Abstract
Bacterial contamination of water and food sources is still a major source of diseases. Early detection of potential pathogens is key to prevent their spreading and severe health risks. Here, we describe a fast, low-cost detection assay based on horseradish peroxidase (HRP) conjugated to streptavidin for the direct identification of bacteria. Streptavidin can bind to bacterial cells due to its high affinity for biotin, a natural component of microbial cell surfaces. Upon binding to bacteria, the HRP converts a chromogenic substrate, resulting in a visible color change. In the present study, we evaluated different detection platforms regarding their compatibility with the detection principle. To reduce background signals and increase the sensitivity of HRP-based assays, the binding of HRP to surfaces and biomolecules was intensively investigated. The final assay successfully detected the most relevant bacterial strains in drinking water, such as Escherichia coli, Klebsiella pneumonia, and Enterobacter cloacae.
1. Introduction
Access to clean and safe water is crucial for health and improved life quality for people all over the world. Unfortunately, contaminated drinking water and poor sanitation and hygiene are still major sources of diseases and cause approximately six percent of deaths worldwide [1,2]. Waterborne diseases are caused by polluted drinking water and contaminated water used in the production process of industrial sectors, such as the food or pharmaceutical industry. Therefore, to improve water safety, fast, cheap, and on-site identification methods are required. The current procedures for the identification and quantification of bacteria are either cultivation or molecular methods. Cultivation-based approaches are time-consuming and need up to 72 h.
In contrast, molecular methods such as polymerase chain reactions (PCR) are faster but more expensive [3]. Several biosensors were developed in the last decades to detect pathogens in water) [4,5]. However, the complexity, high cost, and the requirement of high sensitivity standards are still limiting factors for the deployment of biosensors in the analysis of environmental samples.
We investigated the use of horseradish peroxidase-conjugated to streptavidin (HRP-Strep) for the direct detection of pathogens. The metalloenzyme horseradish peroxidase (HRP) is one of the most sensitive reporter enzymes known [6]. HRP is an important commercial enzyme extensively studied as a model for oxidation reactions and is frequently used in various applications such as biosensors, immunoassays, and medical diagnostics [7,8,9,10,11,12,13]. The enzyme binds noncovalently to a heme cofactor that contains four structurally essential disulfide bonds, nine N-linked glycosylation sites, and two Ca2+ ions [7,14]. It catalyzes the H2O2-dependent oxidation of a wide variety of substrates. Conversion of a chromogenic substrate, such as 2,2-azinobis-(3-ethylbenzothiazoline)-6-sulfonic acid (ABTS) or 3,3′,5,5′-tetramethylbenzidine (TMB) results in color changes visible with the naked eye [15].
HRP naturally occurs in the horseradish roots, which exist in at least 15 different isoforms. The most abundant isoenzyme is C1A [16]. For industrial use, HRP is still extracted from the plant, which results in a diverse composition of isoenzymes in the final product. The plant-derived isoenzyme C1A is glycosylated with (Xyl)Man3GlcNAc2(Fuc) at eight of the nine available asparagine sites. To apply HRP for biotechnological applications such as diagnostics, its recombinant production is required. One option is the isolation from the yeast species Pichia pastoris or Saccharomyces cerevisiae, which results in correct folding, disulfide bond formation, and heterogenous hypermannosylation (ManxGlcNAc2) [17,18]. Another possibility is the expression in E. coli. However, this requires refolding, resulting in unglycosylated HRP with reduced stability [19].
For use as a reporter enzyme, HRP is commonly conjugated to antibodies, proteins, and other chemical molecules, most commonly to streptavidin. Streptavidin is a protein derived from the bacterium Streptomyces avidinii and resembles a homotetramer. It can bind four biotin molecules. The streptavidin-biotin interaction is one of the strongest known non-covalent interactions (Kd 10–14 M) [20,21] and therefore widely used in different biotechnological applications [21]. Bacteria naturally contain biotinylated proteins in their cell membrane [22]. Therefore, we hypothesized that streptavidin can be used to recognize bacteria directly as it can bind to pathogenic bacteria via biotin. We exploited this feature and used HRP-Strep for the direct detection of bacteria in water. In this context, different detection platforms were evaluated (Figure 1), and several factors were identified which have a great impact on the detection assays. An important factor negatively influencing the sensitivity of diagnostic tests is unintended background signals. Thus, we analyzed the molecular interactions of HRP with various surfaces in different platforms and identified a wide range of settings in which HRP causes false-positive signals. Our findings could have a significant effect on the development of HRP-based diagnostic assays. Finally, an enzyme-linked immunosorbent-like assay (ELISA-like) was developed and could detect different pathogens in water in less than 5 h.
Figure 1.
(A) Schematic representation of the detection of bacterial cells directly on a solid support. (B) Schematic representation of the detection of bacteria via streptavidin magnetic particles. (C) Schematic representation of the ELISA-like assays performed either in Eppendorf tubes or in 96-well plates.
2. Materials and Methods
2.1. Materials
Unless otherwise specified, all chemicals were purchased from Merck KGaA (Darmstadt, Germany). DNA was purchased from Integrated DNA Technologies (IDT) (Leuven, Belgium). Enzymes were acquired from Thermo Fisher Scientific (Waltham, MA, USA).
2.2. Filter Experiments
Bacterial cells were grown overnight in a 2xYT medium. The next day, the cells were adjusted to OD600 of 1 with PBS. This corresponds to a concentration of 109 cells/mL. 10-fold serial dilutions were prepared in PBS, and 1 mL of each concentration was applied to different syringe filters made with PVDF-, PES- or polypropylene-membrane. The filter was washed three times by passing 1 mL PBS through the filter. HRP-conjugated streptavidin (HRP-Strep, N100/Thermo Fisher Scientific, Waltham, MA, USA) was prepared in a 1:104 dilution in PBS, and 1 mL was used to apply on the filter. Then, the filter is incubated for 1 h at room temperature (RT). Subsequently, the filters were washed five times with 10 mL PBS. Finally, 1 mL TMB substrate solution (1-step ultra TMB-ELISA substrate solution, Thermo Fisher Scientific, Waltham, MA, USA) was passed through each filter. The filters were incubated for 10 min at RT before the development of a blue color was observed and a picture was taken.
