.20 Hz, H-3phen, and H-5phen), 7.20 (d, 4H, J = 8.20 Hz, H-2phen, and H-6phen), 7.16–7.14 (m, 5H, H-3pyrid, and H-5pyrid, Hbenz), 7.03 (s, 2H, Hbenz), 7.02 (s, 1H, Hbenz), 3.96 (s, 4H, CH2), 3.85 (t, 4H, J = 7.20 Hz, NCH2), 3.00 (t, 4H, J = 7.20 Hz, CH2Pyrid).
1,3-bis[(4-(pyridin-4-ylpropyliminomethyl)phenyl)methyl]benzene (5r)
Yellow oil (98%); 1H NMR (CDCl3) δ ppm: 8.50 (d, 4H, J = 5.40 Hz, H-2pyrid, and H-6pyrid), 8.25 (s, 2H, CH=N), 7.68 (d, 4H, J = 7.80 Hz, H-3phen, and H-5phen), 7.28–7.24 (m, 4H, H-3pyrid, and H-5pyrid),), 7.18 (s, 1H, Hbenz), 7.15 (d, 4H, J = 8.20 Hz, H-2phen, and H-6phen), 7.06 (s, 2H, Hbenz), 7.05 (s, 1H, Hbenz) 3.99 (s, 4H, CH2), 3.64 (t, 4H, J = 7.20 Hz, NCH2), 2.72 (t, 4H, J = 7.20 Hz, CH2Pyrid), 2.07 (qt, 6H, J = 7.20 Hz, CH2).

