A Predictive Model of Early Readmission for Patients with Heart Failure
Abstract
1. Introduction
2. Materials and Methods
2.1. Patients
2.2. Clinical Data Collection
2.3. Predictor Selection
2.4. Statistical Analysis
3. Results
3.1. Clinical Features of the Patients
3.2. Risk Predictors for the Model
3.3. Predictive Nomogram for 30-Day Readmission
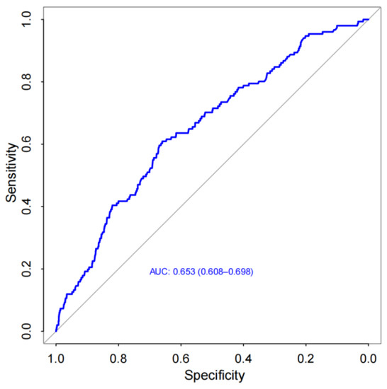
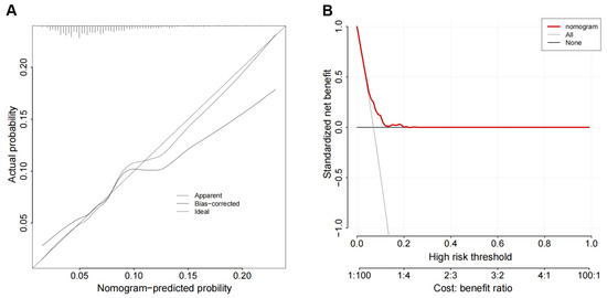
3.4. Performance of the Nomogram
4. Discussion
5. Conclusions
Author Contributions
Funding
Institutional Review Board Statement
Informed Consent Statement
Conflicts of Interest
References
- Baman, J.R.; Ahmad, F.S. Heart failure. JAMA 2020, 324, 1015. [Google Scholar] [CrossRef] [PubMed]
- Rogers, C.; Bush, N. Heart failure: Pathophysiology, diagnosis, medical treatment guidelines, and nursing management. Nurs. Clin. N. Am. 2015, 50, 787–799. [Google Scholar] [CrossRef] [PubMed]
- Goldgrab, D.; Balakumaran, K.; Kim, M.J.; Tabtabai, S.R. Updates in heart failure 30-day readmission prevention. Heart Fail. Rev. 2019, 24, 177–187. [Google Scholar] [CrossRef] [PubMed]
- Ibrahim, A.M.; Koester, C.; Al-Akchar, M.; Tandan, N.; Regmi, M.; Bhattarai, M.; Al-Bast, B.; Kulkarni, A.; Robinson, R. HOSPITAL Score, LACE Index and LACE+ Index as predictors of 30-day readmission in patients with heart failure. BMJ. Evid. Based Med. 2020, 25, 166–167. [Google Scholar] [CrossRef] [PubMed]
- Sudhakar, S.; Zhang, W.; Kuo, Y.F.; Alghrouz, M.; Barbajelata, A.; Sharma, G. Validation of the readmission risk score in heart failure patients at a tertiary hospital. J. Card. Fail. 2015, 21, 885–891. [Google Scholar] [CrossRef]
- Huynh, Q.; Negishi, K.; De Pasquale, C.G.; Hare, J.L.; Leung, D.; Stanton, T.; Marwick, T.H. Validation of predictive score of 30-Day hospital readmission or death in patients with heart failure. Am. J. Cardiol. 2018, 121, 322–329. [Google Scholar] [CrossRef]
- Lahewala, S.; Arora, S.; Tripathi, B.; Panaich, S.; Kumar, V.; Patel, N.; Savani, S.; Dave, M.; Varma, Y.; Badheka, A.; et al. Heart failure: Same-hospital vs. different-hospital readmission outcomes. Int. J. Cardiol. 2019, 278, 186–191. [Google Scholar] [CrossRef]
- Yang, M.; Tao, L.; An, H.; Liu, G.; Tu, Q.; Zhang, H.; Qin, L.; Xiao, Z.; Wang, Y.; Fan, J.; et al. A novel nomogram to predict all-cause readmission or death risk in Chinese elderly patients with heart failure. ESC. Heart Fail. 2020, 7, 1015–1024. [Google Scholar] [CrossRef]
- Paolillo, S.; Scardovi, A.B.; Campodonico, J. Role of comorbidities in heart failure prognosis Part I: Anaemia, iron deficiency, diabetes, atrial fibrillation. Eur. J. Prev. Cardiol. 2020, 27, 27–34. [Google Scholar] [CrossRef]
- Tedeschi, A.; Agostoni, P.; Pezzuto, B.; Corra’, U.; Scrutinio, D.; La Gioia, R.; Raimondo, R.; Passantino, A.; Piepoli, M.F. Role of comorbidities in heart failure prognosis Part 2: Chronic kidney disease, elevated serum uric acid. Eur. J. Prev. Cardiol. 2020, 27, 35–45. [Google Scholar] [CrossRef]
