The Influence of a Personalized Intervention Program—AGA@4life—in the Cardiovascular Diseases: A Biochemical Approach
Highlights
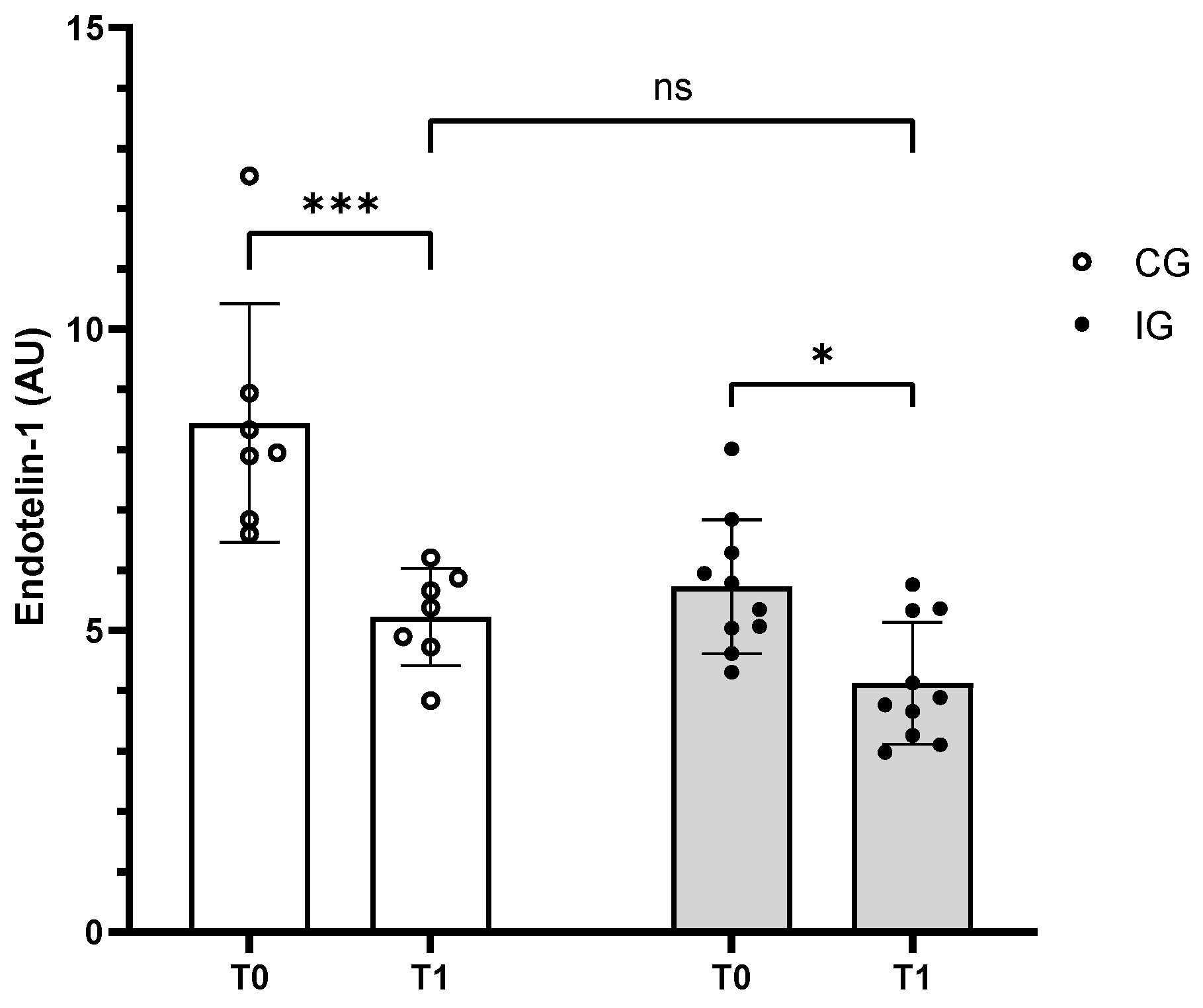
- The AGA@4life program led to significant reductions in endothelin-1 (ET-1) levels in both the control and intervention groups, indicating potential improvement in cardiovascular health.
- This study underscores the value of personalized, multidisciplinary intervention geriatric health programs like AGA@4life, which aim to improve cardiovascular function, potentially lowering risks related to heart disease in elderly populations.