3.1.4. General Procedure for the Synthesis of 1,3-bis[(4-(Substituted-Aminomethyl)Phenyl)Methyl]Benzenes 7a–r

To a solution of compounds 5a–r (0.4 mmol) in methanol (10 mL) was added, portion-wise at 0 °C, sodium borohydride (2.4 mmol, 6 eq.). The reaction mixture was then stirred at room temperature for 2 h. Then, it was evaporated to dryness under reduced pressure. After cooling, the residue was triturated in water and extracted with dichloromethane (40 mL). The organic layer was separated, dried over sodium sulfate and activated charcoal, and evaporated to dryness. The residue was then purified by column chromatography on silica gel using dichloromethane/methanol (90/10: v/v) as eluent to give the pure products 7a–r.
1,3-bis[(4-(2-dimethylaminoethyl)aminomethyl)phenyl)methyl]benzene (7a)
Yellow oil (44%); 1H NMR (CDCl3) δ ppm: 7.38 (m, 1H, Hbenz), 7.23 (d, 4H, J = 8.10 Hz, H-3phen, and H-5phen), 7.11 (d, 4H, J = 8.10 Hz, H-2phen, and H-6phen), 7.01 (s, 2H, Hbenz), 6.98 (s, 1H, Hbenz), 3.92 (s, 4H, CH2), 3.78 (s, 4H, NCH2), 2.70 (t, 4H, J = 6.90 Hz, NCH2), 2.43 (t, 4H, J = 6.90 Hz, NCH2), 2.21 (s, 12H, N(CH3)2); 13C NMR (CDCl3) δ ppm: 141.29 (C-4phenyl), 141.17 (Cqbenz), 137.81 (C-1phenyl), 130.24 (C-3phen and C-5phen), 129.65 (C-2phen and C-6phen), 128.81 (CHbenz), 126.66 (CHbenz), 58.90 (NCH2), 53.66 (NCH2), 46.47 (NCH2), 45.44 (N(CH3)2), 41.53 (CH2). ESI-MS m/z [M+H]+ calculated for C30H43N4: 459.3488, found: 459.3474.
1,3-bis[(4-(3-dimethylaminopropyl)aminomethyl)phenyl)methyl]benzene (7b)
Yellow oil (51%); 1H NMR (CDCl3) δ ppm: 7.25 (m, 1H, Hbenz), 7.20 (d, 4H, J = 8.10 Hz, H-3phen, and H-5phen), 7.12 (d, 4H, J = 8.10 Hz, H-2phen, and H-6phen), 6.98 (m, 3H, Hbenz), 3.95 (s, 4H, CH2), 3.76 (s, 4H, NCH2), 2.68 (t, 4H, J = 7.10 Hz, NCH2), 2.33 (t, 4H, J = 7.10 Hz, NCH2), 2.22 (s, 12H, N(CH3)2), 1.69 (qt, 4H, J = 7.10 Hz, CH2); 13C NMR (CDCl3) δ ppm: 142.60 (C-4phenyl), 141.13 (Cqbenz), 139.41 (C-1phenyl), 130.94 (CHbenz), 130.29 (C-3phen and C-5phen), 129.91 (CHbenz), 129.61 (C-2phen and C-6phen), 128.84 (CHbenz), 59.40 (NCH2), 55.10 (NCH2), 49.22 (NCH2), 46.90 (N(CH3)2), 42.91 (CH2), 29.32 (CH2). ESI-MS m/z [M + 2H]+ calculated for C32H47N4: 487.3722, found: 487.3784.
1,3-bis[(4-(4-dimethylaminobutyl)aminomethyl)phenyl)methyl]benzene (7c)
Yellow oil (85%); 1H NMR (CDCl3) δ ppm: 7.22 (d, 4H, J = 7.90 Hz, H-3phen, and H-5phen), 7.17 (m, 1H, Hbenz), 7.13 (d, 4H, J = 7.90 Hz, H-2phen, and H-6phen), 7.00 (m, 3H, Hbenz), 3.91 (s, 4H, CH2), 3.75 (s, 4H, NCH2), 2.65 (t, 4H, J = 6.90 Hz, NCH2), 2.24 (t, 4H, J = 6.90 Hz, NCH2), 2.20 (s, 12H, N(CH3)2), 1.54–1.51 (m, 8H, CH2); 13C NMR (CDCl3) δ ppm: 142.61 (C-4phenyl), 141.30 (Cqbenz), 138.97 (C-1phenyl), 130.35 (C-3phen and C-5phen), 130.95 (CHbenz), 129.92 (C-2phen and C-6phen), 128.41 (CHbenz), 128.06 (CHbenz), 60.88 (NCH2), 54.87 (NCH2), 50.49 (NCH2), 46.87 (N(CH3)2), 42.91 (CH2), 29.14 (CH2), 26.77 (CH2). ESI-MS m/z [M + H]+ calculated for C34H51N4: 515.4035, found: 515.5112.
1,3-bis[(4-(2-(4-methylpiperazin-1-yl)ethyl)aminomethyl)phenyl)methyl]benzene (7d)
Yellow oil (61%); 1H NMR (CDCl3) δ ppm: 7.21 (d, 4H, J = 8.10 Hz, H-3phen, and H-5phen), 7.14 (m, 1H, Hbenz), 7.13 (d, 4H, J = 8.10 Hz, H-2phen, and H-6phen), 7.03 (m, 3H, Hbenz), 3.90 (s, 4H, CH2), 3.64 (s, 4H, NCH2), 2.46 (t, 4H, J = 6.90 Hz, NCH2), 2.50 (t, 4H, J = 6.90 Hz, NCH2), 2.48–2.35 (m, 16H, NCH2piperazine), 2.27 (s, 6H, NCH3); 13C NMR (CDCl3) δ ppm: 142.65 (C-4phenyl), 141.17 (Cqbenz), 139.39 (C-1phenyl), 130.92 (CHbenz), 130.29 (C-3phen and C-5phen), 129.58 (C-2phen and C-6phen), 128.38 (CHbenz),128.03 (CHbenz), 58.98 (NCH2), 56.30 (NCH2piperazine), 54.97 (NCH2), 54.44 (NCH2piperazine), 47.37 (NCH3), 46.90 (NCH2), 42.90 (CH2). ESI-MS m/z [M + H]+ calculated for C36H53N6: 569.4253, found: 569.43.
1,3-bis[(4-(3-(4-methylpiperazin-1-yl)propyl)aminomethyl)phenyl)methyl]benzene (7e)
Yellow oil (75%); 1H NMR (CDCl3) δ ppm: 7.20 (d, 4H, J = 8.10 Hz, H-3phen, and H-5phen), 7.16 (m, 3H, Hbenz), 7.12 (d, 4H, J = 8.10 Hz, H-2phen, and H-6phen), 6.99 (m, 3H, Hbenz), 3.91 (s, 4H, CH2), 3.72 (s, 4H, NCH2), 2.65 (t, 4H, J = 7.10 Hz, NCH2), 2.37 (t, 4H, J = 7.10 Hz, NCH2), 2.41–2.34 (m, 16H, NCH2piperazine), 2.25 (s, 6H, NCH3), 1.72 (qt, 4H, J = 7.10 Hz, CH2); 13C NMR (CDCl3) δ ppm: 142.59 (C-4phenyl), 141.10 (Cqbenz), 139.35 (C-1phenyl), 130.90 (CHbenz), 130.25 (C-3phen and C-5phen), 130.26 (CHbenz), 129.55 (C-2phen and C-6phen), 128.07 (CHbenz), 59.10 (NCH2), 56.45 (NCH2piperazine), 55.05 (NCH2), 54.55 (NCH2piperazine), 49.46 (NCH2), 47.39 (NCH3), 42.88 (CH2), 28.20 (CH2). ESI-MS m/z [M + H]+ calculated for C38H57N6: 597.456, found: 597.4630.
1,3-bis[(4-(3-(morpholin-1-yl) propyl)aminomethyl)phenyl)methyl]benzene (7f)
Yellow oil (90%); 1H NMR (CDCl3) δ ppm: 7.40 (m, 1H, Hbenz), 7.27 (d, 4H, J = 8.10 Hz, H-3phen, and H-5phen), 7.11 (d, 4H, J = 8.10 Hz, H-2phen, and H-6phen), 6.99 (m, 3H, Hbenz), 3.93 (s, 4H, CH2), 3.71 (s, 4H, NCH2), 3.69 (t, 8H, J = 4.65 Hz, OCH2), 2.69 (t, 4H, J = 6.90 Hz, NCH2), 2.44–2.37 (m, 12H, NCH2 morpholine, NCH2), 1.71 (qt, 4H, J = 6.90 Hz, CH2); 13C NMR (CDCl3) δ ppm: 142.64 (C-4phenyl), 141.23 (Cqbenz), 139.30 (C-1phenyl), 130.94 (CHbenz), 130.32 (C-3phen and C-5phen), 130.01 (CHbenz), 129.94 (C-2phen and C-6phen), 128.82 (CHbenz), 68.35 (OCH2), 58.76 (NCH2), 55.16 (NCH2morpholine), 55.04 (NCH2), 49.35 (NCH2), 42.82 (CH2), 27.94 (CH2). ESI-MS m/z [M + H]+ calculated for C36H51N4O2: 571.3934, found: 571.40.
1,3-bis[(4-(3-(pyrrolidin-1-yl)propyl)aminomethyl)phenyl)methyl]benzene (7g)
Yellow oil (84%); 1H NMR (CDCl3) δ ppm: 7.24 (m, 1H, Hbenz), 7.20 (d, 4H, J = 8.10 Hz, H-3phen, and H-5phen), 7.17 (d, 4H, J = 8.10 Hz, H-2phen, and H-6phen), 7.05 (m, 3H, Hbenz), 3.92 (s, 4H, CH2), 3.76 (s, 4H, NCH2), 2.70 (t, 4H, J = 6.90 Hz, NCH2), 2.53–2.48 (m, 12H, NCH2, and NCH2pyrrolidine), 1.79–1.72 (m, 12H, CH2, and CH2pyrrolidine); 13C NMR (CDCl3) δ ppm: 141.29 (C-4phenyl), 139.74 (Cqbenz), 138.11 (C-1phenyl), 129.58 (CHbenz), 128.92 (C-3phen and C-5phen), 128.55 (CHbenz), 128.21 (C-2phen and C-6phen), 126.67 (CHbenz), 54.77 (NCH2), 54.25 (NCH2pyrrolidine), 53.67 (NCH2), 48.07 (NCH2), 41.55 (CH2), 29.19 (CH2), 23.44 (CH2pyrrolidine). ESI-MS m/z [M + H]+ calculated for C36H51N4: 539.035, found: 539.41.
1,3-bis[(4-(3-(piperidin-1-yl)propyl)aminomethyl)phenyl)methyl]benzene (7h)
Yellow oil (95%); 1H NMR (CDCl3) δ ppm: 7.24 (m, 1H, Hbenz), 7.20 (d, 4H, J = 8.10 Hz, H-3phen, and H-5phen), 7.17 (d, 4H, J = 8.10 Hz, H-2phen, and H-6phen), 7.01–6.98 (m, 3H, Hbenz), 3.92 (s, 4H, CH2), 3.75 (s, 4H, NCH2), 2.69 (t, 4H, J = 6.90 Hz, NCH2), 2.39–2.32 (m, 12H, NCH2 and NCH2piperidine), 1.71 (qt, 4H, J = 6.90 Hz, CH2), 1.61–1.50 (m, 8H, CH2piperidine), 1.44–1.40 (m, 4H, CH2piperidine); 13C NMR (CDCl3) δ ppm: 142.67 (C-4phenyl), 141.11 (Cqbenz), 139.45 (C-1phenyl), 130.95 (CHbenz), 130.30 (C-3phen and C-5phen), 129.93 (CHbenz), 129.61 (C-2phen and C-6phen), 128.05 (CHbenz), 59.15 (NCH2), 56.04 (NCH2 piperidine), 55.06 (NCH2), 49.63 (NCH2), 42.92 (CH2), 28.34 (CH2), 27.35 (CH2piperidine), 25.84 (CH2piperidine). ESI-MS m/z [M + H]+ calculated for C38H55N4: 567.4348, found: 567.4424.
1,3-bis[(4-((quinolin-3-yl)aminomethyl)phenyl)methyl]benzene (7i)
Pale-yellow oil (87%); 1H NMR (CDCl3) δ ppm: 8.47 (d, 2H, J = 2.70 Hz, H-2quinol), 7.98 (dd, 2H, J = 6.90 and 3.60 Hz, H-8quinol), 7.57 (dd, 2H, J = 6.90 and 3.60 Hz, H-5quinol), 7.46–7.39 (m, 4H, H-6quinol and H-7quinol), 7.29 (d, 4H, J = 7.80 Hz, H-3phen, and H-5phen), 7.24 (m, 1H, Hbenz), 7.15 (d, 4H, J = 7.80 Hz, H-2phen, and H-6phen), 7.13 (d, 2H, J = 2.70 Hz, H-4quinol), 6.98 (m, 3H, Hbenz), 4.34 (d, 4H, J = 5.1 Hz, NCH2); 3.44 (s, 4H, CH2); 13C NMR (CDCl3) δ ppm: 144.70 (C-2quinol), 144.50 (C-8aquinol), 143.4 (C-4phenyl and C-3quinol), 142.93 (Cqbenz), 137.43 (C-1phenyl), 137.3 (C-4aquinol), 130.61 (C-3phen and C-5phen), 130.35 (C-4quinol), 129.02 (C-2phen and C-6phen), 129.00 (C-8quinol), 128.33 (C-5quinol), 127.37 (C-6quinol), 127.30 (C-7quinol), 116.32, (CHbenz), 111.75 (CHbenz), 48.96 (NCH2), 42.94 (CH2). ESI-MS m/z [M + H]+ calculated for C40H35N4: 571.2783, found: 571.2860.
1,3-bis[(4-(pyridin-2-ylmethylaminomethyl)phenyl)methyl]benzene (7j)
Yellow oil (80%); 1H NMR (CDCl3) δ ppm: 8.57 (d, 2H, J = 6.90 Hz, H-6pyrid), 7.65–7.60 (m, 2H, H-4pyrid), 7.33–7.30 (m, 6H, H-3phen, H-5phen, and H-3pyrid), 7.21 (s, 1H, Hbenz), 7.20–7.13 (m, 6H, H-6phen, H-2phen, and H-5pyrid), 7.07–7.00 (m, 3H, Hbenz), 3.94 (m, 8H, NCH2), 3.82 (s, 4H, CH2). 13C NMR (CDCl3) δ ppm: 161.18 (C-2pyrid), 150.70 (C-6pyrid), 142.69 (C-4phenyl), 141.25 (Cqbenz), 139.24 (C-1phenyl), 137.82 (C-4pyrid), 130.98 (CHbenz), 130.34 (C-3phen and C-5phen), 129.95 (C-2phen and C-6phen), 128.46 (CHbenz), 128.08 (CHbenz), 123.75 (C-3pyrid), 123.32 (C-5pyrid), 55.92 (NCH2), 54.61 (NCH2), 42.94 (CH2). ESI-MS m/z [M + H]+ calculated for C34H35N4: 499.2783, found: 499.2860.
1,3-bis[(4-(pyridin-2-ylethylaminomethyl)phenyl)methyl]benzene (7k)
Yellow oil (95%); 1H NMR (CDCl3) δ ppm: 8.54-8.51 (m, 2H, H-6pyrid), 7.60–7.52 (m, 2H, H-4pyrid), 7.39–7.36 (m, 1H, Hbenz), 7.20-7.11 (m, 6H, H-3phen, H-5phen, and H-3pyrid), 7.09–7.05 (m, 6H, H-6phen, H-2phen, and H-5pyrid), 7.02–6.98 (m, 3H, Hbenz), 3.92 (s, 4H, NCH2), 3.79 (s, 4H, CH2), 3.05–3.01 (m, 8H, NCH2, and CH2Pyrid); 13C NMR (CDCl3) δ ppm: 161.61 (C-2pyrid), 150.69 (C-6pyrid), 142.67 (C-4phenyl), 141.17 (Cqbenz), 139.30 (C-1phenyl), 137.78 (C-4pyrid), 130.96 (CHbenz), 129.94 (C-3phen and C-5phen), 129.65 (C-2phen and C-6phen), 128.40 (CHbenz), 128.06 (CHbenz), 124.71 (C-3pyrid), 122.66 (C-5pyrid), 54.93 (NCH2), 50.22 (NCH2), 42.92 (CH2), 39.74 (CH2). ESI-MS m/z [M + H]+ calculated for C36H39N4:: 527.3096, found: 527.3166.
1,3-bis[(4-(pyridin-2-ylpropylaminomethyl)phenyl)methyl]benzene (7l).
Yellow oil (90%); 1H NMR (CDCl3) δ ppm: 8.51–8.49 (m, 2H, H-6pyrid), 7.58–7.53 (m, 2H, H-4pyrid), 7.24 (d, 4H, J = 8.10 Hz, H-3phen, and H-5phen), 7.24–7.22 (m, 1H, Hbenz), 7.23–7.07 (m, 8H, H-6phen, H-2phen, H-5pyrid, and H-3pyrid), 7.01–6.99 (m, 3H, Hbenz), 3.92 (s, 4H, NCH2), 3.74 (s, 4H, CH2), 2.83 (t, 4H, J = 6.90 Hz, NCH2), 2.68 (t, 4H, J = 6.90 Hz, CH2Pyrid), 1.95 (qt,4H J = 6.90 Hz, CH2); 13C NMR (CDCl3) δ ppm: 163.17 (C-2pyrid), 150.72 (C-6pyrid), 142.69 (C-4phenyl), 141.16 (Cqbenz), 139.44 (C-1phenyl), 137.86 (C-4pyrid), 130.96 (CHbenz), 130.31 (C-3phen and C-5phen), 128.76 (C-2phen and C-6phen), 128.73 (CHbenz), 128.03 (CHbenz), 124.19 (C-3pyrid), 122.44 (C-5pyrid), 54.98 (NCH2), 50.12 (NCH2), 42.92 (CH2), 37.34 (CH2), 31.41 (CH2). ESI-MS m/z [M + H]+ calculated for C38H43N4: 555.3409, found: 555.3476.
1,3-bis[(4-(pyridin-3-ylmethylaminomethyl)phenyl)methyl]benzene (7m)
Pale-yellow oil (80%); 1H NMR (CDCl3) δ ppm: 8.58–8.51 (m, 4H, H-6pyrid, and H-3pyrid), 7.72 (d, 2H, J = 7.80 Hz, H-4pyrid), 7.28–7.26 (m, 6H, H-5pyrid, H-3phen, and H-5phen), 7.21 (m, 1H, Hbenz), 7.15 (d, 4H, J = 8.10 Hz, H-6phen, and H-2phen), 7.07–7.01 (m, 3H, Hbenz), 3.92 (s, 4H, NCH2), 3.82 (s, 4H, NCH2), 3.78 (s, 4H, CH2); 13C NMR (CDCl3) δ ppm: 151.15 (C-2pyrid), 149.89 (C-6pyrid), 142.63 (C-4phenyl), 141.43 (Cqbenz), 138.99 (C-1phenyl), 137.25 (C-4pyrid), 137.24 (C-3pyrid), 130.98 (CHbenz), 130.40 (C-3phen and C-5phen), 129.66 (C-2phen and C-6phen), 128.52 (CHbenz), 128.11 (CHbenz), 124.81 (C-5pyrid), 54.28 (NCH2), 51.82 (NCH2), 42.93 (CH2). ESI-MS m/z [M + H]+ calculated for C34H35N4: 499.2783, found: 499.2855.
1,3-bis[(4-(pyridin-3-ylethylaminomethyl)phenyl)methyl]benzene (7n)
Yellow oil (66%); 1H NMR (CDCl3) δ ppm: 8.48–8.46 (m, 4H, H-6pyrid and H-3pyrid), 7.53 (d, 2H, J = 7.80 Hz, H-4pyrid), 7.23–7.18 (m, 6H, H-5pyrid, H-3phen and H-5phen), 7.20–7.12 (m, 1H, Hbenz), 7.12 (d, 6H, J = 7.80 Hz, H-6phen and H-2phen), 7.03–7.00 (m, 3H, Hbenz), 3.93 (s, 4H, NCH2), 3.78 (s, 4H,NCH2), 2.91-2.82 (m, 8H,CH2 and CH2Pyrid); 13C NMR (CDCl3) δ ppm: 151.53 (C-2pyrid), 149.06 (C-6pyrid), 142.64 (C-4phenyl), 141.32 (Cqbenz), 139.16 (C-1phenyl), 137.58 (C-4pyrid), 136.84 (C-3pyrid), 130.96 (CHbenz), 130.36 (C-3phen and C-5phen), 129.97 (C-2phen and C-6phen), 129.19 (CHbenz), 129.09 (CHbenz), 124.77 (C-5pyrid), 54.94 (NCH2), 51.53 (NCH2), 42.92 (CH2), 34.97 (CH2). ESI-MS m/z [M + H]+ calculated for C36H39N4: 527.3096, Found: 527.3169.
1,3-bis[(4-(pyridin-3-ylpropylaminomethyl)phenyl)methyl]benzene (7o).
Yellow oil (90%); 1H NMR (CDCl3) δ ppm: 8.46–8.41 (m, 4H, H-6pyrid and H-3pyrid), 7.8 (d, 2H, J = 7.80 Hz, H-4pyrid), 7.21 (d, 4H, J = 8.10 Hz, H-3phen, and H-5phen), 7.23–7.21 (m, 2H, H-5pyrid), 7.20–7.12 (m, 1H, Hbenz), 7.09 (d, 4H, J = 8.10 Hz, H-6phen, and H-2phen), 7.01–6.99 (m, 3H, Hbenz), 3.92 (s, 4H, NCH2), 3.74 (s, 4H, CH2), 2.68–2.63 (m, 8H, NCH2, and CH2Pyrid), 1.82 (qt, 4H, J = 7.20 Hz, CH2); 13C NMR (CDCl3) δ ppm: 151.24 (C-2pyrid), 148.68 (C-6pyrid), 142.65 (C-4phenyl), 141.26 (Cqbenz), 139.28 (C-1phenyl), 138.76 (C-3pyrid), 137.23 (C-4pyrid), 130.96 (CHbenz), 130.33 (C-3phen and C-5phen), 129.97 (CHbenz), 129.65 (C-2phen and C-6phen), 128.08 (CHbenz), 124.71 (C-5pyrid), 55.08 (NCH2), 49.96 (NCH2), 42.91 (CH2), 32.76 (CH2), 32.00 (CH2). ESI-MS m/z [M + H]+ calculated for C38H43N4: 555.3409, found: 555.3480.
1,3-bis[(4-(pyridin-4-ylmethylaminomethyl)phenyl)methyl]benzene (7p).
Yellow oil (60%); 1H NMR (CDCl3) δ ppm: 8.54 (d, 4H, J = 6.00 Hz, H-2pyrid, and H-6pyrid), 7.72 (d, 4H, J = 6.00 Hz, H-3pyrid, and H-5pyrid), 7.28–7.23 (m, 8H, H-3phen, H-5phen, H-6phen, and H-2phen), 7.21 (m, 1H, Hbenz), 7.04 (m, 3H, Hbenz), 4.77 (s, 4H, NCH2), 3.98 (s, 4H, NCH2), 2.34 (s, 4H, CH2); 13C NMR (CDCl3) δ ppm: 151.16 (C-2pyrid and C-6pyrid), 150.6 (C-4pyrid), 142.61 (C-4phenyl), 141.47 (Cqbenz), 138.89 (C-1phenyl), 130.96 (CHbenz), 130.39 (C-3phen and C-5phen), 130.00 (CHbenz), 129.65 (C-2phen and C-6phen), 128.11 (CHbenz), 124.39 (C-3pyrid and C-5pyrid), 54.29 (NCH2), 53.21 (NCH2), 42.96 (CH2). ESI-MS m/z [M + H]+ calculated for C34H35N4: 499.2783, found: 499.2853.
1,3-bis[(4-(pyridin-4-ylethylaminomethyl)phenyl)methyl]benzene (7q).
Yellow oil (89%); 1H NMR (CDCl3) δ ppm: 8.47–8.45 (m, 6H, H-2pyrid, and H-6pyrid), 7.56 (d, 4H, J = 6.00 Hz, H-3pyrid, and H-5pyrid), 7.28–7.23 (m, 9H, H-3phen, H-5phen, Hbenz H-6phen, and H-2phen), 7.02–7.00 (m, 3H, Hbenz), 3.93 (s, 4H, NCH2), 3.77 (s, 4H, CH2), 2.92 (t, 4H, J = 6.90 Hz, NCH2), 2.80 (t, 4H, J = 6.90 Hz, CH2); 13C NMR (CDCl3) δ ppm: 151.06 (C-2pyrid and C-6pyrid), 150.62 (C-4pyrid), 142.65 (C-4phenyl), 141.38 (Cqbenz), 139.01 (C-1phenyl), 130.95 (CHbenz), 130.37 (C-3phen and C-5phen), 129.62 (C-2phen and C-6phen), 128.74 (CHbenz), 128.48 (CHbenz), 125.59 (C-3pyrid and C-5pyrid), 54.85 (NCH2), 50.65 (NCH2), 42.92 (CH2), 37.08 (CH2). ESI-MS m/z [M + H]+ calculated for C36H39N4: 527.3096, found: 527.3164.
1,3-bis[(4-(pyridin-4-ylpropylaminomethyl)phenyl)methyl]benzene (7r).
Yellow oil (99%); 1H NMR (CDCl3) δ ppm: 8.45 (d, 4H, J = 6.00 Hz, H-2pyrid, and H-6pyrid), 7.23 (d, 6H, J = 8.10 Hz, H-3phen, and H-5phen), 7.14 (d, 4H, J = 8.10 Hz, H-6phen, and H-2phen), 7.19 (m, 1H, Hbenz), 7.08–7.03 (m, 7H, H-3pyrid, H-5pyrid, and Hbenz), 3.91 (s, 4H, NCH2), 3.72 (s, 4H, CH2), 2.63 (t, 8H, J = 7.20 Hz, NCH2, and CH2Pyrid), 1.81 (qt, 4H, J = 7.20 Hz, CH2); 13C NMR (CDCl3) δ ppm: 152.57 (C-4pyrid), 150.97 (C-2pyrid and C-6pyrid), 142.63 (C-4phenyl), 141.27 (Cqbenz), 139.29 (C-1phenyl), 130.96 (CHbenz), 130.33 (C-3phen and C-5phen), 129.98 (CHbenz), 129.65 (C-2phen and C-6phen), 128.08 (CHbenz), 125.30 (C-3pyrid and C-5pyrid), 55.99 (NCH2), 49.87 (NCH2), 42.92 (CH2), 34.22 (CH2), 31.88 (CH2). ESI-MS m/z [M + H]+ calculated for C38H43N4: 555.3409, found: 555.3489.

3.1.5. Synthesis of the 1,3-bis[(4-Formylphenoxy)methyl]benzene 4

To a suspension of 1,3-bis(bromomethyl)benzene (2.5 mmol) and 4-hydroxybenzaldehydel (7.5 mmol) in THF (25 mL) were added 17.5 mmol of powder K2CO3. The reaction mixture was refluxed for 24 h. The suspension was then filtered, evaporated to dryness, and extracted with DCM (2 × 30 mL). The organic layer was filtered and washed with a solution of NaOH 2.5M (2 × 20 mL). The organic layer was dried over sodium sulfate, filtered, and evaporated under reduced pressure to give the pure product 2. Beige crystals (90%); Mp = 90 °C [38]. 1H NMR (CDCl3) δ ppm: 9.89 (s, 2H, CHO), 7.84 (d, 4H, J = 8.10 Hz, H-3phen and H-5phen), 7.52 (s, 3H, Hbenz), 7.42 (s, 1H, Hbenz), 7.43 (s, 2H, Hbenz), 7.07 (d, 4H, J = 8.10 Hz, H-2phen, and H-6phen), 5.16 (s, 4H, CH2); 13C NMR (CDCl3) δ ppm: 192.1(CO), 164.97(C-4phen), 138.03 (Cq-benz), 133.37 (C-3phen and C-5phen), 132.3 (C-1phen), 130.54 (CHbenz) 128.76 (CHbenz), 127.82 (CHbenz), 116.54 (C-2phen and C-6phen), 71.35 (CH2). Colorless single crystal 4 was obtained by slow evaporation from a methanol/chloroform solution (v/v: 20/80): monoclinic, space group P21/n, a = 16.0383(7) Å, b =5.9521(3) Å, c = 18.1048(9) Å, α = 90°, β = 90.005(2)°, γ = 90°, V = 1728.31(14) Å3, Z = 4, δ(calcd) = 1.331 Mg.m−3, FW = 346.36 for C22H18O4, F(000) = 728.0. Full crystallographic results were deposited at the Cambridge Crystallographic Data Centre (CCDC-2427200), UK [39].

