Advancing Dye Degradation: Integrating Microbial Metabolism, Photocatalysis, and Nanotechnology for Eco-Friendly Solutions
Abstract
Highlights
- Microbes degrade dyes through enzymatic reactions, breaking down complex dye molecules into simpler, non-toxic substances.
- Degradation of dyes through exposure to light is often enhanced by catalysts.
- Nanoparticles enhance dye degradation through catalytic activity, often involving advanced oxidation processes (AOPs).
Abstract
1. Introduction
2. Microorganism-Mediated Dye
2.1. Dye Degradation by Fungi
2.2. Dye Degradation by Algae
2.3. Dye Degradation by Bacteria
2.4. Microbial Consortia and Genetic Engineering for Enhanced Dye Degradation
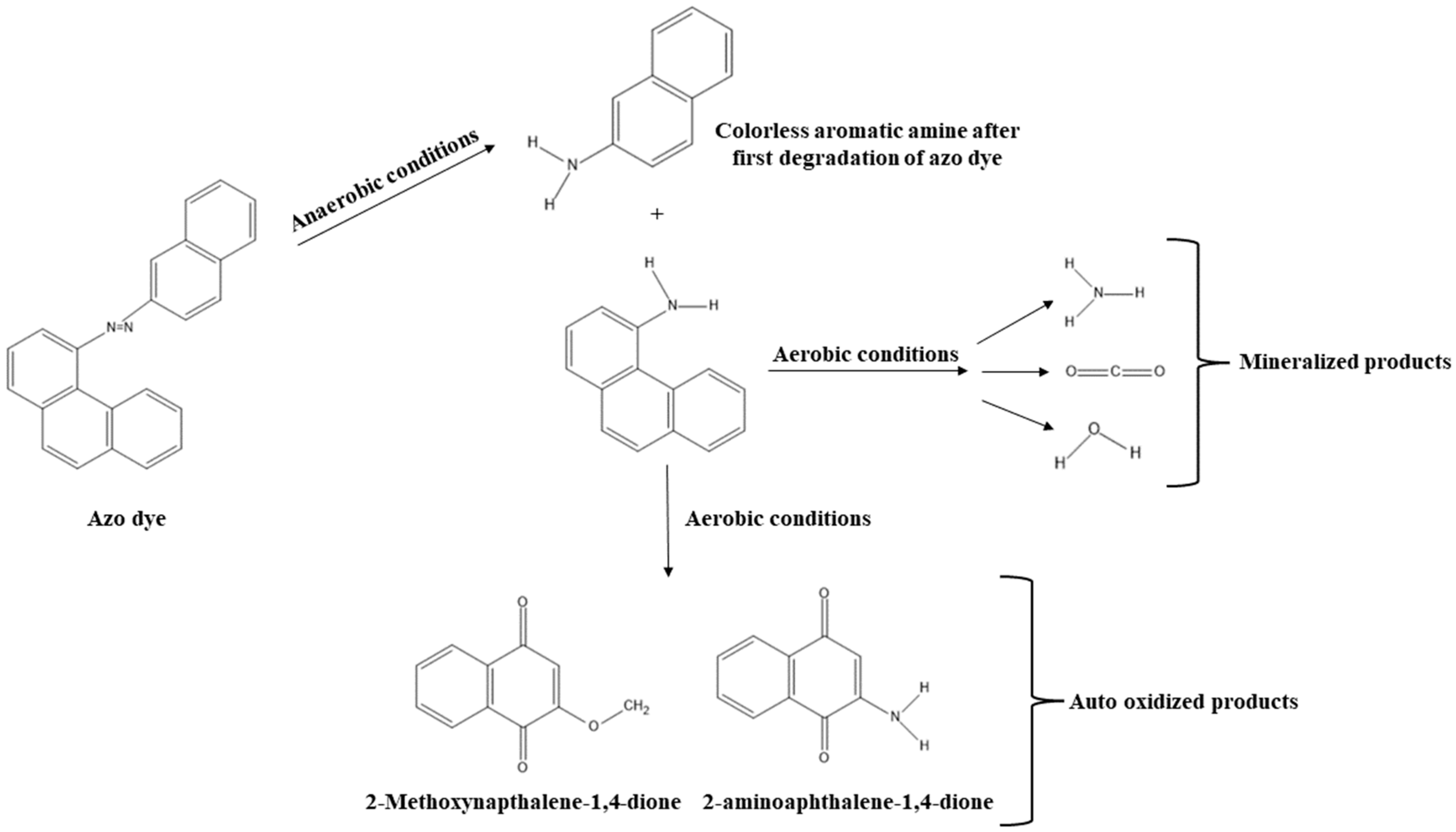
3. Mechanism of Microbial Degradation
4. Photocatalytic Dye Degradation
4.1. Role of Total Organic Carbon (TOC) in Photodegradation
4.2. Role of Semiconductors and Noble Metals in Photodegradation
4.3. Role of High-Intensity Irradiation in Photocatalytic Dye Degradation
| Dye | Degradation Efficiency (%) | Time | Reference |
|---|---|---|---|
| Methyl Blue | 92 | 1 h 20 min | [88] |
| Rhodamine B | 98.5 | 15 min | [89] |
| Crystal violet | 85 | 90 min | [90] |
| Basic fuchsin | 80 | 1 h 20 min | [91] |
| Reactive Black 5 | 75 | 90 min | [92] |
| Methyl orange | 85 | 30–90 min | [93] |
| Cango Red | 92.7 | 50 min | [94] |
| Methylene blue | 38 | 50 min | [94] |
| Reactive Black 5 | 66.7 | - | [95] |
| Acid Orange 7 | 94.36 | 120 min | [96] |
| Remazol blue | 93 | 90 min | [97] |
5. Mechanism of Photocatalytic Degradation of Dyes
6. Dye Degradation by Nanoparticles and Their Mechanism
7. Advantages and Limitations of Microbial, Photolytic, and Nanotechnology-Based Dye Degradation
8. Impact of Azo Dyes on Health and Safety
9. Emerging Technologies in Dye Degradation
10. Future Outlook
11. Conclusions
Author Contributions
Funding
Data Availability Statement
Conflicts of Interest
References
- Chen, Z.; Feng, M.; Wang, Y.; Ling, X. Comparison of Treatment Performance and Microbial Community Evolution of Typical Dye Wastewater by Different Combined Processes. Ecotoxicol. Environ. Saf. 2024, 275, 116226. [Google Scholar] [CrossRef] [PubMed]
- Sonu, K.; Sogani, M.; Syed, Z.; Rajvanshi, J. Improved Degradation of Dye Wastewater and Enhanced Power Output in Microbial Fuel Cells with Chemically Treated Corncob Anodes. Biomass Convers. Biorefinery 2024, 14, 375–386. [Google Scholar] [CrossRef]
- George, G.; Ealias, A.M.; Saravanakumar, M.P. Advancements in Textile Dye Removal: A Critical Review of Layered Double Hydroxides and Clay Minerals as Efficient Adsorbents. Environ. Sci. Pollut. Res. 2024, 31, 12748–12779. [Google Scholar] [CrossRef] [PubMed]
- Hosseinnezhad, M.; Safapour, S. Sources, Chemistry, Classification, Challenges, and Prospects of Renewable Dyes and Pigments. Renew. Dye. Pigment. 2024, 1, 1–18. [Google Scholar]
- Jabar, J.M. Classification of Natural Dyes for Sustainable Exploitation. In Natural Dyes and Sustainability; Springer: Cham, Switzerland, 2024; Volume 1, pp. 153–191. [Google Scholar]
- Ikram, Z.; Azmat, E.; Perviaz, M. Degradation Efficiency of Organic Dyes on CQDs as Photocatalysts: A Review. ACS Omega 2024, 9, 10017–10029. [Google Scholar] [CrossRef]
- Tamburini, D. On the Reliability of Historic Books as Sources of Reference Samples of Early Synthetic Dyes–The Case of “The Coal Tar Colours of the Farbwerke Vorm. Meister, Lucius & Brüning, Höchst on the Main, Germany–A General Part”(1896). Dye. Pigment. 2024, 221, 111796. [Google Scholar]
- Sen, N.; Badiwal, A.; Singh, K.K.; Mukhopadhyay, S.; Shenoy, K.T. Optimization of Bromocresol Green Degradation Using Ozone Micro Bubbles: Response Surface Analysis and Techno-Commercial Aspects of a 75 kL/Day Scale-up Plant. Discov. Environ. 2024, 2, 48. [Google Scholar] [CrossRef]
- Gupta, S. A Review Study on Sustainable Dyes and Their Usage in the Fashion Industry. Int. J. Res. Anal. Rev. (IJRAR) 2024, 11, 63–72. [Google Scholar]
- Uğan, M.; Onac, C.; Kaya, A.; Köseoğlu, D.; Akdoğan, A. Removal of Reactive Red 195 Dye from Textile Industry Wastewater with Deep Eutectic Solvent-Based Green Extraction. J. Mol. Liq. 2024, 398, 124249. [Google Scholar] [CrossRef]
- Estévez, S.; Angelucci, D.M.; Moreira, M.T.; Tomei, M.C. Techno-Environmental and Economic Assessment of Color Removal Strategies from Textile Wastewater. Sci. Total Environ. 2024, 913, 169721. [Google Scholar] [CrossRef]
