Abstract
Alzheimer’s disease (AD), an ongoing neurodegenerative disorder among the elderly, is signalized by amnesia, progressive deficiency in cognitive roles, and behavioral deformity. Over the last ten years, its pathogenesis still remains unclear despite several efforts from various researchers across the globe. There are certain factors that seem to be involved in the progression of the disease such as the accumulation of β-amyloid, oxidative stress, the hyperphosphorylation of tau protein, and a deficit of acetylcholine (ACh). Ongoing therapeutics are mainly based on the cholinergic hypothesis, which suggests that the decrease in the ACh levels leads to the loss of memory. Therefore, increasing the cholinergic function seems to be beneficial. Acetylcholinesterase inhibitors (AChEIs) inhibit the enzyme by avoiding the cleavage of acetylcholine (ACh) and increasing the neurotransmitter acetylcholine (ACh) levels in the brain areas. Thus, the cholinergic deficit is the root cause of Alzheimer’s disease (AD). Currently, drugs such as tacrine, donepezil, rivastigmine, and galantamine have been launched on the market for a cholinergic approach to AD to increase neurotransmission at cholinergic synapses in the brain and to improve cognition. These commercialized medicines only provide supportive care, and there is a loss of medicinal strength over time. Therefore, there is a demand for investigating a novel molecule that overcomes the drawbacks of commercially available drugs. Therefore, butyrylcholinesterase (BChE), amyloid-β (Aβ), β-secretase-1 (BACE), metals Cu(II), Zn(II), or Fe(II), antioxidant properties, and the free radical scavenging capacity have been primarily targeted in the preceding five years along with targeting the AChE enzyme. A desired, well-established pharmacological profile with a number of hybrid molecules incorporating substructures within a single scaffold has been investigated. From distinct chemical categories such as acridine, quinoline, carbamate, huperzine, and other heterocyclic analogs, the main substructures used in developing these molecules are derived. The optimization of activity through structural modifications of the prototype molecules has been followed to develop the Structure Activity Relationship (SAR), which in turn facilitates the development of novel molecules with expected AChE inhibitory activity together with many more pharmacological properties. The present review outlines the current drug candidates in the advancement of these AChEIs in the last two years.
1. Introduction
Dementia is a set of manifestations that often occur together or a condition characterized by a group of interrelated symptoms such as deterioration in memory, learning capacity, thinking, judgment, orientation, comprehension, calculation, language, and the inability to carry out daily activities [1,2,3]. Worldwide, an average of 50 million people are living with dementia, and this estimated figure is expected to increase to 75 million in 2030 and 131.5 million in 2050 due to the rise in the elderly population [4,5]. The monetary stress associated with dementia management indicates that approximately 600 billion dollars are spent annually to care for over 45 million individuals with dementia, which is roughly 1% of the global gross domestic product [6,7]. With the health care system, this expenditure is likely to increase as the population grows and more elderly individuals live into their declining years [8,9]. Alzheimer’s disease (AD), being a form of dementia, is expected to contribute significantly to future expenses. Studies have shown that providing care for all people living with AD by 2080 could lead to an increased total budget due to prolonging the period of a patient’s stay in mild, moderate, or severe AD stages [10,11].
AD is an incurable neurodegenerative brain disorder that leads to mental health disorders primarily affecting cognitive abilities, including learning, perception, and memory loss. It poses a significant burden on patients, their families, and the healthcare system due to the profound disability and helplessness it entails. AD is prevalent worldwide across various demographic groups, although it is more common in older individuals. Consequently, AD represents one of the greatest global health challenges for society [12,13].
Alzheimer’s disease is characterized by three main categories of manifestations. The first category, cognitive dysfunction, involves loss of memory, difficulties in language, and executive dysfunction. The secondary category comprises behavioral disturbances, such as depression, illusions, misapprehension, and anxiety, collectively referred to as non-cognitive symptoms and psychiatric symptoms [14]. The third category involves difficulties in performing daily activities such as orientation, judgment, driving, shopping, and basic tasks like dressing and eating independently. The symptoms of Alzheimer’s disease progress from mild to very severe, starting with memory loss and eventually leading to dementia [15].
Alzheimer’s disease is associated with numerous obsessive characteristics including inadequacy of the neurotransmitter ACh, the accumulation of beta-amyloid (Aβ) plaques, increased MAO-B enzyme activity, over-stimulus of the N-methyl-D-aspartate receptor, changes in the homeostasis of biometals, oxidative stress, and hyperphosphorylation of tau protein [16].
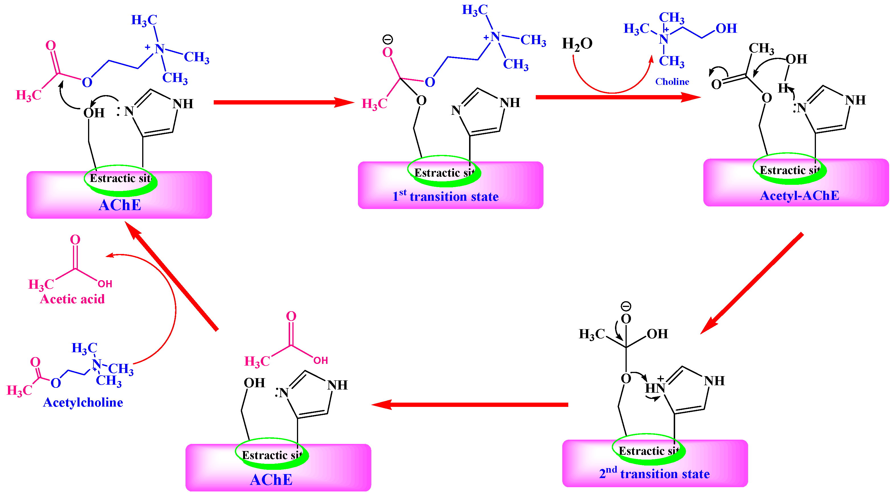
The current management of AD focuses on inhibiting cholinesterase, thereby improving the concentration of ACh in the synaptic cleft. One of the oldest and best understood neurotransmitters in the mammalian central nervous system (CNS) is ACh. It is localized in various parts of the CNS and is synthesized in and released from cholinergic neurons. Cholinergic neurons projecting from basal forebrain nuclei play a crucial role in cognitive processes such as learning and memory. Cholinergic neurons in the corpus-striatum are involved in motor functions. Choline O-acetyltransferase (ChAT) facilitates the synthesis of ACh from choline and acetyl CoA within presynaptic cholinergic neurons [17] (Scheme 1).
Scheme 1.
Synthesis of Acetylcholine.
According to the International Union of Biochemistry and Molecular Biology (IUBMB), AChE (3.1.1.7) belongs to the class of serine hydrolases that act on ester bonds of esters of carboxylic acids. The significant characteristic of the AChE structure is its widening at the base, forming a wide gorge that extends about half a molecule deep [18,19]. The enzyme structure of AChE has been elucidated through X-ray crystallographic studies using Torpedo californica (PDB ID: 1ACJ and 1ACL). These studies revealed that AChE possesses two main binding sites: the catalytic active site (CAS) and the peripheral anionic site (PAS) connected to the gorge within the enzyme’s active site [20,21,22,23]. Amino acids (Trp279, Tyr70, Tyr121, Asp72, and Phe290) form the PAS whereas amino acids of the esteratic subsite gorge (Ser200, His440, and Glu327), anionic substrate (Trp84, Glu199, and Phe330), and acyl binding pocket (Phe288 and Phe299) together form the CAS [24,25,26].
The enzyme acetylcholinesterase is a serine hydrolase that belongs to the esterase family within the higher eukaryotes as shown in Scheme 2. This enzyme acts on different types of carboxylic esters. In the cholinergic synapses of the central nervous system (CNS), AChE hydrolytically cleaves the acetylcholine molecule into choline and acetic acid, thereby terminating the impulse transmissions. The interaction between AChE and β-amyloid accelerates the formation of β-amyloid aggregates through the PAS (peripheral anionic site). This finding reveals that an ideal AChE inhibitor should be able to interact with both the CAS (catalytic active site) and PAS of the AChE enzyme [27]. Although the exact reason for AD is clearly not known, the cholinergic hypothesis proposes a direct correlation between the acetylcholine level in the brain, which is hydrolyzed by the enzymes butyrylcholinesterase and AChE, and the disorder. Acetylcholinesterase, compared to butyrylcholinesterase, plays an important role in the breakdown of acetylcholine into choline and acetic acid, leading to the termination of neurotransmission signals [28,29] (Scheme 2).
Scheme 2.
Mechanism of ACh hydrolysis by AChE.
The current approach to AD medication focuses on designing AChE and BuChE (butylcholinesterase) inhibitors. Cholinesterases (ChEs) have become a prominent target in the medical field, as most of the U.S. Food and Drug Administration (FDA)-certified medications for AD are AChE inhibitors, including donepezil, galantamine, physostigmine, huperzine-A, tacrine, and rivastigmine [30,31]. Existing acetylcholinesterase inhibitors typically possess a quaternary or positively ionizable site located within an appropriate distance from the oxygen-containing site [32,33]. AChE inhibitors prevent ACh hydrolysis in the neuronal synaptic clefts within the brain, thereby increasing the level of ACh. The prolonged use of synthetic cholinesterase inhibitors results in an overall increase in the available acetylcholine. However, excessive stimulation of the parasympathetic nervous system can lead to symptoms such as increased hypermotility, hypersecretion, bradycardia, miosis, nausea, vomiting, diarrhea, and hypotension, with the potential development of a cholinergic crisis, which can be life-threatening. Considering these factors, inhibiting acetylcholinesterase is a targeted approach for treating AD and boosting cholinergic neurotransmission [34,35,36].
Currently, the drugs available on the market that employ a cholinergic approach for AD, aiming to increase neurotransmission at cholinergic synapses in the brain and improve cognition, include tacrine, donepezil, rivastigmine, and galantamine (Scheme 3). However, these drugs only provide symptomatic benefits and tend to lose therapeutic potential over time [37].