3.1.6. General Procedure for the Synthesis of 1,3-bis[(4-(Substituted-iminomethyl)phenoxy)methyl]benzenes 6a-r

The 1,3-bis[(4-formylphenoxy)methyl]benzene 4 (69 mg, 0.2 mmol) was dissolved in 6 mL of toluene. Activated molecular sieves of 4 Å (800 mg) were introduced, followed by dialkylamine (0.5 mmol). The reaction mixture was stirred for 24 h. The obtained suspension was filtered and washed with dichloromethane and the solvent was removed under reduced pressure to afford the di-imine 6. The crude products were then used without further purification.
1,3-bis[(4-(2-dimethylaminoethyl)iminomethyl)phenoxy)methyl]benzene (6a)
Yellow oil (99%); 1H NMR (CDCl3) δ ppm: 8.23 (s, 2H, CH = N), 7.65 (d, 6H, J = 8.10 Hz, H-3phen, and H-5phen), 7.49 (s, 1H, Hbenz), 7.39 (s, 2H, Hbenz), ), 7.28 (s, 1H, Hbenz), 6.97 (d, 6H, J = 8.10 Hz, H-2phen, and H-6phen), 5.09 (s, 4H, CH2), 3.72 (t, 4H, J = 6.90 Hz, NCH2), 2.62 (t, 4H, J = 6.90 Hz, NCH2), 2.30 (s, 12H, N(CH3)2).
1,3-bis[(4-(3-dimethylaminopropyl)iminomethyl)phenoxy)methyl]benzene (6b)
Yellow oil (98%); 1H NMR (CDCl3) δ ppm: 8.35 (s, 2H, CH=N), 7.86 (d, 4H, J = 8.10 Hz, H-3phen, and H-5phen), 7.62 (s, 1H, Hbenz), 7.53 (s, 2H, Hbenz), 7.44 (s, 1H, Hbenz), 7.13 (d, 4H, J = 8.10 Hz, H-2phen, and H-6phen), 5.17 (s, 4H, CH2), 3.79 (t, 4H, J = 6.90 Hz, NCH2), 2.54 (t, 4H, J = 6.90 Hz, NCH2), 2.41 (s, 12H, N(CH3)2), 2.06 (qt, 4H, J = 8.40 Hz, CH2).
1,3-bis[(4-(4-dimethylaminobutyl)iminomethyl)phenoxy)methyl]benzene (6c)
Yellow oil (90%); 1H NMR (CDCl3) δ ppm: 8.20 (s, 2H, CH=N), 7.67 (d, 4H, J = 8.1 Hz, H-3phen, and H-5phen), 7.50 (s, 1H, Hbenz), 7.40 (s, 2H, Hbenz), 7.23 (s, 1H, Hbenz), 6.98 (d, 4H, J = 8.10 Hz, H-2phen, and H-6phen), 5.10 (s, 4H, CH2), 3.60 (t, 4H, J = 6.90 Hz, NCH2), 2.30 (t, 4H, J = 6.90 Hz, NCH2), 2.22 (s, 12H, N(CH3)2, 1.71 (qt, 4H, J = 8.40 Hz, CH2), 1.55 (qt, 4H, J = 8.40 Hz, CH2).
1,3-bis[(4-(2-(4-methylpiperazin-1-yl)ethyl)iminomethyl)phenoxy)methyl]benzene (6d)
Yellow oil (99%); 1H NMR (CDCl3) δ ppm: 8.20 (s, 2H, CH=N), 7.64 (d, 4H, J = 8.1 Hz, H-3phen, and H-5phen), 7.47 (s, 1H, Hbenz), 7.37 (s, 2H, Hbenz), 7.23 (s, 1H, Hbenz), 6.98 (d, 4H, J = 8.10 Hz, H-2phen, and H-6phen), 5.06 (s, 4H, CH2), 3.72 (t, 4H, J = 6.0 Hz, NCH2), 2.8 (t, 4H, J = 8.40 Hz, NCH2), 2.23 (s, 16H, NCH2pip), 2.26 (s, 6H, NCH3).
1,3-bis[(4-(3-(4-methylpiperazin-1-yl)propyl)iminomethyl)phenoxy)methyl]benzene (6e)
Yellow oil (99%); 1H NMR (CDCl3) δ ppm: 8.20 (s, 2H, CH=N), 7.65 (d, 4H, J = 8.1 Hz, H-3phen, and H-5phen), 7.50 (s, 1H, Hbenz), 7.39 (s, 2H, Hbenz), 7.28 (s, 1H, Hbenz), 6.98 (d, 4H, J = 8.10 Hz, H-2phen, and H-6phen), 5.10 (s, 4H, CH2), 3.60 (t, 6H, J = 6.00 Hz, NCH2), 2.47–2.34 (m, 20H, NCH2, NCH2pip), 2.28 (s, 6H, NCH3), 1.91–1.86 (qt, 4H, J = 8.40 Hz, CH2).
1,3-bis[(4-(3-(morpholin-1-yl)propyl)iminomethyl)phenoxy)methyl]benzene (6f)
Yellow oil (99%); 1H NMR (CDCl3) δ ppm: 8.20 (s, 2H, CH=N), 7.65 (d, 4H, J = 8.1 Hz, H-3phen, and H-5phen), 7.50 (s, 1H, Hbenz), 7.39 (s, 2H, Hbenz), 7.17 (s, 1H, Hbenz), 6.98 (d, 4H, J = 8.10 Hz, H-2phen, and H-6phen), 5.09 (s, 4H, CH2), 3.72 (t, 8H, J = 4.20 Hz, OCH2), 3.63 (t, 4H, J = 6.9 Hz, NCH2), 2.44–2.34 (m, 12H, NCH2, and NCH2morph), 1.86 (qt, 6H, J = 6.90 Hz, CH2).
1,3,5-bis[(4-(3-(pyrrolidin-1-yl)propyl)iminomethyl)phenoxy)methyl]benzene (6g)
Yellow oil (98%); 1H NMR (CDCl3) δ ppm: 8.20 (s, 2H, CH=N), 7.65 (d, 4H, J = 8.1 Hz, H-3phen, and H-5phen), 7.49 (s, 1H, Hbenz), 7.39 (s, 2H, Hbenz), 7.17 (s, 1H, Hbenz), 6.99 (d, 4H, J = 8.10 Hz, H-2phen, and H-6phen), 5.09 (s, 4H, CH2) 3.62 (t, 4H, J = 6.60 Hz, NCH2), 2.54–2.48 (m, 12H, NCH2, and NCH2pyrrol), 1.93 (t, 4H, J = 6.60 Hz, CH2), 1.79–1.74 (m, 8H, CH2pyrrol).
1,3-bis[(4-(3-(piperidin-1-yl)propyl)iminomethyl)phenoxy)methyl]benzene (6h)
Yellow oil (99%); 1H NMR (CDCl3) δ ppm: 8.20 (s, 2H, CH=N), 7.65 (d, 4H, J = 8.1 Hz, H-3phen, and H-5phen), 7.50 (s, 1H, Hbenz), 7.39 (s, 2H, Hbenz), 7.17 (s, 1H, Hbenz), 6.99 (d, 4H, J = 8.10 Hz, H-2phen, and H-6phen), 5.09 (s, 4H, CH2), 3.60 (t, 4H, J = 6.90 Hz, NCH2), 2.40–2.35 (m, 12H, NCH2, and NCH2pip), 1.88 (t, 4H, J = 6.90 Hz, CH2), 1.62–1.54 (m, 8H, CH2pip), 1.45–1.42 (m, 4H, CH2pip).
1,3-bis{[4-((quinolin-3-yl)iminomethyl)phenoxy]methyl}benzene (6i)
Pale-yellow oil (98%); 1H NMR (CDCl3) δ ppm: 8.91 (d, 2H, J = 2.70 Hz, H-2quinol), 8.57–8.53 (m, 2H, H-8quinol), 8.15 (s, 2H, CH=N), 7.99–7.92 (m, 4H, H-5quinol, H-4quinol), 7.81 (d, 4H, J = 7.80 Hz, H-3phen, and H-5phen), 7.69–7.24 (m, 8H, H-6quinol, and H-7quinol, Hbenz), 7.12 (d, 4H, J = 7.80 Hz, H-2phen and H-6phen), 5.19 (s, 4H, CH2).
1,3-bis[(4-(pyridin-2-ylmethyliminomethyl)phenoxy)methyl]benzene (6j)
Pale-yellow oil (93%); 1H NMR (CDCl3) δ ppm: 8.53 (d, 2H, J = 6.90 Hz, H-6pyrid), 8.40 (s, 2H, CH=N), 7.76 (d, 4H, J = 8.1 Hz, H-3phen, and H-5phen), 7.69–7.66 (m, 2H, H-4pyrid), 7.44–7.41 (m, 3H, J = 6.10 Hz, H-3pyrid), 7.19–7.17 (m, 5H, Hbenz, H-5pyrid), 7.03 (d, 4H, J = 8.1 Hz, H-2phen, and H-6phen), 5.10 (s, 4H, OCH2), 4.93 (s, 4H, NCH2).
1,3-bis[(4-(pyridin-2-ylethyliminomethyl)phenoxy)methyl]benzene (6k)
Yellow oil (97%); 1H NMR (CDCl3) δ ppm: 8.55 (d, 2H, J = 5.90 Hz, H-6pyrid), 8.14 (s, 2H, CH=N), 7.63 (d, 4H, J = 8.10 Hz, H-3phen, and H-5phen), 7.71–7.50 (m, 3H, H-4pyrid, Hbenz), 7.39 (s, 3H, Hbenz), 7.22–7.11 (m, 4H, H-3pyrid, and H-5pyrid), 6.99 (t, 4H, J = 8.10 Hz, H-2phen, H-6phen), 5.09 (s, 4H, J = 7.20 Hz, OCH2), 4.01 (s, 4H, NCH2), 3.18 (m, 4H, CH2Pyrid).
1,3-bis[(4-(pyridin-2-ylpropyliminomethyl)phenoxy)methyl]benzene (6l)
Yellow oil (97%); 1H NMR (CDCl3) δ ppm: 8.53 (d, 2H, J = 5.80 Hz, H-6pyrid), 8.21 (s, 2H, CH=N), 7.68 (d, 4H, J = 8.10 Hz, H-3phen, and H-5phen), 7.58–7.57 (m, 2H, H-4pyrid), 7.22 (s, 1H, Hbenz), 7.41 (s, 3H, Hbenz), 7.12–7.03 (m, 2H, H-3pyrid ) 7.10–7.09 (m, 2H, H-5pyrid), 6.99 (t, 4H, J = 8.10 Hz, H-2phen, H-6phen), 5.11 (s, 4H, OCH2), 3.65 (t, 4H, J = 6.60 Hz, NCH2), 2.89 (t, 4H, J = 6.60 Hz, CH2Pyrid), 2.15 (qt, 4H, J = 6.60 Hz, CH2).
1,3-bis[(4-(pyridin-3-ylmethyliminomethyl)phenoxy)methyl]benzene (6m)
Pale-yellow oil (98%); 1H NMR (CDCl3) δ ppm: 8.61–8.50 (m, 4H, H-2pyrid, and H-6pyrid), 8.34 (s, 2H, CH=N), 7.73 (d, 4H, J = 8.10 Hz, H-3phen, and H-5phen), 7.67–7.64 (m, 2H, H-4pyrid), 7.50 (s, 1H, Hbenz), 7.40 (s, 3H, Hbenz), 7.18 (m, 2H, H-5pyrid), 7.02 (t, 4H, J = 8.10 Hz, H-2phen, H-6phen), 5.09 (s, 4H, OCH2), 4.76 (s, 4H, NCH2).
1,3-bis[(4-(pyridin-3-ylethyliminomethyl)phenoxy)methyl]benzene (6n)
Pale Yellow oil (97%): 1H NMR (CDCl3) δ ppm: 8.51–8.44 (m, 4H, H-2pyrid, and H-6pyrid), 8.09 (s, 2H, CH=N), 7.65 (d, 4H, J = 7.80 Hz, H-3phen, and H-5phen), 7.56–7.52 (m, 3H, H-4pyrid, Hbenz), 7.51 (s, 3H, Hbenz), 7.26–7.21 (m, 2H, H-5pyrid), 7.00 (t, 4H, J = 8.10 Hz, H-2phen, H-6phen), 5.10 (s, 4H, OCH2), 3.79 (t, 4H, J = 7.20 Hz, NCH2), 3.00 (t, 4H, J = 7.20 Hz, CH2Pyrid).
1,3-bis[(4-(pyridin-3-ylpropyliminomethyl)phenoxy)methyl]benzene (6o)
Yellow oil (91%); 1H NMR (CDCl3) δ ppm: 8.47–8.43 (m, 4H, H-2pyrid, and H-6pyrid), 8.20 (s, 2H, CH=N), 7.65 (d, 4H, J = 7.80 Hz, H-3phen, and H-5phen), 7.54–7.50 (m, 3H, H-4pyrid, Hbenz), 7.51 (s, 3H, Hbenz), 7.26–7.21 (m, 2H, H-5pyrid), 7.00 (t, 4H, J = 8.10 Hz, H-2phen, H-6phen), 5.10 (s, 4H, OCH2), 3.60 (t, 4H, J = 7.20 Hz, NCH2), 2.71 (t, 4H, J = 7.20 Hz, CH2Pyrid), 2.04 (qt, 6H, J = 6.60 Hz, CH2).
1,3-bis[(4-(pyridin-4-ylmethyliminomethyl)phenoxy)methy]benzene (6p)
Pale-yellow oil (98%); 1H NMR (CDCl3) δ ppm: 8.53 (d, 4H, J = 5.40 Hz, H-2pyrid, and H-6pyrid), 8.33 (s, 2H, CH=N), 7.74 (d, 4H, J = 8.10 Hz, H-3phen, and H-5phen), 7.52 (s, 1H, Hbenz), 7.41 (s, 3H, Hbenz), 7.28–7.11 (m, 4H, H-4pyrid, and H-5pyrid), 7.00 (d, 4H, J = 8.10 Hz, H-2phen and H-6phen), 5.12 (s, 4H, OCH2), 4.74 (s, 4H, NCH2).
1,3-bis[(4-(pyridin-4-ylethyliminomethyl)phenoxy)methyl]benzene (6q)
Yellow oil (97%); 1H NMR (CDCl3) δ ppm: 8.50 (d, 4H, J = 5.40 Hz, H-2pyrid, and H-6pyrid), 8.07 (s, 2H, CH=N), 7.63 (d, 4H, J = 8.10 Hz, H-3phen, and H-5phen), 7.50 (s, 1H, Hbenz), 7.40 (s, 3H, Hbenz), 7.18–7.14 (m, 4H, H-4pyrid, and H-5pyrid), 7.00 (d, 4H, J = 8.10 Hz, H-2phen, and H-6phen), 5.09 (s, 4H, OCH2), 3.82 (s, 4H, NCH2), 2.99 (t, 6H, J = 7.20 Hz, CH2Pyrid).
1,3-bis[(4-(pyridin-4-ylpropyliminomethyl)phenoxy)methyl]benzene (6r)
Yellow oil (98%); 1H NMR (CDCl3) δ ppm: 8.48 (d, 4H, J = 5.40 Hz, H-2pyrid, and H-6pyrid), 8.17 (s, 2H, CH=N), 7.67 (d, 4H, J = 8.10 Hz, H-3phen, and H-5phen), 7.50 (s, 1H, Hbenz), 7.40 (s, 3H, Hbenz), 7.18–7.14 (m, 4H, H-4pyrid, and H-5pyrid), 7.00 (d, 4H, J = 8.10 Hz, H-2phen, and H-6phen), 5.09 (s, 4H, OCH2), 3.59 (s, 4H, NCH2), 2.69 (t, 6H, J = 7.20 Hz, CH2Pyrid), 2.03 (qt, 4H, J = 7.20 Hz, CH2).