HRP from horseradish was purchased from Merck KGaA (P8375, Darmstadt, Germany). Unglycosylated HRP was expressed and purified from E. coli as described in Humer et al. [19]. HRP was cloned in-frame with the α-factor into pPICZαB, linearized by digestion with SacI and transformed into competent P. pastoris X-33 (Invitrogen, Waltham, MA, USA) or P. pastoris SuperMan5 (Biogrammatics, Carlsbad, CA, USA) by heat shock. Yeast cultures were grown in BMMY medium supplemented with 10 µM hemin for 80 h, and expression was induced by the addition of 1% methanol every 24 h. The cells were harvested, and the HRP-containing supernatant was applied to the filter.
2.3. Detection of Bacteria on Lateral Flow Device (LFD)
Briefly, bacterial cells were first grown overnight in TSB media. The next day, the cells were adjusted to OD 600 of 1 using 0.1 M sodium phosphate buffer, pH 7.4 (PBS), corresponding to a concentration of ~109 cell/mL. 10-fold bacterial serial dilution was prepared in PBS to a final volume of 1mL in PBS. Lateral flow dipsticks already prefabricated at AIT made of Nitrocellulose were used. Briefly, a drop of a suspension of bacteria in PBS at different concentrations was pipetted on different nitrocellulose dipsticks. The dipsticks were incubated at room temperature for 1 h to let the PBS evaporate, and the bacteria stuck to the nitrocellulose dipstick. 1 mL of PBS was running through the dipstick from left to right (direction of the flow). Subsequentially, HRP-conjugated streptavidin (N100/ThermoFisher Scientific, Waltham, MA, USA) was prepared in a dilution range of 1:104 in PBS, and 1 mL of it was running through the dipstick in the direction of the flow. 3 to 5 washing steps were then made by running 1 mL of PBS in the direction of the flow. TMB substrate solution (1 mL; 1-step ultra TMB-ELISA substrate solution, ThermoFisher Scientific, 34028, Waltham, MA, USA) was running through the dipstick in the direction of the flow. After 10 min of incubation at room temperature, the filters were inspected, and the development of blue color was observed. If the bacterial cells were detected after 10 min of incubation at room temperature, a formation of blue color was observed where the cells were pipetted. Negative control was prepared by following all the previous steps but without the addition of bacterial cells.
2.4. Magnetic Bead Experiments
Bacterial cells were prepared as described previously. On the day of the experiment, a 10-fold dilution of bacteria in PBS was prepared, and 1 mL was distributed in either normal Eppendorf tubes (EP0030120086) or low-binding Eppendorf tubes (EP0030108116). Streptavidin magnetic beads (SMB, 11641778001, Merck KGaA, Darmstadt, Germany) were washed three times with PBS, and then a 1:10 dilution of the beads was prepared. Each bacterial dilution was mixed with 100 µL diluted SMB and shaken at 700 rpm for 1 h at RT. Then, the supernatant was removed, and the beads were washed three times with 1 mL PBS. Afterwards, 1 mL of 0.1 µM HRP-Strep was added and shaken at 700 rpm for 1 h at RT. The beads were washed thrice with 1 mL PBS, then 200 µL TMB was added. Finally, 100 µL supernatant was transferred into a 96-well plate, and absorbance was measured at 605 nm using a plate reader (EPOCH, Agilent Biotek, Santa Clara, CA, USA).
2.5. Eppendorf Experiments
Bacterial cells were first grown overnight in 2xYT medium. The next day, the cells were washed with PBS and adjusted to OD600 of 1 (correlate to 109 cells/mL) in medium or PBS. 10-fold serial dilutions were prepared, and 1 mL was distributed in each Eppendorf tube (EP0030120086). The plate was incubated at 37 °C for 3 h at 600 rpm. The cells were washed once with 1 mL PBS, and then 1 mL of 0.1 nM HRP-Strep was added and incubated for 1 h at RT at 600 rpm. The cells were washed with 2 × 1 mL of PBS and 200 µL TMB substrate solution. After 10 min incubation, 100 µL were transferred in a standard 96-well plate added, and absorbance was measured at 605 nm using a plate reader (EPOCH, Agilent Biotek, Santa Clara, CA, USA).
2.6. Spiked Water Experiments
E. coli M/11407 was grown overnight at 37 °C in a 2xYT medium. Cells were then centrifuged and resuspended in tap water to an OD600 of 1. Different Eppendorf tubes were prepared to contain 100, 102 and 103 cell/mL in tap water. Each 1 mL of each cell concentration was added to 4 mL of 2xYT medium and incubated overnight at 37 °C. The day after, the cells were centrifuged and resuspended in 1 mL of PBS in Eppendorf tubes, which were then incubated at 37 °C for 3 h at 600 rpm. The cells were washed once with 1 mL PBS, and then 1 mL of 0.1 nM HRP-Strep was added and incubated for 1 h at RT at 600 rpm. The cells were washed with 2 × 1 mL of PBS and 200 µL TMB substrate solution was added. After 10 min incubation, 100 µL were transferred in a standard 96-well plate added, and absorbance was measured at 605 nm using a plate reader (EPOCH, Agilent Biotek, Santa Clara, CA, USA).
2.7. Plate Experiments
Bacterial cells were first grown overnight in 2xYT medium. The next day, the cells were washed with PBS and adjusted to OD600 of 1 (correlate to 109 cells/mL) in medium or PBS, and 100 µL distributed in each well of a 96-well plate. Two types of plates were tested: standard 96-well plates (Nunc MicroWell 96-Well microplates, 269787, ThermoFisher Scientific, Waltham, MA, USA) or high-binding 96-well plates (Nunc Immuno MaxiSorp MicroWell 96-well solid plate, M9410, ThermoFisher Scientific, Waltham, MA, USA). The plates were incubated at 37 °C for 3 h at 600 rpm. The cells were washed once with 200 µL PBS, and then 200 µL of 0.1 nM HRP-Strep was added and incubated for 1 h at RT at 600 rpm. The cells were washed 2 × 200 µL of PBS and 100 µL TMB substrate solution. After 10 min incubation, absorbance was measured at 605 nm using a plate reader (SpectraMaxi iD3, Molecular Devices GmbH, Munich, Germany).