Scheme 3.
Structures of FDA-approved drugs.
Therefore, there is an urgent need to develop a new molecule that can address the broad spectrum of therapeutic need for the treatment of AD. The focus has primarily been on developing inhibitors for the AChE enzyme. Researchers have been exploring other potential target(s) like Butyrylcholinesterase (BChE), amyloid-β (Aβ), β-secretase-1 (BACE), and metal ions such as Cu(II), Zn(II), or Fe(II), as well as investigating the antioxidant properties and free radical scavenging capacity of compounds in the last five years.
Researchers have been working on establishing a well-defined pharmacological profile for these compounds by incorporating various substructures within a single scaffold. Substructures derived from different chemical categories, such as acridine, quinoline, carbamate, huperzine, and other heterocyclic analogs, have been utilized in the development of these molecules. Structural modifications of prototype molecules have been employed to optimize their activity through structure–activity relationship (SAR) studies, ultimately leading to the development of novel molecules with expected AChE inhibitory activity and other desirable pharmacological properties. The present review outlines the current therapeutic strategies in the advancement of these AChE inhibitors in the past two years, highlighting the progress made in the field.
2. Design and Synthesis of New AChE Inhibitors during 2021
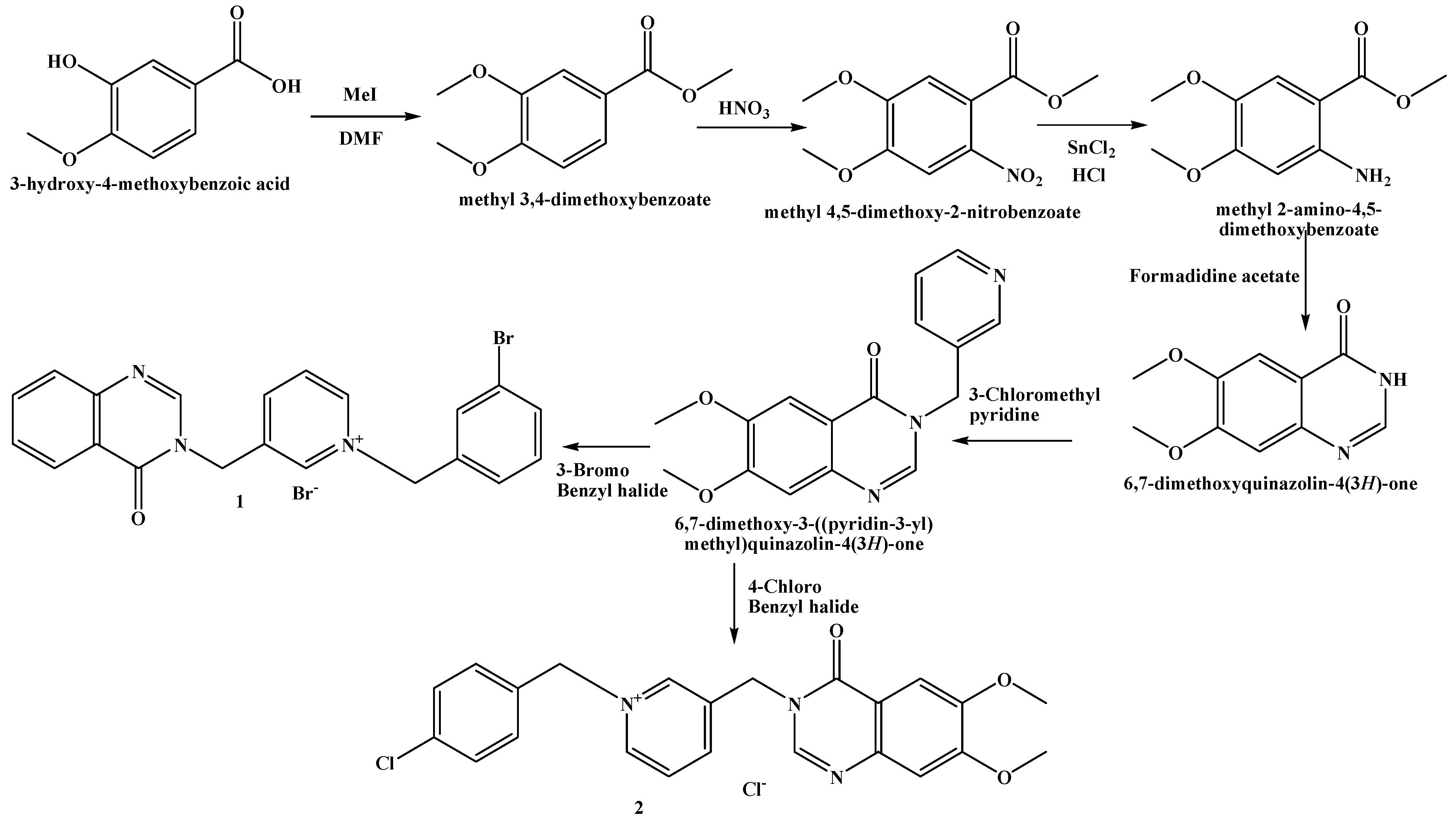
Samaneh Zarei et al., 2021 [38] designed and synthesized the novel series of 1-benzyl-4-((4-oxoquinazolin-3(4H)-yl) methyl)-1-pyridinium derivatives as shown in Scheme 4 by treatment with 3-hydroxy-4-methoxy benzoic acid and iodomethane in DMF, which yielded methyl 3,4-dimethoxy benzoate. Nitration, subsequent reduction, and cyclisation of the above compound yielded 6,7-dimethoxyquina-zolin-4(3H)-one. In the presence of K2CO3 and by adding appropriate benzyl halide derivatives, final compounds were gained by treating the above compound with 3- or 4-(chloromethyl) pyridine in DMF. Ellman’s method was employed for the evaluation of AChE and BuChE inhibitory activities. Using Autodock 4, a docking study was carried out to explore the binding mode of the most active complexes 1 and 2 in the active position of BuChE (PDB: 6QAA) and AChE (PDB: 1EVE). The compound 1-(3-bromobenzyl)-3-((4-oxoquinazolin-3(4H)-yl)methyl)pyridin-1-ium bromide (1) was found to be the most active among all synthesized compounds exhibiting dual inhibition activity for AChE (IC50 = 5.90 ± 0.07 μM) and BuChE (IC50 = 6.76 ± 0.04 μM). Further, the compound 1-(4-chlorobenzyl)-3-((6,7-dimethoxy-4-oxo quinazolin-3(4H)-yl)methyl)pyridin-1-ium chloride also showed potent AChE inhibitory activity (IC50 = 1.11 ± 0.09 μM) (2). The pharmacokinetic properties of 1 and 2 were studied along with it by employing the Lipinski rules of five.
Scheme 4.
Synthesis of 1-benzyl-4-((4-oxoquinazolin-3(4H)-yl) methyl)-1-pyridinium derivatives.
Mohammad Shahidul Islam et al., 2021 [39] designed a spirooxindole scaffold engrafted with two other biologically active molecules such as indole and pyrazole moieties. The authors successfully synthesized 25 derivatives and screened for efficacy against inhibitory potency towards AChE. Under the basic condition, new chalcones were synthesized by cross aldol condensation of acetyl pyrazole and substituted indole-3-carbaldehyde under reflux for 72 h. The titled compounds were constructed via a one-pot multicomponent reaction approach in methanol under reflux conditions for 2−24 h. A molecular docking study was adopted to explain the molecular mechanism of several lead compounds in drug discovery. The amino acids in the enzyme such as Trp86 and Tyr337 in the anionic site, Ser203 and His447 in the catalytic site, and Phe295 and Phe297 in the acyl binding site interacted with compound 3 and formed two hydrogen bonds with Ser125 and Glu202. This interaction of the enzyme with compound 3 is important for obtaining good inhibitory activity. Compound 4 interacted with Tyr337 and Phe295 from the anionic and acyl binding sites only but with less hydrophobic interaction than 3. The AChE inhibitory potency of compounds 3 and 4 structures as shown in Figure 1 was screened by using Ellman’s method, and they exhibited the strongest AChEI with IC50 values of 24.1 and 27.8 μM, respectively.
Figure 1.
The structure of compounds 3 & 4: spirooxindole analogues engrafted with Indole and Pyrazole scaffolds.
In continuation of previous research work, Mohammad Shahidul Islam et al., 2021 [40], via [3+2] the cycloaddition (32CA) reaction starting from the new chalcone, named(E)-3-(5-chloro-3-methyl-1-phenyl-1H-pyrazol-4-yl)-1-(5-methyl-1-phenyl-1H-pyrazol-4-yl)prop-2-en-1-one, a novel sequence of spirooxindole analogs tethered to the pyrazole scaffold that was constructed and synthesized. Acetylcholinesterase inhibitory activity (AChEI) with IC50 values of 5.7, 7.8, and 8.3 μM was exhibited by compounds 5, 6, and 7, respectively. The structures of spirooxindole tethered with pyrazole analogs have represented in Figure 2. Evidently, the addition of the NO2 group into the 5th position and N-methyl glycine (sarcosine) took part in the activity, which led to compound 5, the most potent inhibitor with an IC50 value of 5.7 μM. Molecular docking was carried out to determine their interaction with the active site of hAChE. Via a one-step reaction mechanism with a high polar character, these 32CA reactions occurred as a consequence of the super nucleophilic character of azomethine yields and the strong electrophilic character of ethylene.
Figure 2.
The structures of compounds 5, 6, & 7: spirooxindole analogs tethered to the pyrazole scaffold.