3.1.7. General Procedure for the Synthesis of 1,3-bis[(4-(Substituted-aminomethyl)phenoxy)methyl]benzenes 8a–r

Compounds 6a–r (0.4 mmol) were dissolved in methanol (10 mL), and sodium borohydride (2.4 mmol, 6 eq.) was added gradually at 0 °C. The resulting mixture was stirred at room temperature for 2 h. Subsequently, the solvent was removed under reduced pressure, and the residue obtained was cooled, triturated in water, and then extracted with dichloromethane (40 mL). After separating, the organic layer was dried with sodium sulfate, filtered, and evaporated to dryness, yielding the products 8a–r.
1,3-bis[(4-(2-dimethylaminoethyl)aminomethyl)phenoxy)methyl]benzene (8a)
Yellow oil (90%); 1H NMR (CDCl3) δ ppm: 7.49 (s, 1H, Hbenz), 7.38 (s, 3H, Hbenz), 7.22 (d, 4H, J = 8.10 Hz, H-3phen, and H-5phen), 6.92 (d, 4H, J = 8.10 Hz, H-2phen, and H-6phen), 5.04 (s, 4H, OCH2), 3.74 (t, 4H, J = 6.90 Hz, NCH2), 2.68 (t, 4H, J = 6.90 Hz, NCH2), 2.41 (t, 4H, J = 6.90 Hz, NCH2), 2.18 (s, 12H, N(CH3)2); 13C NMR (CDCl3) δ ppm: 159.14 (C-4phenyl), 138.88 (Cqbenz), 134.07 (C-1phenyl), 130.80 (C-3phen and C-5phen), 130.20 (CHbenz), 128.36 (CHbenz), 127.79 (CHbenz), 116.13 (C-2phen and C-6phen), 71.26 (OCH2), 60.31 (NCH2), 54.80 (NCH2), 46.84 (NCH2). 46.87 (N(CH3)2), ESI-MS m/z [M + H]+ calculated for C30H43N4O2: 490.3308, found: 491.3386.
1,3-bis[(4-(3-dimethylaminopropyl)aminomethyl)phenoxy)methyl]benzene (8b)
Yellow oil (81%); 1H NMR (CDCl3) δ ppm: 7.42 (s, 1H, Hbenz), 7.36 (s, 3H, Hbenz), 7.22 (d, 4H, J = 8.10 Hz, H-3phen, and H-5phen), 6.92 (d, 4H, J = 8.10 Hz, H-2phen, and H-6phen), 5.02 (s, 4H, OCH2), 3.70 (t, 4H, J = 6.90 Hz, NCH2), 2.68 (t, 4H, J = 6.90 Hz, NCH2), 2.29 (t, 4H, J = 6.90 Hz, NCH2), 2.19 (s, 12H, N(CH3)2); 1.66 (qt, 4H, J = 7.10 Hz, CH2); 13C NMR (CDCl3) δ ppm: 159.12(C-4phenyl), 138.88 (Cqbenz), 134.24 (C-1phenyl), 130.67 (C-3phen and C-5phen), 130.67 (CHbenz), 128.31 (CHbenz), 127.74 (CHbenz), 116.26 (C-2phen and C-6phen), 71.22 (OCH2), 59.38 (NCH2), 54.75 (NCH2), 49.11 (NCH2), 46.86 (N(CH3)2), 29.28 (CH2). ESI-MS m/z [M + H]+ calculated for C32H47N4: 519.3621, found: 519.3703.
1,3-bis[(4-(4-dimethylaminobutyl)aminomethyl)phenoxy)methyl]benzene (8c)
Yellow oil (91%); 1H NMR (CDCl3) δ ppm: 7.50 (s, 1H, Hbenz), 7.38 (s, 3H, Hbenz), 7.22 (d, 4H, J = 8.10 Hz, H-3phen, and H-5phen), 6.92 (d, 4H, J = 8.10 Hz, H-2phen, and H-6phen), 5.05 (s, 4H, OCH2), 3.71 (t, 4H, J = 6.90 Hz, NCH2), 2.63 (t, 4H, J = 6.90 Hz, NCH2), 2.25 (t, 4H, J = 6.90 Hz, NCH2), 2.19 (s, 12H, N(CH3)2); 1.66 (m, 8H, CH2); 13C NMR (CDCl3) δ ppm: 159.16 (C-4phenyl), 138.88 (Cqbenz), 134.19 (C-1phenyl), 130.74 (C-3phen and C-5phen), 130.21 (CHbenz), 128.37 (CHbenz), 127.8 (CHbenz), 116.13 (C-2phen and C-6phen), 71.23 (OCH2), 61.01 (NCH2), 54.72 (NCH2), 50.55 (NCH2), 46.78 (N(CH3)2), 29.27 (CH2), 26.87 (CH2). ESI-MS m/z [M + H]+ calculated for C34H51N4: 547.3934, found: 547.40.
1,3-bis[(4-(2-(4-methylpiperazin-1-yl)ethyl)aminomethyl)phenoxy)methyl]benzene (8d)
Yellow oil (99%); 1H NMR (CDCl3) δ ppm: 7.48 (s, 1H, Hbenz), 7.36 (s, 3H, Hbenz), 7.20 (d, 4H, J = 8.10 Hz, H-3phen, and H-5phen), 6.92 (d, 4H, J = 8.10 Hz, H-2phen, and H-6phen), 5.03 (s, 4H, OCH2), 3.71 (s, 4H, NCH2), 2.66 (t, 4H, J = 6.90 Hz, NCH2), 2.48–2.40 (m, 20H, NCH2piperazine, NCH2), 2.25 (s, 6H, NCH3); 13C NMR (CDCl3) δ ppm: 159.11 (C-4phenyl), 138.87 (Cqbenz), 134.29 (C-1phenyl), 130.69 (C-3phen and C-5phen), 116.09 (C-2phen and C-6phen), 71.22 (OCH2), 59.06 (NCH2), 56.49 (NCH2piperazine), 54.49(NCH2piperazine), 47.40 (NCH3), 46.88 (CH2). ESI-MS m/z [M + H]+ calculated for C36H53N6 O2: 601.42, found: 601.42.
1,3bis[(4-(3-(4-methylpiperazin-1-yl) propyl)aminomethyl)phenoxy)methyl]benzene (8e)
Yellow oil (63%); 1H NMR (CDCl3) δ ppm: 7.48 (s, 1H, Hbenz), 7.36 (s, 3H, Hbenz), 7.24 (d, 4H, J = 8.10 Hz, H-3phen, and H-5phen), 6.93 (d, 4H, J = 8.10 Hz, H-2phen, and H-6phen), 5.06 (s, 4H, OCH2), 3.70 (s, 4H, NCH2), 2.66 (t, 4H, J = 7.10 Hz, NCH2), 2.37 (t, 6H, J = 7.10 Hz, NCH2), 2.47–2.36 (m, 20H, NCH2, and NCH2piperazine), 2.26 (s, 6H, NCH3), 1.67 (qt, 4H, J = 7.10 Hz, CH2); 13C NMR (CDCl3) δ ppm: 159.15 (C-4phenyl), 138.81 (Cqbenz), 134.21 (C-1phenyl), 130.71 (C-3phen and C-5phen), 130.23 (CHbenz), 128.40 (CHbenz), 127.82 (CHbenz), 116.12 (C-2phen and C-6phen), 71.25 (OCH2), 58.32 (NCH2), 56.47 (NCH2piperazine), 54.76 (NCH2), 54.57 (NCH2piperazine), 49.39 (NCH2), 47.40 (NCH3), 28.27 (CH2). ESI-MS m/z [M + H]+ calculated for C38H57N6O2: 629.4465, found: 629.45.
1,3-bis[(4-(3-(morpholin-1-yl)propyl)aminomethyl)phenoxy)methyl]benzene (8f)
Yellow oil (83%); 1H NMR (CDCl3) δ ppm: 7.50 (s, 1H, Hbenz), 7.38 (s, 3H, Hbenz), 7.22 (d, 4H, J = 8.10 Hz, H-3phen and H-5phen), 6.91 (d, 4H, J = 8.10 Hz, H-2phen, and H-6phen), 5.06 (s, 4H, OCH2), 3.71–3.67 (m, 12H, NCH2, and OCH2), 2.66 (t, 4H, J = 6.90 Hz, NCH2), 2.43–2.36 (m, 12H, NCH2, and NCH2 morpholine), 1.69 (qt, 4H, J = 6.90 Hz, CH2); 13C NMR (CDCl3) δ ppm: 159.13 (C-4phenyl), 138.88 (Cqbenz), 134.27 (C-1phenyl), 130.65 (C-3phen and C-5phen), 130.21 (CHbenz), 128.37 (CHbenz), 127.80 (CHbenz), 116.12 (C-2phen and C-6phen), 71.23 (OCH2), 68.35 (OCH2morpholine), 58.76 (NCH2), 55.16 (NCH2morpholine), 54.80 (NCH2), 49.27 (NCH2), 28.02 (CH2). ESI-MS m/z [M + H]+ calculated for C36H51N4O4: 603,3832, found: 603.39.
1,3-bis[(4-(3-(pyrrolidin-1-yl)propyl)aminomethyl)phenoxy)methyl]benzene (8g)
Yellow oil (70%); 1H NMR (CDCl3) δ ppm: 7.49 (s, 1H, Hbenz), 7.38 (s, 3H, Hbenz), 7.22 (d, 4H, J = 8.10 Hz, H-3phen, and H-5phen), 6.93 (d, 4H, J = 8.10 Hz, H-2phen, and H-6phen), 5.05 (s, 4H,OCH2), 3.72 (s, 4H, NCH2), 2.7 (t, 4H, J = 6.90 Hz, NCH2), 251–2.46 (m, 12H, NCH2, and NCH2pyrrolidine), 1.78–1.70 (m, 12H, CH2, and CH2pyrrolidine); 13C NMR (CDCl3) δ ppm: 159.10 (C-4phenyl), 138.88 (Cqbenz), 134.37 (C-1phenyl), 130.64 (C-3phen and C-5phen), 130.19 (CHbenz), 128.35 (CHbenz), 127.79 (CHbenz), 116.09 (C-2phen and C-6phen), 71.23 (OCH2), 56.15 (NCH2), 55.64 (NCH2pyrrolidine), 54.76 (NCH2), 49.37 (NCH2), 30.67 (CH2), 24.79 (CH2pyrrolidine). ESI-MS m/z [M + H]+ calculated for C36H51N4O2: 571.3934, found: 571.40.
1,3-bis[(4-(3-(piperidin-1) propyl)aminomethyl)phenoxy)methyl]benzene (8h)
Yellow oil (98%); 1H NMR (CDCl3) δ ppm: 7.50 (s, 1H, Hbenz), 7.38 (s, 3H, Hbenz), 7.22 (d, 4H, J = 8.10 Hz, H-3phen, and H-5phen), 6.93 (d, 4H, J = 8.10 Hz, H-2phen, and H-6phen), 5.05 (s, 4H,OCH2), 3.71 (s, 4H, NCH2), 2.64 (t, 6H, J = 6.90 Hz, NCH2), 2.36–2.31 (m, 12H, NCH2, and NCH2piperidine), 1.70 (qt, 6H, J = 6.90 Hz, CH2), 1.58–1.54 (m, 8H, CH2piperidine), 1.43–1.41 (m, 4H, CH2piperidine); 13C NMR (CDCl3) δ ppm: 159.10 (C-4phenyl), 138.88 (Cqbenz), 134.37 (C-1phenyl), 130.66 (C-3phen and C-5phen), 130.20 (CHbenz), 128.37 (CHbenz), 127.81 (CHbenz), 116.09 (C-2phen and C-6phen), 71.23 (OCH2), 56.17 (NCH2), 56.06 (NCH2 piperidine), 54.78 (NCH2), 49.56 (NCH2), 28.41 (CH2), 27.37 (CH2piperidine), 25.85 (CH2piperidine). ESI-MS m/z [M + H]+ calculated for C38H55N4 O2: 599.4247, found: 599.4321.
1,3-bis[(4-((quinolin-3-yl)aminomethyl)phenoxy)methyl]benzene (8i)
Pale-yellow oil (85%); 1H NMR (CDCl3) δ ppm: 8.47 (d, 2H, J = 2.70 Hz, H-2quinol), 7.98 (dd, 2H, J = 6.90 and 3.60 Hz, H-8quinol), 7.57 (dd, 2H, J = 6.90 and 3.60 Hz, H-5quinol), 7.50 (m, 1H, Hbenz), 7.46–7.39 (m, 7H, Hbenz, H-6quinol, and H-7quinol), 7.35 (d, 4H, J = 7.80 Hz, H-3phen, and H-5phen), 7.00 (d, 4H, J = 7.80 Hz, H-2phen, and H-6phen), 6.96 (d, 2H, J = 2.70 Hz, H-4quinol), 5.08 (s, 4H, OCH2), 4.34 (d, 4H, J = 5.1 Hz, NCH2). 13C NMR (CDCl3) δ ppm: 159.59 (C-4phenyl), 144.54 (C-2quinol), 143.48 (Cqbenz), 142.83 (C-4aquinol), 138.76 (C-8aquinol), 131.97 (C-1phenyl), 130.86 (C-3quinol), 130.30 (C-3phen and C-5phen), 128.51 (CHbenz), 128.34 (CHbenz), 127.87 (CHbenz), 127.41 (C-4quinol), 126.99 (C-6quinol), 126.38 (C-5quinol), 116.54 (C-2phen and C-6phen), 111.77 (C-7quinol), 71.28 (OCH2), 48.77 (NCH2). ESI-MS m/z [M + H]+ calculated for C40H35N4 O2: 603.2782, found: 603.2756.
1,3-bis[(4-(pyridin-2-ylmethylaminomethyl) phenoxy)methyl]benzene (8j)
Yellow oil (75%); 1H NMR (CDCl3) δ ppm: 8.57–8.55 (m, 2H, H-6pyrid), 7.67–7.60 (m, 2H, H-4pyrid), 7.52 (s, 1H, Hbenz), 7.39 (s, 3H, Hbenz), 7.33–7.25 (m, 6H, H-3phen, H-5phen, and H-3pyrid), 7.18–7.15 (m, 2H, H-5pyrid), 6.98-6.95 (d, 4H, J = 7.80 Hz, H-6phen, and H-2phen), 5.07 (s, 4H, OCH2), 3.92 (s, 4H, NCH2), 3.79 (s, 4H, NCH2); 13C NMR (CDCl3) δ ppm: 161.19 (C-4phenyl), 159.21 (C-2pyrid), 150.69 (C-6pyrid), 138.91 (Cqbenz), 137.81 (C-4pyrid), 134.06 (C-1phenyl), 130.88 (C-3phen and C-5phen), 130.24 (CHbenz), 128.39 (CHbenz), 127.82 (CHbenz), 123.75 (C-5pyrid), 123.32 (C-3pyrid), 116.15 (C-2phen and C-6phen), 71.25 (OCH2), 55.83 (NCH2), 54.29 (NCH2). ESI-MS m/z [M + H]+ calculated for C34H35N4O2: 531.2682, found: 531.2760.
1,3-bis[(4-(pyridin-2-ylethylaminomethyl)phenoxy)methyl]benzene (8k)
Orange oil (89%); 1H NMR (CDCl3) δ ppm: 8.51–8.49 (m, 2H, H-6pyrid), 7.59–7.53 (m, 2H, H-4pyrid), 7.49 (s, 1H, Hbenz), 7.37 (s, 3H, Hbenz), 7.20–7.18 (m, 6H, H-3phen, H-5phen, and H-3pyrid), 7.18–7.15 (m, 2H, H-5pyrid), 6.96-6.90 (d, 4H, J = 7.80 Hz, H-6phen, and H-2phen), 5.03 (s, 4H, OCH2), 3.74 (s, 4H, NCH2), 3.01 (m, 4H, CH2); 13C NMR (CDCl3) δ ppm: 161.19 (C-4phenyl), 159.21 (C-2pyrid), 150.65 (C-6pyrid), 138.91 (Cqbenz), 137.81 (C-4pyrid), 134.10 (C-1phenyl), 130.76 (C-3phen and C-5phen), 130.22 (CHbenz), 128.37 (CHbenz), 127.80 (CHbenz), 124.71 (C-5pyrid), 122.67 (C-3pyrid), 116.14 (C-2phen and C-6phen), 71.22 (OCH2), 54.57 (NCH2), 50.11 (NCH2 39.68 (CH2). ESI-MS m/z [M + H]+ calculated for C36H39N4O2: 559.2995, found: 559.3061.
1,3-bis[(4-(pyridin-2-ylpropylaminomethyl)phenoxy)methyl]benzene (8l)
Yellow oil (85%); 1H NMR (CDCl3) δ ppm: 8.50–8.48 (m, 2H, H-6pyrid), 7.59–7.53 (m, 2H, H-4pyrid), 7.50 (s, 1H, Hbenz), 7.38 (s, 3H, Hbenz), 7.24 (d, 4H, J = 8.10 Hz, H-3phen, and H-5phen), 7.21–7.06 (m, 4H, H-5pyrid, and H-3pyrid), 6.96-6.91 (d, 4H, J = 7.80 Hz, H-6phen, and H-2phen), 5.05 (s, 4H, OCH2), 3.71 (s, 4H, NCH2), 3.71 (s, 4H, NCH2), 2.81 (t, 4H, J = 6.90 Hz, NCH2), 2.66 (t, 4H, J = 6.90 Hz, CH2Pyrid), 1.94 (qt, J = 6.90 Hz, CH2); 13C NMR (CDCl3) δ ppm: 161.19 (C-4phenyl), 159.12 (C-2pyrid), 150.65 (C-6pyrid), 138.87 (Cqbenz), 137.80 (C-4pyrid), 134.21 (C-1phenyl), 130.75 (C-3phen and C-5phen), 130.23 (CHbenz), 128.40 (CHbenz), 127.80 (CHbenz), 124.18 (C-5pyrid), 122.44 (C-3pyrid), 116.09 (C-2phen and C-6phen), 71.22 (OCH2), 54.64 (NCH2), 50.01 (NCH2), 37.33 (CH2), 31.38 (CH2). ESI-MS m/z [M + H]+ calculated for C54H62N6: 841.47, found: 841.48.
1,3-bis[(4-(pyridin-3-ylmethylaminomethyl)phenoxyl)methyl]benzene (8m)
Pale-yellow oil (94%); 1H NMR (CDCl3) δ ppm: 8.57–8.48 (m, 4H, H-6pyrid, and H-2pyrid), 7.70 (d, 2H, J = 7.80 Hz, H-4pyrid), 7.52 (s, 1H, Hbenz), 7.40 (s, 3H, Hbenz), 7.25–7.23 (m, 6H, H-5pyrid, H-3phen, and H-5phen), 6.93 (d, 4H, J = 8.10 Hz, H-6phen, and H-2phen), 5.05 (s, 4H, OCH2), 3.79 (s, 4H, NCH2), 3.74 (s, 4H, CH2); 13C NMR (CDCl3) δ ppm: 159.28 (C-4phenyl), 151.12 (C-2pyrid), 149.83 (C-6pyrid), 138.86 (Cqbenz), 137.25 (C-3pyrid), 133.80 (C-1phenyl), 130.76 (C-3phen and C-5phen), 130.25 (CHbenz), 128.42 (CHbenz), 127.83 (CHbenz), 124.79 (C-5pyrid), 116.21 (C-2phen and C-6phen), 71.25 (OCH2), 53.96 (NCH2), 51.71 (CH2). ESI-MS m/z [M + H]+ calculated for C34H35N4O2: 531.2682, found: 531.2753.
1,3-bis[(4-(pyridin-3-ylethylaminomethyl)phenoxy)methyl]benzene (8n)
Yellow oil (62%); 1H NMR (CDCl3) δ ppm: 8.48–8.44 (m, 4H, H-6pyrid, and H-2pyrid), 7.70 (d, 2H, J = 7.80 Hz, H-4pyrid), 7.52 (s, 1H, Hbenz), 7.40 (s, 3H, Hbenz), 7.23–7.19 (m, 6H, H-5pyrid, H-3phen, and H-5phen), 6.91 (d, 4H, J = 7.80 Hz, H-6phen and H-2phen), 5.06 (s, 4H, OCH2), 3.75 (s, 4H, NCH2), 2.90–2.81 (m, 8H, NCH2, and CH2Pyrid); 13C NMR (CDCl3) δ ppm: 159.22 (C-4phenyl), 151.57 (C-2pyrid), 149.04 (C-6pyrid), 138.86 (C-3pyrid), 137.57 (C-4pyrid), 136.87 (Cqbenz), 133.97 (C-1phenyl), 130.68 (C-3phen and C-5phen), 130.24 (CHbenz), 128.41 (CHbenz), 127.83 (CHbenz), 124.76 (C-5pyrid), 116.18 (C-2phen and C-6phen), 71.25 (OCH2), 54.61 (NCH2), 51.42 (NCH2), 34.95 (CH2). ESI-MS m/z [M + H]+ calculated for C36H39N4O2: 559.2995, found: 559.3065.
1,3-bis[(4-(pyridin-3-ylpropylaminomethyl)phenoxy)methyl]benzene (8o)
Yellow oil (90%); 1H NMR (CDCl3) δ ppm: 8.43–8.39 (m, 4H, H-6pyrid, and H-2pyrid), 7.48 (d, 2H, J = 7.80 Hz, H-4pyrid), 7.31 (s, 3H, Hbenz), 7.23–7.14 (m, 7H, H-5pyrid, Hbenz, H-3phen, and H-5phen), 7.12 (d, 4H, J = 7.80 Hz, H-6phen, and H-2phen), 5.04 (s, 4H, OCH2), 3.69 (s, 4H, NCH2), 2.66–2.61 (m, 8H, NCH2, and CH2Pyrid), 1.80 (qt, 4H, J = 7.20 Hz, CH2); 13C NMR (CDCl3) δ ppm: 159.17 (C-4phenyl), 151.24 (C-2pyrid), 148.67 (C-6pyrid), 138.84 (Cqbenz), 138.85 (C-1phenyl), 137.20 (C-4pyrid), 134.23 (C-3pyrid), 130.71 (C-3phen and C-5phen), 130.21 (CHbenz), 128.38 (C-5pyrid), 127.80 (CHbenz), 124.70(CHbenz), 116.14 (C-2phen and C-6phen), 71.23 (OCH2), 54.75 (NCH2), 49.87 (NCH2), 32.75 (CH2), 32.04 (CH2). ESI-MS m/z [M + H]+ calculated for C38H43N4O2: 587.3308, found: 587.3375.
1,3-bis[(4-(pyridin-4-ylmethylaminomethyl)phenoxy) methyl]benzene (8p)
Yellow oil (65%); 1H NMR (CDCl3) δ ppm: 8.54 (d, 4H, J = 6.00 Hz, H-2pyrid, and H-6pyrid), 7.51 (s, 1H, Hbenz), 7.40 (s, 3H, Hbenz), 7.29–7.28 (m, 8H, H-3pyrid, H-5pyrid, H-3phen, and H-5phen), 6.96 (d, 4H, J = 8.10 Hz, H-6phen, and H-2phen), 5.06 (s, 4H, OCH2), 3.79 (s, 6H, NCH2), 3.73 (s, 4H, NCH2); 13C NMR (CDCl3) δ ppm: 159.31 (C-4phenyl), 151.13 (C-2pyrid and C-6pyrid), 150.2 (C-4pyrid), 138.84 (Cqbenz), 133.69. (C-1phenyl), 130.76 (C-3phen and C-5phen), 130.27 (CHbenz), 128.44 (CHbenz), 127.84 (CHbenz), 124.43 (C-3pyrid and C-5pyrid), 116.21 (C-2phen and C-6phen), 71.25 (OCH2), 53.96 (NCH2), 53.09 (NCH2). ESI-MS m/z [M + H]+ calculated for C34H35N4O2: 531.2682, found: 531.2751.
1,3-bis[(4-(pyridin-4-ylethylaminomethyl)phenoxy)methyl]benzene (8q)
Yellow oil (96%); 1H NMR (CDCl3) δ ppm: 8.49–8.47 (m, 4H, H-2pyrid, and H-6pyrid), 7.50 (s, 1H, Hbenz), 7.38 (s, 3H, Hbenz), 7.18 (d, 4H, J = 8.10 Hz, H-3phen, and H-5phen), 7.12-7.10 (m, 8H, H-3pyrid, H-5pyrid) 6.91 (d, 4H, J = 8.10 Hz, H-6phen, and H-2phen), 5.04 (s, 4H, OCH2), 3.73 (s, 4H, NCH2), 2.89 (t, 4H, J = 6.90 Hz, CH2), 2.78 (t, 4H, J = 6.90 Hz, CH2); 13C NMR (CDCl3) δ ppm: 159.22 (C-4phenyl), 151.13 (C-2pyrid and C-6pyrid), 150.58 (C-4pyrid), 138.84 (Cqbenz), 133.84 (C-1phenyl), 130.68 (C-3phen and C-5phen), 130.23 (CHbenz), 128.42 (CHbenz), 127.81 (CHbenz), 125.55 (C-3pyrid and C-5pyrid), 116.16 (C-2phen and C-6phen), 71.23 (OCH2), 54.57 (NCH2), 50.60 (NCH2). 37.12 (CH2). ESI-MS m/z [M + H]+ calculated for C36H39N4O2: 559.2995, found: 559.3061.
1,3-bis[(4-(pyridin-4-ylpropylaminomethyl)phenoxy) methyl]benzene (8r)
Yellow oil (99%); 1H NMR (CDCl3) δ ppm: 8.44–8.41 (m, 4H, H-2pyrid, and H-6pyrid), 7.50 (s, 1H, Hbenz), 7.36 (s, 3H, Hbenz), 7.18 (d, 4H, J = 8.10 Hz, H-3phen, and H-5phen), 7.07–7.04 (m, 8H, H-3pyrid, H-5pyrid) 6.91 (d, 4H, J = 8.10 Hz, H-6phen, and H-2phen), 5.03 (s, 4H, OCH2), 3.68 (s, 4H, NCH2), 2.65–2.58 (m, 8H, NCH2, and CH2), 1.78 (t, 4H, J = 6.90 Hz, CH2); 13C NMR (CDCl3) δ ppm: 159.19 (C-4phenyl), 151.58 (C-4pyrid), 150.93 (C-2pyrid and C-6pyrid), 138.84 (Cqbenz), 134.16 (C-1phenyl), 130.71 (C-3phen and C-5phen), 130.20 (CHbenz), 128.42 (CHbenz), 127.78 (CHbenz), 125.27 (C-3pyrid and C-5pyrid), 116.16 (C-2phen and C-6phen), 71.23 (OCH2), 54.68 (NCH2), 49.79 (NCH2). 34.22 (CH2), 31.87 (CH2). ESI-MS m/z [M + H]+ calculated for C38H43N4O2: 587.3308, found: 587.3387.

3.1.8. General Procedure for the Synthesis of 1,3-bis[(4-(Substituted-aminomethyl)phenyl)methyl]benzene ammonium oxalates salts 1a-r and 1,3-bis[(4-(substituted-aminomethyl)phenoxy)methyl]benzene ammonium oxalates salts 2a-r

To a solution of compounds 7–8a–r (0.3 mmol) in isopropanol (11 mL) was added oxalic acid (2.4 mmol, 8 eq.). The reaction mixture was heated under reflux for 30 min. The precipitate was filtered, washed with isopropanol then with diethyl ether, and dried under reduced pressure to give ammonium oxalate salts 1–2, which were crystallized using a mixture of 2-PrOH–H2O solvents.

