Next Article in Journal
Pre- and Post-Evaluation of an Interprofessional Education Program Combining Online and In-Person Instruction on Enhancing Empathy of Medical Students
Previous Article in Journal
Evaluating Chat GPT-4o’s Comparative Performance over GPT-4 in Japanese Medical Licensing Examination and Its Clinical Partnership Potential
 
 
Font Type:
Arial Georgia Verdana
Font Size:
Aa Aa Aa
Line Spacing:
Column Width:
Background:
Article

Enhancing Pathology Education Through Special Staining Integration: A Study on Diagnostic Confidence and Practical Skill Development

1
Institute of Pathology, Tongji Hospital, Tongji Medical College, Huazhong University of Science and Technology, Wuhan 430030, China
2
National Demonstration Center for Experimental Basic Medical Education, Tongji Medical College, Huazhong University of Science and Technology, Wuhan 430030, China
3
Department of Pathology, School of Basic Medicine, Tongji Medical College, Huazhong University of Science and Technology, Wuhan 430030, China
*
Author to whom correspondence should be addressed.
Int. Med. Educ. 2026, 5(1), 10; https://doi.org/10.3390/ime5010010
Submission received: 4 December 2025 / Revised: 26 December 2025 / Accepted: 5 January 2026 / Published: 8 January 2026

Abstract

Background: Pathology education requires innovative experimental teaching approaches to enhance clinical competency. This study evaluated the integration of special staining techniques into pathology curricula to improve diagnostic confidence and practical skills. Methods: The reform involved 227 medical students, incorporating acid-fast, PAS, GMS, Congo red, and other special stains into laboratory sessions. Diagnostic confidence was surveyed, and theoretical and practical exam scores were compared with 180 students from a previous grade. Statistical analysis was performed using GraphPad Prism 7.0. Results: Practical exam scores significantly improved (86.0 ± 17.2 vs. 82.2 ± 18.9, p < 0.001), while theoretical scores remained unchanged. Diagnostic confidence strongly correlated with morphological recognition, particularly for acid-fast and fungal stains. Student feedback noted challenges such as staining artifacts. Conclusion: Integrating special staining enhances practical skills and diagnostic confidence, effectively bridging basic and clinical training. Expanding such modules is recommended to advance competency-based medical education.

1. Introduction

Pathology serves as a fundamental medical discipline with a strong emphasis on practical application. At the Basic Medical College of Tongji Medical College, Huazhong University of Science and Technology, experimental pathology instruction constitutes 51.9% of the total curriculum hours (54/104), underscoring its pivotal role in pathology education. Given the current paradigm shift in medical education toward competency-based training, innovative reforms in pathology experimental pedagogy represent a critical area for advancing teaching methodologies [1]. Enhancing experimental course design is essential to align with contemporary educational objectives and foster the development of clinically proficient medical professionals.
The integration of special staining techniques—an essential auxiliary diagnostic methodology in clinical pathology—into pathology experimental curricula offers multifaceted educational benefits. Beyond enhancing microscopic visualization and diversifying instructional content, this approach enables medical students to acquire clinically relevant knowledge and diagnostic competencies during their foundational training. Such early exposure to pathological diagnostic techniques provides valuable preclinical experience, effectively reinforcing pathology’s pivotal role as a bridge between basic medical science and clinical practice [2].
Conventional pathology experimental instruction primarily comprises two fundamental components: macroscopic examination of pathological specimens and microscopic evaluation of hematoxylin-eosin (HE) stained tissue sections [3]. While medical institutions have extensively adopted pedagogical innovations and digital pathology resources over the past decade, substantive reforms in experimental content remain limited. Special staining techniques, as indispensable ancillary diagnostic modalities in clinical pathology, offer distinct advantages including cost-effectiveness, superior chromatic contrast, and precise target visualization [4]. These techniques maintain unique diagnostic value for specific histological elements (e.g., connective tissue components, amyloid deposits, and metabolic byproducts) and microbial identification, providing critical morphological evidence for definitive pathological diagnosis [5].
Given the pivotal role of special staining techniques in both clinical diagnostics and pathology education, this study aims to systematically evaluate their integration into experimental teaching. To explicitly delineate the innovation presented in this study, we contrast the standard and revised practical teaching modalities: In conventional pathology laboratory sessions, students’ practical skills are developed primarily through two activities: (1) the gross examination of pathological specimens, and (2) the microscopic observation of routine Hematoxylin and Eosin (HE)-stained slides. Their diagnostic training is thus confined to recognizing morphological patterns based on this single, albeit fundamental, staining technique. While essential, this approach does not provide hands-on experience with the ancillary diagnostic techniques that are routinely employed in clinical practice to confirm or differentiate diagnoses. Our reformed curriculum integrates strategically selected special stains (e.g., Acid-fast, PAS, GMS, Congo red) directly into the core laboratory sessions. Following the initial review of HE-stained slides for a given disease entity, students now actively analyze corresponding tissue sections that have been subjected to these special stains. This direct juxtaposition allows them to trace the complete diagnostic workflow: from generic histopathological changes to the identification of specific, stain-highlighted pathological features (e.g., microorganisms, amyloid deposits, connective tissues). This method transforms the laboratory session from a passive observation exercise into an active, simulated diagnostic process that mirrors real-world clinical pathology. This explicit integration of special staining techniques constitutes the core pedagogical intervention of our study, aiming to bridge the gap between foundational histology knowledge and applied diagnostic reasoning early in medical training. By assessing diagnostic confidence, morphological recognition proficiency, and examination performance before and after educational reforms, we seek to establish an evidence-based framework for optimizing pathology curricula.