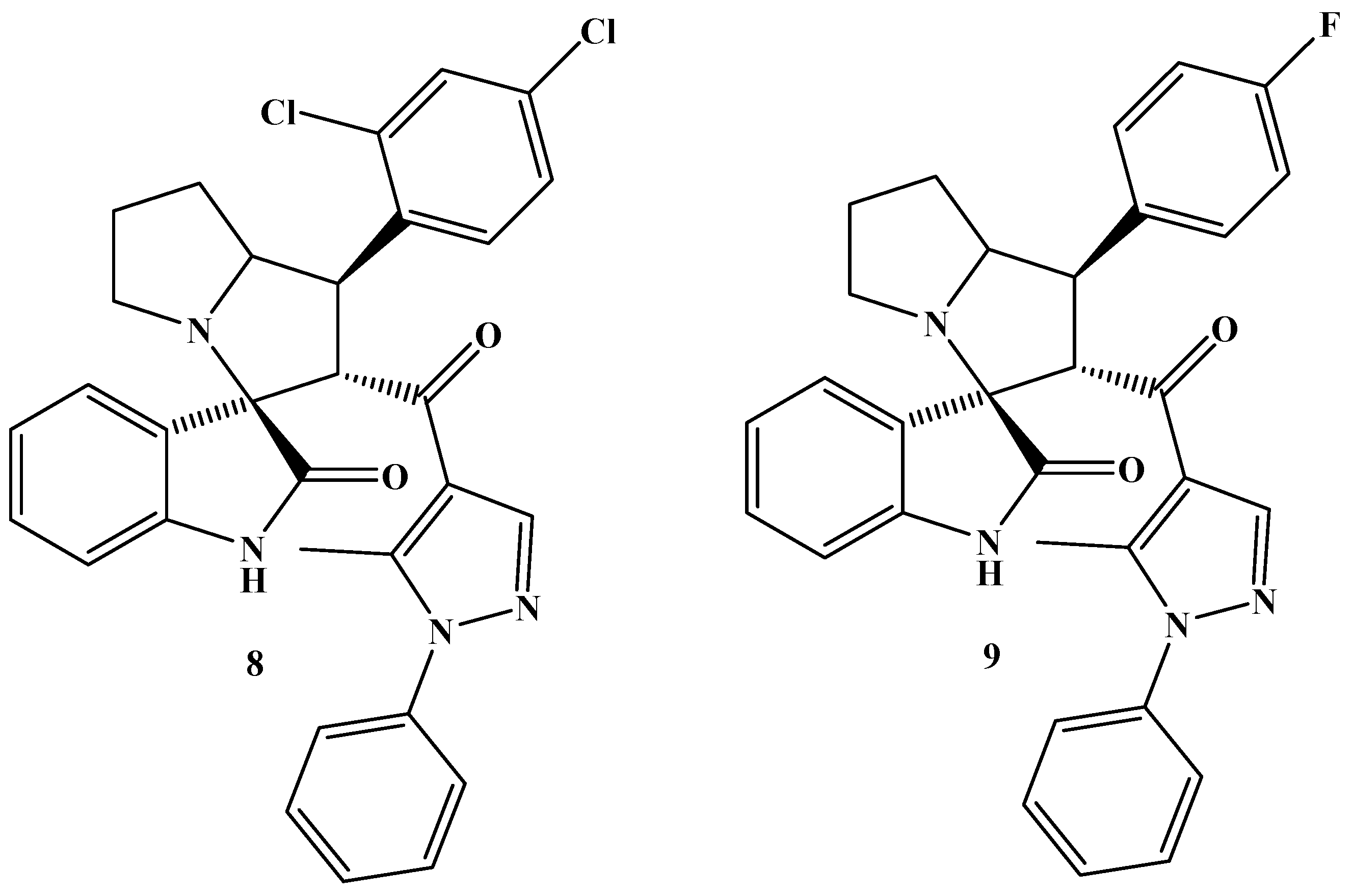
Further, Mohammad Shahidul Islam et al., 2022 [41] designed and synthesized 19 spirooxindole analogs engrafted with pyrazole scaffolds via the [3+2] cycloaddition reaction (32CA) approach through the endo/ortho direction. The synthesized compounds were further tested for their antioxidant potentials against DPPH and anti-cholinesterase activity against AChE and BChE. The strucures of compounds 8 and 9 as represented in Figure 3 exhibited IC50 values of 30 μg/mL for AChE and BChE inhibitory activity. With the use of the Molecular Operating Environment (MOE) software package, the results of invitro and in silico studies were confirmed, and the binding mode of synthesized compounds against the targeted enzymes AChE and BChE was determined through a molecular docking study.
Figure 3.
The structure of compounds 8 & 9: spirooxindole analogs engrafted with pyrazole scaffolds.
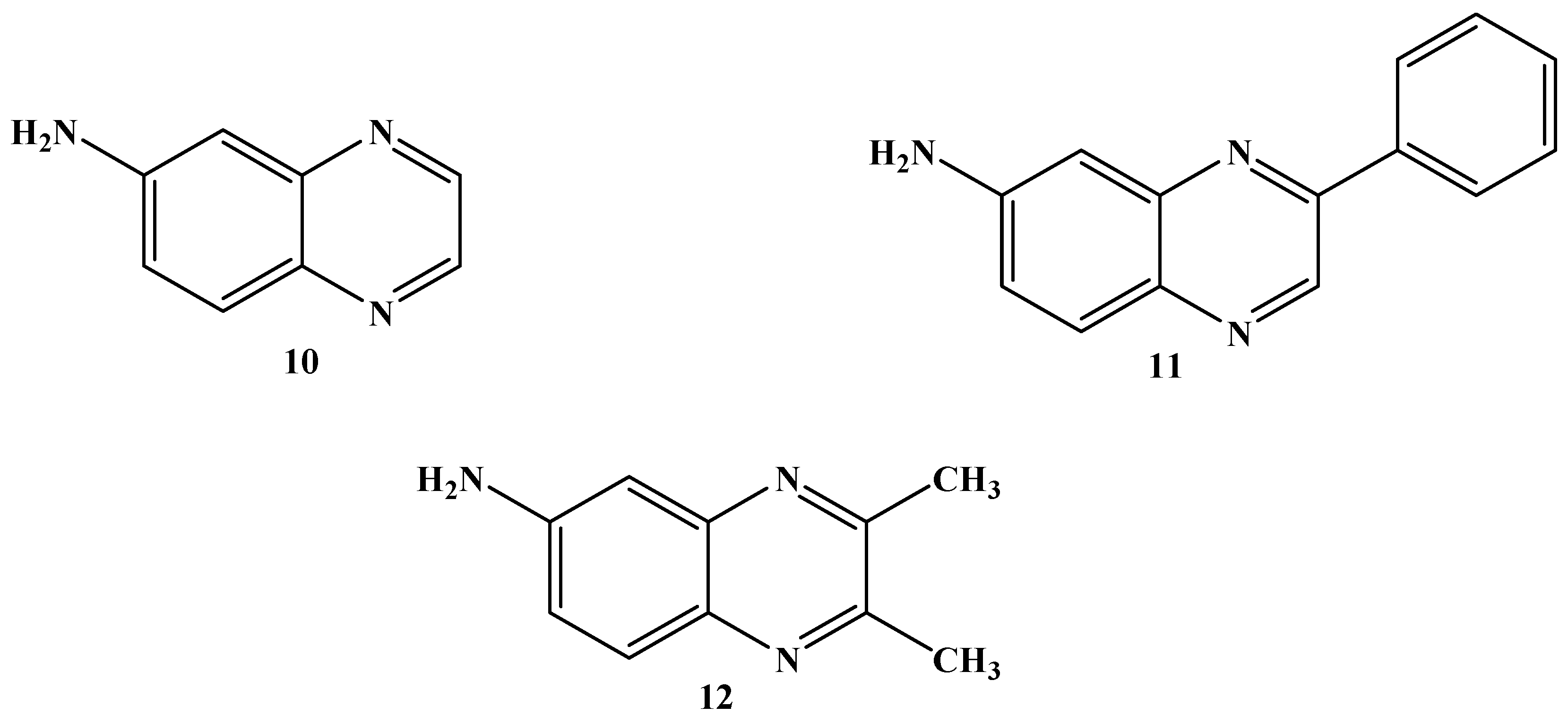
Paptawan Suwanhom et al., 2021 [42] designed and synthesized 12quinoxaline derivatives from o-phenylenediamine derivatives and glyoxal derivatives in ethanol as a solvent by adopting the liquid-assisted grinding (LAG) method. The expected compounds were procured in good yields (70–92%) via stannous (II) chloride reduction, and the 6-amino quinoxaline derivatives were synthesized from the corresponding 2-nitro quinoxalines. The structural confirmation was performed by IR, 1H NMR, 13C NMR, and HRMS studies and by Ellman’s approach using human recombinant acetylcholinesterase (HuAChE) and butyrylcholinesterase from equine serum (EqBChE); acetylcholinesterase inhibitory activity was evaluated for the synthesized compounds. All of the synthesized compounds exhibited potent inhibitory activity against acetylcholinesterase enzyme with IC50 values of 0.077 to 50.080 μM. Compared to tacrine (IC50 = 0.11 μM) and galantamine (IC50 = 0.59 μM), compound (12) 2,3-dimethylquinoxalin-6-amine (IC50 = 0.077 μM) had the highest AChE inhibitor activity in this series. However, some compounds exhibited potent butyrylcholinesterase inhibitory activity with IC50 values ranging from 14.91 to 60.95 μM. A molecular modeling study was performed using the Discovery Studio 2021 Client and Visual Molecular Dynamic (VMD) package (AutoDock Tools-1.5.6). The structure of compounds 10, 11, and 12 as shown in Figure 4, which showed inhibitory activity against AChE, were selected for investigation in detail through molecular docking studies. The docking studies predicted that these compounds bind to the PAS of HuAChE. This molecular docking study along with the enzyme kinetic study suggested that compound 12 was a mixed-type inhibitor that exhibited uncompetitive AChE inhibition.
Figure 4.
The structure of compounds 10, 11 & 12: Quinoxaline derivatives.