Abstract
1. Introduction
2. Materials and Methods
2.1. Study Design
2.2. Population and Sample
2.3. Enzymatic Assays
2.4. Slot Blot
2.5. Statistical Analysis
2.6. Ethics
3. Results
3.1. Blood Pressure
3.2. NO Metabolite Levels
3.3. ET-1 Levels
4. Discussion
5. Conclusions
Author Contributions
Funding
Institutional Review Board Statement
Informed Consent Statement
Data Availability Statement
Conflicts of Interest
References
- Bron, D.; Ades, L.; Fulop, T.; Goede, V.; Stauder, R. Aging and blood disorders: New perspectives, new challenges. Haematologica 2015, 100, 415–417. [Google Scholar] [CrossRef] [PubMed]
- Conte, M.; Martucci, M.; Sandri, M.; Franceschi, C.; Salvioli, S. The Dual Role of the Pervasive “Fattish” Tissue Remodeling with Age. Front. Endocrinol. 2019, 10, 114. [Google Scholar] [CrossRef] [PubMed]
- Rau, R.; Schmertmann, C.P. District-Level Life Expectancy in Germany. Dtsch. Ärzteblatt Int. 2020, 117, 493–499. [Google Scholar] [CrossRef] [PubMed]
- Salas-Pérez, F.; Ramos-Lopez, O.; Mansego, M.L.; Milagro, F.I.; Santos, J.L.; Riezu-Boj, J.I.; Martínez, J.A. DNA methylation in genes of longevity-regulating pathways: Association with obesity and metabolic complications. Aging 2019, 11, 1874–1899. [Google Scholar] [CrossRef]
- Longo, M.; Bellastella, G.; Maiorino, M.I.; Meier, J.J.; Esposito, K.; Giugliano, D. Diabetes and Aging: From Treatment Goals to Pharmacologic Therapy. Front. Endocrinol. 2019, 10, 45. [Google Scholar] [CrossRef]
- Mancuso, P.; Bouchard, B. The Impact of Aging on Adipose Function and Adipokine Synthesis. Front. Endocrinol. 2019, 10, 137. [Google Scholar] [CrossRef]
- Tchkonia, T.; Morbeck, D.E.; Von Zglinicki, T.; Van Deursen, J.; Lustgarten, J.; Scrable, H.; Khosla, S.; Jensen, M.D.; Kirkland, J.L. Fat tissue, aging, and cellular senescence. Aging Cell 2010, 9, 667–684. [Google Scholar] [CrossRef]
- Saltiel, A.R.; Olefsky, J.M. Inflammatory linking obesity and metabolic disease and metabolic disease. J. Clin. Investig. 2017, 127, 1–4. [Google Scholar] [CrossRef]
- Lavie, C.J.; Milani, R.V.; Ventura, H.O. Obesity and cardiovascular disease. J. Am. Coll. Cardiol. 2009, 53, 1925–1932. [Google Scholar] [CrossRef]
- Çakmak, H.A.; Demir, M. MicroRNA and Cardiovascular Diseases. Balkan Med. J. 2020, 37, 60–71. [Google Scholar] [CrossRef]
- Zhou, S.-S.; Jin, J.-P.; Wang, J.-Q.; Zhang, Z.-G.; Freedman, J.H.; Zheng, Y.; Cai, L. miRNAS in cardiovascular diseases: Potential biomarkers, therapeutic targets and challenges review-article. Acta Pharmacol. Sin. 2018, 39, 1073–1084. [Google Scholar] [CrossRef] [PubMed]
- Gong, X.; Wu, G.; Zeng, C. Role of circular RNAs in cardiovascular diseases. Exp. Biol. Med. 2019, 244, 73–82. [Google Scholar] [CrossRef] [PubMed]
- Francula-Zaninovic, S.; Nola, I.A. Management of Measurable Variable Cardiovascular Disease’ Risk Factors. Curr. Cardiol. Rev. 2018, 14, 153–163. [Google Scholar] [CrossRef] [PubMed]
- Hobbs, F.D.R. Prevention of cardiovascular diseases. BMC Med. 2015, 13, 261. [Google Scholar] [CrossRef]
- Ravera, A.; Carubelli, V.; Sciatti, E.; Bonadei, I.; Gorga, E.; Cani, D.; Vizzardi, E.; Metra, M.; Lombardi, C. Nutrition and Cardiovascular Disease: Finding the Perfect Recipe for Cardiovascular Health. Nutrients 2016, 8, 363. [Google Scholar] [CrossRef]
- Villella, M.; Villella, A. Exercise and Cardiovascular Diseases. Kidney Blood Press. Res. 2014, 39, 147–153. [Google Scholar] [CrossRef] [PubMed]