- Luo, X.; Jiang, L.; Zhao, R.; Wang, Y.; Xiao, X.; Ghazouani, S.; Yu, L.; Mai, Z.; Matsuyama, H.; Jin, P. Energy-Efficient Trehalose-Based Polyester Nanofiltration Membranes for Zero-Discharge Textile Wastewater Treatment. J. Hazard. Mater. 2024, 465, 133059. [Google Scholar] [CrossRef] [PubMed]
- Haridevamuthu, B.; Murugan, R.; Seenivasan, B.; Meenatchi, R.; Pachaiappan, R.; Almutairi, B.O.; Arokiyaraj, S.; Arockiaraj, J. Synthetic Azo-Dye, Tartrazine Induces Neurodevelopmental Toxicity via Mitochondria-Mediated Apoptosis in Zebrafish Embryos. J. Hazard. Mater. 2024, 461, 132524. [Google Scholar] [CrossRef] [PubMed]
- Kolya, H.; Kang, C.-W. Toxicity of Metal Oxides, Dyes, and Dissolved Organic Matter in Water: Implications for the Environment and Human Health. Toxics 2024, 12, 111. [Google Scholar] [CrossRef]
- Samianifard, S.M.; Kalaee, M.; Moradi, O.; Mahmoodi, N.M.; Zaarei, D. Novel Biocomposite (Starch/Metal–Organic Framework/Graphene Oxide): Synthesis, Characterization and Visible Light Assisted Dye Degradation. J. Photochem. Photobiol. A Chem. 2024, 450, 115417. [Google Scholar] [CrossRef]
- Swarna, S.; Govindarajan, V.U.; Anbalagan, A.; Christopher, D.; Muthuraman, M.S. Green Synthesis of Copper Oxide Nanoparticles Using Ziziphus Oenoplia Extract and Its Dye Degradation Properties. Biomass Convers. Biorefinery 2024, 1–12. [Google Scholar] [CrossRef]
- Ellafi, A.; Dali, A.; Mnif, S.; Ben Younes, S. Microbial Enzymatic Degradation, Spectral Analysis and Phytotoxicity Assessment of Congo Red Removal by Bacillus spp. Catal. Lett. 2023, 153, 3620–3633. [Google Scholar] [CrossRef]
- Pham, V.H.T.; Kim, J.; Chang, S.; Bang, D. Investigating Bio-Inspired Degradation of Toxic Dyes Using Potential Multi-Enzyme Producing Extremophiles. Microorganisms 2023, 11, 1273. [Google Scholar] [CrossRef]
- Saravanan, A.; Kumar, P.S.; Vo, D.-V.N.; Jeevanantham, S.; Karishma, S.; Yaashikaa, P. A Review on Catalytic-Enzyme Degradation of Toxic Environmental Pollutants: Microbial Enzymes. J. Hazard. Mater. 2021, 419, 126451. [Google Scholar] [CrossRef]
- Wani, A.K.; Rahayu, F.; Ben Amor, I.; Quadir, M.; Murianingrum, M.; Parnidi, P.; Ayub, A.; Supriyadi, S.; Sakiroh, S.; Saefudin, S. Environmental Resilience through Artificial Intelligence: Innovations in Monitoring and Management. Environ. Sci. Pollut. Res. 2024, 31, 18379–18395. [Google Scholar] [CrossRef]
- Wani, A.K.; Chopra, C.; Singh, R.; Ahmad, S.; Américo-Pinheiro, J.H.P. Mining Microbial Tapestry Using High-Throughput Sequencing and In Silico Analysis of Trehalose Synthase (TreS) Derived from Hot Spring Metagenome. Biocatal. Agric. Biotechnol. 2023, 52, 102829. [Google Scholar] [CrossRef]
- Kour, D.; Khan, S.S.; Kour, H.; Kaur, T.; Devi, R.; Rai, P.K.; Judy, C.; McQuestion, C.; Bianchi, A.; Spells, S. Microbe-Mediated Bioremediation: Current Research and Future Challenges. J. Appl. Biol. Biotechnol. 2022, 10, 6–24. [Google Scholar] [CrossRef]
- Shoaib, M.; Ashar, A.; Bhutta, Z.A.; Muzammil, I.; Ali, M.; Kanwal, A. Biological Methods for Degradation of Textile Dyes from Textile Effluent. In Development in Wastewater Treatment Research and Processes; Elsevier: Amsterdam, The Netherlands, 2022; pp. 329–353. [Google Scholar]
- Vishani, D.B.; Shrivastav, A. Enzymatic Decolorization and Degradation of Azo Dyes. Dev. Wastewater Treat. Res. Process. 2022, 1, 419–432. [Google Scholar]
- Ikram, M.; Zahoor, M.; Naeem, M.; Islam, N.U.; Shah, A.B.; Shahzad, B. Bacterial Oxidoreductive Enzymes as Molecular Weapons for the Degradation and Metabolism of the Toxic Azo Dyes in Wastewater: A Review. Z. Für Phys. Chem. 2023, 237, 187–209. [Google Scholar] [CrossRef]
- Gomaa, H.; Emran, M.Y.; El-Gammal, M.A. Biodegradation of Azo Dye Pollutants Using Microorganisms. In Handbook of Biodegradable Materials; Springer: Cham, Switzerland, 2023; Volume 1, pp. 781–809. [Google Scholar]
- Khandare, S.D.; Teotia, N.; Kumar, M.; Diyora, P.; Chaudhary, D.R. Biodegradation and Decolorization of Trypan Blue Azo Dye by Marine Bacteria Vibrio Sp. JM-17. Biocatal. Agric. Biotechnol. 2023, 51, 102802. [Google Scholar] [CrossRef]
- Ali, E.; Amjad, I.; Rehman, A. Evaluation of Azo Dyes Degradation Potential of Fungal Strains and Their Role in Wastewater Treatment. Saudi J. Biol. Sci. 2023, 30, 103734. [Google Scholar] [CrossRef]