Additional experiments were performed as follows. Bacterial cells were first grown overnight in 2xYT medium. The next day, the cells were washed with PBS and adjusted to OD600 of 1 (correlate to 109 cells/mL) in PBS, and 100 µL distributed in each well of a high-binding 96-well plate. The plate was incubated overnight at 4 °C. On the day of the experiment, the wells were washed with 2 × 200 µL of PBS followed by blocking with 200 µL of 3% BSA or of 0, 5, 10, or 15% in PBS for 1.5 h at room temperature. Afterwards, the wells were washed with 3 × 200 µL of PBS, including 0.05% Tween-20. HRP-Strep or HRP-anti his tag antibody (A00612, GenScript, Rijswijk, The Netherlands) was prepared in a dilution range of 1:104 in PBS, and 100 µL was added to each well, followed by incubation at RT for 1 h. Subsequently, the wells were washed five times with 200 µL of PBS and then applied 100 µL of TMB substrate solution. After 15 min of incubation, the reaction was stopped by adding 50 µL/well of 1 M H2SO4. The optical density was measured at 450 nm using a plate reader.
The efficiency of HRP-Strep to detect different number of bacterial cells were investigated by ELISA-like assay. Briefly, bacterial cells were first grown overnight in TSB media. On the next day, the cells were prepared in a 10-fold dilution (10–109 cells/mL) in PBS and immobilized on high-binding 96-well plates (Nunc Immuno MaxiSorp MicroWell 96-well solid plate, M9410, ThermoFisher Scientific, Waltham, MA, USA). The plate was incubated overnight at 4 °C. On the day of the experiment, the coated wells were washed with 2 × 200 µL of PBS, followed by blocking with 200 µL of 3% BSA for 1.5 h at room temperature. Afterwards, the wells were washed with 3 × 200 µL of PBS, including 0.02% Tween-20. HRP-conjugated streptavidin (N100/ThermoFisher Scientific, Waltham, MA, USA) was prepared in a dilution range of 1:104 in PBS, and 100 µL of it was applied to each well, followed by incubation at RT for 1 h. Subsequently, the wells were washed five times with 200 µL of PBS. TMB substrate solution of 100 µL was added to each well, and absorbance was measured at 605 nm using a plate (SpectraMaxi iD3, Molecular Devices GmbH, Munich, Germany).
3. Results
3.1. Strong Affinity of HRP towards Microfilters
First, HRP-Strep was employed to detect pathogens on a solid support. Therefore, water samples containing E. coli were filtered through membranes with the pore size 0.45 µm2 or 0.22 µm2 and thus accumulated on the filter. Then, HRP-Strep was applied and expected to bind to the bacteria. The addition of a substrate solution would result in blue color development in the presence of bacteria (Figure 1A).
As expected, the development of blue color could be observed on the filters in the presence of E. coli BL21 (DE3). Unfortunately, a blue color developed on the microfilter also if HRP-Strep was applied in the absence of bacteria, indicating unspecific binding of HRP-Strep to the filter material. To overcome this unspecific binding, membrane materials with different chemical properties were tested (Figure 2). All tested filter materials are commonly used to filtrate biological samples and are labelled “low protein binding”. Surprisingly, HRP-Strep is bound to all tested materials, although the surface properties are very different. While the PES membranes are hydrophilic, the PP filters are hydrophobic. To investigate the phenomenon of the unspecific binding in more detail, we tested different HRP constructs on the filters. First, HRP-Strep was substituted by HRP purified from horseradish. Both enzymes were comprising the regular plant glycosylation pattern ((Xyl)Man3GlcNAc2(Fuc)). However, HRP alone resulted in blue color development on the filter upon the addition of the substrate, leading to the conclusion that HRP interacts with the microfilters. Since HRP is covered with glycans [23,24], we hypothesized that sugar/filter interactions could impact the binding properties. Therefore, various HRPs with different glycosylation patterns were tested, such as hypermannoyslated HRP expressed in P. pastoris X-33, Man5GlcNAc2 expressed in the P. pastoris strain SuperMan5, and non-glycosylated HRP purified from E. coli. Independent of the glycosylation pattern, HRP was binding to the tested filter materials (Figure 2F,G). Most surprisingly, even the unglycosylated HRP was interacting with the filter.
Figure 2.
Images of different microfilters illustrating unintended background signals caused by HRP-Strep. (A–D) and HRP (F–H) in the absence of bacteria. (A) HRP-Strep on PES filter, 0.2 µm (B) HRP-Strep on PVDF filter, 0.4 µm (C) HRP-Strep on Nylon filter, 0.2 µm (D) HRP-Strep on PP filter, 0.2 µm (E) only substrate solution on PDVF filter (F) commercial HRP (no Strep) (G) HRP expressed in P. pastoris on PDVF filter (H) HRP expressed in P. pastoris SuperMan5 on PDVF filter (I) PVDF membrane filter with HRP-Strep.
These results are also important to understand the challenges associated with the purification of native, recombinant, and fusion HRP proteins. Since most protein purification methods include filtration steps, the binding of HRP to common filter materials results in no or very low protein yields. To avoid the usage of an isoenzyme mixture of HRP and undisclosed recombinant versions usually marketed by commercial providers, we intended to purify and use well-defined HRP proteins. Several purification methods were evaluated, for example, Ni-NTA affinity purification, anion exchange chromatography or size exclusion chromatography (Figure S1 in Supplementary).
In conclusion, using microfilters to concentrate bacteria from water samples is incompatible with HRP-based readouts on the filters. Thus, different detection approaches were followed.
3.2. Detection of Bacteria on a Lateral Flow Device
The chromatographic lateral flow dipstick (LFD) is a simple diagnostic device to confirm the presence or absence of a target analyte, e.g., a pathogen. Usually, antibodies are immobilized on a nitrocellulose membrane, and the sample flows due to capillary forces along the dipstick. If an analyte is present, a colored band can be visualized on the dipstick [25].