- McMahon, S.R.; Ades, P.A.; Thompson, P.D. The role of cardiac rehabilitation in patients with heart disease. Trends Cardiovasc. Med. [Internet]. 2017, 27, 420–425. [Google Scholar]
- Nuhu, F.; Gordon, A.; Sturmey, R.; Seymour, A.-M.; Bhandari, S. Measurement of Glutathione as a Tool for Oxidative Stress Studies by High Performance Liquid Chromatography. Molecules 2020, 25, 4196. [Google Scholar] [CrossRef]
- Senoner, T.; Dichtl, W. Oxidative Stress in Cardiovascular Diseases: Still a Therapeutic Target? Nutrients 2019, 11, 2090. [Google Scholar] [CrossRef]
- Larsen, M.K.; Matchkov, V.V. Hypertension and physical exercise: The role of oxidative stress. Medicina 2016, 52, 19–27. [Google Scholar] [CrossRef]
- Vignon-Zellweger, N.; Heiden, S.; Miyauchi, T.; Emoto, N. Endothelin and endothelin receptors in the renal and cardiovascular systems. Life Sci. 2012, 91, 490–500. [Google Scholar] [CrossRef] [PubMed]
- Caseiro, A.; Rocha, C.; Silva, A.M.; Ferreira, C.; Silva, I.; Clemente, M.; Cipriano, I.; Saraiva, M.; Barreira, R.; Azenha, J.; et al. Effects of A Personalized Intervention Program on the Biochemical and Hematological Profile in Community Dwelling Old Adults—The AGA@4life Intervention Model. Int. J. Environ. Res. Public Health 2020, 17, 718. [Google Scholar] [CrossRef] [PubMed]
- Balducci, S.; Zanuso, S.; Nicolucci, A.; Fernando, F.; Cavallo, S.; Cardelli, P.; Fallucca, S.; Alessi, E.; Letizia, C.; Pugliese, G.; et al. Total Nitric Oxide and Nitrate / Nitrite Assay. Nutr. Metab. Cardiovasc. Dis. 2010, 20, 608–617. [Google Scholar] [CrossRef] [PubMed]
- Caseiro, A.; Vitorino, R.; Barros, A.S.; Ferreira, R.; Calheiros-Lobo, M.J.; Carvalho, D.; Duarte, J.A.; Amado, F. Salivary peptidome in type 1 diabetes mellitus. Biomed. Chromatogr. 2012, 26, 571–582. [Google Scholar] [CrossRef]
- McDaniel, S.A.; Zimmer, Z. Global Ageing in the Twenty-First Century: Challenges, Opportunities and Implications; Ashgate: Farnham, UK; Burlington, VT, USA, 2013. [Google Scholar]
- Fried, L.P.; Ferrucci, L.; Darer, J.; Williamson, J.D.; Anderson, G. Untangling the concepts of disability, frailty, and comorbidity: Implications for improved targeting and care. J. Gerontol. Ser. A Biol. Sci. Med. Sci. 2004, 59, M255–M263. [Google Scholar] [CrossRef]
- Cengel, A.; Sahinarslan, A. Nitric oxide and cardiovascular system. Anadolu Kardiyol. Derg. 2006, 6, 364–368. [Google Scholar]
- Ikeda, U.; Shimada, K. Nitric oxide and cardiac failure. Clin. Cardiol. 1997, 20, 837–841. [Google Scholar] [CrossRef]
- Mcintyre, M.; Dominiczak, A.F. New concepts in medicine Nitric oxide and cardiovascular disease. Postgr. Med. J. 1997, 73, 630–634. [Google Scholar] [CrossRef]
- Gokce, N. L-Arginine and Hypertension. J. Nutr. 2004, 134, 2807S–2811S. [Google Scholar] [CrossRef]
- Grandvuillemin, I.; Buffat, C.; Boubred, F.; Lamy, E.; Fromonot, J.; Charpiot, P.; Simoncini, S.; Sabatier, F.; Dignat-George, F.; Peyter, A.-C.; et al. Arginase upregulation and eNOS uncoupling contribute to impaired endothelium-dependent vasodilation in a rat model of intrauterine growth restriction. Am. J. Physiol. Regul. Integr. Comp. Physiol. 2018, 315, R509–R520. [Google Scholar] [CrossRef]
- Higashi, Y.; Sasaki, S.; Kurisu, S.; Yoshimizu, A.; Sasaki, N.; Matsuura, H.; Kajiyama, G.O.T. Regular aerobic exercise augments endothelium-dependent vascular relaxation in normotensive as well as hypertensive subjects: Role of endothelium-derived nitric oxide. Circulation 1999, 100, 1194–1202. [Google Scholar] [CrossRef] [PubMed]