- Sun, S.; Liu, P.; Ullah, M. Efficient Azo Dye Biodecolorization System Using Lignin-Co-Cultured White-Rot Fungus. J. Fungi 2023, 9, 91. [Google Scholar] [CrossRef]
- Chatterjee, S.; Pandey, S. Degradation of Complex Textile Dyes by Some Leaf-Litter Dwelling Fungi. Proc. Natl. Acad. Sci. India Sect. B Biol. Sci. 2023, 93, 213–223. [Google Scholar] [CrossRef]
- Mary, J.E.; Krithika, T.; Kavitha, R. Biodegradation of Textile Dye by Ligninolytic Bacteria Isolated from Western Ghats. Int. J. Res. Rev. 2020, 7, 22–29. [Google Scholar]
- Kelewou, H.; Merzouki, M.; Lhassani, A. Biosorption of Textile Dyes Basic Yellow 2 (BY2) and Basic Green 4 (BG4) by the Live Yeast Saccharomyces Cerevisiae. J. Mater. Environ. Sci. 2014, 5, 633–640. [Google Scholar]
- Dhanavade, M.J.; Patil, P.J. Yeast and Fungal Mediated Degradation of Synthetic Dyes. In Current Developments in Bioengineering and Biotechnology; Elsevier: Amsterdam, The Netherlands, 2023; Volume 1, pp. 371–409. [Google Scholar]
- Al-Tohamy, R.; Ali, S.S.; Xie, R.; Schagerl, M.; Khalil, M.A.; Sun, J. Decolorization of Reactive Azo Dye Using Novel Halotolerant Yeast Consortium HYC and Proposed Degradation Pathway. Ecotoxicol. Environ. Saf. 2023, 263, 115258. [Google Scholar] [CrossRef]
- Premarathna, K.; Lau, S.Y.; Chiong, T.; Show, P.-L.; Vithanage, M.; Lam, M.K. Greening up the Fight against Emerging Contaminants: Algae-Based Nanoparticles for Water Remediation. Clean Technol. Environ. Policy 2024, 1–18. [Google Scholar] [CrossRef]
- Panigrahi, S.; Priyadarshini, S.S.; Mishra, P.M.; Pradhan, N. Algal Biomass-Silver Nanoparticle Composite as a Heterogenous Catalyst for the Reduction of Congo Red. Water Air Soil Pollut. 2024, 235, 209. [Google Scholar] [CrossRef]
- Khandelwal, M.; Choudhary, S.; Kumawat, A.; Misra, K.P.; Rathore, D.S.; Khangarot, R.K. Asterarcys Quadricellulare Algae-Mediated Copper Oxide Nanoparticles as a Robust and Recyclable Catalyst for the Degradation of Noxious Dyes from Wastewater. RSC Adv. 2023, 13, 28179–28196. [Google Scholar] [CrossRef] [PubMed]
- El-Sheekh, M.M.; El Shafay, S.M.; El-Shanshoury, A.E.-R.R.; Hamouda, R.; Gharieb, D.Y.; Abou-El-Souod, G.W. Impact of Immobilized Algae and Its Consortium in Biodegradation of the Textile Dyes. Int. J. Phytoremediation 2023, 25, 687–696. [Google Scholar] [CrossRef]
- Yadav, M.; Yadav, H.S. Applications of Ligninolytic Enzymes to Pollutants, Wastewater, Dyes, Soil, Coal, Paper and Polymers. Environ. Chem. Lett. 2015, 13, 309–318. [Google Scholar] [CrossRef]
- Wen, J.; Gao, F.; Liu, H.; Wang, J.; Xiong, T.; Yi, H.; Zhou, Y.; Yu, Q.; Zhao, S.; Tang, X. Metallic Nanoparticles Synthesized by Algae: Synthetic Route, Action Mechanism, and the Environmental Catalytic Applications. J. Environ. Chem. Eng. 2023, 12, 111742. [Google Scholar] [CrossRef]
- Ali, S.S.; Al-Tohamy, R.; Koutra, E.; El-Naggar, A.H.; Kornaros, M.; Sun, J. Valorizing Lignin-like Dyes and Textile Dyeing Wastewater by a Newly Constructed Lipid-Producing and Lignin Modifying Oleaginous Yeast Consortium Valued for Biodiesel and Bioremediation. J. Hazard. Mater. 2021, 403, 123575. [Google Scholar] [CrossRef]
- Krishnamoorthy, R.; Jose, P.A.; Ranjith, M.; Anandham, R.; Suganya, K.; Prabhakaran, J.; Thiyageshwari, S.; Johnson, J.; Gopal, N.O.; Kumutha, K. Decolourisation and Degradation of Azo Dyes by Mixed Fungal Culture Consisted of Dichotomomyces cejpii MRCH 1-2 and Phoma tropica MRCH 1-3. J. Environ. Chem. Eng. 2018, 6, 588–595. [Google Scholar] [CrossRef]
- Huang, J.; Pang, H.; Liu, Z.; Wang, X.; Zhang, C.; Zhang, W.; Liu, S.; He, W. Electrospinning Biohybrid Technology for Wastewater Treatment: Principle, Applications and Perspectives. Chem. Eng. J. 2024, 491, 151971. [Google Scholar] [CrossRef]
- Wang, J.; Liu, S.; Huang, J.; Ren, K.; Zhu, Y.; Yang, S. Alginate: Microbial Production, Functionalization, and Biomedical Applications. Int. J. Biol. Macromol. 2023, 242, 125048. [Google Scholar] [CrossRef]
- Barathi, S.; Aruljothi, K.; Karthik, C.; Padikasan, I.A.; Ashokkumar, V. Biofilm Mediated Decolorization and Degradation of Reactive Red 170 Dye by the Bacterial Consortium Isolated from the Dyeing Industry Wastewater Sediments. Chemosphere 2022, 286, 131914. [Google Scholar] [CrossRef] [PubMed]
- Mohammed, D.; Hicham, E.A.; Naima, E.G. Biodegradation of Environmental Pollutants by Marine Yeasts. In Marine Organisms: A Solution to Environmental Pollution? Uses in Bioremediation and in Biorefinery; Springer: Cham, Switzerland, 2023; Volume 1, pp. 79–91. [Google Scholar]
