Voltammetric MDMA Analysis of Seized Ecstasy Samples
Abstract
:1. Introduction
2. Materials and Methods
2.1. Reagents and Materials
2.2. Voltammetry
2.2.1. CME Production
2.2.2. CME Performance
2.2.3. Pre-Concentration Time Evaluation
2.2.4. Evaluation of Electroanalytical Parameters
2.2.5. Selectivity of the Developed CME
2.2.6. Analysis of Seized Ecstasy Lots
2.3. Color Tests
- Marquis: positive when the final color is between black and dark brown.
- Sulfuric acid: positive when the final color is black.
- Simon’s reagent: positive when the final color is between black and dark brown.
- Simon’s reagent with acetone: positive when the final color is reddish.
2.4. Chromatographic Analyses
2.4.1. Gas Chromatography (GC-MS)
2.4.2. Ultra-High Performance Liquid Chromatography (UPLC-MS)
3. Results
3.1. Voltammetry
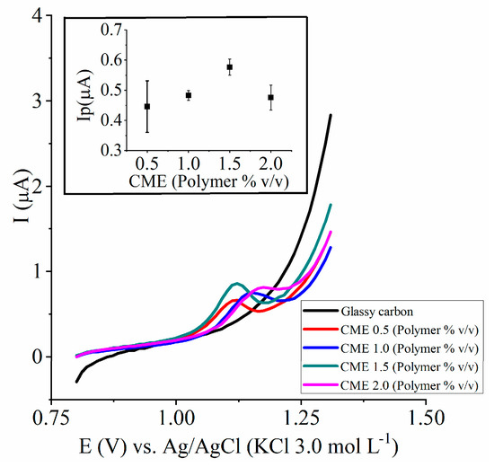
3.1.1. CME Performance
3.1.2. Pre-Concentration Time Evaluation
3.1.3. Evaluation of Electroanalytical Parameters
3.1.4. Selectivity of the Developed CME
3.2. Color Tests
3.3. Chromatographic Studies
4. Discussion
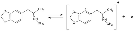
4.1. Voltammetry
4.1.1. CME Performance
4.1.2. Pre-Concentration Time Evaluation
4.1.3. Evaluation of Electroanalytical Parameters
4.1.4. Selectivity of the Developed CME
4.2. Color Tests
4.3. Chromatographic Studies
4.4. Comparison between Voltammetric and Chromatographic Analyses
5. Conclusions
Supplementary Materials
Author Contributions
Funding
Institutional Review Board Statement
Informed Consent Statement
Data Availability Statement
Acknowledgments
Conflicts of Interest
References
- Freudenmann, R.W.; Öxler, F.; Bernschneider-Reif, S. The Origin of MDMA (Ecstasy) Revisited: The True Story Reconstructed from the Original Documents. Addiction 2006, 101, 1241–1245. [Google Scholar] [CrossRef] [PubMed]
- Benzenhöfer, U.; Passie, T. Rediscovering MDMA (Ecstasy): The Role of the American Chemist Alexander T. Shulgin. Addiction 2010, 105, 1355–1361. [Google Scholar] [CrossRef] [PubMed]
- Shulgin, A.T. The Background and Chemistry of MDMA. J. Psychoact. Drugs 1986, 18, 291–304. [Google Scholar] [CrossRef] [PubMed]
- De Souza Júnior, J.L.; Silveira Filho, J.; Boff, B.S.; Nonemacher, K.; Rezin, K.Z.; Schroeder, S.D.; Ferrão, M.F.; Danielli, L.J. Seizures of Clandestinely Produced Tablets in Santa Catarina, Brazil: The Increase in NPS from 2011 to 2017. J. Forensic. Sci. 2020, 65, 906–912. [Google Scholar] [CrossRef]
- United Nations Office on Drugs and Crime. Division for Treaty Affairs World Drug Report 2022; United Nations: New York, NY, USA, 2022; ISBN 9789211483758. [Google Scholar]
- Sessa, B.; Higbed, L.; Nutt, D. A Review of 3,4-Methylenedioxymethamphetamine (MDMA)-Assisted Psychotherapy. Front Psychiatry 2019, 10, 138. [Google Scholar] [CrossRef] [PubMed]
- Holze, F.; Vizeli, P.; Müller, F.; Ley, L.; Duerig, R.; Varghese, N.; Eckert, A.; Borgwardt, S.; Liechti, M.E. Distinct Acute Effects of LSD, MDMA, and d-Amphetamine in Healthy Subjects. Neuropsychopharmacology 2020, 45, 462–471. [Google Scholar] [CrossRef] [PubMed]