In this study, we investigated the compatibility of such a system with HRP-based detection procedures. To further increase the binding affinity towards bacteria of the system, we functionalized Strep-HRP with antimicrobial peptides (AMPs). AMPs have a high affinity towards bacterial surfaces. This feature can be exploited for the development of rapid and low-cost biosensors. An advantage of AMPs over antibodies is that they bind to bacterial membranes in general, allowing the detection of a wide range of bacterial species.
To investigate the feasibility of this detection concept, we immobilized bacterial cells on custom-made dipsticks. After that, a series of biotinylated-AMPs flowed along the dipstick at a concentration of 5 µM and subsequently HRP-Strep. By simply spraying the TMB substrate solution on the dipstick, we were expecting the development of a blue color in the place where the bacteria were immobilized.
As reported in Figure 3, we saw a blue circle corresponding to where bacteria were immobilized. A common limitation of LFD-based assays is poor sensitivity. Consequently, we did not observe the development of a blue color when a lower concentration of bacteria was tested. Also, using this platform led to the generation of high background signals, probably due to a high affinity of HRP to nitrocellulose.
Figure 3.
Lateral flow device with biotin-AMP/streptavidin-HRP detection. Left image E. coli BL21 (DE3) and XL blue immobilized at a high concentration (~1011 cells/mL) (A) no bacteria (B) E. coli BL21 (DE3) (C) E. coli XL blue. Right image: E. coli BL21(DE3) immobilized at lower concentration: (A) no bacteria (B) E. coli BL21 5 × 108 cells/mL (C) E coli BL21 109 cells/mL. Red arrows show where bacteria were immobilized.
3.3. Detection of Bacteria on Streptavidin-Coated Magnetic Beads
As an alternative detection structure avoiding unspecific binding effects, streptavidin-coated magnetic beads (SMB) were considered. Most commonly, these beads are used for the separation and purification of target molecules, but there are reports in which they are employed for biosensing applications [26,27]. Here, the SMB was utilized in an ELISA-like sandwich assay in solution. Therefore, bacteria were immobilized on the streptavidin magnetic particles first and then detected via HRP-Strep, which can also bind to the biotin present in the cells (Figure 1B).
As desired, this method increased absorbance with increasing E. coli concentrations (Figure 4A). However, the effect was small, and only high bacterial concentrations could be detected. To find opportunities for improvement, we performed several control experiments to understand ongoing processes better. As mentioned, high bacterial concentrations resulted in absorbance values of 0.5, correlating to a blue color development (Figure 4B). However, the absorbance in the presence of only bacteria lacking SMB was comparable high. Surprisingly, the highest absorbance resulted from HRP-Strep with SMB without bacteria.
Figure 4.
(A) Calibration curve of detecting different E. coli BL21 (DE3) concentrations using streptavidin magnetic beads and HRP-Strep. (B) Effect of different components on the interaction of HRP-Strep to bacteria and magnetic beads. As a negative control, PBS was used.
To better understand these unintended interaction processes on the tube surfaces, we also used protein low-binding Eppendorf tubes with hydrophilic surfaces to prevent protein binding and loss (Figure S2). Interestingly, HRP-Strep showed a higher affinity for the low-binding tubes than the normal ones.
3.4. Detection of Bacteria in an ELISA-like Assay Performed in Eppendorf Tubes
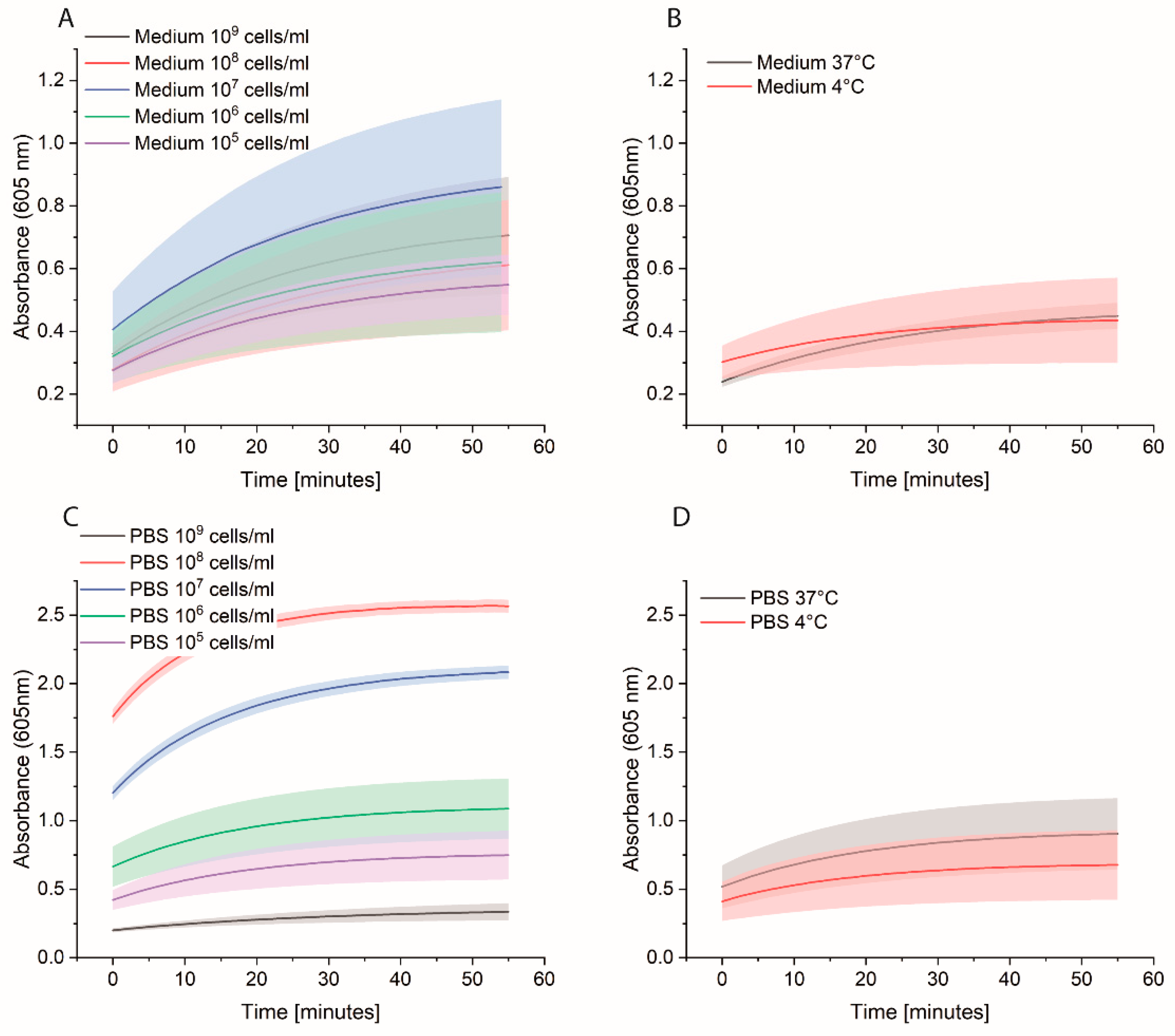
In the SMB experiments, we found out that it is possible to detect bacteria directly in Eppendorf tubes. Therefore, we continued to perform ELISA-like assay experiments in standard Eppendorf tubes. Different E. coli BL21 (DE3) dilutions (105 cells/mL to 109 cells/mL) were prepared in PBS or medium and incubated for 3 h at 37 °C, followed by incubation with HRP-Strep for 1 h. After washing two times with PBS, the substrate solution was added, and peroxidase activity was measured by following absorbance at 605 nm (Figure 1C). Interestingly, there is a distinct difference in the results if the bacteria were grown for 3 h in a medium or PBS. The growth in the medium resulted in a high variance and large standard deviations so that no concentration dependence could be observed (Figure 5A). As the medium contains biotin, this might interfere with the measurement. In contrast, incubating the bacteria in PBS reduced the variation within the measurements, resulting in a distinct concentration dependence with increasing activity from 105 to 108 cells/mL (Figure 5C and Figure S3). Surprisingly, at the highest cell densities (109 cells/mL), the signals were not at their maximum, indicating a possible downregulation of the surface biotinylation.