- Shah, B.; Jain, K.; Jiyani, H.; Mohan, V.; Madamwar, D. Microaerophilic Symmetric Reductive Cleavage of Reactive Azo Dye—Remazole Brilliant Violet 5R by Consortium VIE6: Community Synergism. Appl. Biochem. Biotechnol. 2016, 180, 1029–1042. [Google Scholar] [CrossRef] [PubMed]
- Mendes, M.; Cassoni, A.; Alves, S.; Moreira, P.; Pintado, M.; Castro, P. Removing Color While Lowering Toxicity: The Case for Decolorization of Textile Dyes and Simulated Effluents with Yeasts. Int. J. Environ. Sci. Technol. 2024, 21, 13–24. [Google Scholar] [CrossRef]
- Rana, S.; Handa, S.; Aggarwal, Y.; Puri, S.; Chatterjee, M. Role of Candida in the Bioremediation of Pollutants: A Review. Lett. Appl. Microbiol. 2023, 76, ovad103. [Google Scholar] [CrossRef]
- Anandita; Raees, K.; Shahadat, M.; Ali, S.W. Mechanistic Interaction of Microbe in Dye Degradation and the Role of Inherently Modified Organisms: A Review. Water Conserv. Sci. Eng. 2023, 8, 43. [Google Scholar] [CrossRef]
- Evangelista-Barreto, N.S.; Albuquerque, C.D.; Vieira, R.H.S.; Campos-Takaki, G.M. Cometabolic Decolorization of the Reactive Azo Dye Orange II by Geobacillus Stearothermophilus UCP 986. Text. Res. J. 2009, 79, 1266–1273. [Google Scholar] [CrossRef]
- Xiao, X.; Xu, C.-C.; Wu, Y.-M.; Cai, P.-J.; Li, W.-W.; Du, D.-L.; Yu, H.-Q. Biodecolorization of Naphthol Green B Dye by Shewanella Oneidensis MR-1 under Anaerobic Conditions. Bioresour. Technol. 2012, 110, 86–90. [Google Scholar] [CrossRef]
- Ajaz, M.; Rehman, A.; Khan, Z.; Nisar, M.A.; Hussain, S. Degradation of Azo Dyes by Alcaligenes aquatilis 3c and Its Potential Use in the Wastewater Treatment. Amb Express 2019, 9, 64. [Google Scholar] [CrossRef]
- Haque, M.M.; Hossen, M.N.; Rahman, A.; Roy, J.; Talukder, M.R.; Ahmed, M.; Ahiduzzaman, M.; Haque, M.A. Decolorization, Degradation and Detoxification of Mutagenic Dye Methyl Orange by Novel Biofilm Producing Plant Growth-Promoting Rhizobacteria. Chemosphere 2024, 346, 140568. [Google Scholar] [CrossRef]
- Dafale, N.; Wate, S.; Meshram, S.; Nandy, T. Kinetic Study Approach of Remazol Black-B Use for the Development of Two-Stage Anoxic–Oxic Reactor for Decolorization/Biodegradation of Azo Dyes by Activated Bacterial Consortium. J. Hazard. Mater. 2008, 159, 319–328. [Google Scholar] [CrossRef]
- Franciscon, E.; Grossman, M.J.; Paschoal, J.A.R.; Reyes, F.G.R.; Durrant, L.R. Decolorization and Biodegradation of Reactive Sulfonated Azo Dyes by a Newly Isolated Brevibacterium Sp. Strain VN-15. SpringerPlus 2012, 1, 37. [Google Scholar] [CrossRef]
- Meerbergen, K.; Willems, K.A.; Dewil, R.; Van Impe, J.; Appels, L.; Lievens, B. Isolation and Screening of Bacterial Isolates from Wastewater Treatment Plants to Decolorize Azo Dyes. J. Biosci. Bioeng. 2018, 125, 448–456. [Google Scholar] [CrossRef] [PubMed]
- Paz, A.; Carballo, J.; Pérez, M.J.; Domínguez, J.M. Biological Treatment of Model Dyes and Textile Wastewaters. Chemosphere 2017, 181, 168–177. [Google Scholar] [CrossRef] [PubMed]
- Mishra, S.; Nayak, J.K.; Maiti, A. Bacteria-Mediated Bio-Degradation of Reactive Azo Dyes Coupled with Bio-Energy Generation from Model Wastewater. Clean Technol. Environ. Policy 2020, 22, 651–667. [Google Scholar] [CrossRef]
- Zhong, J.; Wu, S.; Chen, W.-J.; Huang, Y.; Lei, Q.; Mishra, S.; Bhatt, P.; Chen, S. Current Insights into the Microbial Degradation of Nicosulfuron: Strains, Metabolic Pathways, and Molecular Mechanisms. Chemosphere 2023, 326, 138390. [Google Scholar] [CrossRef] [PubMed]
- Baffi, M.A.; de Azevedo, L.C.B.; Borges, M.F.; Bertini, S.B. Microbial Enzymes in Biodegradation of Organic Pollutants: Mechanisms and Applications. In Microbiome-Based Decontamination of Environmental Pollutants; Elsevier: Amsterdam, The Netherlands, 2024; pp. 213–242. [Google Scholar]
- Meng, Q.; Xu, Y.; Dai, L.; Ge, X.; Qiao, P. Regulation of fadR on the ROS Defense Mechanism in Shewanalla oneidensis. Biotechnol. Lett. 2024, 46, 691–698. [Google Scholar] [CrossRef]
- Singh, S.; Chaudhary, P.; Bhandari, G.; Jaiswal, D.K.; Upadhayay, V.K.; Kumar, A.; Saini, N.; Sharma, A. Role of Microbes in Dye Degradation. In Microbial Inoculants: Applications for Sustainable Agriculture; Springer: Singapore, 2024; Volume 1, pp. 349–373. [Google Scholar]
