An Estimation of Risk Measures: Analysis of a Method †
Abstract
1. Introduction
2. Method
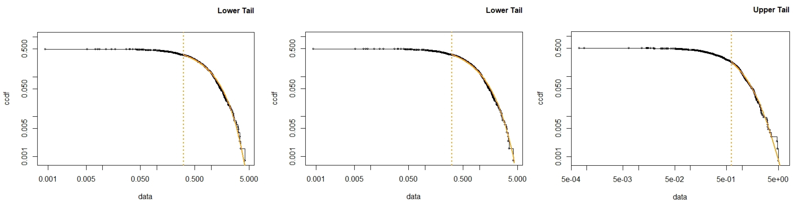
3. Simulation Study
4. Application
Author Contributions
Funding
Institutional Review Board Statement
Informed Consent Statement
Data Availability Statement
Conflicts of Interest
Appendix A
| GP - RT1 | bias | rmse | sd | bias | rmse | sd | |||
|---|---|---|---|---|---|---|---|---|---|
| 0 | −0.0185 | 0.0460 | 0.0422 | 0 | −0.0039 | 0.0528 | 0.0527 | ||
| 0.1 | −0.0185 | 0.0460 | 0.0422 | 0.1 | −0.0039 | 0.0528 | 0.0527 | ||
| 0.2 | −0.0466 | 0.0960 | 0.0840 | 0.2 | −0.0053 | 0.0986 | 0.0985 | ||
| 0.3 | −0.0258 | 0.0857 | 0.0817 | 0.3 | −0.0931 | 0.3500 | 0.3376 | ||
| 0.4 | −0.0249 | 0.0887 | 0.0852 | 0.4 | −0.0931 | 0.3500 | 0.3376 | ||
| 0.5 | 0.0009 | 0.1209 | 0.1210 | 0.5 | −0.0931 | 0.3500 | 0.3376 | ||
| 0 | −0.0062 | 0.0264 | 0.0257 | 0 | 0.0011 | 0.0734 | 0.0734 | ||
| 0.1 | −0.0050 | 0.0283 | 0.0278 | 0.1 | 0.0011 | 0.0734 | 0.0734 | ||
| 0.2 | −0.0050 | 0.0283 | 0.0278 | 0.2 | 0.0011 | 0.0734 | 0.0734 | ||
| 0.3 | −0.0050 | 0.0283 | 0.0278 | 0.3 | 0.0011 | 0.0734 | 0.0734 | ||
| 0.4 | −0.0627 | 0.1267 | 0.1102 | 0.4 | −0.1050 | 0.4479 | 0.4356 | ||
| 0.5 | −0.1716 | 0.2840 | 0.2264 | 0.5 | −0.1050 | 0.4479 | 0.4356 | ||
| 0 | −0.0100 | 0.0408 | 0.0396 | 0 | −0.0005 | 0.0733 | 0.0734 | ||
| 0.1 | −0.0397 | 0.1124 | 0.1053 | 0.1 | −0.0005 | 0.0733 | 0.0734 | ||
| 0.2 | −0.0425 | 0.1164 | 0.1084 | 0.2 | −0.0005 | 0.0733 | 0.0734 | ||
| 0.3 | −0.0425 | 0.1171 | 0.1092 | 0.3 | −0.0975 | 0.5014 | 0.4921 | ||
| 0.4 | −0.0442 | 0.1205 | 0.1121 | 0.4 | −0.0975 | 0.5014 | 0.4921 | ||
| 0.5 | −0.0442 | 0.1205 | 0.1121 | 0.5 | −0.0975 | 0.5014 | 0.4921 | ||
| 0 | −0.0030 | 0.0321 | 0.0320 | 0 | 0.0016 | 0.0784 | 0.0784 | ||
| 0.1 | −0.0030 | 0.0321 | 0.0320 | 0.1 | 0.0016 | 0.0784 | 0.0784 | ||
| 0.2 | −0.0031 | 0.0324 | 0.0323 | 0.2 | 0.0016 | 0.0784 | 0.0784 | ||
| 0.3 | −0.1611 | 0.3625 | 0.3249 | 0.3 | 0.0016 | 0.0784 | 0.0784 | ||
| 0.4 | −0.1611 | 0.3625 | 0.3249 | 0.4 | −0.0956 | 0.4717 | 0.4621 | ||
| 0.5 | −0.1611 | 0.3625 | 0.3249 | 0.5 | −0.1099 | 0.4995 | 0.4876 | ||
| 0 | −0.0017 | 0.0391 | 0.0391 | 0 | −0.0051 | 0.1237 | 0.1237 | ||
| 0.1 | −0.0017 | 0.0391 | 0.0391 | 0.1 | −0.0054 | 0.1250 | 0.1250 | ||
| 0.2 | −0.0067 | 0.0630 | 0.0627 | 0.2 | −0.0052 | 0.1257 | 0.1257 | ||
| 0.3 | −0.0068 | 0.0630 | 0.0627 | 0.3 | −0.0059 | 0.1267 | 0.1266 | ||