Figure 5.
Effect of different E. coli BL21 (DE3) concentrations on the interaction of HRP-Strep with bacteria tested in Eppendorf tubes (A) pre-incubation of bacteria in medium (B) control without bacteria in medium (C) pre-incubation of bacteria in PBS (D) control without bacteria in PBS.
Also, unconjugated HRP without streptavidin was tested in the Eppendorf tubes. Surprisingly, the absorbance in the absence of bacterial cells showed the highest values, and with increasing bacterial concentration, the absorbance decreased (Figure S4). These results indicate that HRP is binding to the tubes, but it is not capable of binding to the bacteria. Therefore, the absorbance decreased with an increasing number of cells due to the shielding of the tube surface by the bacteria.
3.5. The Effect of Washing Steps in an ELISA-like Assay Performed in Eppendorf Tubes
The unspecific binding of HRP and HRP-Strep, which results in the absence of bacteria in relatively high background signals, is a disadvantage for using biosensors and assays. A familiar way to reduce unspecific binding and increase data quality is to enhance the number of washing steps. As seen in Figure S5, different combinations of washing steps were tested. Interestingly, if the bacteria get washed more extensively, the total absorbance and the difference between signal and control decreases. In contrast, increasing the number of washing steps after HRP-Strep incubation decreases the unspecific binding and absorbance of the negative controls. In conclusion, the best result with the lowest standard deviation and largest signal-to-noise ratio was obtained for washing once after 3-h bacterial incubation and washing three times after HRP-Strep incubation (Figure S5A,B).
3.6. Detection of Bacteria in an ELISA-like Assay Performed in 96-Well Plates
A possibility to reduce sample volume and working steps is to perform the assay directly in 96-microwell plates. Therefore, two types of plates were tested: (i) standard 96 well plates (Nunc MicroWell 96-Well microplates, 269787) and (ii) high-binding 96 well plates (Nunc Immuno MaxiSorp MicroWell 96-well solid plate, M9410). Although the same concentrations were used as in the tubes, the resulting curves showed very high (>2) absorbance and large standard deviations. It was not possible to see an effect of the cell concentration (Figure S6), as the curves overlap. The difference between the measurement with bacteria and the background control without bacteria was small. The absorbance values of the negative controls were high and indicated that the affinity of HRP to the plate materials was higher than for the tubes. The affinity for the high-binding plates with mixed hydrophilic and hydrophobic surfaces was even higher than for the normal plates with the hydrophobic surface.
However, experiments in 96-well plates can be performed with a lower background if additional incubation and washing steps are included. First, the bacteria were immobilized overnight, and then the wells were blocked with bovine serum albumin (BSA). As shown in Figure 6A, blocking with 3% BSA resulted in reduced background signals; increasing the BSA concentration made no significant difference. The same effect was observed by using milk powder (Figure S7). Additionally, the plate was washed extensively five times after the HRP-Strep application. This procedure resulted in low absorbance values (~0.05), indicating reduced binding to the plate even without bacteria (Figure 6A). Therefore, the method was applied to detect different concentrations of E. coli cells. As shown in Figure 6B, the absorbance signal correlates to the number of immobilized cells and 104 cells/mL resulted in a considerably increased absorbance.
Figure 6.
(A) Effect of different BSA concentrations on the binding behavior of HRP-Strep to the high-binding 96-well plate in the presence of E. coli 13462 or S. aureus M/5647 cells immobilized at OD600 0.5. (B) HRP-Strep binding to different E. coli M/11407 concentrations in high-binding 96 well microplate blocked with 3% BSA. The data were blanked against wells without immobilized cells but blocked with BSA. The concentration of bacteria varied from 10 cells/mL to 107 cells/mL.
Although these results were encouraging, the method takes two days, making it less attractive for fast and cost-effective diagnostics. Therefore, we continued to adapt the ELISA-like assay in the Eppendorf tubes further.