- Mohanty, S.S.; Kumar, A. Enhanced Degradation of Anthraquinone Dyes by Microbial Monoculture and Developed Consortium through the Production of Specific Enzymes. Sci. Rep. 2021, 11, 7678. [Google Scholar] [CrossRef]
- Morsi, R.; Bilal, M.; Iqbal, H.M.; Ashraf, S.S. Laccases and Peroxidases: The Smart, Greener and Futuristic Biocatalytic Tools to Mitigate Recalcitrant Emerging Pollutants. Sci. Total Environ. 2020, 714, 136572. [Google Scholar] [CrossRef]
- Unuofin, J.O.; Okoh, A.I.; Nwodo, U.U. Aptitude of Oxidative Enzymes for Treatment of Wastewater Pollutants: A Laccase Perspective. Molecules 2019, 24, 2064. [Google Scholar] [CrossRef]
- Gałązka, A.; Jankiewicz, U.; Szczepkowski, A. Biochemical Characteristics of Laccases and Their Practical Application in the Removal of Xenobiotics from Water. Appl. Sci. 2023, 13, 4394. [Google Scholar] [CrossRef]
- Li, S.; Sun, K.; Latif, A.; Si, Y.; Gao, Y.; Huang, Q. Insights into the Applications of Extracellular Laccase-Aided Humification in Livestock Manure Composting. Environ. Sci. Technol. 2022, 56, 7412–7425. [Google Scholar] [CrossRef]
- Vaithyanathan, V.K.; Vaidyanathan, V.K.; Cabana, H. Laccase-Driven Transformation of High Priority Pesticides without Redox Mediators: Towards Bioremediation of Contaminated Wastewaters. Front. Bioeng. Biotechnol. 2022, 9, 770435. [Google Scholar] [CrossRef] [PubMed]
- Pandey, A.; Pathak, V.M.; Rajput, M. A Feasible Approach for Azo-Dye (Methyl Orange) Degradation by Textile Effluent Isolate Serratia Marcescens ED1 Strain for Water Sustainability: AST Identification, Degradation Optimization and Pathway Hypothesis. Heliyon 2024, 10, e32339. [Google Scholar] [CrossRef] [PubMed]
- Al-Sharabi, M.; Baiocco, D.; Lobel, B.T.; Cayre, O.J.; Zhang, Z.; Routh, A.F. Magnetic Zinc Oxide/Silica Microbeads for the Photocatalytic Degradation of Azo Dyes. Colloids Surf. A Physicochem. Eng. Asp. 2024, 695, 134169. [Google Scholar] [CrossRef]
- Lu, P.; Hu, X.; Chang, R.; Zhou, Y.; Bai, Y.; Zhou, Y.; Fu, G.; Zhang, Z. Diurnal-Independent, Visible-Light-Storing of Ag2O@ SrAl2O4: Eu2+, Dy3+ for the Round-the-Clock Decomposition of Ciprofloxacin. Sep. Purif. Technol. 2024, 330, 125274. [Google Scholar] [CrossRef]
- Butburee, T.; Kotchasarn, P.; Hirunsit, P.; Sun, Z.; Tang, Q.; Khemthong, P.; Sangkhun, W.; Thongsuwan, W.; Kumnorkaew, P.; Wang, H. New Understanding of Crystal Control and Facet Selectivity of Titanium Dioxide Ruling Photocatalytic Performance. J. Mater. Chem. A 2019, 7, 8156–8166. [Google Scholar] [CrossRef]
- Pan, J.; Liu, G.; Lu, G.Q.; Cheng, H. On the True Photoreactivity Order of {001}, {010}, and {101} Facets of Anatase TiO2 Crystals. Angew. Chem. Int. Ed. 2011, 50, 2133–2137. [Google Scholar] [CrossRef]
- Etafo, N.O.; Bamidele, M.O.; Bamisaye, A.; Alli, Y.A. Revolutionizing Photocatalysis: Unveiling Efficient Alternatives to Titanium (IV) Oxide and Zinc Oxide for Comprehensive Environmental Remediation. J. Water Process Eng. 2024, 62, 105369. [Google Scholar] [CrossRef]
- Li, R.; Li, T.; Zhou, Q. Impact of Titanium Dioxide (TiO2) Modification on Its Application to Pollution Treatment—A Review. Catalysts 2020, 10, 804. [Google Scholar] [CrossRef]
- Zauška, L.; Volavka, D.; Lisnichuk, M.; Zelenka, T.; Kinnertová, E.; Zelenková, G.; Bednarčík, J.; Zeleňák, V.; Sharma, A.; Nehra, S.P. Tuning the Photocatalytic Performance of Mesoporous Silica-Titanium Dioxide and Cobalt Titanate for Methylene Blue and Congo Red Adsorption/Photodegradation: Impact of Azo Dyes Concentration, Catalyst Mass, Wavelength, Reusability and Kinetic Properties. J. Photochem. Photobiol. A Chem. 2024, 451, 115522. [Google Scholar] [CrossRef]
- Kamble, G.S.; Natarajan, T.S.; Patil, S.S.; Thomas, M.; Chougale, R.K.; Sanadi, P.D.; Siddharth, U.S.; Ling, Y.-C. BiVO4 As a Sustainable and Emerging Photocatalyst: Synthesis Methodologies, Engineering Properties, and Its Volatile Organic Compounds Degradation Efficiency. Nanomaterials 2023, 13, 1528. [Google Scholar] [CrossRef]
- Ateia, M.; Alalm, M.G.; Awfa, D.; Johnson, M.S.; Yoshimura, C. Modeling the Degradation and Disinfection of Water Pollutants by Photocatalysts and Composites: A Critical Review. Sci. Total Environ. 2020, 698, 134197. [Google Scholar] [CrossRef]
- Badoni, A.; Prakash, J. Noble Metal Nanoparticles and Graphene Oxide Based Hybrid Nanostructures for Antibacterial Applications: Recent Advances, Synergistic Antibacterial Activities, and Mechanistic Approaches. Micro Nano Eng. 2024, 22, 100239. [Google Scholar] [CrossRef]