2. Materials and Methods

2.1. Selection of Teaching Content and Special Staining Procedures

The chosen experimental content must involve special staining slides that meet the following requirements: vibrant coloration; clear and distinct staining of target structures; no ambiguous or poorly defined boundaries; direct correlation between special staining results and disease diagnosis. Positive cases related to special staining were retrieved from the clinical pathology database. Selected cases included those with positive results for: Acid-fast staining, PAS staining, Grocott’s methenamine silver (GMS) staining, Elastic fiber staining, Congo red staining, Iron staining, Copper staining, Masson’s trichrome staining. Slide preparation protocol: Tissue sections were cut at 4 µm thickness. Slides were baked at 80 °C for 30 min. While still warm, slides were placed in deparaffinization solution and processed through routine deparaffinization to hydration. The sections were then subjected to the respective special staining protocols. The selected special staining protocols were performed according to the standard protocol [6]. All reagents were purchased from Zhuhai Beso Biotechnology Co., Ltd. (Zhuhai, China) Room temperature was maintained at 25 °C during staining.

2.2. Classes Participating in the Experiment

Classes with the educational reform included Basic Medicine (Strong Foundation Plan Experimental Class), Preventive Medicine (Five-Year Program), Preventive Medicine (Bachelor’s, Master’s, and Doctoral Experimental Classes), and Medical Laboratory Technology (Four-Year Program), all of which included 227 students. The classes without educational reform were the previous grade and enrolled 180 students. The pre-reform (control) cohort comprised 180 students enrolled in the exact same set of programmes during the immediately preceding academic year.

2.3. Diagnostic Confidence Evaluation

The evaluation content mainly focuses on students’ staining situation and clear display of morphological characteristics of three special staining pathogens, as well as whether they are helpful for the learning of this chapter (Supplement Table S1). It informed students that the scoring represents their mastery of the learning content and diagnostic confidence. We made the survey content into a “questionnaire star” smartphone application, which will be sent to the class by the teacher in the experimental course of infectious diseases chapter, and then submitted to the application after the class. To ensure a valid comparison, the format, content coverage, and overall difficulty level of both the theoretical and practical examinations were held constant between the pre-reform and post-reform cohorts, as confirmed by the course’s senior instructional panel. The practical examination, in particular, maintained an identical structure of gross specimen identification and microscopic slide diagnosis. All practical answers were graded blindly by two independent instructors according to a standardized rubric to guarantee consistent marking criteria.

2.4. Statistical Analysis

Statistical analysis was performed using the GraphPad Prism 7.0 software. Data were analyzed using the Nonparametric test for comparison between two groups. Pearson analysis is used to analyze correlations. Data were presented as violin diagram. A p value less than 0.05 was considered to be significant.