3.2. Biological Evaluation

3.2.1. In Vitro Antiplasmodial Activity

Derivatives 1–2 were dissolved in DMSO and then diluted in sterile water in order to obtain a range of concentration from 40 nM to 40 mM for the first screening against culture-adapted Plasmodium falciparum reference strains 3D7 and W2. The former strain is susceptible to CQ but displays a decreased susceptibility to MQ; the latter is considered resistant to CQ. These two strains were obtained from the collection of the National Museum of Natural History (Paris, France). The parasites were cultivated in RPMI medium with human erythrocytes that was (Sigma-Aldrich, Lyon, France) supplemented with 0.5% Albumax I (Life Technologies Corporation, Paisley, UK), hypoxanthine (Sigma-Aldrich), and gentamicin (Sigma-Aldrich) and were incubated at 37 °C in a candle jar, as described previously [42]. The P. falciparum drug susceptibility test was carried out in 96-well flat-bottom sterile plates in a final volume of 250 µL. After 48 h incubation period with the drugs, quantities of DNA in treated and control cultures of parasites in human erythrocytes were quantified using the SYBR Green I (Sigma-Aldrich) fluorescence-based method [43,44]. Briefly, after incubation, plates were frozen at −20 °C until use. Plates were then thawed for 2 h at room temperature, and 100 µL of each homogenized culture was transferred to a well of a 96-well flat-bottom sterile black plate (Sigma-Aldrich, Lyon, France) that contained 100 µL of the SYBR Green I lysis buffer (2xSYBR Green, 20 mM Tris base pH 7.5, 5 mM EDTA, 0.008% w/v saponin, 0.08% w/v Triton X-100). Negative controls treated with solvent (typically DMSO or H2O) and positive controls (CQ and MQ) were added to each set of experiments. Plates were incubated for 1 h at room temperature and then read on a fluorescence plate reader (Tecan Trading AG, Männedorf, Switzerland) using excitation and emission wavelengths of 485 and 535 nm, respectively. The concentrations at which the screening drug or antimalarial can inhibit 50% of parasitic growth (IC50) were calculated from a sigmoid inhibition model Emax with an estimate of the IC50 obtained using non-linear regression (IC Estimator version 1.2) and were reported as means calculated from three independent experiments [45].

3.2.2. Cytotoxicity Evaluation

A cytotoxicity evaluation was performed using the method reported by Mosmann [46] with slight modifications to determine the CC50 and using doxorubicin as a cytotoxic reference compound. These assays were performed in human HepG2 cells purchased from ATCC (ref. HB-8065). These cells are a commonly used human hepatocarcinoma-derived cell line that has characteristics like those of primary hepatocytes. These cells express many hepatocyte-specific metabolic enzymes, thus enabling the cytotoxicity of tested product metabolites to be evaluated. Briefly, cells in 100 µL of complete RPMI medium (RPMI supplemented with 10% FCS, 1% L-glutamine (200 mM), penicillin (100 U/mL), and streptomycin (100 µg/mL)) were inoculated at 37 °C into each well of 96-well plates in a humidified chamber in 6% CO2. After 24 h, 100 µL of medium, with the test compound at various concentrations dissolved in DMSO (final concentration less than 0.5% v/v), were added, and the plates were incubated for 72 h at 37 °C. Duplicate assays were performed for each sample. Each well was microscopically examined for precipitate formation before the medium was aspirated from the wells. After aspiration, 100 µL of MTT solution (0.5 mg/mL in medium without FCS) was then added to each well. Cells were incubated for 2 h at 37 °C. The MTT solution was removed and DMSO (100 µL) was added to dissolve the resulting blue formazan crystals. Plates were shaken vigorously (300 rpm) for 5 min. The absorbance was measured at 570 nm with 630 nm as the reference wavelength in a BIO-TEK ELx808 Absorbance Microplate Reader. DMSO was used as blank and doxorubicin (Sigma-Aldrich) as the positive control. Cell viability was calculated as percentage of control (cells incubated without compound). The CC50 was determined from the dose–response curve using TableCurve 2D V5.0 software (Systat Software, Palo Alto, CA, USA).

3.3. FRET Melting Experiments

Compounds 1–2 were tested in subsequent FRET melting experiments. These were performed with dual-labeled oligonucleotides mimicking the Plasmodium telomeric sequences FPf1T (FAM-5′(GGGTTTA)3-GGG3′-TAMRA) and FPf8T [FAM-5′(GGGTTCA)3GGG3′-TAMRA], the human telomeric sequence F21T (FAM-(GGGTTA)3-GGG3′-TAMRA), and the human duplex sequence FdxT (FAM5′-TATAGCTATA-hexaethyleneglycol-TATAGCTATA3′-TAMRA) [25,26,47]. The oligonucleotides were pre-folded in 10 mM lithium cacodylate buffer (pH 7.2), with 10 mM KCl and 90 mM LiCl (K+ condition). The FAM emissions were recorded at 516 nm using a 492 nm excitation wavelength in the absence and presence of a single compound as a function of temperature (25 to 95 °C) in 96-well microplates by using a Stratagene MX3000P real-time PCR device at a rate of 1 °C∙min-1. Data were normalized between 0 and 1, and the required temperature for half denaturation of oligonucleotides, corresponding to an emission value of 0.5, was taken as the Tm. Each experiment was performed in duplicate with 0.2 µM of labelled oligonucleotide and 2 µM of compound under K+ condition. For each compound, three independent experiments were carried out.

4. Conclusions

In this research program report, we described the preparation, the antimalarial potentialities, and the in vitro cytotoxicity toward human cells of two novel series of 1,3-bis[(4-(substituted-aminomethyl)phenyl)methyl]benzene derivatives (1) and 1,3-bis[(4-(substituted-aminomethyl)phenoxy)methyl]benzene derivatives (2). These newly developed polyaromatic derivatives were evaluated for their in vitro antiprotozoal activity against both chloroquine-resistant (W2) and chloroquine-sensitive (3D7) strains of Plasmodium falciparum. Additionally, the cytotoxicity of these compounds was assessed in vitro using the human HepG2 cell line. Several of the synthesized aromatic nitrogen compounds demonstrated promising in vitro antiplasmodial activity, with IC50 values in the submicromolar to micromolar range against both W2 and 3D7 strains.
Among these, compounds 2k and 1f emerged as the most potent bioactive candidates against both the W2 and 3D7 strains. Notably, compound 1f showed the most promising profile against the CQ-sensitive 3D7 strain with reduced sensitivity to MQ.
Previous studies have suggested that the telomeres of protozoan parasites could be considered as promising therapeutic targets. Therefore, we also explored the potential of these newly synthesized compounds to stabilize Plasmodium G-quadruplex (G4) sequences using FRET melting assays. Interestingly, while some derivatives demonstrated interesting stabilization of protozoal G-quadruplex structures, these did not correspond to the most effective antimalarial compounds. Consequently, no clear correlation was found between G-quadruplex stabilization and antimalarial efficacy for this series of compounds. It is unlikely that these 1,3-bis[(4-(substituted-aminomethyl)phenyl)methyl]benzene derivatives (1) and 1,3-bis[(4-(substituted-aminomethyl)phenoxy)methyl]benzene derivatives (2) exert their antimalarial activity through specific G-quadruplex binding mechanisms. Indeed, the discrepancy between activity and stabilization of G-quadruplexes demonstrates the complexity of the mechanism of action, which requires further research.
Furthermore, it would be valuable to expand the pharmacological evaluation of our new derivatives by exploring their potential mechanisms of action through additional studies—such as assessing their ability to inhibit β-hematin formation, interfere with apicoplast functions, or induce resistance. In conclusion, these novel polyaromatic 1,3-bis[(4-(substituted-aminomethyl)phenyl)methyl]benzene and 1,3-bis[(4-(substituted-aminomethyl)phenoxy)methyl]benzene compounds, 1–2, may pave the way for the development of new, valuable, and original scaffolds in antimalarial drug design.

Supplementary Materials

The following supporting informations can be downloaded at: https://www.mdpi.com/article/10.3390/ddc4030039/s1, Supplementary data (Figures S1a–c to S36a–c) related to this article (1H NMR, 13C NMR and ESI-MS of derivatives 7–8-a–r) are available online.

Author Contributions

J.G., S.A.-R., S.M. (Stéphane Moreau), P.S., A.C. and J.-L.M. performed the synthesis and prepared and revised the manuscript; S.A.-R., J.G. and S.S. carried out the experiments; S.A.-R., L.R., T.Z., N.P. and M.M. helped in the analysis of the compounds; A.C., S.M. (Serge Moukha), F.E., P.D., P.A., C.D., M.H. and P.S. conducted the in vitro tests. All authors have read and agreed to the published version of the manuscript.

Funding

The authors acknowledge recurrent funding from Université de Bordeaux, CNRS and Inserm. J.-L.M. acknowledges funding from Fondation de l’Ecole Polytechnique.

Institutional Review Board Statement

Not applicable.

Informed Consent Statement

Not applicable.

Data Availability Statement

The original contributions presented in the study are included in the article/Supplementary Materials, further inquiries can be directed to the corresponding authors.

Acknowledgments

The authors would like to thank Philippe Grellier, department RDDM at Muséum National d’Histoire Naturelle (Paris, France), for generously providing the 3D7 and W2 P. falciparum strains.

Conflicts of Interest

The authors report no conflicts of interest. The authors alone are responsible for the content and writing of the paper.