- Chen, Y.; Wang, Y.; Li, W.; Yang, Q.; Hou, Q.; Wei, L.; Liu, L.; Huang, F.; Ju, M. Enhancement of Photocatalytic Performance with the Use of Noble-Metal-Decorated TiO2 Nanocrystals as Highly Active Catalysts for Aerobic Oxidation under Visible-Light Irradiation. Appl. Catal. B Environ. 2017, 210, 352–367. [Google Scholar] [CrossRef]
- Guo, J.; Li, S.; Wang, J.; Wang, J. Dual-Recognition Immune-Co-Chemical ECL-Sensor Based on Ti, Mg@ N-CDs-Induced and Novel Signal-Sensing Units Poly (DVB-Co-PBA)-Reported for Alpha-Fetoprotein Detection. Sens. Actuators B Chem. 2021, 346, 130548. [Google Scholar] [CrossRef]
- Kumar, A.; Choudhary, P.; Kumar, A.; Camargo, P.H.C.; Krishnan, V. Recent Advances in Plasmonic Photocatalysis Based on TiO2 and Noble Metal Nanoparticles for Energy Conversion, Environmental Remediation, and Organic Synthesis. Small 2022, 18, 2101638. [Google Scholar] [CrossRef]
- Wei, Z.; Janczarek, M.; Wang, K.; Zheng, S.; Kowalska, E. Morphology-Governed Performance of Plasmonic Photocatalysts. Catalysts 2020, 10, 1070. [Google Scholar] [CrossRef]
- Anucha, C.B.; Altin, I.; Bacaksiz, E.; Stathopoulos, V.N. Titanium Dioxide (TiO2)-Based Photocatalyst Materials Activity Enhancement for Contaminants of Emerging Concern (CECs) Degradation: In the Light of Modification Strategies. Chem. Eng. J. Adv. 2022, 10, 100262. [Google Scholar] [CrossRef]
- Marks, R.G.; Rockel, S.P.; Kerpen, K.; Somnitz, H.; Martin, P.R.; Jochmann, M.A.; Schmidt, T.C. Effects of pH-Dependent Speciation on the Photolytic Degradation Mechanism of Phosphonates. J. Photochem. Photobiol. A Chem. 2024, 448, 115327. [Google Scholar] [CrossRef]
- Ngo, A.C.R.; Tischler, D. Microbial Degradation of Azo Dyes: Approaches and Prospects for a Hazard-Free Conversion by Microorganisms. Int. J. Environ. Res. Public Health 2022, 19, 4740. [Google Scholar] [CrossRef]
- Albeladi, A.; Khan, Z.; Al-Thabaiti, S.A.; Patel, R.; Malik, M.A.; Mehta, S. Fe3O4-CdO Nanocomposite for Organic Dye Photocatalytic Degradation: Synthesis and Characterization. Catalysts 2024, 14, 71. [Google Scholar] [CrossRef]
- Al-nayili, A.; Khayoon, H.; Alshamsi, H.; Saady, N.C. A Novel Bimetallic (Au-Pd)-Decorated Reduced Graphene Oxide Nanocomposite Enhanced Rhodamine B Photocatalytic Degradation under Solar Irradiation. Mater. Today Sustain. 2023, 24, 100512. [Google Scholar] [CrossRef]
- Firmino, H.C.; Nascimento, E.P.; Araujo, R.N.; Loureiro, F.J.; Neves, G.A.; Morales, M.A.; Menezes, R.R. Nickel Ferrite/TiO2 Nanofibrous Composite: Enhanced Photocatalytic Dye Degradation Under Visible Light. Mater. Res. 2024, 27, e20230391. [Google Scholar] [CrossRef]
- Haleem, A.; Shafiq, A.; Chen, S.-Q.; Nazar, M. A Comprehensive Review on Adsorption, Photocatalytic and Chemical Degradation of Dyes and Nitro-Compounds over Different Kinds of Porous and Composite Materials. Molecules 2023, 28, 1081. [Google Scholar] [CrossRef]
- Yu, S.; Liu, Q.; Yang, W.; Han, K.; Wang, Z.; Zhu, H. Graphene–CeO2 Hybrid Support for Pt Nanoparticles as Potential Electrocatalyst for Direct Methanol Fuel Cells. Electrochim. Acta 2013, 94, 245–251. [Google Scholar] [CrossRef]
- Khodamorady, M.; Bahrami, K. Fe3O4@ BNPs@ ZnO–ZnS as a Novel, Reusable and Efficient Photocatalyst for Dye Removal from Synthetic and Textile Wastewaters. Heliyon 2023, 9, e16397. [Google Scholar] [CrossRef]
- Khalid, A.; Yasmin, N.; Kalsoom, A.; Abbas, Y.; Shahid, T.; Safdar, M.; Mirza, M. Investigation of Photocatalytic Properties of Bismuth Vanadium Based Oxyselenide for Textile Dye Removal. J. Dispers. Sci. Technol. 2023, 1–8. [Google Scholar] [CrossRef]
- Krishnan, V.; Joseph, C.G.; Taufiq-Yap, Y.H.; Teo, S.H.; Soloi, S.; Wid, N.; Abd Majid, M.H.; Farm, Y.Y.; Rodrigues, K.F. Sonophotocatalytic Degradation of Reactive Black 5 in Simulated Dye Wastewater Using ZnO and Activated Red Mud Sonophotocatalyst. Top. Catal. 2024, 67, 1194–1210. [Google Scholar] [CrossRef]
- Pang, X.; Zhang, H.; Qi, L.; Wang, Z.; Ma, G. Effectiveness of Photocatalysis of Fe78Si9B13/TiO2 Composites for Acid Orange 7 Degradation. J. Sol-Gel Sci. Technol. 2024, 110, 142–155. [Google Scholar] [CrossRef]
- Belikov, Y.A.; Snytnikova, O.A.; Sheven, D.G.; Fedunov, R.G.; Grivin, V.P.; Pozdnyakov, I.P. Laser Flash Photolysis and Quantum Chemical Studies of UV Degradation of Pharmaceutical Drug Chloramphenicol: Short-Lived Intermediates, Quantum Yields and Mechanism of Photolysis. Chemosphere 2024, 351, 141211. [Google Scholar] [CrossRef]