3. Results

3.1. Distribution of Diagnostic Confidence in Special Staining Evaluation

The representative special staining images were shown as Figure 1. The survey questionnaire was collected and counted after the class, totaling 99 copies. In the rating of diagnostic confidence, 53 students gave a full score (100) while 46 students did not give a full score. The scores ranged from a minimum of 51 (1 student) to a distribution across intervals: 4 in 60–69, 5 in 70–79, 14 in 80–89, and 22 in 90–99. Consequently, we further examined the association between students’ self-rated diagnostic confidence and their ability to identify special staining patterns and associated morphological characteristics.

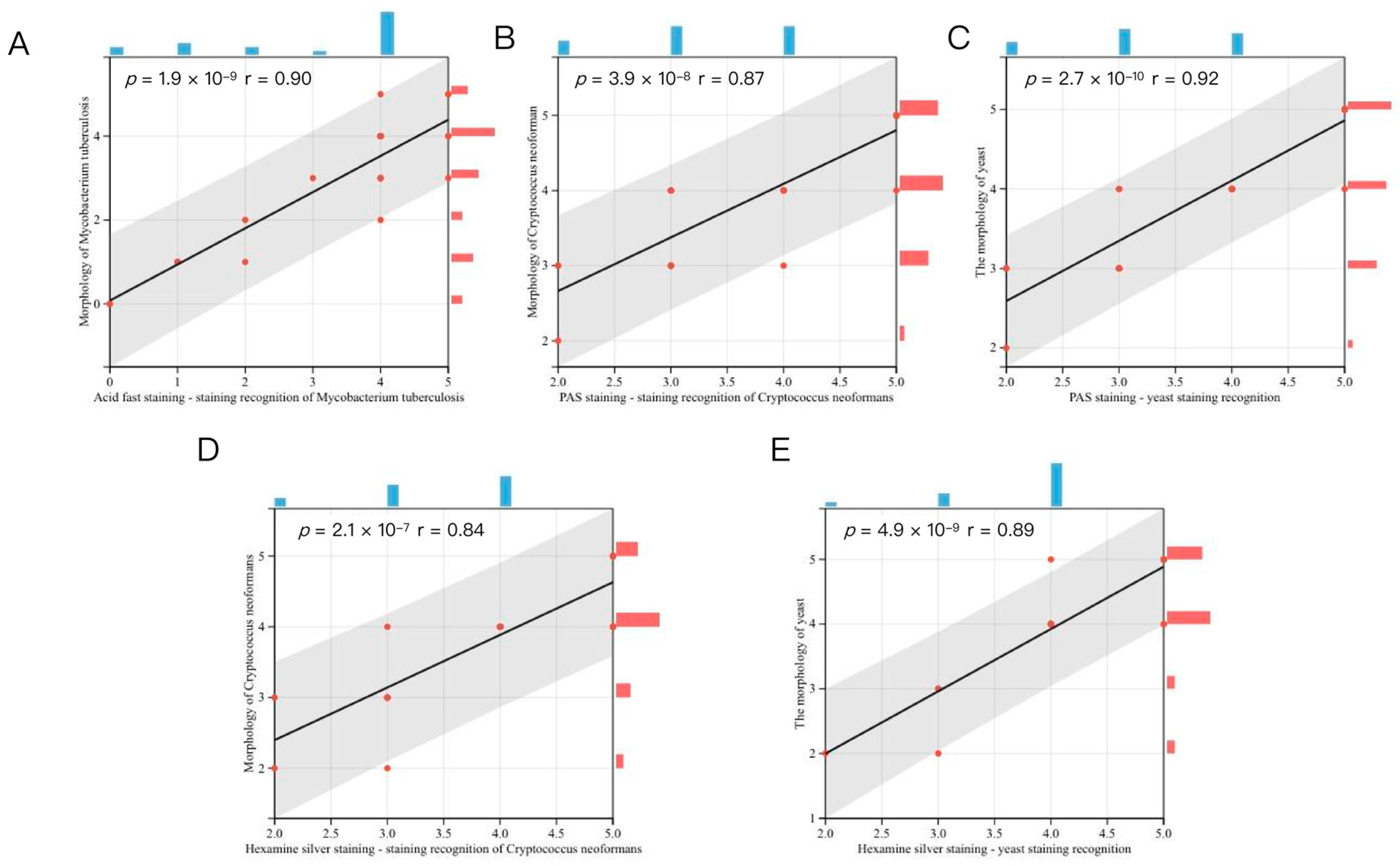
3.2. Staining-Morphology Recognition Link in Diagnostic Training