References

  1. World Malaria Report 2024. Addressing Inequity in the Global Malaria Response; World Health Organization: Geneva, Switzerland, 2024; Available online: https://www.who.int/publications/i/item/9789240104440 (accessed on 1 July 2025).
  2. Manual for Monitoring Insecticide Resistance in Mosquito Vectors and Selecting Appropriate Interventions; World Health Organization: Geneva, Switzerland, 2022; Available online: https://www.who.int/publications/i/item/9789240051089 (accessed on 1 July 2025).
  3. WHO Initiative to Stop the Spread of Anopheles Stephensi in Africa, 2023 Update; World Health Organization: Geneva, Switzerland, 2023; Available online: https://www.who.int/publications/i/item/WHO-UCN-GMP-2022.06 (accessed on 1 July 2025).
  4. WHO Guidelines for Malaria, 30 November 2024; World Health Organization: Geneva, Switzerland, 2024; Available online: https://app.magicapp.org/#/guideline/LwRMXj (accessed on 1 July 2025). [CrossRef]
  5. Strategy to Respond to Antimalarial Drug Resistance in Africa; World Health Organization: Geneva, Switzerland, 2022. Available online: https://www.who.int/publications/i/item/9789240060265 (accessed on 1 July 2025).
  6. Tisnerat, C.; Dassonville-Klimpt, A.; Gosselet, F.; Sonnet, P. Antimalaria Drug Discovery: From Quinine to the Most Recent Promising Clinical Drug Candidates. Curr. Med. Chem. 2022, 29, 3326–3365. [Google Scholar] [CrossRef]
  7. WHO Ending the Neglect to Attain the Sustainable Development Goals: A Rationale for Continued Investment in Tackling Neglected Tropical Diseases 2021–2030. Available online: https://www.who.int/publications/i/item/9789240052932 (accessed on 3 May 2023).
  8. Tahlan, S.; Singh, S.; Kaira, M.; Dey, H.; Pandey, K.C. A Progress Report in Advancements of Heterocyclic Compounds as Novel Antimalarial Agents over the Last 5 Years. Eur. J. Med. Chem. 2025, 289, 117393. [Google Scholar] [CrossRef]
  9. Rathod, G.K.; Jain, M.; Sharma, K.K.; Das, S.; Basak, A. New structural classes of antimalarials. Eur. J. Med. Chem. 2022, 242, 114653. [Google Scholar] [CrossRef]
  10. Dhameliya, T.M.; Patel, D.S.; Kathuria, D.; Shah, M.B.; Dabhabe, A.S.; Dave, H.S.; Lad, N.C.; Chaudhari, A.Z.; Alom, S.; Vyas, V.K.; et al. Biannual account of anti-malarial agents reported in 2021 and 2022: A comprehensive coverage. ChemistrySelect 2024, 9, e202303982. [Google Scholar] [CrossRef]
  11. Abd-Rahman, A.; Zaloumis, S.; McCarthy, J.; Simpson, J.; Commons, R. Scoping Review of Antimalarial Drug Candidates in Phase I and II Drug Development. Antimicrob. Agent. Chemother. 2022, 66, e0165921. [Google Scholar] [CrossRef] [PubMed]
  12. Perko, N.; Kebede, T.; Mousa, S. Current and future directions in the prevention and treatment of Malaria. J. Pharm. Pharmacol. Res. 2022, 6, 131–138. [Google Scholar] [CrossRef]
  13. Kuthe, P.V.; Muzaffar-Ur-Rehman, M.; Chandu, A.; Prashant, K.S.; Sankarnarayanan, M. Unlocking nitrogen compounds’ promise against malaria: A comprehensive review. Arch. Pharm. 2024, 357, e2400222. [Google Scholar] [CrossRef]
  14. Goyal, A.; Kharkwal, H.; Piplani, M.; Singh, Y.; Murugesan, S.; Aggarwal, A.; Kumar, P.; Chander, S. Spotlight on 4-substituted quinolines as potential anti-infective agents: Journey beyond chloroquine. Arch. Pharm. 2023, 356, e2200361. [Google Scholar] [CrossRef]
  15. Schuster, S.; Vavra, M.; Kern, W.V. A Screening of Antimalarials Extends the Range of Known Escherichia coli AcrB Efflux Substrates and Reveals Two Candidates with Antimicrobial Drug-Enhancing Activity. Microb. Drug Resist. 2022, 28, 1065. [Google Scholar] [CrossRef]
  16. Guillon, J.; Grellier, P.; Labaied, M.; Sonnet, P.; Léger, J.-M.; Déprez-Poulain, R.; Forfar-Bares, I.; Dallemagne, P.; Lemaître, N.; Péhourcq, F.; et al. Synthesis, antimalarial activity, and molecular modeling of new pyrrolo[1,2-a]quinoxalines, bispyrrolo[1,2-a]quinoxalines, bispyrido[3,2-e]pyrrolo[1,2-a]pyrazines, and bispyrrolo[1,2-a]thieno[3,2-e]pyrazines. J. Med. Chem. 2004, 47, 1997–2009. [Google Scholar] [CrossRef]
  17. Dassonville-Klimpt, A.; Cézard, C.; Mullié, C.; Agnamey, P.; Jonet, A.; Da Nascimento, S.; Marchivie, M.; Guillon, J.; Sonnet, P. Absolute Configuration and Antimalarial Activity of erythro-Mefloquine Enantiomers. ChemPlusChem 2013, 78, 642–646. [Google Scholar] [CrossRef]
  18. Guillon, J.; Cohen, A.; Gueddouda, N.M.; Das, R.N.; Moreau, S.; Ronga, L.; Savrimoutou, S.; Basmaciyan, L.; Monnier, A.; Monget, M.; et al. Design, synthesis and antimalarial activity of novel bis{N-[(pyrrolo[1,2-a]quinoxalin-4-yl)benzyl]-3-aminopropyl}amine derivatives. J. Enzym. Inhib. Med. Chem. 2017, 32, 547–563. [Google Scholar] [CrossRef]
  19. Jonet, A.; Guillon, J.; Mullie, C.; Cohen, A.; Bentzinger, G.; Schneider, J.; Taudon, N.; Hutter, S.; Azas, N.; Moreau, S.; et al. Synthesis and Antimalarial Activity of New Enantiopure Aminoalcoholpyrrolo[ 1,2-a]quinoxalines. Med. Chem. 2018, 14, 293–303. [Google Scholar] [CrossRef]
  20. Dassonville-Klimpt, A.; Schneider, J.; Damiani, C.; Tisnerat, C.; Cohen, A.; Azas, N.; Marchivie, M.; Guillon, J.; Mullié, C.; Agnamey, P.; et al. Design, synthesis, and characterization of novel aminoalcohol quinolines with strong in vitro antimalarial activity. Eur. J. Med. Chem. 2022, 228, 113981. [Google Scholar] [CrossRef]
  21. Guillon, J.; Cohen, A.; Nath Das, R.; Boudot, C.; Meriem Gueddouda, N.; Moreau, S.; Ronga, L.; Savrimoutou, S.; Basmaciyan, L.; Tisnerat, C.; et al. Design, synthesis, and antiprotozoal evaluation of new 2,9-bis[(substituted-aminomethyl)phenyl]-1,10-phenanthroline derivatives. Chem. Biol. Drug Des. 2018, 91, 974–995. [Google Scholar] [CrossRef] [PubMed]
  22. Guillon, J.; Cohen, A.; Monic, S.; Boudot, C.; Savrimoutou, S.; Albenque-Rubio, S.; Moreau, S.; Dassonville-Klimpt, A.; Mergny, J.-L.; Ronga, L.; et al. Synthesis and antiprotozoal evaluation of new 2,9-bis[(pyridinylalkylaminomethyl)phenyl]-1,10-phenanthroline derivatives by targeting G-quadruplex, an interesting pharmacophore against drug efflux. Acta Sci. Pharm. Sci. 2023, 7, 50–65. [Google Scholar] [CrossRef]
  23. Guillon, J.; Cohen, A.; Boudot, C.; Monic, S.; Savrimoutou, S.; Moreau, S.; Albenque-Rubio, S.; Lafon-Schmaltz, C.; Dassonville-Klimpt, A.; Mergny, J.-L.; et al. Design, synthesis, biophysical and antiprotozoal evaluation of new promising 2,9-bis[(substituted-aminomethyl)]-4,7-phenyl-1,10-phenanthroline derivatives by targeting G-quadruplex, a potential alternative to drug efflux. Pathogens 2022, 11, 1339. [Google Scholar] [CrossRef] [PubMed]
  24. Guillon, J.; Cohen, A.; Boudot, C.; Valle, A.; Milano, V.; Das, R.N.; Guédin, A.; Moreau, S.; Ronga, L.; Savrimoutou, S.; et al. Design, synthesis, and antiprotozoal evaluation of new 2,4-bis[(substituted-aminomethyl)phenyl]quinoline, 1,3-bis[(substituted-aminomethyl)phenyl]isoquinoline and 2,4-bis[(substituted-aminomethyl)phenyl]quinazoline derivatives. J. Enzym. Inhib. Med. Chem. 2020, 35, 432–459. [Google Scholar] [CrossRef]
  25. Albenque-Rubio, S.; Guillon, J.; Cohen, A.; Agnamey, P.; Savrimoutou, S.; Moreau, S.; Mergny, J.-L.; Ronga, L.; Kanavos, I.; Moukha, S.; et al. Synthesis and Antimalarial Evaluation of New 1,3,5-tris[(4-(Substitutedaminomethyl)phenyl)methyl]benzene Derivatives: A Novel Alternative Antiparasitic Scaffold. Drugs Drug Candidates 2023, 2, 653–672. [Google Scholar] [CrossRef]
  26. Albenque-Rubio, S.; Guillon, J.; Agnamey, P.; Damiani, C.; Savrimoutou, S.; Mustière, R.; Pinaud, N.; Moreau, S.; Mergny, J.-L.; Ronga, L.; et al. Design, Synthesis and in vitro Antimalarial Evaluation of New 1,3,5-tris[(4-(Substituted-Aminomethyl)Phenoxy)methyl]benzenes. Drugs Drug Candidates 2024, 3, 615–637. [Google Scholar] [CrossRef]
  27. Antonijevic, M.; Rochais, C.; Dallemagne, P. C3-Symmetric Ligands in Drug Design: When the Target Controls the Aesthetics of the Drug. Molecules 2023, 28, 679. [Google Scholar] [CrossRef] [PubMed]
  28. Gazanion, E.; Lacroix, L.; Alberti, P.; Gurung, P.; Wein, S.; Cheng, M.; Mergny, J.-L.; Gomes, A.R.; Lopez-Rubio, J.J. Genome wide distribution of G-quadruplexes and their impact on gene expression in malaria parasites. PLoS Genet. 2020, 16, e1008917. [Google Scholar] [CrossRef] [PubMed]
  29. Harris, L.M.; Monsell, K.R.; Noulin, F.; Famodimu, M.T.; Smargiasso, N.; Damblon, C.; Horrocks, P.; Merrick, C.J. G-Quadruplex DNA Motifs in the Malaria Parasite Plasmodium falciparum and Their Potential as Novel Antimalarial Drug Targets. Antimicrob. Agents Chemother. 2018, 62, e01828-17. [Google Scholar] [CrossRef] [PubMed]
  30. Leeder, W.-M.; Hummel, N.F.C.; Göringer, H.U. Multiple G-quartet structures in pre-edited mRNAs suggest evolutionary driving force for RNA editing in trypanosomes. Sci. Rep. 2016, 6, 29810. [Google Scholar] [CrossRef]
  31. Lombrana, R.; Alvarez, A.; Fernandez-Justel, J.M.; Almeida, R.; Poza-Carrion, C.; Gomes, F.; Calzada, A.; Requena, J.M.; Gomez, M. Transcriptionally Driven DNA Replication Program of the Human Parasite Leishmania major. Cell Rep. 2016, 16, 1774–1786. [Google Scholar] [CrossRef]
  32. Bottius, E.; Bakhsis, N.; Scherf, A. Plasmodium falciparum Telomerase: De Novo Telomere Addition to Telomeric and Nontelomeric Sequences and Role in Chromosome Healing. Mol. Cell Biol. 1998, 18, 919–925. [Google Scholar] [CrossRef]
  33. Anas, M.; Sharma, R.; Dhamodharan, V.; Pradeepkumar, P.I.; Manhas, A.; Srivastava, K.; Ahmed, S.; Kumar, N. Investigating Pharmacological Targeting of G-Quadruplexes in the Human Malaria Parasite. Biochemistry 2017, 56, 6691–6699. [Google Scholar] [CrossRef]
  34. Dey, A.; Chakrabarti, K. Current Perspectives of Telomerase Structure and Function in Eukaryotes with Emerging Views on Telomerase in Human Parasites. Int. J. Mol. Sci. 2018, 19, 333. [Google Scholar] [CrossRef]
  35. Raj, D.K.; Das, D.R.; Dash, A.P.; Supakar, P.C. Identification of telomerase activity in gametocytes of Plasmodium falciparum. Biochem. Biophys. Res. Commun. 2003, 309, 685–688. [Google Scholar] [CrossRef]
  36. De Cian, A.; Grellier, P.; Mouray, E.; Depoix, D.; Bertrand, H.; Monchaud, D.; Telade-Fichou, M.-P.; Mergny, J.-L.; Alberti, P. Plasmodium Telomeric Sequences: Structure, Stability and Quadruplex Targeting by Small Compounds. ChemBioChem 2008, 9, 2730–2739. [Google Scholar] [CrossRef]
  37. Kotha, S.; Mandal, K. Suzuki-Miyaura cross-coupling and ring-closing metathesis: A strategic combination for the synthesis of cyclophane derivatives. Eur. J. Org. Chem. 2006, 23, 5387–5393. [Google Scholar] [CrossRef]
  38. Zhou, Z.; Schuster, D.I.; Wilson, S.R. Tether-directed selective synthesis of fulleropyrrolidine bisadducts. J. Org. Chem. 2006, 71, 1545–1551. [Google Scholar] [CrossRef]
  39. Full Crystallographic Results Were Deposited at the Cambridge Crystallographic Data Centre (CCDC-2427200). Supplementary X-ray Crystallographic Data: Cambridge Crystallographic Data Centre, University Chemical Lab, Lensfield Road, Cambridge, CB2 1EW, UK. Available online: https://www.ccdc.cam.ac.uk/ (accessed on 3 March 2025).
  40. Ramirez, T.; Strigun, A.; Verlohner, A.; Huener, H.A.; Peter, E.; Herold, M.; Bordag, N.; Mellert, W.; Walk, T.; Spitzer, M.; et al. Prediction of liver toxicity and mode of action using metabolomics in vitro in HepG2 cells. Arch. Toxicol. 2018, 92, 893–906. [Google Scholar] [CrossRef] [PubMed]
  41. Rodriguez-Antona, C.; Donato, M.T.; Boobis, A.; Edwards, R.J.; Watts, P.S.; Castell, J.V.; Gómez-Lechón, M.J. Cytochrome P450 expression in human hepatocytes and hepatoma cell lines: Molecular mechanisms that determine lower expression in cultured cells. Xenobiotica 2002, 32, 505–520. [Google Scholar] [CrossRef] [PubMed]