Siju Ellickal Narayanan et al., 2021 [43] aimed at designing and synthesizing various brominated derivatives of 7-hydroxy-4-methyl coumarin as a new scaffold (Scheme 5), which were evaluated for their anti-Alzheimer’s property by in vivo and in vitro models. The 7-hydroxy 4-methyl coumarin derivatives were synthesized and brominated with a group of three novel pyrazoles. Based on the docking score of the designed compounds, a single entity (13) was selected for the treatment of Alzheimer’s disease. Three new pyrazoles furnished with brominated 7-hydroxy-4-methyl-coumarin derivatives were designed by Argus lab 4.0.1 version, and the molecular docking studies revealed that compound 13 was able to bind simultaneously to the amino acid and to the acetylcholine esterase enzyme active sites. The structure of compound 13 was confirmed by spectral analysis, and by adopting in vivo and in vitro methods, the anti-Alzheimer’s activity was evaluated; the obtained results were compared statistically by one-way ANOVA by using GraphPad Prism. The compound resulted in a significant increase in the acetylcholine esterase level in acetylcholine esterase inhibition assay. The compound exhibited a promising antioxidant property based on the DPPH (2,2-diphenyl-1-picryl-hydrazylhydrate) method. Compared to the standard donepezil, the group pretreated with compound 13 exhibited a marked increase in memory and learning in and elevated plus maze model. Based on its promising antioxidant property and acetylcholine esterase inhibitory activity and MAO inhibitory activity, compound 13 can be marked as a new series among the designed pyrazoles furnished with brominated 7-hydroxyl-4-methyl coumarin derivatives.
Scheme 5.
Synthesis of brominated derivatives of 7-hydroxy-4-methyl coumarin with pyrazole.
Lukas Gorecki et al., 2021 [44] reported a series of 30 novel tacrine derivatives outlined for the evaluation of structure–activity relationships and studied the receptors using electrophysiology with HEK293 cells expressing the defined types of NMDARs. Compounds 14 and 15, which were selected, effectively inhibited both GluN1/GluN2A and GluN1/GluN2B receptors. The GluN1/GluN2B receptors were more effectively inhibited by compounds 16 and 17. The structure of potent AChE inhibitors are shown in Figure 5. At a concentration of 100 μM, GluN1/Glu2B were inhibited at −60 mV, expressed as the IC50 value, and there was relative inhibition of GluN1/Glu2A at +40 mV based on a QSAR study. The statistically significant model revealed by the QSAR study can be employed for a ligand-based virtual screening and to determine the potent molecule for inhibition of GluN1/Glu2A and/or GluN1/Glu2B subtypes. The tested compounds did not cause hyperlocomotion in an open field and also did not impair the prepulse inhibition of the startle response compared to MK-801 when in vivo experiments were carried out in rats but did show minimal induction of psychotomimetic side effects. Overall, it is confirmed that tacrine derivatives are encouraging as they are centrally available subtype-specific inhibitors of NMDARs without any complications.
Figure 5.
The structure of compounds 16 & 17: Tacrine derivatives.
Muhammad Mansha et al., 2021 [45] synthesized a series of 13 new fluoroquinolone derivatives and evaluated their AChE and BChE inhibitory activities. Through FT-IR, 1H, and 13C NMR, as well as elemental analysis, structural characterization was performed. Compound 18, 7-chloro-1-cyclopropyl-6-fluoro-N-(2-(2- fluorobenzamido)ethyl)-4-oxo-1,4-dihydroquinoline-3-carboxamide shown in Figure 6 showed the highest inhibitory activity (2.20 ± 0.10 mM) as it contained the fluoro substituent at the ortho position. The inhibitory activity against BChE was decreased slightly due to the positioning of the fluoro substituent to the para position. The activity was further decreased when the fluoro substituent was placed in the meta position. The SAR study was used to explore those compounds that contained electronegative functional groups such as F, Cl, OMe, N, and O at the ortho position of the phenyl group, which exhibited greater inhibitory activities as compared to their meta and/or para substituents. Molecular docking studies of the synthesized compounds revealed that some compounds docked into the active site of AChE, and few compounds with BChE showed p–p interactions along with conventional H bonding with the active residues of AChE through their electronegative functions and phenyl ring, respectively.
Figure 6.
The structure of compound 18: 7-chloro-1-cyclopropyl-6-fluoro-N-(2-(2- fluorobenzamido)ethyl)-4-oxo-1,4-dihydroquinoline-3-carboxamide.
Ghadah Aljohanie et al., 2021 [46], who used the Claisen–Schmidt condensation reaction, synthesized 12 novel chalcones by treating 2-alkyloxy-naphthaldehydes and mannich bases of 4-hydroxyacetophenone with a catalytic amount of SOCl2 in ethanol to obtain the chalcones with good yield. Structural confirmation was performed using spectroscopic analysis using FTIR, 1D and 2D NMR, and HRMS spectroscopy. Molecular docking was carried out to study the ligand interactions with the target to highlight its affinity. In addition to the docking functions, the computational biology study highlighted the structure–activity relationship (SAR) and pharmacokinetic properties (absorption, distribution, metabolism, excretion, and toxicity or ADMET) of the potential ligands. To screen their affinity towards the AChE enzyme (PDB 1EVE), comparative docking analysis was carried out. The synthesized chalcones exhibited lower binding energy (−13.06 to −10.43 kcal/mol) against AChE compared to donepezil (−10.52 kcal/mol). The study on SAR explored the introduction of diethyl amine in ring A of the structure of the chalcone skeleton, and the propargyl moiety of ring B is known to be a potential drug against AD. The complex nature of chalcone 19 shown in Figure 7 was proven to be advantageous, indicating an effective and promising drug against AChE.
Figure 7.
The structure of compound 19: Chalcone derivative.
3. Design and Synthesis of New AChE Inhibitors during 2022
In a study conducted by Zaizafoon Nabeel et al., 2022 [47], novel benzo[f]coumarin derivatives with a pyrimidine unit were synthesized successfully as represented in Scheme 6. In the alkaline medium, the benzo[f]coumarin chalcone was prepared by condensing 3-acetyl-5,6-benzocoumarin and 4-hydroxybenzaldehyde Via Claisen–Schmidt condensation. By the cycloaddition of chalcone with urea, thiourea, and guanidine HCl and in the presence of glacial acetic acid, various pyrimidines were synthesized. Through spectral and elemental analyses, the structures of the newly synthesized compounds were characterized. To assess the potential of the synthesized compounds as AChE inhibitors, an in silico study was carried out using molecular docking simulation. Discovery Studio Visualizer was employed to determine the foremost binding mode with the receptor and obtain 3D interaction poses. The docking simulations of the compounds exhibited greater electrostatic interactions (van der Waals, π-π stacking, and H bonds) with lower docking energies (−17.4, 13.6, and −11.3 kcal/mol) compared to the docking score of the standard donepezil (−10.6 kcal/mol). Compound 3 demonstrated four H-bond interactions with key amino acid residues, including Ser235, Asn230, Pro232, and His398. Other electrostatic interactions were observed between derivatives 20 and 21 and residues Cys402, Trp524, and Ala234, indicating similar binding interactions with the active pockets of the AChE enzyme. Furthermore, the compounds were screened for their AChE inhibitory activity using Ellman’s method, with donepezil as the standard. The Ellman’s assay results disclosed that derivatives 21 and 22 had AChE inhibitory activity and revealed higher inhibition percentages at the concentrations of 10–4 and 10–10 M while a lower inhibition percentage was obtained at 10–12.
Scheme 6.
Synthesis of novel benzo[f]coumarin derivatives bearing substituted pyrimidine.
A series of novel sunifiram–carbamate and sunifiram–anthranilamide hybrids were designed and synthesized by Khalid A. Agha et al., 2022 [48] and evaluated for cholinergic activity. The authors concluded that introducing carbamate to the skeleton of synthesized targets resulted in good AChE inhibitory activity. Novel sunifiram analogs that are able to modulate N-methyl-D-aspartate Receptors (NMDARs) and are equipped with the structural features that enable them to inhibit acetylcholinesterase enzyme were constructed. A carbamate moiety as well as 2- or 4-aminophenyl and 3-pyridyl moieties aided the AChEI activity of the targets. The most potent AChE inhibitory activity with an IC50 value of 18 ± 0.2 nM was exhibited by the target compound: the sunifiram–carbamate hybrid 23. Such ability of compound 23 (Figure 8) along with its favorable log p value (2.36), its ability to induce ACh release from A549 cells, and its in vivo ability to lower AChE activity in the rat brain makes it worthy of further investigation as a promising nootropic agent. Compared to sunifiram (−4.5 kcal/mol) and the anthranilamide hybrid (−4.5 kcal/mol), it exhibited a molecular docking score −1.7 kcal/mol when docked to the glycine-binding pocket of the NMDA receptor.
Figure 8.
The structure of compound 23: sunifiram carbamate hybrid.