Our analysis revealed a strong correlation between students’ diagnostic confidence in identifying staining results and their morphological recognition proficiency when analyzing acid-fast staining of Mycobacterium tuberculosis, PAS staining and methenamine silver staining of Cryptococcus neoformans and other fungi. Specifically, insufficient understanding of staining effects directly corresponded to difficulties in morphological identification (Figure 2).

3.3. Learners’ Perspectives on Staining Artifacts and Morphology

At the end of the survey, we included an optional feedback section inviting students to share their thoughts and suggestions. We received 63 evaluations in total. After excluding positive comments such as “good” and similar expressions of approval, five students provided specific feedback regarding staining quality and morphological interpretation. One student noted that dust artifacts in the stained sections interfered with observation, while the other four all expressed confusion about the morphological presentation of acid-fast-stained Mycobacterium tuberculosis, reporting significant challenges in identification.

3.4. Significant Improvement in Practical Scores After Pathology Teaching Reform

We subsequently analyzed student performance before and after the educational reform, including both theoretical and practical examination scores. In this study, the theoretical examination consisted of multiple-choice questions, term explanations, and essay questions assessing pathological knowledge, while the practical examination involved the identification of gross specimens and microscopic slide diagnoses. The results showed no statistically significant difference in theoretical scores (68.0 ± 15.7 vs. 66.2 ± 16.8, p = 0.29) (Figure 3A) before (n = 180) and after (n = 227) the reform. However, practical examination scores improved significantly (82.2 ± 18.9 vs. 86.0 ± 17.2, p < 0.001) (Figure 3B). An analysis of pass rates further underscores the differential impact of the curricular reform on practical versus theoretical performance. Following the integration of special staining techniques, the practical examination pass rate showed a notable improvement, rising from 91.7% (165 out of 180 students passing) in the pre-reform cohort to 96.5% (219 out of 227 students passing) in the post-reform cohort. Conversely, the theoretical examination pass rate remained relatively stable, with 74.4% (134 out of 180) of students passing prior to the reform compared to 81.1% (184 out of 227) passing afterward. These figures align with the quantitative score analysis, reinforcing the conclusion that the hands-on, special staining intervention had a more pronounced positive effect on the development of applied, practical skills than on the retention of purely theoretical knowledge.

4. Discussion

The integration of special staining techniques into pathology experimental teaching represents a significant advancement in competency-based medical education. Our study demonstrates that this approach not only enhances students’ practical diagnostic skills but also strengthens their confidence in morphological recognition, particularly in identifying clinically relevant pathogens and tissue components. The observed improvement in practical examination scores following the educational reform underscores the effectiveness of hands-on training with special stains, while the stable theoretical performance suggests that cognitive knowledge acquisition may require distinct pedagogical strategies.
The strong correlation between diagnostic confidence and morphological proficiency in acid-fast staining (Mycobacterium tuberculosis), PAS, and GMS staining (Cryptococcus neoformans and fungi) highlights a critical pedagogical insight: visual mastery of staining patterns directly translates to diagnostic competence. This aligns with cognitive load theory, where reducing ambiguity in microscopic images (through high-quality special stains with “vibrant colors and clear contrast”) optimizes schema formation. Notably, student feedback identified acid-fast bacilli morphology as particularly challenging, possibly due to their slender, beaded appearance—a finding consistent with prior reports in microbiology education [7]. The reported interference from dust artifacts further emphasizes the need for stringent quality control in slide preparation, as even minor technical flaws can impede learning.
Our results carry three major implications for pathology education. Firstly, early exposure to clinical diagnostic methods (e.g., Congo red for amyloidosis or iron staining for metabolic disorders) bridges the gap between basic and clinical sciences, fulfilling pathology’s role as a “bridging discipline.” The “early clinical” experience reported by students corroborates recent trends in medical curricula [8]. Secondly, the dissociation between theoretical and practical performance suggests that current written exams may not fully capture staining-related competencies [9]. Incorporating image-based assessments could better evaluate visual diagnostic skills. Finally, while digital pathology libraries are widely adopted, our data reaffirm the irreplaceable value of physical special stains—particularly for teaching pathognomonic features.
On the other hand, several limitations warrant consideration. First, the single-center design at a top-tier medical school may limit generalizability. To establish the robustness and generalizability of our teaching model, future studies should aim to replicate this intervention with larger and more diverse cohorts of students across multiple institutions. Second, the subjective nature of diagnostic confidence scoring could introduce bias, though its correlation with objective performance metrics mitigates this concern. In addition, a longitudinal follow-up assessment is crucial to determine whether the observed improvements in diagnostic confidence and practical skill are sustained over time, translating into long-term competency in clinical practice or residency training. Finally, for this educational innovation to be considered for widespread adoption, a formal cost-effectiveness and logistical analysis is warranted. Such an analysis would evaluate the tangible resources required (e.g., specialized stains, reagents, microscope time, instructor training) against the measurable educational outcomes and potential downstream benefits, such as improved diagnostic accuracy and efficiency. Future studies should employ longitudinal tracking to determine whether early staining proficiency predicts clinical performance during residency.