- Ahmad, A.; Dempsey, S.K.; Daneva, Z.; Azam, M.; Li, N.; Li, P.-L.; Ritter, J.K. Role of nitric oxide in the cardiovascular and renal systems. Int. J. Mol. Sci. 2018, 19, 2605. [Google Scholar] [CrossRef] [PubMed]
- E Shubeita, H.; McDonough, P.M.; Harris, A.N.; Knowlton, K.U.; Glembotski, C.C.; Brown, J.H.; Chien, K.R. Endothelin induction of inositol phospholipid hydrolysis, sarcomere assembly, and cardiac gene expression in ventricular myocytes. A paracrine mechanism for myocardial cell hypertrophy. J. Biol. Chem. 1990, 265, 20555–20562. [Google Scholar] [CrossRef] [PubMed]
- Matsubara, T.J.; Fujiu, K. Endothelin-1 and atrial cardiomyopathy. Int. Heart J. 2019, 60, 238–240. [Google Scholar] [CrossRef]
- Chan, E.A.; Buckley, B.; Farraj, A.K.; Thompson, L.C. The heart as an extravascular target of endothelin-1 in particulate matter-induced cardiac dysfunction. Pharmacol. Ther. 2016, 165, 63–78. [Google Scholar] [CrossRef]
- Dow, C.A.; Stauffer, B.L.; Brunjes, D.L.; Greiner, J.J.; DeSouza, C.A. Regular aerobic exercise reduces endothelin-1-mediated vasoconstrictor tone in overweight and obese adults. Exp. Physiol. 2017, 102, 1133–1142. [Google Scholar] [CrossRef]
- Stefanov, G.; Briyal, S.; Pais, G.; Puppala, B.; Gulati, A. Relationship Between Oxidative Stress Markers and Endothelin-1 Levels in Newborns of Different Gestational Ages. Front. Pediatr. 2020, 8, 279. [Google Scholar] [CrossRef]



Disclaimer/Publisher’s Note: The statements, opinions and data contained in all publications are solely those of the individual author(s) and contributor(s) and not of MDPI and/or the editor(s). MDPI and/or the editor(s) disclaim responsibility for any injury to people or property resulting from any ideas, methods, instructions or products referred to in the content. |
© 2024 by the authors. Licensee MDPI, Basel, Switzerland. This article is an open access article distributed under the terms and conditions of the Creative Commons Attribution (CC BY) license (https://creativecommons.org/licenses/by/4.0/).
Share and Cite
Soares, M.; Freitas, C.; Timoteo, M.H.; Lourenço, A.P.; Ferreira, A.; Figueiredo, J.P.; Pereira, T.; Caseiro, A. The Influence of a Personalized Intervention Program—AGA@4life—in the Cardiovascular Diseases: A Biochemical Approach. J. Vasc. Dis. 2024, 3, 333-341. https://doi.org/10.3390/jvd3030026
Soares M, Freitas C, Timoteo MH, Lourenço AP, Ferreira A, Figueiredo JP, Pereira T, Caseiro A. The Influence of a Personalized Intervention Program—AGA@4life—in the Cardiovascular Diseases: A Biochemical Approach. Journal of Vascular Diseases. 2024; 3(3):333-341. https://doi.org/10.3390/jvd3030026
Chicago/Turabian StyleSoares, Maria, Catarina Freitas, Maria Helena Timoteo, Ana Patrícia Lourenço, Ana Ferreira, João Paulo Figueiredo, Telmo Pereira, and Armando Caseiro. 2024. "The Influence of a Personalized Intervention Program—AGA@4life—in the Cardiovascular Diseases: A Biochemical Approach" Journal of Vascular Diseases 3, no. 3: 333-341. https://doi.org/10.3390/jvd3030026
APA StyleSoares, M., Freitas, C., Timoteo, M. H., Lourenço, A. P., Ferreira, A., Figueiredo, J. P., Pereira, T., & Caseiro, A. (2024). The Influence of a Personalized Intervention Program—AGA@4life—in the Cardiovascular Diseases: A Biochemical Approach. Journal of Vascular Diseases, 3(3), 333-341. https://doi.org/10.3390/jvd3030026