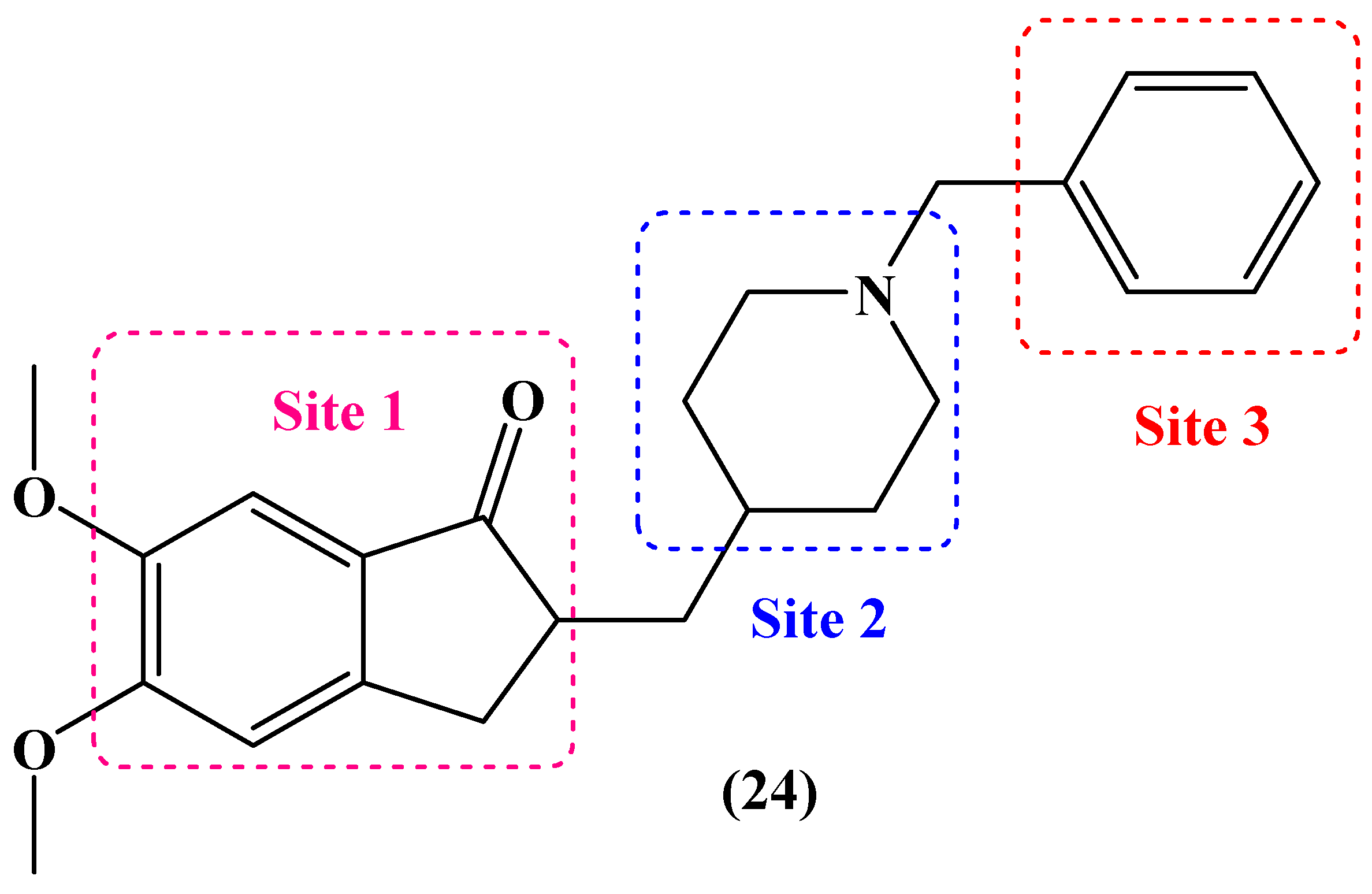
Makar Makarian et al., 2022 [49] planned and synthesized a series of 12 donepezil-based analogs with moderate yield by adopting an environmentally friendly route, i.e., by employing microwave irradiation, and the structural purity of the synthesized compounds was confirmed by spectral analysis. With donepezil as a standard, the synthesized compounds were tested against electric eel AChE enzyme using Ellman’s spectrophotometric method for their inhibitory activity. The SAR study of compound 24 as mentioned in Figure 9 showed that through aromatic π- π stacking interactions, an indanone moiety (Site 1) bound to the peripheral anionic site (PAS) of enzyme AChE, and the piperidine ring (Site 2) exhibited an interaction with the anionic part of the catalytic active site, i.e., with the amino acid tyrosine (Y337). The benzyl moiety of donepezil (Site 3) was in close proximity to tryptophan (W86), and two amino acids, H447 and S203, were both part of the catalytic triad. It was clear from the SAR study that alteration at site 3 could lead to the development of potent AChE inhibition, that is, the replacement of the benzyl moiety at site 3 with the pyridine ring could be a potent inhibitor of electric eel AChE.
Figure 9.
The structure of compound 24. Donepezil-based analog.
Ana Matosevic et al., 2022 [50] designed and synthesized 18 biscarbamate compounds with various substituents in the carbamoyl and hydroxyaminoethyl chain, and their inhibitory potential and inhibition selectivity were determined toward both cholinesterases. Confirmation of the structure of the compounds was performed through NMR and HRMS spectra. For all of the synthesized compounds, the potential of biscarbamates to reduce the activity of human BChE and AChE was examined. The synthesized compounds inhibited BChE, which proves these compounds are fast or very fast BChE inhibitors with ki constants in the range of (0.0144–38.0)106 M−1 min−1. The molecule with piperidine in the carbamoyl and hydroxyaminoethyl chain was confirmed to be compound 25, which exhibited the fastest inhibition, being an almost 10 times faster inhibitor than bambuterol. But the compounds 25 and 26 as depicted in Figure 10 that inhibited BChE 1288 and 1087 times faster than AChE were the most selective. Ultimately, the study revealed that on the benzene ring, biscarbamates with a meta disposition of carbamate groups could be a favorable core base for the design of new AD drugs. Compared to the standard drug rivastigmine, compound 26 actively inhibited BChE and is supposed to be non-toxic and be able to pass the BBB and have the capacity to chelate biometals. Finally, a study singled out compounds 25 and 26 as the most promising for the treatment of AD.
Figure 10.
The structure of compounds 25 & 26. Biscarbamates derivatives.
Radhika Kachhadiya et al., 2022 [51] designed and synthesized novel quinazolinone derivatives, and the synthesized compounds were screened for their purity and structural characterization by spectral studies to act as potent anti-Alzheimer’s agents. In silico docking studies were performed employing Autodock 4.2 for the synthesized compounds 27–29 to observe the binding interactions compared to the standard donepezil. As compared to the standard donepezil, the binding pocket of the AChE compounds 27–29 exhibited no less than one hydrogen bond interaction with Phe A:295. Docking studies showed that compounds 30–32 exhibited two hydrogen bonding interactions with Tyr A:124 and Phe A:295. The compounds were subjected to ADMET studies, and by using Swiss ADME and pk CSM software, physicochemical properties were also predicted. Compounds 27–32 as shown in Figure 11 exhibited better pharmacokinetic profiles and are known to exhibit cholinesterase inhibitory activity against Alzheimer’s disease. The synthesized novel quinazolinone derivatives are known to exhibit good BBB and CNS permeation, a low volume of distribution, and no negative effect on renal clearance.
Figure 11.
The structure of compounds 27 to 32: Quinazolinone derivatives.
Xinnan Li et al., 2022 [52] designed and synthesized by fusing natural (±)-7,8-dihydroxy-3-methyl-isochroman-4-one pharmacophore with donepazil to achievea series of novel isochroman-4-one derivatives as given in Scheme 7, and their anticholinesterase potential against Alzheimer’s disease was evaluated. Compound 33 [(Z)-3-acetyl-1-benzyl-4-((6,7-dimethoxy-4-oxoisochroman-3-ylidene)methyl) pyridin-1-ium bromide] had average antioxidant activity and showed potent acetylcholinesterase (AChE) inhibitory activity as well. Molecular modeling and kinetic investigations demonstrated that compound 33 exhibited a dual binding inhibitory property and bound to both CAS and PAS of the enzyme AChE. In silico screening revealed that compound 33 could across the blood–brain barrier with high penetration. In addition, low cytotoxicity and moderate anti-Aβ aggregation efficacy were exhibited by the compound. Finally, the study revealed that compound 33 from a natural product exhibited a promising lead toward the development of a potent AChE inhibitory molecule in the treatment of AD.
Scheme 7.
Synthesis of [(Z)-3-acetyl-1-benzyl-4-((6,7-dimethoxy-4-oxoisochroman-3-ylidene)methyl) pyridin-1-ium bromide].
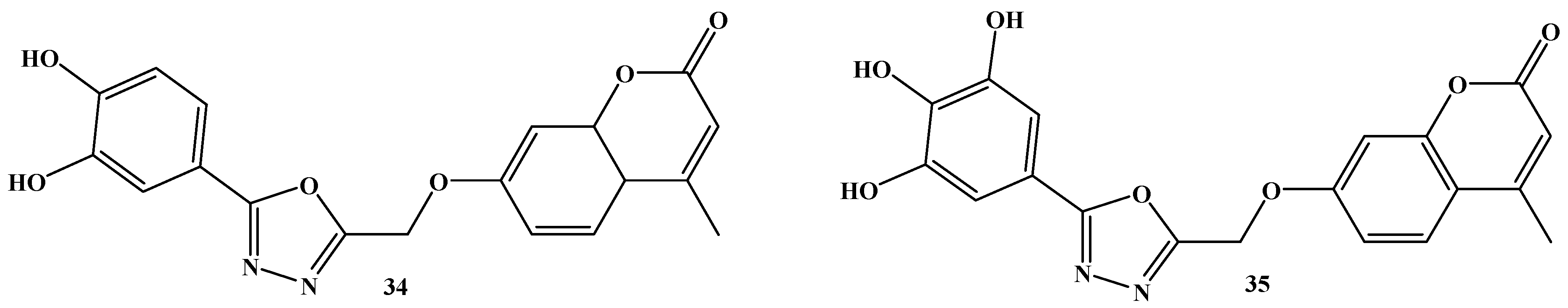
Namy George et al., 2022 [53] designed and synthesized coumarin-linked 1,3,4-oxadiazole hybrid derivatives(as multi-target directed ligands (MTDLs)). The synthesized compounds were investigated for their in vitro AChE, BuChE inhibitory activity, antioxidant activity, and cyclooxygenase (COX) activity using standard spectrophotometric methods. Their chemical structures were characterized using analytical data. With the help of online cheminformatics software, the binding mode of the synthesized compounds with AChE and BuChE in addition to the pharmacokinetic profile was predicted by molecular docking studies. Compounds 34 and 35 as mentioned in Figure 12 (were found to be the most potent AChE inhibitors (IC50 values = 29.56 and 28.68 µM) among the tested compounds for anticholinesterase activity. Compared to the standard galantamine (SI = 1.132), compounds 34 and 35 also showed a higher selectivity index (SI) of 1.652 and 1.552. From molecular docking studies, it is clear that compounds 34 and 35 bound well to AChE (binding energy scores of 9.7 and 10.1 Kcal/Mol) and were identified to be the two most potent AChE inhibitors through in vitro assay. The in vitro antioxidant and anti-inflammatory activity studies revealed that the synthesized hybrid molecules also exhibited good-to-excellent results. Based on the in vitro study and molecular docking study, coumarin oxadiazole hybrids act as MTDLs and are a promising source of anti-AD drugs; coumarin oxadiazole hybrids can lead to the development of highly potent therapeutics for the treatment of AD.