- Maries, L.; Manitiu, I. Diagnostic and prognostic values of B-type natriuretic peptides (BNP) and N-terminal fragment brain natriuretic peptides (NT-pro-BNP). Cardiovasc. J. Afr. 2013, 24, 286–289. [Google Scholar] [CrossRef]
- Papadimitriou, L.; Kalogeropoulos, A.P. Inflammatory biomarkers and therapeutic targets in heart failure. Curr. Med. Chem. 2015, 22, 2716–2726. [Google Scholar] [CrossRef] [PubMed]
- Costache, I.I.; Alexandrescu, D.M.; Cimpoeşu, D.; Petriş, O.R.; Petriş, A.O. Hyponatremia--risk factor in patients with chronic heart failure—Clinical, evolutive and therapeutic implications. Rev. Med. Chir. Soc. Med. Nat. Iasi. 2014, 118, 315–319. [Google Scholar] [PubMed]
- Borghi, C.; Palazzuoli, A.; Landolfo, M.; Cosentino, E. Hyperuricemia: A novel old disorder-relationship and potential mechanisms in heart failure. Heart Fail. Rev. 2020, 25, 43–51. [Google Scholar] [CrossRef] [PubMed]
- Lee, D.S.; Vasan, R.S. Novel markers for heart failure diagnosis and prognosis. Curr. Opin. Cardiol. 2005, 20, 201–210. [Google Scholar] [CrossRef]
- Heart Failure Group of Chinese Society of Cardiology of Chinese Medical Association; Chinese Heart Failure Association of Chinese Medical Doctor Association; Editorial Board of Chinese Journal of Cardiology. Chinese guidelines for the diagnosis and treatment of heart failure 2018. Zhonghua Xin Xue Guan Bing Za Zhi 2018, 46, 760–789. [Google Scholar]
- Golas, S.B.; Shibahara, T.; Agboola, S.; Otaki, H.; Sato, J.; Nakae, T.; Hisamitsu, T.; Kojima, G.; Felsted, J.; Kakarmath, S.; et al. A machine learning model to predict the risk of 30-day readmissions in patients with heart failure: A retrospective analysis of electronic medical records data. BMC. Med. Inform. Decis. Mak. 2018, 18, 44. [Google Scholar] [CrossRef]
- Cunha, F.M.; Pereira, J.; Ribeiro, A.; Amorim, M.; Silva, S.; Araújo, J.P.; Leite-Moreira, A.; Bettencourt, P.; Lourenço, P. Age affects the prognostic impact of diabetes in chronic heart failure. Acta. Diabetol. 2018, 55, 271–278. [Google Scholar] [CrossRef]
- Tay, J.C.K.; Chia, S.Y.; Sim, D.K.L.; Chai, P.; Loh, S.Y.; Shum, A.K.L.; Lee, S.S.G.; Lim, P.Z.Y.; Yap, J. Interaction of sex and diabetes in Asian patients with heart failure with mildly reduced left ventricular ejection fraction. Ann. Acad. Med. Singap. 2022, 51, 473–482. [Google Scholar] [CrossRef]
- Arques, S. Human serum albumin in cardiovascular diseases. Eur. J. Intern. Med. 2018, 52, 8–12. [Google Scholar] [CrossRef]
- Prenner, S.B.; Pillutla, R.; Yenigalla, S.; Gaddam, S.; Lee, J.; Obeid, M.J.; Ans, A.H.; Jehangir, Q.; Kim, J.; Zamani, P.; et al. Serum albumin is a marker of myocardial fibrosis, adverse pulsatile aortic hemodynamics, and prognosis in heart failure with preserved ejection fraction. J. Am. Heart Assoc. 2020, 9, e014716. [Google Scholar] [CrossRef] [PubMed]
- Muhlestein, J.B.; Lappe, D.L.; Anderson, J.L.; Muhlestein, J.B.; Budge, D.; May, H.T.; Bennett, S.T.; Bair, T.L.; Horne, B.D. Both initial red cell distribution width (RDW) and change in RDW during heart failure hospitalization are associated with length of hospital stay and 30-day outcomes. Int. J. Lab. Hematol. 2016, 38, 328–337. [Google Scholar] [CrossRef] [PubMed]