3.7. Reduction of the Time-to-Result in an ELISA-like Assay Performed in Eppendorf Tubes
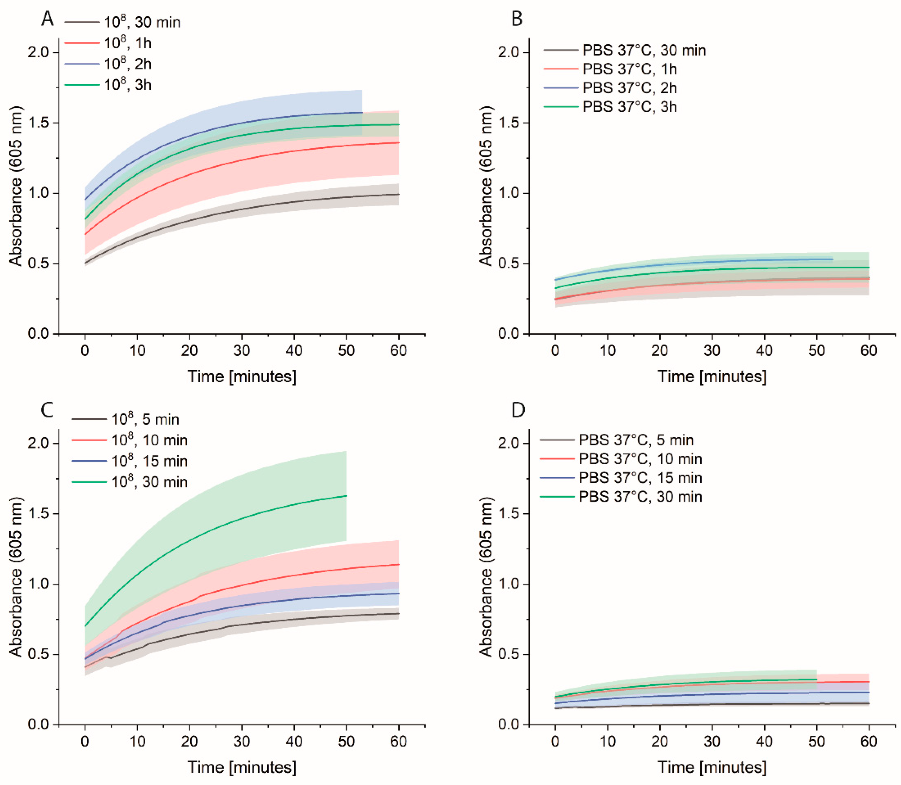
Although an important criterion for detection assays is sensitivity, short time-to-result values are also an advantage. To optimize this parameter, first, the incubation time of the bacteria at 37 °C was reduced, resulting in reduced absorbance values and signal-to-noise ratios. Second, the HRP-Strep incubation time was reduced. While long incubation times with HRP-Strep (1 h and 30 min) resulted in large standard deviations, short incubation times (5 min) resulted in very small differences between background and signal. Therefore, the best option was to reduce HRP-Strep incubation to 15 min and to include a 3-h bacteria incubation step (Figure 7).
Figure 7.
Effect of different incubation times on the interaction of HRP-Strep with bacteria tested in Eppendorf tubes (A,B) Incubation of E. coli at a concentration of 108 cells/mL in PBS for 30 min, 1, 2 or 3 h. (C,D) Incubation of HRP-Strep for 5, 10, 15 or 30 min with E. coli at a concentration of 108 cells/mL.
3.8. Detection of Different Bacterial Species in an ELISA-like Assay Performed in Eppendorf Tubes
For the development of a pathogen detection test, several clinically relevant bacterial species have to be considered. Therefore, our optimized protocol was applied for testing different bacterial species. First, the clinically relevant strain E. coli M/11407 was tested. This strain showed the same concentration dependence as the lab strain E. coli BL21(DE3): a concentration of 108 cells/mL resulted in the highest signal. After decreasing cell concentrations, we observed a decreased absorbance (Figure 8A). Concentrations lower than 107 cells/mL were difficult to detect as the absorbance was similar to the negative control.
Figure 8.
HRP-Strep binding to different bacterial strains was tested using the adapted method in Eppendorf tubes. (A) E. coli M/11407. (B) K. pneumoniae DSM 30104. (C) Salmonella entericia ATCC 19430 (D) Enterococcus durans DSM 20633. (E) Citrobacter freundii 73489 (F) Enterobacter cloacae DSM 30054.
Several bacteria are important indicators for contaminated water samples. Therefore K. pneumonia, S. enterica, Enterococcus durans, C. freundii and E. cloacae were tested. For all strains, 108 cells/mL resulted in a distinct absorbance curve (Figure 8). The absorbance values vary, which could be due to differences in the number of biotinylated proteins between the strains. In the case of K. pneumonia and S. entericia, 107 cells/mL were still detectable. However, for all the other strains, the lower concentrations are not distinguishable from the control.
To conclude, HRP-Strep can detect Gram-negative bacteria such as E. coli and Gram-positives such as E. durans. The same experiments on different bacterial strains were also performed with the unmodified method (Figure S8) (less washing steps and longer incubation time). As expected, by using the unmodified method, we observed a higher standard deviation. These results underline the importance of using the optimized parameter.
3.9. Detection of E. coli in Spiked Water Samples
Once we obtained an optimized method for detecting bacteria using HRP-Strep in PBS, we tried to detect bacteria using a more realistic sample: tap water spiked with different concentrations of E. coli cells. We decided to spike the water with low cell concentration and to detect them after an overnight incubation. After the incubation in the medium, the experiment was carried out as in Section 3.7. As presented in Figure 9, we were able to detect event 1 cell/mL.
Figure 9.
HRP-Strep binding to E. coli M/11407 at low cell concentrations in spiked tap water after overnight incubation in 2xYT medium.
We showed that by using realistic samples, such as normal tap water spiked with E. coli cells, we could detect even low cell concentrations after a pre-incubation step.