| 0.4 | −0.0066 | 0.0640 | 0.0637 | 0.4 | −0.0062 | 0.1265 | 0.1264 | ||
| 0.5 | −0.1218 | 0.3444 | 0.3223 | 0.5 | −0.1160 | 0.6424 | 0.6322 | ||
| 0 | −0.0042 | 0.0460 | 0.0459 | 0 | −0.0069 | 0.0957 | 0.0955 | ||
| 0.1 | −0.0042 | 0.0460 | 0.0459 | 0.1 | −0.0069 | 0.0957 | 0.0955 | ||
| 0.2 | −0.0042 | 0.0460 | 0.0459 | 0.2 | −0.0069 | 0.0957 | 0.0955 | ||
| 0.3 | −0.0741 | 0.2971 | 0.2879 | 0.3 | −0.1186 | 0.6578 | 0.6474 | ||
| 0.4 | −0.0761 | 0.3055 | 0.2960 | 0.4 | −0.1186 | 0.6578 | 0.6474 | ||
| 0.5 | −0.0761 | 0.3055 | 0.2960 | 0.5 | −0.1186 | 0.6578 | 0.6474 |
| GP - RT2 | bias | rmse | sd | bias | rmse | sd | |||
|---|---|---|---|---|---|---|---|---|---|
| 0 | −0.0280 | 0.0588 | 0.0518 | 0 | −0.0043 | 0.0628 | 0.0627 | ||
| 0.1 | −0.0280 | 0.0588 | 0.0518 | 0.1 | −0.0043 | 0.0628 | 0.0627 | ||
| 0.2 | −0.0185 | 0.0460 | 0.0422 | 0.2 | −0.0076 | 0.1031 | 0.1029 | ||
| 0.3 | −0.0185 | 0.0460 | 0.0422 | 0.3 | −0.0076 | 0.1031 | 0.1029 | ||
| 0.4 | −0.0185 | 0.0460 | 0.0422 | 0.4 | −0.0076 | 0.1031 | 0.1029 | ||
| 0.5 | −0.0048 | 0.0939 | 0.0938 | 0.5 | −0.0064 | 0.1011 | 0.1010 | ||
| 0 | −0.0062 | 0.0264 | 0.0257 | 0 | 0.0011 | 0.0734 | 0.0734 | ||
| 0.1 | −0.0062 | 0.0264 | 0.0257 | 0.1 | 0.0011 | 0.0734 | 0.0734 | ||
| 0.2 | −0.0062 | 0.0264 | 0.0257 | 0.2 | 0.0011 | 0.0734 | 0.0734 | ||
| 0.3 | −0.0062 | 0.0264 | 0.0257 | 0.3 | 0.0011 | 0.0734 | 0.0734 | ||
| 0.4 | −0.0050 | 0.0283 | 0.0278 | 0.4 | 0.0011 | 0.0734 | 0.0734 | ||
| 0.5 | −0.0036 | 0.0256 | 0.0253 | 0.5 | 0.0011 | 0.0734 | 0.0734 | ||
| 0 | −0.0050 | 0.0270 | 0.0266 | 0 | −0.0003 | 0.0733 | 0.0733 | ||
| 0.1 | −0.0050 | 0.0270 | 0.0266 | 0.1 | −0.0003 | 0.0733 | 0.0733 | ||
| 0.2 | −0.0137 | 0.0524 | 0.0506 | 0.2 | −0.0005 | 0.0733 | 0.0734 | ||
| 0.3 | −0.0399 | 0.1132 | 0.1059 | 0.3 | −0.0817 | 0.4503 | 0.4431 | ||
| 0.4 | −0.0399 | 0.1132 | 0.1059 | 0.4 | −0.0817 | 0.4503 | 0.4431 | ||
| 0.5 | −0.0425 | 0.1171 | 0.1092 | 0.5 | −0.0975 | 0.5014 | 0.4921 | ||
| 0 | −0.0040 | 0.0340 | 0.0337 | 0 | 0.0018 | 0.0787 | 0.0788 | ||
| 0.1 | −0.0040 | 0.0340 | 0.0337 | 0.1 | 0.0018 | 0.0787 | 0.0788 | ||
| 0.2 | −0.0040 | 0.0340 | 0.0337 | 0.2 | 0.0019 | 0.0786 | 0.0787 | ||
| 0.3 | −0.0040 | 0.0340 | 0.0337 | 0.3 | 0.0019 | 0.0786 | 0.0787 | ||
| 0.4 | −0.0040 | 0.0340 | 0.0337 | 0.4 | 0.0019 | 0.0786 | 0.0787 | ||
| 0.5 | −0.0040 | 0.0340 | 0.0337 | 0.5 | 0.0018 | 0.0786 | 0.0787 | ||