- Díez-López, C.; Lupón, J.; de Antonio, M.; Zamora, E.; Domingo, M.; Santesmases, J.; Troya, M.I.; Boldó, M.; Bayes-Genis, A. Hemoglobin kinetics and long-term prognosis in heart failure. Rev. Esp. Cardiol. Engl. Ed. 2016, 69, 820–826. [Google Scholar] [CrossRef] [PubMed]
- Liu, Z.; Zhou, X. A nomogram based on systemic inflammation markers can predict adverse outcomes in patients with heart failure. Nan Fang Yi Ke Da Xue Xue Bao 2022, 42, 1149–1158. [Google Scholar] [PubMed]
- Zile, M.R.; Claggett, B.L.; Prescott, M.F.; McMurray, J.J.; Packer, M.; Rouleau, J.L.; Swedberg, K.; Desai, A.S.; Gong, J.; Shi, V.C.; et al. Prognostic implications of changes in N-terminal pro-B-type natriuretic peptide in patients with heart failure. J. Am. Coll. Cardiol. 2016, 68, 2425–2436. [Google Scholar] [CrossRef]
- Zhao, T.J.; Yang, Q.K.; Bi, L.D.; Li, J.; Tan, C.Y.; Miao, Z.L. Prognostic value of DCTA scoring system in heart failure. Herz 2021, 46, 243–252. [Google Scholar] [CrossRef]
- Luo, Y.; Chai, K.; Cheng, Y.L.; Zhu, W.R.; Li, Y.Y.; Wang, H.; Yang, J.F. Clinical characteristics of heart failure with recovered ejection fraction. Zhonghua Xin Xue Guan Bing Za Zhi 2021, 49, 333–339. [Google Scholar]
- Shin, S.; Austin, P.C.; Ross, H.J.; Abdel-Qadir, H.; Freitas, C.; Tomlinson, G.; Chicco, D.; Mahendiran, M.; Lawler, P.R.; Billia, F.; et al. Machine learning vs. conventional statistical models for predicting heart failure readmission and mortality. ESC Heart Fail. 2021, 8, 106–115. [Google Scholar] [CrossRef]
- Whellan, D.J.; Ousdigian, K.T.; Al-Khatib, S.M.; Pu, W.; Sarkar, S.; Porter, C.B.; Pavri, B.B.; O’Connor, C.M. Combined heart failure device diagnostics identify patients at higher risk of subsequent heart failure hospitalizations: Results from PARTNERS HF (Program to Access and Review Trending Information and Evaluate Correlation to Symptoms in Patients with Heart Failure) study. J. Am. Coll. Cardiol. 2010, 55, 1803–1810. [Google Scholar]
- Fleming, L.M.; Gavin, M.; Piatkowski, G.; Chang, J.D.; Mukamal, K.J. Derivation and validation of a 30-day heart failure readmission model. Am. J. Cardiol. 2014, 114, 1379–1382. [Google Scholar] [CrossRef]
- Han, Q.; Ren, J.; Tian, J.; Yang, H.; Zhang, Q.; Wang, R.; Zhao, J.; Han, L.; Li, C.; Yan, J.; et al. A nomogram based on a patient-reported outcomes measure: Predicting the risk of readmission for patients with chronic heart failure. Health Qual. Life Outcomes 2020, 18, 290. [Google Scholar] [CrossRef] [PubMed]
- Frizzell, J.D.; Liang, L.; Schulte, P.J.; Yancy, C.W.; Heidenreich, P.A.; Hernandez, A.F.; Bhatt, D.L.; Fonarow, G.C.; Laskey, W.K. Prediction of 30-Day All-Cause Readmissions in Patients Hospitalized for Heart Failure: Comparison of Machine Learning and Other Statistical Approaches. JAMA Cardiol. 2017, 2, 204–209. [Google Scholar] [CrossRef] [PubMed]
- Mortazavi, B.J.; Downing, N.S.; Bucholz, E.M.; Dharmarajan, K.; Manhapra, A.; Li, S.X.; Negahban, S.N.; Krumholz, H.M. Analysis of machine learning techniques for heart failure readmissions. Circ. Cardiovasc. Qual. Outcomes 2016, 9, 629–640. [Google Scholar] [CrossRef] [PubMed]