- Kalant, H. The pharmacology and toxicology of “ecstasy” (MDMA) and related drugs. CMAJ 2001, 165, 917–928. [Google Scholar]
- Costa, G.; Gołembiowska, K. Neurotoxicity of MDMA: Main Effects and Mechanisms. Exp. Neurol. 2022, 347, 113894. [Google Scholar] [CrossRef]
- Todd, G.; Noyes, C.; Flavel, S.C.; Della Vedova, C.B.; Spyropoulos, P.; Chatterton, B.; Berg, D.; White, J.M. Illicit Stimulant Use Is Associated with Abnormal Substantia Nigra Morphology in Humans. PLoS ONE 2013, 8, e56438. [Google Scholar] [CrossRef]
- European Monitoring Centre for Drugs and Drug Addiction. European Drug Report 2021: Trends and Developments; Office for Official Publications of the European Communities: Luxembourg, 2021; ISBN 9789294976345. [Google Scholar]
- ESPAD Group; EMCDDA Joint Publications. ESPAD Report 2019: Results from the European School Survey Project on Alcohol and Other Drugs; ESPAD Group: Luxembourg, 2020. [Google Scholar]
- Scientific Working Group for the Analysis of Seized Drugs (SWGDRUG). Scientific Working Group for the Analysis of Seized Drugs (SWGDRUG) Recommendations, Version 8.1; United States Department of Justice: Washington, DC, USA, 2022. [Google Scholar]
- Ren, S.; Zeng, J.; Zheng, Z.; Shi, H. Perspective and Application of Modified Electrode Material Technology in Electrochemical Voltammetric Sensors for Analysis and Detection of Illicit Drugs. Sens. Actuators A Phys. 2021, 329, 112821. [Google Scholar] [CrossRef]
- Kovar, K.-A.; Laudszum, M. Chemistry and Reaction Mechanisms of Rapid Tests for Drugs of Abuse and Precursors Chemicals; United Nations: Tubingen, Germany, 1989. [Google Scholar]
- United Nations; United Nations Office on Drugs. Recommended Methods for the Identification and Analysis of Amphetamine, Methamphetamine and Their Ring-Substituted Analogues in Seized Materials (Revised and Updated) Manual for Use by National Drug Testing Laboratories; United Nations: Vienna, Austria, 2006. [Google Scholar]
- United Nations. Rapid Testing Methods of Drugs of Abuse: Manual Use Nacional Law Enforcement and Narcotics and Laboratory Personnel; United Nations International Drug Control Programme: New York, NY, USA, 1994. [Google Scholar]
- Duarte, L.O.; Ferreira, B.; Silva, G.R.; Ipólito, A.J.; de Oliveira, M.F. Validated Green Phenyl Reversed-Phase LC Method Using Ethanol to Determine MDMA in Seized Ecstasy Tablets. J. Liq. Chromatogr. Relat. Technol. 2020, 43, 761–769. [Google Scholar] [CrossRef]
- Togni, L.R.; Lanaro, R.; Resende, R.R.; Costa, J.L. The Variability of Ecstasy Tablets Composition in Brazil. J. Forensic. Sci. 2015, 60, 147–151. [Google Scholar] [CrossRef]
- Lago, C.L.; Angnes, L.; Porto, S.K.S.S.; Daniel, D. Determination of 3,4-MDMA in Ecstasy Tablets by CE-MS/MS Application Note; Agilent Technologies: Santa Clara, CA, USA, 2016. [Google Scholar]
- Murilo Alves, G.; Soares Castro, A.; McCord, B.R.; de Oliveira, M.F. MDMA Electrochemical Determination and Behavior at Carbon Screen-Printed Electrodes: Cheap Tools for Forensic Applications. Electroanalysis 2021, 33, 635–642. [Google Scholar] [CrossRef]