4. Discussion
We showed that HRP conjugated to streptavidin can recognize bacterial cells and be directly used to detect different bacterial species. So far, HRP-Strep has been commonly used in ELISA assays [28] to bind biotinylated antibodies, which recognize the target and generate a measurable signal with the HRP. Our results indicate that previous results where HRP-Strep or HRP were used could be misinterpreted as these proteins can directly bind to bacterial cells or surfaces and generate a signal. Independent of the target to detect, if HRP is applied in an assay, it is important to consider the used materials, as HRP could exhibit high unspecific binding affinities to various surfaces, which can greatly impact results. For example, we showed high HRP affinity to all the tested filter materials, even using filters with different chemical compositions and properties. It is only possible to filter HRP with a high loss, which is also relevant for protein purification, as several methods, such as column chromatography, require previous filtration. In general, purification of HRP is challenging due to factors such as glycosylation, the disulfide bonds, and the heme cofactor. Expression in P. pastoris takes these factors into account as the resulting protein is correctly folded with disulfide bonds and also glycosylated, as mentioned before.
However, several common purification methods are not suitable to purify HRP (Figure S1). For example, HRP with a His-tag is not binding to a Ni-NTA column, and even changing the tag length, the position and adjusting the linker length cannot improve the purification. Free heme can interact with the His-tag and inhibit binding to the resin. HRP is also found only in the flow-through in anion exchange chromatography, as the glycosylation shields the protein properties. Heterogenous hypermannosylated HRP expressed in P. pastoris is eluting in various fractions from size exclusion chromatography columns. The nonuniform glycosylation also affects purification via ConA affinity chromatography and results in elution over several fractions. Also, concentrating HRP proteins by ultrafiltration will result in very low yields.
In summary, considering the high affinity of streptavidin to the cell membrane of bacteria, we explored various assays to detect bacteria. We faced different limitations with this approach as high background signals due to the unspecific binding of HRP to, e.g., magnetic beads.
In developing an assay to detect bacteria in water, several important factors were identified and optimized. An essential factor that requires cautious optimization is the number of washing steps. In our case, it was fundamental to wash at least two times after HRP-Strep incubation to remove unspecifically bound proteins and to reduce the background signal. Additionally, unspecific binding can be reduced by shortening the incubation time with HRP-Strep.
In conclusion, our assay detected various pathogenic bacterial strains within 5 h using HRP-Strep in an ELISA-like assay.
5. Conclusions
We developed a sensor based on the simple interaction of HRP-Strep with bacteria. The sensor showed many advantages and some limitations which have to be overcome in the future. One great advantage is the recognition of a broad spectrum of bacteria. As presented in Figure 8, we were able to detect up to 6 different bacterial strains. On the other hand, we faced some limitations to detect low cell concentration. As reported in the experiment where we spiked tap water with E. coli (Figure 9), this limitation could be overcome with a pre-incubation step as we could detect low cell concentration in real samples. The time to result is relatively short as only 3 h of incubation of bacteria in PBS is needed. Moreover, there is no need for expensive materials and reagents as the assay is carried out in an Eppendorf tube. Anyway, a lab is still needed to carry out the protocol.
In conclusion, we developed a sensor able to detect bacteria by using only HRP-Strep. We faced some limitations due to the unspecific binding of HRP to different materials, but at the same time, we were able to develop a cheap, fast, and broad-spectrum biosensor.
Supplementary Materials
The following supporting information can be downloaded at https://www.mdpi.com/article/10.3390/applbiosci2030032/s1, Figure S1: Purification of HRP from P. pastoris. Table S1: Protein purification yields. Figure S2: HRP binding to normal and low-binding tubes. Figure S3: Effect of different E. coli concentrations of HRP-Strep binding. Figure S4: Effect of different E. coli concentrations on HRP binding. Figure S5: Effect of different washing steps. Figure S6: Effect of different E. coli concentrations on HRP-Strep binding in 96-well plates. Figure S7: Effect of milk powder and BSA on HRP-Strep binding. Figure S8: HRP-Strep binding to different bacterial strains.
Author Contributions
F.S.: Investigation, Writing-Review & Editing. N.M.: Investigation, Writing-Original Draft, Visualization. K.B.: Investigation. I.B.: Funding acquisition, Supervision, Writing-Review & Editing. All authors have read and agreed to the published version of the manuscript.
Funding
This project has received funding from the European Union’s Horizon 2020 research and innovation programme under grant agreement No. 952110.
Data Availability Statement
All data are available upon request from the authors.
Conflicts of Interest
The authors declare no conflict of interest.
References
- Pal, M.; Ayele, Y.; Hadush, A.; Panigrahi, S.; Jadhav, V.J. Public Health Hazards Due to Unsafe Drinking Water. Air Water Borne Dis. 2018, 2, 1000138. [Google Scholar]
- Prüss, A.; Kay, D.; Fewtrell, L.; Bartram, J. Estimating the burden of disease from water, sanitation, and hygiene at a global level. Environ. Health Perspect. 2002, 110, 537–542. [Google Scholar] [CrossRef] [PubMed]
- Rajapaksha, P.; Elbourne, A.J.; Gangadoo, S.; Brown, R.; Cozzolino, D.; Chapman, J. A review of methods for the detection of pathogenic microorganisms. Analyst 2019, 144, 396–411. [Google Scholar] [CrossRef] [PubMed]