5. Conclusions

The special staining techniques serve as a powerful tool for transforming pathology education. By combining the tactile engagement of microscopy with the diagnostic precision of clinical stains, this approach cultivates essential pattern recognition skills while fostering diagnostic confidence—a critical step toward producing competent, practice-ready physicians. We recommend expanding special staining modules across organ systems and integrating them with emerging technologies like virtual microscopy to maximize their educational impact.

Supplementary Materials

The following supporting information can be downloaded at: https://www.mdpi.com/article/10.3390/ime5010010/s1, Table S1: Evaluation Form for Teaching Reform of Pathology Infectious Disease Experiment (For Students).

Author Contributions

Conceptualization and methodology, Z.Q. and Z.H.; investigation, Z.Q., C.W., Y.D., J.G., R.Y., H.Y. and X.W.; formal analysis, Z.H.; writing—original draft preparation, Z.H.; writing—review and editing, all authors; resources, C.W., Y.D., J.G., R.Y., H.Y. and X.W.; supervision, Z.H. All authors have read and agreed to the published version of the manuscript.

Funding

This paper was supported with Technical Research Project Funding from Huazhong University of Science and Technology (No.HZKJSYJSXM2024M100, and No.2025-2-71).

Institutional Review Board Statement

This study was approved by the ethic committee of Tongji Hospital, Huazhong University of Science and Technology (TJ-IRB202406046), and informed consent was obtained from archival sources.

Informed Consent Statement

Informed consent was obtained from all subjects involved in the study.

Data Availability Statement

We declare all data are available.

Conflicts of Interest

The authors declare no conflicts of interest.

Abbreviations

The following abbreviations are used in this manuscript:
DICDisseminated Intravascular Coagulation
GMSGrocott’s Methenamine Silver
HEHematoxylin and Eosin
MSBMartius Scarlet Blue
PASPeriodic Acid-Schiff