- Arunpandian, M.; Selvakumar, K.; Oh, T.H. Boosting Photocatalytic Performance of Cubic Co2SnO4-MnO2@ g-C3N5 Ternary Composites: Analysis of Morphology, Degradation Ability of Tetracycline Hydrochloride and Fragments Pathway Mechanism. Surf. Interfaces 2024, 51, 104717. [Google Scholar] [CrossRef]
- Mahmoodi, N.M. Zinc Ferrite Nanoparticle as a Magnetic Catalyst: Synthesis and Dye Degradation. Mater. Res. Bull. 2013, 48, 4255–4260. [Google Scholar] [CrossRef]
- Marimuthu, S.; Antonisamy, A.J.; Malayandi, S.; Rajendran, K.; Tsai, P.-C.; Pugazhendhi, A.; Ponnusamy, V.K. Silver Nanoparticles in Dye Effluent Treatment: A Review on Synthesis, Treatment Methods, Mechanisms, Photocatalytic Degradation, Toxic Effects and Mitigation of Toxicity. J. Photochem. Photobiol. B Biol. 2020, 205, 111823. [Google Scholar] [CrossRef]
- Anjali, K.; Raghunathan, R.; Devi, G.; Dutta, S. Photocatalytic Degradation of Methyl Red Using Seaweed Mediated Zinc Oxide Nanoparticles. Biocatal. Agric. Biotechnol. 2022, 43, 102384. [Google Scholar] [CrossRef]
- Rezaei, B.; Yari, P.; Sanders, S.M.; Wang, H.; Chugh, V.K.; Liang, S.; Mostufa, S.; Xu, K.; Wang, J.; Gómez-Pastora, J. Magnetic Nanoparticles: A Review on Synthesis, Characterization, Functionalization, and Biomedical Applications. Small 2024, 20, 2304848. [Google Scholar] [CrossRef]
- Wu, E.; Chen, H.; Tang, L.; Zeng, L.; Ji, H.; Zhu, M. Molecular Understanding on Ultraviolet Photolytic Degradation of Cyano Liquid Crystal Monomers. J. Hazard. Mater. 2024, 465, 133033. [Google Scholar] [CrossRef]
- Kim, J.; Kim, T.; Park, H.; Kim, M.-K.; Eom, S.; Choe, Y.; Choe, J.K.; Zoh, K.-D. Kinetics and Proposed Mechanisms of Hexafluoropropylene Oxide Dimer Acid (GenX) Degradation via Vacuum-UV (VUV) Photolysis and VUV/Sulfite Processes. J. Hazard. Mater. 2024, 463, 132864. [Google Scholar] [CrossRef]
- Jara, Y.S.; Mekiso, T.T.; Washe, A.P. Highly Efficient Catalytic Degradation of Organic Dyes Using Iron Nanoparticles Synthesized with Vernonia Amygdalina Leaf Extract. Sci. Rep. 2024, 14, 6997. [Google Scholar] [CrossRef]
- Moghaddas, S.M.T.H.; Elahi, B.; Javanbakht, V. Biosynthesis of Pure Zinc Oxide Nanoparticles Using Quince Seed Mucilage for Photocatalytic Dye Degradation. J. Alloys Compd. 2020, 821, 153519. [Google Scholar] [CrossRef]
- Mondal, A.; Adhikary, B.; Mukherjee, D. Room-Temperature Synthesis of Air Stable Cobalt Nanoparticles and Their Use as Catalyst for Methyl Orange Dye Degradation. Colloids Surf. A Physicochem. Eng. Asp. 2015, 482, 248–257. [Google Scholar] [CrossRef]
- Bokare, A.D.; Chikate, R.C.; Rode, C.V.; Paknikar, K.M. Iron-Nickel Bimetallic Nanoparticles for Reductive Degradation of Azo Dye Orange G in Aqueous Solution. Appl. Catal. B Environ. 2008, 79, 270–278. [Google Scholar] [CrossRef]
- Gallegos-Cerda, S.D.; Hernández-Varela, J.D.; Pérez, J.J.C.; Huerta-Aguilar, C.A.; Victoriano, L.G.; Arredondo-Tamayo, B.; Hernández, O.R. Development of a Low-Cost Photocatalytic Aerogel Based on Cellulose, Carbon Nanotubes, and TiO2 Nanoparticles for the Degradation of Organic Dyes. Carbohydr. Polym. 2024, 324, 121476. [Google Scholar] [CrossRef] [PubMed]
- Jeevarathinam, M.; Asharani, I. Synthesis of CuO, ZnO Nanoparticles, and CuO-ZnO Nanocomposite for Enhanced Photocatalytic Degradation of Rhodamine B: A Comparative Study. Sci. Rep. 2024, 14, 9718. [Google Scholar] [CrossRef] [PubMed]
- Barciela, P.; Perez-Vazquez, A.; Prieto, M. Azo Dyes in the Food Industry: Features, Classification, Toxicity, Alternatives, and Regulation. Food Chem. Toxicol. 2023, 178, 113935. [Google Scholar] [CrossRef]
- Sharma, M.; Sharma, S.; Alkhanjaf, A.A.M.; Arora, N.K.; Saxena, B.; Umar, A.; Ibrahim, A.A.; Akhtar, M.S.; Mahajan, A.; Negi, S. Microbial Fuel Cells for Azo Dye Degradation: A Perspective Review. J. Ind. Eng. Chem. 2024, 142, 45–67. [Google Scholar] [CrossRef]
- Dey, C.; Nandi, M.; Goswami, M.M. pH Dependent Enhanced Synchronous Photocatalytic Removal of Cationic and Anionic Dyes by CoFe2O4 Magnetic Nanoparticles. J. Mol. Struct. 2023, 1277, 134859. [Google Scholar] [CrossRef]
- Cardito, A.; Carotenuto, M.; Sacco, O.; Albarano, L.; Vaiano, V.; Iannece, P.; Libralato, G.; Spica, V.R.; Lofrano, G. UV Light Assisted Degradation of Acid Orange Azo Dye by ZVI-ZnS and Effluent Toxicity Effects. Environ. Pollut. 2024, 343, 123226. [Google Scholar] [CrossRef]