  42. Desjardins, R.E.; Canfield, C.J.; Haynes, J.D.; Chulay, J.D. Quantitative assessment of antimalarial activity in vitro by a semiautomated microdilution technique. Antimicrob. Agents Chemother. 1979, 16, 710–718. [Google Scholar] [CrossRef]
  43. Bennett, T.N.; Paguio, M.; Gligorijevic, B.; Seudieu, C.; Kosar, A.D.; Davidson, E.; Roepe, P.D. Novel, Rapid, and Inexpensive Cell-Based Quantification of Antimalarial Drug Efficacy. Antimicrob. Agents Chemother. 2004, 48, 1807–1810. [Google Scholar] [CrossRef]
  44. Bacon, D.J.; Latour, C.; Lucas, C.; Colina, O.; Ringwald, P.; Picot, S. Comparison of a SYBR Green I-Based Assay with a Histidine-Rich Protein II Enzyme-Linked Immunosorbent Assay for In Vitro Antimalarial Drug Efficacy Testing and Application to Clinical Isolates. Antimicrob. Agents Chemother. 2007, 51, 1172–1178. [Google Scholar] [CrossRef]
  45. Kaddouri, H.; Nakache, S.; Houzé, S.; Mentré, F.; Le Bras, J. Assessment of the Drug Susceptibility of Plasmodium falciparum Clinical Isolates from Africa by Using a Plasmodium Lactate Dehydrogenase Immunodetection Assay and an Inhibitory Maximum Effect Model for Precise Measurement of the 50-Percent Inhibitory Concentration. Antimicrob. Agents Chemother. 2006, 50, 3343–3349. [Google Scholar] [CrossRef]
  46. Mosmann, T. Rapid colorimetric assay for cellular growth and survival: Application to proliferation and cytotoxicity assays. J. Immunol. Methods 1983, 65, 55–63. [Google Scholar] [CrossRef]
  47. De Cian, A.; Guittat, L.; Kaiser, M.; Saccà, B.; Amrane, S.; Bourdoncle, A.; Alberti, P.; Teulade-Fichou, M.-P.; Lacroix, L.; Mergny, J.-L. Fluorescence-based melting assays for studying quadruplex ligands. Methods 2007, 42, 183–195. [Google Scholar] [CrossRef]
Figure 1. The structures of chloroquine (CQ), amodiaquine (AQ), mefloquine (MQ), tafenoquine (TQ), piperaquine, bisquinoline A, bisacridine B, and G-quadruplex ligands PDS, PhenDC3, and quarfloxin.
Figure 1. The structures of chloroquine (CQ), amodiaquine (AQ), mefloquine (MQ), tafenoquine (TQ), piperaquine, bisquinoline A, bisacridine B, and G-quadruplex ligands PDS, PhenDC3, and quarfloxin.
Ddc 04 00039 g001
Figure 2. The structures of series A-E and newly synthesized 1,3-bis[(4-(substituted-aminomethyl)phenyl)methyl]benzenes 1a-r (Series F) and 1,3-bis[(4-(substituted-aminomethyl)phenoxy)methyl]benzenes 2a-r (Series G).
Figure 2. The structures of series A-E and newly synthesized 1,3-bis[(4-(substituted-aminomethyl)phenyl)methyl]benzenes 1a-r (Series F) and 1,3-bis[(4-(substituted-aminomethyl)phenoxy)methyl]benzenes 2a-r (Series G).
Ddc 04 00039 g002
Figure 3. The ORTEP (Oak Ridge Thermal Ellipsoid Plot) drawing of 1,3-bis[(4-formylphenoxy)methyl]benzene 4 with atom labeling and thermal ellipsoids at 30% probability level. Hydrogen atoms are represented as small spheres of arbitrary radii.
Figure 3. The ORTEP (Oak Ridge Thermal Ellipsoid Plot) drawing of 1,3-bis[(4-formylphenoxy)methyl]benzene 4 with atom labeling and thermal ellipsoids at 30% probability level. Hydrogen atoms are represented as small spheres of arbitrary radii.
Ddc 04 00039 g003
Scheme 1. General procedure for the preparation of novel compounds 1–2a–r.
Scheme 1. General procedure for the preparation of novel compounds 1–2a–r.
Ddc 04 00039 sch001
Figure 4. Stabilization specificity profile of 1–2a–r (2 µM) toward various G4 oligonucleotides. The difference in Tm in presence and absence of 1–2a–r, ∆Tm, in °C, is plotted for each sequence. Three quadruplexes and one duplex (FdxT) were tested.
Figure 4. Stabilization specificity profile of 1–2a–r (2 µM) toward various G4 oligonucleotides. The difference in Tm in presence and absence of 1–2a–r, ∆Tm, in °C, is plotted for each sequence. Three quadruplexes and one duplex (FdxT) were tested.
Ddc 04 00039 g004
Table 1. Physical properties of ammonium oxalate salts 1–2a–r.
Table 1. Physical properties of ammonium oxalate salts 1–2a–r.
Compound Salt amp (°C) b% Yield c
1aBeige crystals4 (COOH)2233–23515.8
2aBeige crystals4 (COOH)2247–24942.5
1bWhite crystals4 (COOH)2180–18230
2bBeige crystals4 (COOH)2245–24768
1cBeige crystals4 (COOH)2181–18332
2cWhite crystals4 (COOH)2185–18767
1dBeige crystals6 (COOH)2239–24159
2dBeige crystals6 (COOH)2237–23978
1eWhite crystals6 (COOH)2203–20521
2eWhite crystals6 (COOH)2243–24531
1fWhite crystals4 (COOH)2169–17138
2fWhite crystals4 (COOH)2211–21352
1gWhite crystals4 (COOH)2212–21431
2gWhite crystals4 (COOH)2218–22048
1hWhite crystals4 (COOH)2187–18938
2hWhite crystals4 (COOH)2214–21663
1iYellow crystals2 (COOH)2138–14030
2iYellow crystals2 (COOH)2133–13549
1jYellow crystals2 (COOH)2213–21544
2jYellow crystals2 (COOH)2209–21161
1kYellow crystals2 (COOH)2191–19342
2kYellow crystals2 (COOH)2181–18379
1lYellow crystals2 (COOH)2171–17352
2lYellow crystals2 (COOH)2167–16975
1mWhite crystals2 (COOH)2247–24924
2mBeige crystals2 (COOH)2243–24558
1nWhite crystals2 (COOH)2201–20327.5
2nYellow crystals2 (COOH)2202–20454
1oYellow crystals2 (COOH)2161–6348
2oBeige crystals2 (COOH)2165–16762
1pGreen crystals2 (COOH)2153–15532
2pGreen crystals2 (COOH)2207–20950
1qWhite crystals2 (COOH)2151–15328
2qBeige crystals2 (COOH)2143–14587
1rWhite crystals2 (COOH)2128–13052
2rBeige crystals2 (COOH)2141–14380
a The stoichiometry and composition of the salts were determined using elemental analyses, and obtained values were within ±0.4% of the theoretical values. b Crystallization solvent: 2-PrOH–H2O. c The total yields included the conversions into the ammonium oxalates starting from commercially available 1,3-bis(bromomethyl)benzene.
Table 2. In vitro sensitivity of P. falciparum strains to compounds 1–2a–r and cytotoxicity of these derivatives in HepG2 cells.
Table 2. In vitro sensitivity of P. falciparum strains to compounds 1–2a–r and cytotoxicity of these derivatives in HepG2 cells.
CompoundP. falciparum Strains
IC50 Values (μM) a
Cytotoxicity to HepG2 Cells
CC50 Values (μM) b
Resistance Index
W23D7 W2 e3D7 f
CQ c0.40 ± 0.040.11 ± 0.01303.640.28
MQ c0.016 ± 0.0020.06 ± 0.003n.d. d0.273.75
Quarfloxinn.d. d0.114 ± 0.05 [29]n.d. dn.d. dn.d. d
PDSn.d. d5.20 ± 0.90 [28]n.d. dn.d. dn.d. d
1a8.38 ± 1.06n.d. d0.87 ± 0.12n.d. dn.d. d
1b1.98 ± 0.530.14 ± 0.073.17 ± 0.1614.140.07
1c1.61 ± 0.42 2.22 ± 0.4218.45 ± 1.100.731.34
1d2.12 ± 0.140.30 ± 0.050.28 ± 0.087.070.14
1e>401.21 ± 0.435.23 ± 0.56>33.00.03>
1f1.21 ± 0.13 0.12 ± 0.0671.38 ± 1.2310.80.10
1g1.81 ± 0.342.37 ± 0.402.60 ± 0.230.761.31
1h0.72 ± 0.210.37 ± 0.0920.89 ± 0.871.950.51
1i>40>40>100n.d.n.d.
1j2.83 ± 0.780.33 ± 0.06 >1008.580.12
1k1.47 ± 0.36 0.25 ± 0.107.54 ± 0.575.880.17
1l0.66 ± 0.110.31 ± 0.060.05 ± 0.032.130.47
1m1.22 ± 0.211.24 ± 0.15>1000.981.02
1n4.91 ± 0.720.33 ± 0.0718.17 ± 0.7414.880.07
1o7.35 ± 0.850.12 ± 0.0622.65 ± 0.6861.250.02
1p1.75 ± 0.541.78 ± 0.4118.91 ± 0.970.981.02
1q0.36 ± 0.080.20 ± 0.0515.60 ± 0.821.800.53
1r0.11 ± 0.080.07 ± 0.022.46 ± 0.341.570.64
2a>20n.d. d2.74 ± 0.46n.d.n.d.
2b4.10 ± 0.813.86 ± 0.890.40 ± 0.101.060.94
2c8.70 ± 1.032.40 ± 0.6524.60 ± 0.743.630.28
2d1.82 ± 0.720.70 ± 0.084.74 ± 0.232.600.38
2e7.22 ± 0.92n.d. d20.92 ± 1.10n.d.n.d.
2f2.00 ± 0.270.33 ± 0.080.05 ± 0.026.060.17
2g11.22 ± 1.074.48 ± 0.392.60 ± 0.322.500.40
2h1.35 ± 0.121.03 ± 0.074.51 ± 0.771.310.76
2i5.37 ± 0.890.92 ± 0.25>1005.840.17
2j1.28 ± 0.423.79 ± 0.60 56.16 ± 1.240.342.96
2k0.56 ± 0.48 n.d. d>100n.d.n.d.
2l2.10 ± 0.113.76 ± 0.521.76 ± 0.240.561.79
2m0.31 ± 0.040.48 ± 0.1114.63 ± 0.650.641.55
2n0.17 ± 0.060.038 ± 0.040.11 ± 0.054.470.22
2o2.76 ± 0.24>401.04 ± 0.150.07>>14.49
2p>400.32 ± 0.0789.86 ± 1.31>1250.01>
2q2.12 ± 0.090.095 ± 0.0620.62 ± 1.1222.310.04
2r0.35 ± 0.080.52 ± 0.122.76 ± 0.350.671.48
a Values were measured against CQ-resistant and mefloquine-sensitive strain W2 and the CQ-sensitive and decreased-MQ-sensitivity strain 3D7. The IC50 (µM) values correspond to the means +/− standard deviations from three independent experiments. b CC50 values were measured against HepG2 cells. The CC50 (µM) values correspond to the means +/− standard deviations from three independent experiments. c CQ and MQ were used as antiplasmodial compounds of reference. d n.d.: not determined. e IC50 (W2)/IC50 (3D7). f IC50 (3D7)/IC50 (W2).
Table 3. Selectivity Index of compounds 1–2a–r.
Table 3. Selectivity Index of compounds 1–2a–r.
CompoundSelectivity Index (SI) a
HepG2/W2HepG2/3D7
CQ75272
1a0.10n.d. b
1b1.6022.64
1c11.468.31
1d0.130.93
1e0.13>4.32
1f59.0594.83
1g1.441.10
1h29.0156.46
1in.d. bn.d. b
1j>35.33>303.03
1k5.1330.16
1l0.080.16
1m>82.0>80.6
1n3.7055.06
1o3.08188.8
1p10.8110.62
1q43.3378.0
1r22.3635.14
2an.d. bn.d. b
2b0.100.10
2c2.8310.25
2d2.606.77
2e2.90n.d. b
2f0.0250.15
2g0.230.58
2h3.344.38
2i>18.62>108.7
2j43.8714.82
2k>178.6n.d. b
2l0.840.47
2m47.230.48
2n0.652.89
2o0.380.026>
2p2.24>280.81
2q9.73217.1
2r7.895.31
a SI was defined as the ratio between the CC50 value on the HepG2 cells and the IC50 value against the P. falciparum W2 or 3D7 strains. b n.d.: not determined.
Table 4. FRET melting values for compounds 1–2a–r (2 μM) with FPf1T, FPf8T, F21T, and FdxT (0.2 µM) in K+ conditions.
Table 4. FRET melting values for compounds 1–2a–r (2 μM) with FPf1T, FPf8T, F21T, and FdxT (0.2 µM) in K+ conditions.
CompoundΔTm (°C) aΔTm (°C) aΔTm (°C) aΔTm (°C) a
FPf1TFPf8TF21TFdxT
PhenDC321.92 ± 3.3026.48 ± 1.6622.28 ± 0.520.83 ± 0.04
CQ1.90 ± 0.102.40 ± 1.202.40 ± 1.10n.d. b
MQ3.10 ± 0.506.60 ± 2.302.60 ± 0.50n.d. b
1a3.59 ± 0.425.22 ± 0.83.69 ± 0.440.53 ± 0.16
1b11.38 ± 0.3211.50 ± 0.7310.40 ± 0.630.27 ± 0.12
1c10.02 ± 0.2310.55 ± 1.319.42 ± 0.390.26 ± 0.13
1d0.24 ± 0.470.58 ± 0.430.26 ± 0.38−0.04 ± 0.03
1e8.34 ± 0.319.39 ± 0.138.58 ± 0.420.34 ± 0.11
1f2.04 ± 0.253.27 ± 0.392.72 ± 0.070.19 ± 0.14
1g10.82 ± 1.3210.88 ± 0.3210.32 ± 0.730.26 ± 0.12
1h11.89 ± 0.3113.01 ± 0.0111.77 ± 0.520.19 ± 0.12
1i−0.13 ± 0.01−0.53 ± 0.33−0.34 ± 0.110.16 ± 0.17
1j5.83 ± 2.924.91 ± 1.263.27 ± 0.060.11 ± 0.08
1k4.08 ± 0.657.10 ± 1.244.34 ± 1.240.17 ± 0.03
1l4.97 ± 0.3116.80 ± 1.0113.82 ± 0.630.23 ± 0.27
1m0.47 ± 0.030.53 ± 0.430.48 ± 0.250.31 ± 0.15
1n3.55 ± 0.544.13 ± 0.773.74 ± 0.630.36 ± 0.13
1o4.15 ± 0.424.50 ± 0.153.91 ± 0.19−0.01 ± 0.11
1p0.67 ± 0.200.64 ± 0.390.37 ± 0.260.04 ± 0.21
1q2.72 ± 0.533.16 ± 0.162.07 ± 0.110.13 ± 0.05
1r5.78 ± 0.726.37 ± 0.535.51 ± 0.440.18 ± 0.01
2a4.09 ± 0.315.10 ± 0.134.32 ± 0.250.00 ± 0.17
2b11.59 ± 0.2210.91 ± 2.5310.08 ± 0.520.39 ± 0.01
2c23.35 ± 0.2926.43 ± 0.1421.23 ± 0.293.77 ± 0.23
2d7.77 ± 0.429.57 ± 0.337.65 ± 0.430.09 ± 0.17
2e9.28 ± 0.1410.95 ± 0.0349.22 ± 0.210.29 ± 0.07
2f3.09 ± 0.223.57 ± 0.233.57 ± 0.540.19 ± 0.13
2g10.31 ± 0.3310.80 ± 1.149.99 ± 0.420.27 ± 0.23
2h11.05 ± 0.6212.63 ± 0.8310.54 ± 0.430.20 ± 0.01
2i−0.43 ± 0.09−0.39 ± 0.08−0.32 ± 0.320.14 ± 0.04
2j3.78 ± 0.423.55 ± 0.584.06 ± 0.070.17 ± 0.03
2k4.25 ± 0.305.41 ± 0.974.26 ± 0.250.06 ± 0.06
2l5.88 ± 0.717.58 ± 0.804.58 ± 0.770.01 ± 0.04
2m1.66 ± 0.422.49 ± 0.221.51 ± 0.150.08 ± 0.02
2n4.30 ± 0.185.06 ± 0.524.39 ± 0.370.25 ± 0.06
2o5.67 ± 0.436.10 ± 0.386.57 ± 0.280.10 ± 0.11
2p0.67 ± 0.200.64 ± 0.390.37 ± 0.260.04 ± 0.21
2q3.66 ± 0.425.15 ± 0.083.71 ± 0.670.09 ± 0.13
2r7.02 ± 2.128.56 ± 0.837.84 ± 0.110.33 ± 0.12
a ΔTm of FPf1T, FPf8T, F21T, and FdxT (0.2 μM) were recorded in 10 mM lithium cacodylate (pH 7.2), 10 mM KCl, and 90 mM LiCl. PhenDC3 was tested at 0.5 μM, whereas CQ and MQ were tested at 1 μM. Error margins correspond to SD of two replicates. b n.d.: not determined.
Disclaimer/Publisher’s Note: The statements, opinions and data contained in all publications are solely those of the individual author(s) and contributor(s) and not of MDPI and/or the editor(s). MDPI and/or the editor(s) disclaim responsibility for any injury to people or property resulting from any ideas, methods, instructions or products referred to in the content.