References

  1. Boudreau, D.; Fuks, A. Transformations in medical education: A prudential perspective. Health Care Sci. 2024, 3, 73–77. [Google Scholar] [CrossRef] [PubMed]
  2. Marshall, R.; Cartwright, N.; Mattick, K. Teaching and learning pathology: A critical review of the English literature. Med. Educ. 2004, 38, 302–313. [Google Scholar] [CrossRef] [PubMed]
  3. Dibal, N.I.; Garba, S.H.; Jacks, T.W. Histological stains and their application in teaching and research. Asian J. Health Sci. 2022, 8, ID43. [Google Scholar] [CrossRef]
  4. Pyden, A.; Rugwizangoga, B.; Solomon, I.H.; Laga, A.C. Teaching infectious disease pathology and taking it to Africa. Mod. Pathol. 2023, 36, 100168. [Google Scholar] [CrossRef] [PubMed]
  5. Mills, A.M.; Meyers-Needham, M.; LeGallo, R.D.; Boyd, J.C.; Cathro, H.P.; Haverstick, D.M.; La Fortune, K.A.; Mills, S.E.; Moskaluk, C.A.; Stelow, E.B.; et al. From slide sets to sound bites: Teaching and learning pathology in the digital age. J. Am. Soc. Cytopathol. 2014, 3, 183–187. [Google Scholar] [CrossRef] [PubMed]
  6. Bancroft, J.D.; Gamble, M. Theory and Practice of Histological Techniques; Elsevier Health Sciences: Amsterdam, The Netherlands, 2008. [Google Scholar]
  7. Wang, S. Online Learning for Acid-Fast Bacilli Detection in Histopathological Images. Ph.D. Thesis, University of Nevada, Las Vegas, NV, USA, 2024. [Google Scholar]
  8. Knollmann-Ritschel, B.E.C.; Huppmann, A.R.; Borowitz, M.J.; Conran, R. Pathology Competencies in Medical Education and Educational Cases: Update 2023. Acad Pathol. 2023, 10, 100086. [Google Scholar] [CrossRef] [PubMed]
  9. Harris, C.K.; Chen, Y.; Jensen, K.C.; Hornick, J.L.; Kilfoyle, C.; Lamps, L.W.; Heher, Y.K. Towards high reliability in national pathology education: Evaluating the United States and Canadian Academy of Pathology educational product. Acad Pathol. 2022, 9, 100048. [Google Scholar] [CrossRef] [PubMed]
Figure 1. Examples of the application of special staining in pathological diagnosis. (A) Diffuse amyloidosis of bladder neoplasm: Methanol Congo red staining under conventional light microscopy shows amyloid material appearing brick-red (100×). (B) Diffuse amyloidosis of bladder neoplasm: Methanol Congo red staining under polarized light microscopy shows amyloid material exhibiting birefringent apple-green (100×). (C) Chronic pulmonary congestion with hemosiderin deposition: Iron staining reveals blue iron granules (200×). (D) Fibrin in glomeruli due to toxin-induced DIC: Martius Scarlet Blue (MSB) staining shows fibrin in red (200×). (E) Lung cancer cells invading visceral pleura: Victoria blue staining highlights elastic fibers in blue (100×). (F) Collagen fibers in hypertrophic cardiomyopathy: Masson’s trichrome staining shows markedly increased collagen fibers in sky blue. (G) Copper deposition in Wilson’s disease (hepatic metabolic disorder): Rubeanic acid method demonstrates copper granules in dark green (400×). (H) Mycobacterium tuberculosis in tuberculosis: Acid-fast staining reveals red tubercle bacilli (400×). (I) Cryptococcus neoformans: PAS staining shows purple-red organisms (400×). (J) Cryptococcus neoformans: Grocott’s methenamine silver (GMS) staining displays brown to black organisms (200×). (K) Aspergillus: PAS staining highlights hyphae in purple-red (100×). (L) Aspergillus: Grocott’s methenamine silver (GMS) staining shows brown to black hyphae. (Note: Abbreviations retained as per medical convention, e.g., DIC = Disseminated Intravascular Coagulation; PAS = Periodic Acid-Schiff; GMS = Grocott’s Methenamine Silver).
Figure 1. Examples of the application of special staining in pathological diagnosis. (A) Diffuse amyloidosis of bladder neoplasm: Methanol Congo red staining under conventional light microscopy shows amyloid material appearing brick-red (100×). (B) Diffuse amyloidosis of bladder neoplasm: Methanol Congo red staining under polarized light microscopy shows amyloid material exhibiting birefringent apple-green (100×). (C) Chronic pulmonary congestion with hemosiderin deposition: Iron staining reveals blue iron granules (200×). (D) Fibrin in glomeruli due to toxin-induced DIC: Martius Scarlet Blue (MSB) staining shows fibrin in red (200×). (E) Lung cancer cells invading visceral pleura: Victoria blue staining highlights elastic fibers in blue (100×). (F) Collagen fibers in hypertrophic cardiomyopathy: Masson’s trichrome staining shows markedly increased collagen fibers in sky blue. (G) Copper deposition in Wilson’s disease (hepatic metabolic disorder): Rubeanic acid method demonstrates copper granules in dark green (400×). (H) Mycobacterium tuberculosis in tuberculosis: Acid-fast staining reveals red tubercle bacilli (400×). (I) Cryptococcus neoformans: PAS staining shows purple-red organisms (400×). (J) Cryptococcus neoformans: Grocott’s methenamine silver (GMS) staining displays brown to black organisms (200×). (K) Aspergillus: PAS staining highlights hyphae in purple-red (100×). (L) Aspergillus: Grocott’s methenamine silver (GMS) staining shows brown to black hyphae. (Note: Abbreviations retained as per medical convention, e.g., DIC = Disseminated Intravascular Coagulation; PAS = Periodic Acid-Schiff; GMS = Grocott’s Methenamine Silver).
Ime 05 00010 g001
Figure 2. Correlation analysis between the diagnostic confidence scores of special staining morphology and staining effects. (A) Staining effect and bacterial morphology of Mycobacterium tuberculosis with acid-fast staining. (B) Staining effect and fungal morphology of Cryptococcus neoformans with PAS staining. (C) Staining effect and fungal morphology of Aspergillus with PAS staining. (D) Staining effect and fungal morphology of Cryptococcus neoformans with Grocott’s methenamine silver (GMS) staining. (E) Staining effect and fungal morphology of Aspergillus with Grocott’s methenamine silver (GMS) staining.
Figure 2. Correlation analysis between the diagnostic confidence scores of special staining morphology and staining effects. (A) Staining effect and bacterial morphology of Mycobacterium tuberculosis with acid-fast staining. (B) Staining effect and fungal morphology of Cryptococcus neoformans with PAS staining. (C) Staining effect and fungal morphology of Aspergillus with PAS staining. (D) Staining effect and fungal morphology of Cryptococcus neoformans with Grocott’s methenamine silver (GMS) staining. (E) Staining effect and fungal morphology of Aspergillus with Grocott’s methenamine silver (GMS) staining.
Ime 05 00010 g002
Figure 3. Analysis of student exam scores before and after educational reform. (A) Comparison of theoretical exam scores showed no statistically significant difference. (B) Practical exams demonstrated a significant improvement in student performance after the reform (p < 0.001).
Figure 3. Analysis of student exam scores before and after educational reform. (A) Comparison of theoretical exam scores showed no statistically significant difference. (B) Practical exams demonstrated a significant improvement in student performance after the reform (p < 0.001).
Ime 05 00010 g003
Disclaimer/Publisher’s Note: The statements, opinions and data contained in all publications are solely those of the individual author(s) and contributor(s) and not of MDPI and/or the editor(s). MDPI and/or the editor(s) disclaim responsibility for any injury to people or property resulting from any ideas, methods, instructions or products referred to in the content.