| Overall | |
| Variables | n = 2254 |
| Age, years | 71.54 ± 12.36 |
| Sex | |
| Female, n (%) | 930 (41.26) |
| Male, n (%) | 1324 (58.74) |
| Smoking, n (%) | 269 (11.93) |
| Glu, µmol/L | 6.68 (5.32~8.92) |
| K, mmol/L | 3.98 ± 0.55 |
| Na, mmol/L | 138.90 ± 4.73 |
| Scr, µmol/L | 89.00 (72.00~114.00) |
| SUA, µmol/L | 403.00 (312.15~493.25) |
| CysC, mg/L | 0.97 (0.81~1.21) |
| ALB, g/L | 37.85 ± 4.51 |
| RDW-CV, % | 14.41 ± 2.12 |
| HGB, g/L | 123.10 ± 22.14 |
| NE, 109/L | 4.84 (3.67~6.63) |
| LY, 109/L | 1.34 (0.96~1.82) |
| NT-proBNP, pg/mL | 1645.00 (686.78~4457.25) |
| hs-cTnT, ng/mL | 0.03 (0.01~0.05) |
| MYO, ng/mL | 41.10 (28.20~65.43) |
| LVEDD, mm | 47.80 ± 8.86 |
| LVEF, % | 55.00 (45.00~60.00) |
| Comorbidities | |
| Diabetes, n (%) | 826 (36.65) |
| Dyslipidaemia, n (%) | 582 (25.82) |
| Hypertension, n (%) | 1290 (57.23) |
| Stable coronary heart disease | 1599 (70.94) |
| Acute coronary syndrome | 375 (16.64) |
| Atrial fibrillation | 688 (30.52) |
| Chronic kidney disease | 238 (10.56) |
| Treatment during hospitalization | |
| β-blockers | 1148 (50.93) |
| Diuretics and aldosterone receptor antagonists | 1303 (57.81) |
| Ivabradine | 118 (5.24) |
| AECI/ARB | 654 (29.02) |
| ARNI | 530 (23.51) |
| SGLT-2i | 191 (8.47) |
| Digoxin | 708 (31.41) |
| Qili Qiangxin capsules | 3 (0.13) |
| Treatment after discharge | |
| β-blockers | 1072 (47.56) |
| Diuretics and aldosterone receptor antagonists | 1025 (45.47) |
| Ivabradine | 101 (4.48) |
| AECI/ARB | 516 22.89) |
| ARNI | 495 (21.96) |
| SGLT-2i | 207 (9.18) |
| Digoxin | 400 (17.75) |
| Qili Qiangxin capsules | 5 (0.22) |
| 30-day readmission, n (%) | 160 (7.10) |
Publisher’s Note: MDPI stays neutral with regard to jurisdictional claims in published maps and institutional affiliations. |
© 2022 by the authors. Licensee MDPI, Basel, Switzerland. This article is an open access article distributed under the terms and conditions of the Creative Commons Attribution (CC BY) license (https://creativecommons.org/licenses/by/4.0/).
Share and Cite
Hu, J.-B.; He, Z.-K.; Cheng, L.; Zheng, C.-Z.; Wu, B.-Z.; He, Y.; Su, L. A Predictive Model of Early Readmission for Patients with Heart Failure. J. Vasc. Dis. 2022, 1, 88-96. https://doi.org/10.3390/jvd1020010
Hu J-B, He Z-K, Cheng L, Zheng C-Z, Wu B-Z, He Y, Su L. A Predictive Model of Early Readmission for Patients with Heart Failure. Journal of Vascular Diseases. 2022; 1(2):88-96. https://doi.org/10.3390/jvd1020010
Chicago/Turabian StyleHu, Jian-Bo, Zhong-Kai He, Li Cheng, Chong-Zhou Zheng, Bao-Zhen Wu, Yuan He, and Li Su. 2022. "A Predictive Model of Early Readmission for Patients with Heart Failure" Journal of Vascular Diseases 1, no. 2: 88-96. https://doi.org/10.3390/jvd1020010
APA StyleHu, J.-B., He, Z.-K., Cheng, L., Zheng, C.-Z., Wu, B.-Z., He, Y., & Su, L. (2022). A Predictive Model of Early Readmission for Patients with Heart Failure. Journal of Vascular Diseases, 1(2), 88-96. https://doi.org/10.3390/jvd1020010