Figure 12.
The structure of compounds 34 & 35: Coumarin-linked 1,3,4-oxadiazole hybrid derivatives.
Evangelia-Eirini N. Vlachou et al., 2022 [54] synthesized bis-fused pyridopyranocoumarins by using gold nanoparticles supported on TiO2 employing microwave irradiation through the triple bond activation of propargylaminopropargyloxy coumarins or propargylamino-fused pyranocoumarins. Via the propargylation of 6-amino-7-hydroxycoumarins or 6-amino-4-hydroxycoumarin, the new propargyl aminopropargyloxycoumarin, an intermediate, was synthesized. High anti-lipid peroxidation activities were presented by compound 36 whereas compound 37 is a new and promising class with antioxidant and anti-AChE activities. Compound 36 can be used as a lead multifunctional molecule as it combines antilipid peroxidation with interesting anti-AChE activity. Compound 37 is a new anti-AChE lead. Compounds 36 and 37 fully obeyed Lipinski’s rule of five and structure of these compounds depicted in Figure 13.
Figure 13.
The structure of compounds 36 & 37: Bis-fused pyridopyranocoumarins derivatives.
Ibadulla Mahmudov et al., 2022 [55], by adapting new methods, synthesized six N-allyl and N-benzyl aniline derivatives. For the alkylation reaction, allyl bromide and benzyl chloride were taken as starting material, and halide was the ion scavenger. Triethylamine was made use of under the reflux condition of N,N-dimethyl acetamide (DMA). The synthesized compound N-benzyl and N-allyl aniline derivatives were screened for their inhibitory activity against AChE and carbonic anhydrases (hCAs). The compound N-benzyl and N-Allyl aniline derivatives exhibited good inhibitory activity against AChE with IC50 values of 489.98 nM and Ki values of 424.69 ± 98.56 nM. Among the synthesized compounds, N-benzyl-4-chloroaniline (38, Figure 14) showed a good inhibitory effect on AChE. In order to support the experimental in vitro studies for both hCAs and AChE inhibitors, in silico molecular docking computations were performed with the Autodock Vina program, and there was a good correlation with the experimental results.
Figure 14.
The structure of compound 38: N-benzyl-4-chloroaniline.
Abduljelil Ajala et al., 2022 [56] made use of structure-based drug design techniques to create 15 hydrazone derivatives used to evaluate their acetylcholinesterase inhibitor potency to treat Alzheimer’s disease. The protein target (code ID 4EY7) was selected on the basis of an extensive literature survey. Based on the obtained protein code after analysis, a protein target was drawn to interact with the 15 hydrazone derivatives containing piperazine 39 as shown in Figure 15 (compounds with a higher binding energy). Critical guidance offered on the basis of their stronger interactions, higher binding scores, enhanced drug-like properties, and drug kinetic parameters allowed the synthesis of novel potent hydrazone derivatives, and a protein target was designed to interact with these compounds of interest. The molecular docking studies revealed the important active site residues involved in the binding interactions of the most potent compound 39 with the 4EY7 receptor, scoring 27.23 kcal/mol. The studies revealed that the potent compound can be used to create promising pharmacotherapeutic compounds in treating AD.
Figure 15.
The structure of compound 39: Hydrazone derivative containing piperazine.
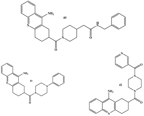
Bhushanarao Dogga et al., 2022 [57] designed, synthesized, and evaluated a series of 11 analogs of tacrine-2-amide for anti-AD. Out of 11 analogs, compounds 40, 41, and 42 (Figure 16) showed good activity at concentrations of 23.66 nM, 20 nM, and 24.33 nM, respectively, whereas, the other eight derivatives showed moderate activity at less than 100 nM. In silico study revealed that these 11 analogs can strongly bind to both the CAS and PAS of an enzyme. Docking studies clearly revealed that compound 40 showed good affinity toward AChE with a binding energy of 24.03 kcal/mol and had a glide score of 10.38 kcal/mol. Also, compound 40 exhibited π-π stacking with Trp86 and showed an interaction with Tyr341. Similarly, compound 41 had a glide score of −11.22 kcal/mol and a binding energy of −30.88 kcal/mol, which was contributed by pi–pi stacking interaction with Trp86 and a hydrogen bond with the amino group of tacrine with His447.
Figure 16.
The structure of compound 40, 41 & 42: tacrine-2-amide derivatives.
4. Conclusions
In conclusion, the most effective strategy for the enhancement of ACh would be an effective method to compensate for the deficiency of acetylcholine, focusing on enhancing cholinergic neurotransmission. For the effective treatment of Alzheimer’s disease, cholinesterase inhibitors are the only pharmacological agents that proved to be applicable. The first and foremost enzyme responsible for the breakdown of ACh in the nervous system is AChE; the activity of AChEIs is characterized by the inhibition of AChE. This inhibition of AChE prolongs the action of the insufficient neurotransmitter in the brain. For the symptomatic treatment of AD, AChEIs were the first drugs licensed, and three compounds associated with this therapeutic class, i.e., donepezil (Aricept), rivastigmine (Exelon), and galantamine (Razadyne), are currently in clinical use in many countries worldwide. However, vomiting, nausea, diarrhea, bradycardia, abnormal dreams, and fatigue are a few of the severe side effects of these FDA-approved drugs that are associated with AD. As a consequence of AD’s complexes, there is an urgent need to develop effective therapeutic agents with minimal side effects to effectively combat AD. Due to its hepatotoxicity, tacrine (the fourth AChE inhibitor) is no longer in use. For the therapy of adult-onset dementia disorders, the combination with other classes of drugs may be an opportunity for a renewed interest in AChEIs. Other approaches along with the AChEIs in combination with other classes of drugs are cholinergic precursors, N-methyl-d-aspartate (NMDA) receptor antagonists, and antioxidant agents.
In the past few decades, many AChEIs have been tested in clinical trials for the treatment of AD. In limiting the progression of cognitive impairment, a few of them have been successful in terms of showing a beneficial effect on daily living activities in AD patients. However, none of the experimental AChEI compounds reported superior efficacy and lesser complexity than those currently available for the treatment of AD, thus discouraging advanced research in the field.
In this review, we discussed the design, synthesis, biological activity, and molecular docking studies on acetylcholinesterase inhibitors. To act as a potent anti-Alzheimer’s agent, the criteria for a novel molecule should be clearly understood from an extensive literature survey, and a molecule should be designed followed by its synthesis. The synthesized compounds should be confirmed by subjecting them to spectral studies, such as IR, MASS, and NMR spectroscopic methods, and then characterized. Compared to standard drugs, the potency of the synthesized compound in inhibiting the enzyme acetylcholinesterase should be cleared. SAR studies and in silico docking studies are to be carried out to determine the binding mode and its interactions with the synthesized compounds.
In this study, 30 novel tacrine derivatives, 12 novel chalcones, 12quinoxaline derivatives, a new series of 13fluoroquinolone derivatives, 6N-allyl and N-benzyl aniline derivatives, a series of tacrine-2-amide derivatives, and novel benzo[f]coumarin derivatives bearing the pyrimidine unit were successfully outlined and synthesized. Along with these various brominated derivatives of 7-hydroxy coumarin as a new scaffold, 25synthesized hits based on a spirooxindole scaffold engrafted with two other pharmacophores, including indole and pyrazole moieties, were designed, synthesized, and evaluated for their anti-AD activity. Through the triple bond activation of propargylaminopropargyloxycoumarins or propargylamino-fused pyranocoumarins, bis-fused pyridopyranocoumarins were synthesized in excellent yield by gold nanoparticles supported on TiO2 under microwave irradiation. Coumarin-connected 1,3,4-oxadiazole hybrid derivatives were also designed and synthesized (as multi-target directed ligands (MTDLs). All of the synthesized molecules exhibited good results as novel molecules. These discoveries led to the development of potential molecules as anti-Alzheimer agents with the involvement of available drugs and active compounds such as acetylcholinesterase inhibitors. It can be concluded that many more novel potential molecules with good inhibitory potency and lesser side effects are yet to be discovered in the upcoming years. A computational perspective can be valuable in the design of compounds with better pharmacological profiles combined with the structural information available for inhibitors with diverse chemical complexity.
Author Contributions
S.L.M.: conceptualization, methodology. writing—review draft. B.P.N.: Validation, conceptualization, and supervision. M.S.K.: visualization, investigation, writing—review, editing, and supervision. All authors have read and agreed to the published version of the manuscript.
Funding
This research received no external funding.
Conflicts of Interest
The authors declare no conflict of interest.