Share and Cite

MDPI and ACS Style

Qu, Z.; Wang, C.; Duan, Y.; Guo, J.; Yang, R.; Yu, H.; Wang, X.; Huo, Z. Enhancing Pathology Education Through Special Staining Integration: A Study on Diagnostic Confidence and Practical Skill Development. Int. Med. Educ. 2026, 5, 10. https://doi.org/10.3390/ime5010010

AMA Style

Qu Z, Wang C, Duan Y, Guo J, Yang R, Yu H, Wang X, Huo Z. Enhancing Pathology Education Through Special Staining Integration: A Study on Diagnostic Confidence and Practical Skill Development. International Medical Education. 2026; 5(1):10. https://doi.org/10.3390/ime5010010

Chicago/Turabian Style

Qu, Zhiling, Chengcheng Wang, Yaqi Duan, Junhong Guo, Rumeng Yang, Huiling Yu, Xi Wang, and Zitian Huo. 2026. "Enhancing Pathology Education Through Special Staining Integration: A Study on Diagnostic Confidence and Practical Skill Development" International Medical Education 5, no. 1: 10. https://doi.org/10.3390/ime5010010

APA Style

Qu, Z., Wang, C., Duan, Y., Guo, J., Yang, R., Yu, H., Wang, X., & Huo, Z. (2026). Enhancing Pathology Education Through Special Staining Integration: A Study on Diagnostic Confidence and Practical Skill Development. International Medical Education, 5(1), 10. https://doi.org/10.3390/ime5010010

Article Metrics

Back to TopTop