| 0 | −0.0017 | 0.0391 | 0.0391 | 0 | 0.0136 | 0.5459 | 0.5460 | ||
| 0.1 | −0.0017 | 0.0399 | 0.0399 | 0.1 | 0.0136 | 0.5459 | 0.5460 | ||
| 0.2 | −0.0017 | 0.0399 | 0.0399 | 0.2 | 0.0136 | 0.5459 | 0.5460 | ||
| 0.3 | −0.0017 | 0.0399 | 0.0399 | 0.3 | −0.0046 | 0.1027 | 0.1026 | ||
| 0.4 | −0.0017 | 0.0399 | 0.0399 | 0.4 | −0.0046 | 0.1027 | 0.1026 | ||
| 0.5 | −0.0017 | 0.0404 | 0.0404 | 0.5 | −0.0062 | 0.1272 | 0.1271 | ||
| 0 | −0.0044 | 0.0469 | 0.0467 | 0 | −0.0080 | 0.1007 | 0.1004 | ||
| 0.1 | −0.0044 | 0.0469 | 0.0467 | 0.1 | −0.0080 | 0.1007 | 0.1004 | ||
| 0.2 | −0.0785 | 0.3103 | 0.3003 | 0.2 | −0.0068 | 0.0998 | 0.0996 | ||
| 0.3 | −0.0785 | 0.3103 | 0.3003 | 0.3 | −0.0068 | 0.0998 | 0.0996 | ||
| 0.4 | −0.0785 | 0.3103 | 0.3003 | 0.4 | −0.0068 | 0.0998 | 0.0996 | ||
| 0.5 | −0.0785 | 0.3103 | 0.3003 | 0.5 | −0.0068 | 0.0998 | 0.0996 |
| GEV - RT1 | bias | rmse | sd | bias | rmse | sd | |||
|---|---|---|---|---|---|---|---|---|---|
| 0 | −0.2680 | 0.2874 | 0.1038 | 0 | −0.1104 | 0.4349 | 0.4209 | ||
| 0.1 | −0.2591 | 0.2831 | 0.1143 | 0.1 | −0.1104 | 0.4349 | 0.4209 | ||
| 0.2 | −0.2388 | 0.2628 | 0.1097 | 0.2 | −0.1104 | 0.4349 | 0.4209 | ||
| 0.3 | −0.1187 | 0.1301 | 0.0533 | 0.3 | −0.1104 | 0.4349 | 0.4209 | ||
| 0.4 | −0.1154 | 0.1259 | 0.0505 | 0.4 | −0.1104 | 0.4349 | 0.4209 | ||
| 0.5 | −0.1105 | 0.1212 | 0.0500 | 0.5 | −0.1104 | 0.4349 | 0.4209 | ||
| 0 | −0.2084 | 0.2284 | 0.0937 | 0 | −0.1337 | 0.1467 | 0.0604 | ||
| 0.1 | −0.2057 | 0.2266 | 0.0950 | 0.1 | −0.1073 | 0.1240 | 0.0622 | ||
| 0.2 | −0.2017 | 0.2216 | 0.0921 | 0.2 | −0.0251 | 0.0829 | 0.0790 | ||
| 0.3 | −0.1825 | 0.2007 | 0.0835 | 0.3 | −0.0133 | 0.1707 | 0.1703 | ||
| 0.4 | −0.1825 | 0.2007 | 0.0835 | 0.4 | −0.1002 | 0.4764 | 0.4660 | ||
| 0.5 | −0.1736 | 0.1928 | 0.0840 | 0.5 | −0.1002 | 0.4764 | 0.4660 | ||
| 0 | −0.0812 | 0.0920 | 0.0434 | 0 | 0.0021 | 0.0818 | 0.0819 | ||
| 0.1 | −0.0791 | 0.0901 | 0.0432 | 0.1 | 0.0028 | 0.0826 | 0.0826 | ||
| 0.2 | −0.0549 | 0.0851 | 0.0650 | 0.2 | 0.0067 | 0.0847 | 0.0845 | ||
| 0.3 | −0.1261 | 0.2512 | 0.2174 | 0.3 | 0.0067 | 0.0850 | 0.0847 | ||
| 0.4 | −0.1261 | 0.2512 | 0.2174 | 0.4 | −0.1076 | 0.5224 | 0.5115 | ||
| 0.5 | −0.1301 | 0.2588 | 0.2238 | 0.5 | −0.1076 | 0.5224 | 0.5115 | ||
| 0 | −0.1229 | 0.1292 | 0.0397 | 0 | −0.0974 | 0.5369 | 0.5282 | ||
| 0.1 | −0.1217 | 0.1281 | 0.0399 | 0.1 | −0.0974 | 0.5369 | 0.5282 | ||
| 0.2 | −0.1207 | 0.1272 | 0.0401 | 0.2 | −0.0974 | 0.5369 | 0.5282 | ||