- Midori, J.; Katayama, T.; Oiye, N.; Fernanda, M.; Ribeiro, M.; Ipólito, A.J.; Fernando De Andrade, J.; Firmino De Oliveira, M. MDMA Electrochemical Determination in Aqueous Media Containing Illicit Drugs and Validation of a Voltammetric Methodology. Drug Anal. Res. 2020, 4, 3–11. [Google Scholar]
- Naomi Oiye, É.; Midori Toia Katayama, J.; Fernanda Muzetti Ribeiro, M.; Oka Duarte, L.; de Castro Baker Botelho, R.; José Ipólito, A.; Royston McCord, B.; Firmino de Oliveira, M. Voltammetric Detection of 3,4-Methylenedioxymethamphetamine (MDMA) in Saliva in Low Cost Systems. Forensic Chem. 2020, 20, 100268. [Google Scholar] [CrossRef]
- Cumba, L.R.; Smith, J.P.; Zuway, K.Y.; Sutcliffe, O.B.; Do Carmo, D.R.; Banks, C.E. Forensic Electrochemistry: Simultaneous Voltammetric Detection of MDMA and Its Fatal Counterpart “Dr Death” (PMA). Anal. Methods 2016, 8, 142–152. [Google Scholar] [CrossRef]
- Tadini, M.C.; Balbino, M.A.; Eleoterio, I.C.; De Oliveira, L.S.; Dias, L.G.; Jean-François Demets, G.; De Oliveira, M.F. Developing Electrodes Chemically Modified with Cucurbit[6]Uril to Detect 3,4-Methylenedioxymethamphetamine (MDMA) by Voltammetry. Electrochim. Acta 2014, 121, 188–193. [Google Scholar] [CrossRef]
- Garrido, E.M.P.J.; Garrido, J.M.P.J.; Milhazes, N.; Borges, F.; Oliveira-Brett, A.M. Electrochemical Oxidation of Amphetamine-like Drugs and Application to Electroanalysis of Ecstasy in Human Serum. Bioelectrochemistry 2010, 79, 77–83. [Google Scholar] [CrossRef] [PubMed]
- Croft, S.; Blakey, K.; McGowan, J. Assessment of MDMA Tablet and Capsule Dosages from Seizures in Queensland, Australia. Forensic Chem. 2022, 31, 100453. [Google Scholar] [CrossRef]
- Prunty, S.; Carmany, D.; Dhummakupt, E.S.; Manicke, N.E. Combining Presumptive Color Tests, Pressure-Sensitive Adhesive-Based Collection, and Paper Spray-Mass Spectrometry for Illicit Drug Detection Contents. Analyst 2023, 148, 3274–3284. [Google Scholar] [CrossRef]
- Vrolijk, R.Q.; Measham, F.; Quesada, A.; Luf, A.; Schori, D.; Radley, S.; Acreman, D.; Smith, J.; Verdenik, M.; Martins, D.; et al. Size Matters: Comparing the MDMA Content and Weight of Ecstasy Tablets Submitted to European Drug Checking Services in 2012–2021. Drugs Habits Soc. Policy 2022, 23, 207–219. [Google Scholar] [CrossRef]




| CME (% v/v) | Ip (µA) | RSD Ip (%) | Ep (V) | RSD Ep (%) |
|---|---|---|---|---|
| 0.5 | 0.45 ± 0.09 | 19.2 | 1.134 ± 0.013 | 1.2 |
| 1.0 | 0.48 ± 0.02 | 3.3 | 1.129 ± 0.015 | 1.4 |
| 1.5 | 0.58 ± 0.03 | 4.6 | 1.124 ± 0.003 | 0.3 |
| 2.0 | 0.48 ± 0.04 | 8.7 | 1.188 ± 0.004 | 0.3 |
| Author | Garrido et al. [26] | Cumba et al. [24] | This Study |
|---|---|---|---|
| Technique | Square wave voltammetry | Differential pulse voltammetry | Cyclic voltammetry |
| Linear range (µmol L−1) | 8–45 | 2.58–25.77 | 5.64–25.42 |
| SD (µA) | 0.031 | N/A | 0.018 |
| m (103 µA L mol−1) | 30.0 × 103 | N/A | 84.0 |
| r | 0.999 | 0.999 | 0.999 |