- Amini, K.; Kraatz, H.-B. Recent developments in biosensor technologies for pathogen detection in Water. JSM Environ. Sci. Ecol. 2015, 3, 1012. [Google Scholar]
- Nesakumar, N.; Lakshmanakumar, M.; Srinivasan, S.; Jayalatha, A.; Rayappan, J.B.B. Principles and recent advances in biosensors for pathogen detection. ChemistrySelect 2021, 6, 10063–10091. [Google Scholar] [CrossRef]
- Krainer, F.W.; Glieder, A. An updated view on horseradish peroxidases: Recombinant production and biotechnological applications. Appl. Microbiol. Biotechnol. 2015, 99, 1611–1625. [Google Scholar] [CrossRef] [PubMed]
- Veitch, N.C. Horseradish peroxidase: A modern view of a classic enzyme. Phytochemistry 2004, 65, 249–259. [Google Scholar] [CrossRef]
- Ryan, B.J.; Carolan, N.; Ó’fágáin, C. Horseradish and soybean peroxidases: Comparable tools for alternative niches? Trends Biotechnol. 2006, 24, 355–363. [Google Scholar] [CrossRef]
- Moody, M.D.; Van Arsdell, S.; Murphy, K.; Orencole, S.; Burns, C. Array-Based ELISAs for High-Throughput Analysis of Human Cytokines. BioTechniques 2001, 31, 186–194. [Google Scholar] [CrossRef]
- Yang, H. Enzyme-based ultrasensitive electrochemical biosensors. Curr. Opin. Chem. Biol. 2012, 16, 422–428. [Google Scholar] [CrossRef]
- Saikrishnan, D.; Goyal, M.; Rossiter, S.; Kukol, A. A cellulose-based bioassay for the colorimetric detection of pathogen DNA. Anal. Bioanal. Chem. 2014, 406, 7887–7898. [Google Scholar] [CrossRef] [PubMed]
- Yin, H.; Wang, M.; Li, B.; Yang, Z.; Zhou, Y.; Ai, S. A sensitive electrochemical biosensor for detection of protein kinase A activity and inhibitors based on Phos-tag and enzymatic signal amplification. Biosens. Bioelectron. 2015, 63, 26–32. [Google Scholar] [CrossRef] [PubMed]
- Ban, Ž.; Barišić, A.; Crnolatac, I.; Kazazić, S.; Škulj, S.; Savini, F.; Bertoša, B.; Barišić, I.; Piantanida, I. Highly selective preparation of N-terminus Horseradish peroxidase-DNA conjugate with fully retained enzymatic activity: HRP-DNA structure—Activity relation. Enzym. Microb. Technol. 2023, 168, 110257. [Google Scholar] [CrossRef]
- Welinder, K.G. Covalent structure of the glycoprotein horseradish peroxidase (EC 1.11.1.7). FEBS Lett. 1976, 72, 19–23. [Google Scholar] [CrossRef]
- Porstmann, B.; Porstmann, T.; Nugel, E.; Evers, U. Which of the commonly used marker enzymes gives the best results in colorimetric and fluorimetric enzyme immunoassays: Horseradish peroxidase, alkaline phosphatase or β-galactosidase? J. Immunol. Methods 1985, 79, 27–37. [Google Scholar] [CrossRef]
- Welinder, K.G. Amino Acid Sequence Studies of Horseradish Peroxidase. Amino and Carboxyl Termini, Cyanogen Bromide and Tryptic Fragments, the Complete Sequence, and Some Structural Characteristics of Horseradish Peroxidase C. JBIC J. Biol. Inorg. Chem. 1979, 96, 483–502. [Google Scholar] [CrossRef]
- Morawski, B.; Lin, Z.; Cirino, P.; Joo, H.; Bandara, G.; Arnold, F.H. Functional expression of horseradish peroxidase in Saccharomyces cerevisiae and Pichia pastoris. Protein Eng. Des. Sel. 2000, 13, 377–384. [Google Scholar] [CrossRef]
- Spadiut, O.; Rossetti, L.; Dietzsch, C.; Herwig, C. Purification of a recombinant plant peroxidase produced in Pichia pastoris by a simple 2-step strategy. Protein Expr. Purif. 2012, 86, 89–97. [Google Scholar] [CrossRef]
- Humer, D.; Ebner, J.; Spadiut, O. Scalable High-Performance Production of Recombinant Horseradish Peroxidase from E. coli Inclusion Bodies. Int. J. Mol. Sci. 2020, 21, 4625. [Google Scholar] [CrossRef]
- Green, N.M. Avidin. Adv. Protein Chem. 1975, 29, 85–133. [Google Scholar] [CrossRef]
- Dundas, C.M.; Demonte, D.; Park, S. Streptavidin–biotin technology: Improvements and innovations in chemical and biological applications. Appl. Microbiol. Biotechnol. 2013, 97, 9343–9353. [Google Scholar] [CrossRef] [PubMed]
- Matsuhisa, A.; Saito, Y.; Ueyama, H.; Yamamoto, M.; Ohono, T. Binding of Streptavidin to Bacteria or Fungi and Its Applications in Detecting These Microbes. Microbiol. Immunol. 1993, 37, 765–772. [Google Scholar] [CrossRef] [PubMed]
- Škulj, S.; Barišić, A.; Mutter, N.; Spadiut, O.; Barišić, I.; Bertoša, B. Effect of N-glycosylation on horseradish peroxidase structural and dynamical properties. Comput. Struct. Biotechnol. J. 2022, 20, 3096–3105. [Google Scholar] [CrossRef] [PubMed]
- Takahashi, N.; Lee, K.B.; Nakagawa, H.; Tsukamoto, Y.; Masuda, K.; Lee, Y.C. NewN-Glycans in Horseradish Peroxidase. Anal. Biochem. 1998, 255, 183–187. [Google Scholar] [CrossRef]
- Koczula, K.M.; Gallotta, A. Lateral flow assays. Essays Biochem. 2016, 60, 111–120. [Google Scholar] [CrossRef]
- Wang, Z.; Wang, D.; Chen, J.; Sela, D.A.; Nugen, S.R. Development of a novel bacteriophage based biomagnetic separation method as an aid for sensitive detection of viable Escherichia coli. Analyst 2016, 141, 1009–1016. [Google Scholar] [CrossRef]
- Cheng, D.; Yu, M.; Fu, F.; Han, W.; Li, G.; Xie, J.; Song, Y.; Swihart, M.T.; Song, E. Dual Recognition Strategy for Specific and Sensitive Detection of Bacteria Using Aptamer-Coated Magnetic Beads and Antibiotic-Capped Gold Nanoclusters. Anal. Chem. 2016, 88, 820–825. [Google Scholar] [CrossRef]
- Matson, R.S. ELISA Essentials: Surfaces, Antibodies, Enzymes, and Substrates. Methods Mol. Biol. 2023, 2612, 19–31. [Google Scholar] [CrossRef]
Disclaimer/Publisher’s Note: The statements, opinions and data contained in all publications are solely those of the individual author(s) and contributor(s) and not of MDPI and/or the editor(s). MDPI and/or the editor(s) disclaim responsibility for any injury to people or property resulting from any ideas, methods, instructions or products referred to in the content. |
© 2023 by the authors. Licensee MDPI, Basel, Switzerland. This article is an open access article distributed under the terms and conditions of the Creative Commons Attribution (CC BY) license (https://creativecommons.org/licenses/by/4.0/).