| 0.3 | −0.0773 | 0.0916 | 0.0493 | 0.3 | −0.0974 | 0.5369 | 0.5282 | ||
| 0.4 | −0.0771 | 0.0915 | 0.0493 | 0.4 | −0.1210 | 0.5587 | 0.5457 | ||
| 0.5 | −0.0716 | 0.1795 | 0.1647 | 0.5 | −0.1210 | 0.5587 | 0.5457 | ||
| 0 | −0.1328 | 0.1399 | 0.0441 | 0 | 0.1192 | 0.1557 | 0.1002 | ||
| 0.1 | −0.1046 | 0.1152 | 0.0484 | 0.1 | 0.1165 | 0.1551 | 0.1024 | ||
| 0.2 | −0.0902 | 0.1038 | 0.0514 | 0.2 | 0.1099 | 0.1553 | 0.1098 | ||
| 0.3 | −0.1401 | 0.3654 | 0.3376 | 0.3 | −0.0395 | 0.4020 | 0.4003 | ||
| 0.4 | −0.1401 | 0.3654 | 0.3376 | 0.4 | −0.0395 | 0.4020 | 0.4003 | ||
| 0.5 | −0.1401 | 0.3654 | 0.3376 | 0.5 | −0.0395 | 0.4020 | 0.4003 | ||
| 0 | −0.0351 | 0.1847 | 0.1815 | 0 | 0.9712 | 25.4133 | 25.4075 | ||
| 0.1 | −0.0351 | 0.1847 | 0.1815 | 0.1 | −0.0415 | 0.5035 | 0.5020 | ||
| 0.2 | −0.0351 | 0.1847 | 0.1815 | 0.2 | −0.0367 | 0.6239 | 0.6231 | ||
| 0.3 | −0.0352 | 0.1867 | 0.1835 | 0.3 | −0.0367 | 0.6239 | 0.6231 | ||
| 0.4 | −0.0349 | 0.1872 | 0.1840 | 0.4 | −0.0367 | 0.6239 | 0.6231 | ||
| 0.5 | −0.0510 | 0.2386 | 0.2332 | 0.5 | −0.0401 | 0.7818 | 0.7812 |
| GEV - RT2 | bias | rmse | sd | bias | rmse | sd | |||
|---|---|---|---|---|---|---|---|---|---|
| 0 | −0.2920 | 0.3135 | 0.1140 | 0 | −0.1104 | 0.4349 | 0.4209 | ||
| 0.1 | −0.2920 | 0.3135 | 0.1140 | 0.1 | −0.1104 | 0.4349 | 0.4209 | ||
| 0.2 | −0.2920 | 0.3135 | 0.1140 | 0.2 | −0.1104 | 0.4349 | 0.4209 | ||
| 0.3 | −0.2920 | 0.3135 | 0.1140 | 0.3 | −0.1104 | 0.4349 | 0.4209 | ||
| 0.4 | −0.2920 | 0.3135 | 0.1140 | 0.4 | −0.1104 | 0.4349 | 0.4209 | ||
| 0.5 | −0.2383 | 0.2637 | 0.1130 | 0.5 | −0.1104 | 0.4349 | 0.4209 | ||
| 0 | −0.2084 | 0.2284 | 0.0937 | 0 | −0.0682 | 0.0949 | 0.0660 | ||
| 0.1 | −0.2057 | 0.2266 | 0.0950 | 0.1 | −0.0682 | 0.0949 | 0.0660 | ||
| 0.2 | −0.2017 | 0.2216 | 0.0921 | 0.2 | −0.0682 | 0.0949 | 0.0660 | ||
| 0.3 | −0.2017 | 0.2216 | 0.0921 | 0.3 | −0.0689 | 0.0954 | 0.0661 | ||
| 0.4 | −0.1991 | 0.2185 | 0.0900 | 0.4 | −0.0689 | 0.0954 | 0.0661 | ||
| 0.5 | −0.1991 | 0.2185 | 0.0900 | 0.5 | −0.0689 | 0.0954 | 0.0661 | ||
| 0 | −0.0779 | 0.0895 | 0.0441 | 0 | 0.0072 | 0.0853 | 0.0851 | ||
| 0.1 | −0.0779 | 0.0895 | 0.0441 | 0.1 | 0.0077 | 0.0879 | 0.0876 | ||
| 0.2 | −0.0779 | 0.0895 | 0.0441 | 0.2 | 0.0077 | 0.0879 | 0.0876 | ||
| 0.3 | −0.0779 | 0.0895 | 0.0441 | 0.3 | 0.0077 | 0.0879 | 0.0876 | ||
| 0.4 | −0.0779 | 0.0895 | 0.0441 | 0.4 | 0.0077 | 0.0879 | 0.0876 | ||