| LD (µmol L−1) | 1.2 | 0.2 | 0.64 |
| LQ (µmol L−1) | 3.7 | N/A | 2.17 |
| Sample | Contain MDMA * | Marquis | Sulfuric Acid | Simon | Simon + Acetone | ||||
|---|---|---|---|---|---|---|---|---|---|
| 0 h | 48 h | 0 h | 48 h | 0 h | 48 h | 0 h | 48 h | ||
| 1 | No | No | Yes | No | No | No | Yes | No | No |
| 2 | No | Yes | Yes | Yes | Yes | No | No | No | No |
| 3 | Yes | Yes | Yes | Yes | Yes | Yes | Yes | Yes | Yes |
| 4 | Yes | Yes | Yes | Yes | Yes | Yes | Yes | Yes | Yes |
| 5 | Yes | Yes | Yes | Yes | Yes | No | Yes | No | No |
| 6 | Yes | Yes | Yes | Yes | Yes | No | Yes | No | No |
| 7 | Yes | Yes | Yes | Yes | Yes | No | Yes | No | Yes |
| 8 | Yes | Yes | Yes | Yes | Yes | No | Yes | No | No |
| 9 | Yes | Yes | Yes | Yes | Yes | Yes | Yes | Yes | Yes |
| 10 | Yes | Yes | Yes | Yes | Yes | Yes | Yes | No | Yes |
| 11 | Yes | Yes | Yes | Yes | Yes | Yes | Yes | Yes | Yes |
| Positive control | Yes | No | No | No | No | Yes | Yes | Yes | Yes |
| Sample | Drug | CMDMA by Chromatography (% w/w) | CMDMA by Voltammetry (% w/w) | RE (%) * |
|---|---|---|---|---|
| 1 | Fenproporex | ---- | ---- | ---- |
| 2 | Caffeine | ---- | ---- | ---- |
| 3 | MDMA | 35.6 ± 0.2 | 31.9 ± 0.4 | −10.5 |
| 4 | MDMA | 61.0 ± 1.0 | 63.1 ± 2.0 | 3.5 |
| 5 | MDMA | 30.4 ± 0.4 | 30.1 ± 0.9 | −0.9 |
| 6 | MDMA | 32.1 ± 2.0 | 28.1 ± 3.0 | −12.4 |
| 7 | MDMA | 24.5 ± 4.0 | 25.0 ± 1.0 | 1.9 |
| 8 | MDMA | 28.3 ± 0.5 | 28.6 ± 0.4 | 0.9 |
| 9 | MDMA | 24.3 ± 0.1 | 21.1 ± 0.2 | −13.2 |
| 10 | MDMA + Caffeine | 19.4 ± 0.1 | 17.9 ± 0.5 | −7.6 |
| 11 | MDMA | 28.0 ± 0.8 | 26.1 ± 0.2 | −6.75 |
Disclaimer/Publisher’s Note: The statements, opinions and data contained in all publications are solely those of the individual author(s) and contributor(s) and not of MDPI and/or the editor(s). MDPI and/or the editor(s) disclaim responsibility for any injury to people or property resulting from any ideas, methods, instructions or products referred to in the content. |
© 2023 by the authors. Licensee MDPI, Basel, Switzerland. This article is an open access article distributed under the terms and conditions of the Creative Commons Attribution (CC BY) license (https://creativecommons.org/licenses/by/4.0/).
Share and Cite
Tadini, M.C.; Ipólito, A.J.; de Oliveira, M.F. Voltammetric MDMA Analysis of Seized Ecstasy Samples. Psychoactives 2023, 2, 359-372. https://doi.org/10.3390/psychoactives2040023
Tadini MC, Ipólito AJ, de Oliveira MF. Voltammetric MDMA Analysis of Seized Ecstasy Samples. Psychoactives. 2023; 2(4):359-372. https://doi.org/10.3390/psychoactives2040023
Chicago/Turabian StyleTadini, Maraine Catarina, Antônio José Ipólito, and Marcelo Firmino de Oliveira. 2023. "Voltammetric MDMA Analysis of Seized Ecstasy Samples" Psychoactives 2, no. 4: 359-372. https://doi.org/10.3390/psychoactives2040023
APA StyleTadini, M. C., Ipólito, A. J., & de Oliveira, M. F. (2023). Voltammetric MDMA Analysis of Seized Ecstasy Samples. Psychoactives, 2(4), 359-372. https://doi.org/10.3390/psychoactives2040023