Abbreviations
| AD | Alzheimer’s disease |
| Ach | Acetylcholine |
| AChE | Acetylcholinesterase |
| AChEIs | Acetylcholinesterase Inhibitors |
| Ab | b-amyloid peptide |
| BChE | Butylcholinesterase |
| BACE | β-secretase-1 |
| CNS | Central Nervous System |
| ChAT | Choline O-acetyltransferase |
| CAS | Catalytic active site |
| COX | cyclooxygenase |
| PAS | peripheral anionic site |
| SAR | Structure–activity relationships |
| TcAChE | Torpedo californica AChE |
| MAO | Monoamine Oxidase |
| BBB | Blood–Brain Barrier |
| NMDARs | N-methyl-D-aspartate Receptor |
| DMF | Dimethyl formamide |
| DPPH | α-diphenyl-β-picrylhydrazyl |
References
- Brufani, M.; Marta, M.; Pomponi, M. Anticholinesterase activity of a new carbamate, heptylphysostigmine, in view of its use in patients with Alzheimer type dementia. Eur. J. Biochem. 1986, 157, 115–120. [Google Scholar] [CrossRef]
- Seshadri, S.; Wolf, P.A.; Beiser, A.; Au, R.; McNulty, K.; White, R.; D’Agostino, R.B. Lifetime risk of dementia and Alzheimer’s disease: The impact of mortality on risk estimates in the Framingham Study. Neurology 1997, 49, 1498–1504. [Google Scholar] [CrossRef] [PubMed]
- Alzheimer’s Association. 2021 Alzheimer’s disease facts and figures. Alzheimer’s Dement. 2021, 17, 321–387. [Google Scholar]
- World Health Organization. Neurological Disorders: Public Health Challenges; WHO Library Cataloguing-in-Publication Data: Geneva, Switzerland, 2021. [Google Scholar]
- Prince, M.; Wimo, A.; Guerchet, M.; Ali, G.C.; Wu, Y.T.; Prina, M. World Alzheimer Report 2015: The global impact of dementia: An analysis of prevalence, incidence, cost and trends. Alzheimer’s Dis. Int. 2015, 17, 2016. [Google Scholar]
- De Jager, C.A.; Msemburi, W.; Pepper, K.; Combrinck, M.I. Dementia prevalence in a rural region of South Africa: A cross sectional community study. J. Alzheimer’s Dis. 2017, 60, 1087–1096. [Google Scholar] [CrossRef]
- Alzheimer’s Association. Alzheimer’s Disease Facts and Figures. Alzheimer’s Dement. 2020, 16, 391–460. [Google Scholar] [CrossRef]
- Maresova, P.; Mohelska, H.; Dolejs, J.; Kuca, K. Socioeconomic aspects of Alzheimer’s disease. Curr. Alzheimer Res. 2015, 12, 903–911. [Google Scholar] [CrossRef]
- Winblad, B.; Amouyel, P.; Andrieu, S.; Ballard, C.; Brayne, C.; Brodaty, H.; Cedazo-Minguez, A.; Dubois, B.; Edvardsson, D.; Feldman, H.; et al. Defeating Alzheimer’s disease and other dementias: A priority for European science and society. Lancet Neurol. 2016, 15, 455–532. [Google Scholar] [CrossRef] [PubMed]
- Maresova, P.; Dolejs, J.; Mohelska, H.; Bryan, L.K. Cost of treatment and care for people with Alzheimer’s disease: A meta-analysis. Curr. Alzheimer Res. 2019, 16, 1245–1253. [Google Scholar] [CrossRef]
- Bondi, M.W.; Edmonds, E.C.; Salmon, D.P. Alzheimer’s disease: Past, present, and future. J. Int. Neuropsychol. Soc. JINS 2017, 23, 818–831. [Google Scholar] [CrossRef]
- Loh, Z.H.; Kwong, H.C.; Lam, K.W.; Teh, S.S.; Ee, G.C.L.; Quah, C.K.; Ho, A.S.H.; Mah, S.H. New 3-O-substituted xanthone derivatives as promising acetylcholinesterase inhibitors. J. Enzym. Inhib. Med. Chem. 2021, 36, 627–639. [Google Scholar] [CrossRef]
- Adeowo, F.Y.; Elrashedy, A.A.; Ejalonibu, M.A.; Lawal, I.A.; Lawal, M.M.; Kumalo, H.M. Pharmacophore mapping of the crucial mediators of acetylcholinesterase and butyrylcholinesterase dual inhibition in Alzheimer’s disease. Mol. Divers. 2022. [Google Scholar] [CrossRef] [PubMed]
- Burns, A.; Jacoby, R.; Levy, R. Psychiatric phenomena in Alzheimer’s disease. Br. J. Psychiatry 1990, 157, 72–94. [Google Scholar] [CrossRef] [PubMed]
- Snowdon, D.A.; Greiner, L.H.; Mortimer, J.A.; Riley, K.P.; Greiner, P.A.; Markesbery, W.R. Brain infarction and the clinical expression of Alzheimer disease. Nun Study JAMA 1997, 277, 813–817. [Google Scholar] [CrossRef] [PubMed]
- Catania, M.; Giaccone, G.; Salmona, M.; Tagaliavini, F.; Di Fede, G. Dreaming of a new world where Alzheimer‘s is a treatable disorder. Front. Aging Neurosci. 2019, 11, 317. [Google Scholar] [CrossRef]
- Schumacher, M.; Camp, S.; Maulet, Y.; Newton, M.; MacPhee-Quigley, K.; Taylor, S.S.; Friedmann, T.; Taylor, P. Primary structure of Torpedo californica acetylcholinesterase deduced from its cDNA sequence. Nature 1986, 319, 407–409. [Google Scholar] [CrossRef]
- Walczak-Nowicka, Ł.J.; Herbet, M. Acetylcholinesterase Inhibitors in the Treatment of Neurodegenerative Diseases and the Role of Acetylcholinesterase in Their Pathogenesis. Int. J. Mol. Sci. 2021, 22, 9290. [Google Scholar] [CrossRef]
- dos Santos, T.C.; Gomes, T.M.; Serra Pinto, B.A.; Camara, A.L.; de Andrade Paes, A.M. Naturally occurring acetylcholinesteraseinhibitors and their potential use for Alzheimer’s disease therapy. Front. Pharmacol. 2018, 9, 1192. [Google Scholar] [CrossRef]
- Millard, C.B.; Koellner, G.; Ordentlich, A.; Shafferman, A.; Silman, I.; Sussman, J.L. Reaction products of acetylcholinesterase and VX reveal a mobile histidine in the catalytic triad. J. Am. Chem. Soc. 1999, 121, 9883. [Google Scholar] [CrossRef]
- Kryger, G.; Harel, M.; Giles, K.; Toker, L.; Velan, B.; Lazar, A.; Kronman, C.; Barak, D.; Ariel, N.; Shafferman, A.; et al. Structures of recombinant native and E202Q mutant human acetylcholinesterase complexed with the snake-venom toxin fasciculin-II. Acta Cryst. 2000, D56, 1385. [Google Scholar] [CrossRef]
- Ma, J.C.; Dougherty, D.A. The Cation−π Interaction. Chem. Rev. 1997, 97, 1303–1324. [Google Scholar] [CrossRef]
- Cubero, E.; Luque, F.J.; Orozco, M. Is polarization important in cation-π interactions? Proc. Natl. Acad. Sci. USA 1998, 95, 5976–5980. [Google Scholar] [CrossRef] [PubMed]
- Gallivan, J.P.; Dougherty, D.A. Cation-π interactions in structural biology. Proc. Natl. Acad. Sci. USA 1999, 96, 9459–9464. [Google Scholar] [CrossRef] [PubMed]
- Szegletes, T.; Mallender, W.D.; Thomas, P.J.; Rosenberry, T.L. Substrate Binding to the Peripheral Site of Acetylcholinesterase Initiates Enzymatic Catalysis. Substrate Inhibition Arises as a Secondary Effect. Biochemistry 1999, 38, 122–133. [Google Scholar] [CrossRef] [PubMed]
- Van Belle, D.; De Maria, L.; Iurcu, G.; Wodak, S.J. Pathways of ligand clearance in acetylcholinesterase by multiple copy sampling. J. Mol. Biol. 2000, 298, 705. [Google Scholar] [CrossRef]
- Vyas, N.A.; Singh, S.B.; Kumbhar, A.S.; Ranade, D.S.; Walke, G.R.; Kulkarni, P.P.; Jani, V.; Sonavane, U.B.; Joshi, R.R.; Rapole, S. Acetylcholinesterase and Aβ aggregation inhibition by heterometallic ruthenium(II)-platinum(II) polypyridyl complexes. Inorg. Chem. 2018, 57, 7524–7535. [Google Scholar] [CrossRef]
- Francis, P.T.; Palmer, A.M.; Snape, M.; Wilcock, G.K. The cholinergic hypothesis of Alzheimer’s disease: A review of progress. J. Neurol. Neurosurg. Psychiatry 1999, 66, 137–147. [Google Scholar] [CrossRef]
- Massoulié, J.; Pezzementi, L.; Bon, S.; Krejci, E.; Vallette, F.M. Molecular and cellular biology of cholinesterases. Prog. Neurobiol. 1993, 41, 31–91. [Google Scholar] [CrossRef]
- Katz, N.K.; Barohn, R.J. The history of acetylcholinesterase inhibitors in the treatment of myastheniagravis. Neuropharmacology 2021, 182, 108303. [Google Scholar] [CrossRef]
- Pepeu, G.; Giovannini, M.G. Cholinesterase inhibitors and beyond. Curr. Alzheimer Res. 2009, 6, 86–96. [Google Scholar] [CrossRef]
- Cheung, J.; Rudolph, M.J.; Burshteyn, F.; Cassidy, M.S.; Gary, E.N.; Love, J.; Franklin, M.C.; Height, J.J. Structures of human acetylcholinesterase in complex with pharmacologically important ligands. J. Med. Chem. 2012, 55, 10282–10286. [Google Scholar] [CrossRef]
- Andersson, C.D.; Forsgren, N.; Akfur, C.; Allgardsson, A.; Berg, L.; Engdahl, C.; Qian, W.; Ekstrom, F.; Linusson, A. Divergent structure-activity relationships of structurally similar acetylcholinesterase inhibitors. J. Med. Chem. 2013, 56, 7615–7624. [Google Scholar] [CrossRef]