| 0.5 | −0.1316 | 0.2671 | 0.2326 | 0.5 | 0.0077 | 0.0879 | 0.0876 | ||
| 0 | −0.1215 | 0.1279 | 0.0400 | 0 | −0.1210 | 0.5587 | 0.5457 | ||
| 0.1 | −0.1204 | 0.1269 | 0.0401 | 0.1 | −0.1210 | 0.5587 | 0.5457 | ||
| 0.2 | −0.1204 | 0.1269 | 0.0401 | 0.2 | −0.1210 | 0.5587 | 0.5457 | ||
| 0.3 | −0.1175 | 0.1243 | 0.0406 | 0.3 | −0.1210 | 0.5587 | 0.5457 | ||
| 0.4 | −0.1175 | 0.1243 | 0.0406 | 0.4 | −0.1210 | 0.5587 | 0.5457 | ||
| 0.5 | −0.1131 | 0.1203 | 0.0412 | 0.5 | −0.1210 | 0.5587 | 0.5457 | ||
| 0 | −0.0771 | 0.0946 | 0.0548 | 0 | 0.0505 | 0.1010 | 0.0875 | ||
| 0.1 | −0.0771 | 0.0946 | 0.0548 | 0.1 | 0.0505 | 0.1010 | 0.0875 | ||
| 0.2 | −0.0771 | 0.0946 | 0.0548 | 0.2 | 0.0505 | 0.1010 | 0.0875 | ||
| 0.3 | −0.0771 | 0.0946 | 0.0548 | 0.3 | 0.1001 | 0.1499 | 0.1117 | ||
| 0.4 | −0.0771 | 0.0946 | 0.0548 | 0.4 | 0.0985 | 0.1489 | 0.1118 | ||
| 0.5 | −0.0771 | 0.0946 | 0.0548 | 0.5 | 0.0985 | 0.1489 | 0.1118 | ||
| 0 | −0.0352 | 0.1889 | 0.1857 | 0 | 0.9712 | 25.4133 | 25.4075 | ||
| 0.1 | −0.0352 | 0.1889 | 0.1857 | 0.1 | −0.0439 | 0.5346 | 0.5331 | ||
| 0.2 | −0.0361 | 0.1917 | 0.1884 | 0.2 | −0.0367 | 0.6239 | 0.6231 | ||
| 0.3 | −0.0361 | 0.1917 | 0.1884 | 0.3 | −0.0367 | 0.6239 | 0.6231 | ||
| 0.4 | −0.0361 | 0.1917 | 0.1884 | 0.4 | −0.0367 | 0.6239 | 0.6231 | ||
| 0.5 | −0.0361 | 0.1917 | 0.1884 | 0.5 | −0.0367 | 0.6239 | 0.6231 |
References
- Fisher, R.A.; Tippett, L.H.C. Limiting forms of the frequency distribution of the largest and smallest member of a sample. Math. Proc. Camb. Philos. Soc. 1928, 24, 180–190. [Google Scholar] [CrossRef]
- Gnedenko, B.V. Sur la distribution limite du terme maximum d’une série aléatoire. Ann. Math. 1943, 44, 423–453. [Google Scholar] [CrossRef]
- von Mises, R. La distribution de la plus grande de n valeurs. Rev. Math. Union Interbalcanique 1936, 1, 141–160. [Google Scholar]
- Balkema, A.A.; de Haan, L. Residual life time at great age. Ann. Probab. 1974, 2, 792–804. [Google Scholar] [CrossRef]
- Pickands, J., III. Statistical inference using extreme order statistics. Ann. Stat. 1975, 3, 119–131. [Google Scholar] [CrossRef]
- Silva Lomba, J.; Fraga Alves, M.I. L-moments for automatic threshold selection in extreme value analysis. Stoch. Environ. Res. Risk Assess 2020, 34, 465–491. [Google Scholar] [CrossRef]
- Schneider, L.F.; Krajina, A.; Krivobokova, T. Threshold selection in univariate extreme value analysis. Extremes 2021, 24, 881–913. [Google Scholar] [CrossRef]