Share and Cite

MDPI and ACS Style

Albenque-Rubio, S.; Guillon, J.; Agnamey, P.; Damiani, C.; Savrimoutou, S.; Ronga, L.; Hanot, M.; Zangmo, T.; Pinaud, N.; Moreau, S.; et al. Synthesis of New 1,3-bis[(4-(Substituted-Aminomethyl)Phenyl)methyl]benzene and 1,3-bis[(4-(Substituted-Aminomethyl)Phenoxy)methyl]benzene Derivatives, Designed as Novel Potential G-Quadruplex Antimalarial Ligands. Drugs Drug Candidates 2025, 4, 39. https://doi.org/10.3390/ddc4030039

AMA Style

Albenque-Rubio S, Guillon J, Agnamey P, Damiani C, Savrimoutou S, Ronga L, Hanot M, Zangmo T, Pinaud N, Moreau S, et al. Synthesis of New 1,3-bis[(4-(Substituted-Aminomethyl)Phenyl)methyl]benzene and 1,3-bis[(4-(Substituted-Aminomethyl)Phenoxy)methyl]benzene Derivatives, Designed as Novel Potential G-Quadruplex Antimalarial Ligands. Drugs and Drug Candidates. 2025; 4(3):39. https://doi.org/10.3390/ddc4030039

Chicago/Turabian Style

Albenque-Rubio, Sandra, Jean Guillon, Patrice Agnamey, Céline Damiani, Solène Savrimoutou, Luisa Ronga, Marie Hanot, Tshering Zangmo, Noël Pinaud, Stéphane Moreau, and et al. 2025. "Synthesis of New 1,3-bis[(4-(Substituted-Aminomethyl)Phenyl)methyl]benzene and 1,3-bis[(4-(Substituted-Aminomethyl)Phenoxy)methyl]benzene Derivatives, Designed as Novel Potential G-Quadruplex Antimalarial Ligands" Drugs and Drug Candidates 4, no. 3: 39. https://doi.org/10.3390/ddc4030039

APA Style

Albenque-Rubio, S., Guillon, J., Agnamey, P., Damiani, C., Savrimoutou, S., Ronga, L., Hanot, M., Zangmo, T., Pinaud, N., Moreau, S., Mergny, J.-L., Marchivie, M., Moukha, S., Estela, F., Dozolme, P., Cohen, A., & Sonnet, P. (2025). Synthesis of New 1,3-bis[(4-(Substituted-Aminomethyl)Phenyl)methyl]benzene and 1,3-bis[(4-(Substituted-Aminomethyl)Phenoxy)methyl]benzene Derivatives, Designed as Novel Potential G-Quadruplex Antimalarial Ligands. Drugs and Drug Candidates, 4(3), 39. https://doi.org/10.3390/ddc4030039

Article Metrics

Back to TopTop