- Budryn, G.; Majak, I.; Grzelczyk, J.; Szwajgier, D.; Rodríguez-Martínez, A.; Pérez-Sánchez, H. Hydroxybenzoic Acids as Acetylcholinesterase Inhibitors: Calorimetric and Docking Simulation Studies. Nutrients 2022, 14, 2476. [Google Scholar] [CrossRef] [PubMed]
- Herrmann, N.; Chau, S.A.; Kircanski, I.; Lanctot, K.L. Current and emerging drug treatment options for Alzheimer’s disease. Drugs 2011, 71, 2031–2065. [Google Scholar] [CrossRef] [PubMed]
- Mohamed, T.; Rao, P.P.N. 2, 4-Disubstituted quinazolines as amyloid- aggregation inhibitors with dual cholinesterase inhibition and antioxidant properties: Development and structure-activity relationship (SAR) studies. Eur. J. Med. Chem. 2017, 126, 823–843. [Google Scholar] [CrossRef]
- Petrat, W.; Wattanapiromsakul, C.; Nualnoi, T.; Sabri, N.H.; Lee VS, L.; Lomlim, L. Cholinesterase Inhibitory Activity, Kinetic and Molecular Docking Studies of N-(1-substituted-1H-1, 2, 3-triazole-4-yl)-aralkylamide Derivatives. Walailak J. Sci. Tech. 2017, 14, 687–701. [Google Scholar]
- Zarei, S.; Shafiei, M.; Firouzi, M.; Firoozpour, L.; Divsalar, K.; Asadipour, A.; Akbarzadeh, T.; Foroumadi, A. Design, synthesis and biological assessment of new 1-benzyl-4-((4-oxoquinazolin-3(4H)-yl)methyl) pyridin-1-ium derivatives (BOPs) as potential dual inhibitors of acetylcholinesterase and butyrylcholinesterase. Heliyon 2021, 7, e06683. [Google Scholar] [CrossRef] [PubMed]
- Islam, M.S.; Al-Majid, A.M.; Azam, M.; Verma, V.P.; Barakat, A.; Haukka, M.; Elgazar, A.A.; Mira, A.; Badria, F.A. Construction of Spirooxindole Analogues Engrafted with Indole and Pyrazole Scaffolds as Acetylcholinesterase Inhibitors. ACS Omega 2021, 6, 31539–31556. [Google Scholar] [CrossRef]
- Islam, M.S.; Al-Majid, A.M.; Azam, M.; Verma, V.P.; Barakat, A.; Haukka, M.; Domingo, L.R.; Elgazar, A.A.; Mira, A.; Badria, F.A. Synthesis of Spirooxindole Analogs Tethered Pyrazole Scaffold as Acetylcholinesterase Inhibitors. ChemistrySelect 2021, 6, 14039–14053. [Google Scholar] [CrossRef]
- Islam, M.S.; Al-Majid, A.M.; Sholkamy, E.N.; Yousuf, S.; Ayaz, M.; Nawaz, A.; Wadood, A.; Rehman, A.U.; Verma, V.P.; Rahman, A.F.M.M.; et al. Synthesis of Spiro-oxindole Analogs Engrafted Pyrazole Scaffold as Potential Alzheimer’s Disease Therapeutics: Anti-oxidant, Enzyme Inhibitory and Molecular Docking Approaches. ChemistrySelect 2022, 7, e202203047. [Google Scholar] [CrossRef]
- Suwanhom, P.; Saetang, J.; Khongkow, P.; Nualnoi, T.; Tipmanee, V.; Lomlim, L. Synthesis, Biological Evaluation, and In Silico Studies of New Acetylcholinesterase Inhibitors Based on Quinoxaline Scaffold. Molecules 2021, 26, 4895. [Google Scholar] [CrossRef] [PubMed]
- Narayanan, S.E.; Narayanan, H.; Mukundan, M.; Balan, S.; Vishnupriya, C.P.; Gopinathan, A.; Rajamma, R.G.; Marathakam, A. Design, synthesis and biological evaluation of substituted pyrazoles endowed with brominated 4-methyl 7-hydroxy coumarin as new scaffolds against Alzheimer’s disease. Future J. Pharm. Sci. 2021, 7, 161. [Google Scholar] [CrossRef]
- Gorecki, L.; Misiachna, A.; Damborsky, J.; Dolezal, R.; Korabecny, J.; Cejkova, L.; Hakenova, K.; Chvojkova, M.; Karasova, J.Z.; Prchal, L.; et al. Structure-activity relationships of dually-acting acetylcholinesterase inhibitors derived from tacrine on N-methyl-D-Aspartate receptor. Eur. J. Med. Chem. 2021, 219, 113434. [Google Scholar] [CrossRef] [PubMed]
- Mansha, M.; Taha, M.; Anouar, E.H.; Ullah, N. The design of fluoroquinolone-based cholinesterase inhibitors: Synthesis, biological evaluation and in silico docking studies. Arab. J. Chem. 2021, 14, 103211. [Google Scholar] [CrossRef]
- Aljohani, G.; Ali, A.A.-S.; Alraqa, S.Y.; Amran, S.I.; Basar, N. Synthesis, molecular docking and biochemical analysis of aminoalkylated naphthalene-based chalcones as acetylcholinesterase inhibitors. J. Taibah Univ. Sci. 2021, 15, 781–797. [Google Scholar] [CrossRef]
- Nabeel, Z.; Jaber, Q.A.-H.; Abdul-Rida, N.A. Novel Benzo[f]coumarin Derivatives as Probable Acetylcholinesterase Inhibitors: Synthesis, In Vitro, and In Silico Studies for Evaluation of Their Anti-AChE Activity. Indones. J. Chem. 2022, 22, 35–46. [Google Scholar] [CrossRef]
- Agha, K.A.; Abo-Dya, N.E.; Issahaku, A.R.; Agoni, C.; Soliman, M.E.S.; Abdel-Aal, E.H.; Abdel-Samii, Z.K.; Ibrahim, T.S. Novel Sunifiram-carbamate hybrids as potential dual acetylcholinesterase inhibitor and NMDAR coagonist: Simulation-guided analogue design and pharmacological screening. J. Enzym. Inhib. Med. Chem. 2022, 37, 1241–1256. [Google Scholar] [CrossRef]
- Makarian, M.; Gonzalez, M.; Salvador, S.M.; Lorzadeh, S.; Hudson, P.K.; Pecic, S. Synthesis, kinetic evaluation and molecular docking studies of donepezil-based acetylcholinesterase inhibitors. J. Mol. Struct. 2022, 1247, 131425. [Google Scholar] [CrossRef]
- Matošević, A.; Knežević, A.; Zandona, A.; Maraković, N.; Kovarik, Z.; Bosak, A. Design, Synthesis and Biological Evaluation of Biscarbamates as Potential Selective Butyrylcholinesterase Inhibitors for the Treatment of Alzheimer’s Disease. Pharmaceuticals 2022, 15, 1220. [Google Scholar] [CrossRef]
- Kachhadiya, R.; Prajapati, D.; Patel, K.; Prajapati, N. Synthesis and Virtual Screening of Some Novel Quinazolinone Derivatives as Potent Cholinesterase Inhibitors against Alzheimer’s Disease. J. Drug Deliv. Ther. 2022, 12, 20–27. [Google Scholar] [CrossRef]
- Li, X.; Jia, Y.; Li, J.; Zhang, P.; Li, T.; Lu, L.; Yao, H.; Liu, J.; Zhu, Z.; Xu, J. Novel and Potent Acetylcholinesterase Inhibitors for the Treatment of Alzheimer’s Disease from Natural (±)-7, 8-Dihydroxy-3- methyl-isochroman-4-one. Molecules 2022, 27, 3090. [Google Scholar] [CrossRef] [PubMed]
- George, N.; Sabahi, B.A.; AbuKhader, M.; Balushi, K.A.; Akhtar, M.J.; Khan, S.A. Design, synthesis and in vitro biological activities of coumarin linked 1, 3, 4-oxadiazole hybrids as potential multi-target directed antiAlzheimer agent. J. King Saud Univ.—Sci. 2022, 34, 101977. [Google Scholar] [CrossRef]
- Vlachou, E.-E.N.; Fotopoulos, I.; Gabriel, C.; Pontiki, E.; Hadjipavlou-Litina, D.J.; Litinas, K.E. Synthesis and biological evaluation of fused dipyranoquinolinones as inhibitors of acetylcholinesterase with antioxidant properties. Eur. J. Med. Chem. Rep. 2022, 5, 100063. [Google Scholar] [CrossRef]
- Mahmudov, I.; Demir, Y.; Sert, Y.; Abdullayev, Y.; Sujayev, A.; Alwasel, S.H.; Gulcin, I. Synthesis and inhibition profiles of N-benzyl- and N-allyl aniline derivatives against carbonic anhydrase and acetylcholinesterase—A molecular docking study. Arab. J. Chem. 2022, 15, 103645. [Google Scholar] [CrossRef]
- Ajala, A.; Uzairu, A.; Shallangwa, G.A.; Abechi, S.E. Structure-Based Drug Design of Novel Piperazine Containing Hydrazone Derivatives as Potent Alzheimer Inhibitors: Molecular Docking and Drug Kinetics Evaluation. Brain Disord. 2022, 7, 100041. [Google Scholar] [CrossRef]
- Dogga, B.; Reddy, E.K.; Sharanya, C.; Abhithaj, J.; Arun, K.; Kumar, C.A.; Rangappa, K. Design, synthesis and SAR studies of novel tacrine derivatives as potent cholinesterase inhibitors. Eur. J. Med. Chem. Rep. 2022, 6, 100094. [Google Scholar] [CrossRef]
Disclaimer/Publisher’s Note: The statements, opinions and data contained in all publications are solely those of the individual author(s) and contributor(s) and not of MDPI and/or the editor(s). MDPI and/or the editor(s) disclaim responsibility for any injury to people or property resulting from any ideas, methods, instructions or products referred to in the content. |
© 2023 by the authors. Licensee MDPI, Basel, Switzerland. This article is an open access article distributed under the terms and conditions of the Creative Commons Attribution (CC BY) license (https://creativecommons.org/licenses/by/4.0/).






