- Beirlant, J.; Goegebeur, Y.; Segers, J.; Teugels, J. Statistics of Extremes: Theory and Applications; Wiley: Chichester, England, 2004. [Google Scholar]
- Smith, R.L. Estimating tails of probability distributions. Ann. Stat. 1987, 15, 1174–1207. [Google Scholar] [CrossRef]
- Drees, H.; Ferreira, A.; de Haan, L. On maximum likelihood estimation of the extreme value index. Ann. Appl. Probab. 2004, 14, 1179–1201. [Google Scholar] [CrossRef]
- Zhou, C. Existence and consistency of the maximum likelihood estimator for the extreme value index. J. Multivar. Anal. 2009, 100, 794–815. [Google Scholar] [CrossRef]
- Zhou, C. The extent of the maximum likelihood estimator for the extreme value index. J. Multivar. Anal. 2010, 101, 971–983. [Google Scholar] [CrossRef]
- Reiss, R.-D.; Thomas, M. Statistical Analysis of Extreme Values; Birkhauser: Basel, Switzerland, 1997. [Google Scholar]
- Neves, C.; Fraga Alves, M.I. Reiss and Thomas’ automatic selection of the number of extremes. Comput. Stat. Data Anal. 2004, 47, 689–704. [Google Scholar] [CrossRef]





Disclaimer/Publisher’s Note: The statements, opinions and data contained in all publications are solely those of the individual author(s) and contributor(s) and not of MDPI and/or the editor(s). MDPI and/or the editor(s) disclaim responsibility for any injury to people or property resulting from any ideas, methods, instructions or products referred to in the content. |
© 2025 by the authors. Licensee MDPI, Basel, Switzerland. This article is an open access article distributed under the terms and conditions of the Creative Commons Attribution (CC BY) license (https://creativecommons.org/licenses/by/4.0/).
Share and Cite
Ferreira, M.; Monteiro, L. An Estimation of Risk Measures: Analysis of a Method. Comput. Sci. Math. Forum 2025, 11, 2. https://doi.org/10.3390/cmsf2025011002
Ferreira M, Monteiro L. An Estimation of Risk Measures: Analysis of a Method. Computer Sciences & Mathematics Forum. 2025; 11(1):2. https://doi.org/10.3390/cmsf2025011002
Chicago/Turabian StyleFerreira, Marta, and Liliana Monteiro. 2025. "An Estimation of Risk Measures: Analysis of a Method" Computer Sciences & Mathematics Forum 11, no. 1: 2. https://doi.org/10.3390/cmsf2025011002
APA StyleFerreira, M., & Monteiro, L. (2025). An Estimation of Risk Measures: Analysis of a Method. Computer Sciences & Mathematics Forum, 11(1), 2. https://doi.org/10.3390/cmsf2025011002