- Singh, A.L.; Chaudhary, S.; Kumar, S.; Kumar, A.; Singh, A.; Yadav, A. Biodegradation of Reactive Yellow-145 Azo Dye Using Bacterial Consortium: A Deterministic Analysis Based on Degradable Metabolite, Phytotoxicity and Genotoxicity Study. Chemosphere 2022, 300, 134504. [Google Scholar] [CrossRef]
- Kishor, R.; Purchase, D.; Saratale, G.D.; Saratale, R.G.; Ferreira, L.F.R.; Bilal, M.; Chandra, R.; Bharagava, R.N. Ecotoxicological and Health Concerns of Persistent Coloring Pollutants of Textile Industry Wastewater and Treatment Approaches for Environmental Safety. J. Environ. Chem. Eng. 2021, 9, 105012. [Google Scholar] [CrossRef]
- Şengil, İ.A.; Özacar, M. The Decolorization of CI Reactive Black 5 in Aqueous Solution by Electrocoagulation Using Sacrificial Iron Electrodes. J. Hazard. Mater. 2009, 161, 1369–1376. [Google Scholar] [CrossRef]
- Siddiqui, S.I.; Allehyani, E.S.; Al-Harbi, S.A.; Hasan, Z.; Abomuti, M.A.; Rajor, H.K.; Oh, S. Investigation of Congo Red Toxicity towards Different Living Organisms: A Review. Processes 2023, 11, 807. [Google Scholar] [CrossRef]
- Dutta, S.; Adhikary, S.; Bhattacharya, S.; Roy, D.; Chatterjee, S.; Chakraborty, A.; Banerjee, D.; Ganguly, A.; Nanda, S.; Rajak, P. Contamination of Textile Dyes in Aquatic Environment: Adverse Impacts on Aquatic Ecosystem and Human Health, and Its Management Using Bioremediation. J. Environ. Manag. 2024, 353, 120103. [Google Scholar] [CrossRef] [PubMed]
- Garcia, A.L.; Picinini, J.; Silveira, M.D.; Camassola, M.; Visentim, A.P.; Salvador, M.; da Silva, J. Fluorosilicic Acid Induces DNA Damage and Oxidative Stress in Bone Marrow Mesenchymal Stem Cells. Mutat. Res./Genet. Toxicol. Environ. Mutagen. 2021, 861, 503297. [Google Scholar] [CrossRef]
- Chen, S.H.; Cheow, Y.L.; Ng, S.L.; Ting, A.S.Y. Removal of Triphenylmethane Dyes in Single-Dye and Dye-Metal Mixtures by Live and Dead Cells of Metal-Tolerant Penicillium simplicissimum. Sep. Sci. Technol. 2020, 55, 2410–2420. [Google Scholar] [CrossRef]
- Alexander, J.; Barregård, L.; Bignami, M.; Ceccatelli, S.; Cottrill, B.; Dinovi, M.; Edler, L.; Grasl-Kraupp, B.; Hogstrand, C.; Hoogenboom, L.R. Malachite Green in Food. Efsa J. 2016. [Google Scholar]
- Kumar, B.; Agrawal, K.; Verma, P. Microbial Electrochemical System: A Sustainable Approach for Mitigation of Toxic Dyes and Heavy Metals from Wastewater. J. Hazard. Toxic Radioact. Waste 2021, 25, 04020082. [Google Scholar] [CrossRef]
- Priya, P.S.; Nandhini, P.P.; Vaishnavi, S.; Pavithra, V.; Almutairi, M.H.; Almutairi, B.O.; Arokiyaraj, S.; Pachaiappan, R.; Arockiaraj, J. Rhodamine B, an Organic Environmental Pollutant Induces Reproductive Toxicity in Parental and Teratogenicity in F1 Generation in Vivo. Comp. Biochem. Physiol. Part C Toxicol. Pharmacol. 2024, 280, 109898. [Google Scholar] [CrossRef]
- Guan, Z.; Wang, Y.; Chen, W.; Li, Y.; Yue, W.; Cai, Z. Biodecolorization and Biodegradation of Sulfur Black by the Strain Aspergillus Sp. DS-28. Processes 2024, 12, 1818. [Google Scholar] [CrossRef]
- Ajima, M.N.O.; Pandey, P.K.; Kumar, K.; Poojary, N. Assessment of Mutagenic, Hematological and Oxidative Stress Biomarkers in Liver of Nile Tilapia, Oreochromis niloticus (Linnaeus, 1758) in Response to Sublethal Verapamil Exposure. Drug Chem. Toxicol. 2017, 40, 286–294. [Google Scholar] [CrossRef]
- Hoynes, G. Investigating the Metabolism of Tartrazine by the Human Gut Microbiome. Ph.D. Thesis, Kingston University, London, UK, 2021. [Google Scholar]
- Amchova, P.; Siska, F.; Ruda-Kucerova, J. Food Safety and Health Concerns of Synthetic Food Colors: An Update. Toxics 2024, 12, 466. [Google Scholar] [CrossRef]
- Kornblau, I.S.; El-Annan, J.F. Adverse Reactions to Fluorescein Angiography: A Comprehensive Review of the Literature. Surv. Ophthalmol. 2019, 64, 679–693. [Google Scholar] [CrossRef] [PubMed]
- Tkaczyk, A.; Mitrowska, K.; Posyniak, A. Synthetic Organic Dyes as Contaminants of the Aquatic Environment and Their Implications for Ecosystems: A Review. Sci. Total Environ. 2020, 717, 137222. [Google Scholar] [CrossRef] [PubMed]
- Sanjana, M.; Prajna, R.; Katti, U.S.; Kavitha, R.V. Bioremediation–the Recent Drift towards a Sustainable Environment. Environ. Sci. Adv. 2024, 3, 1097–1110. [Google Scholar]
- Pavithra, K.G.; Jaikumar, V. Removal of Colorants from Wastewater: A Review on Sources and Treatment Strategies. J. Ind. Eng. Chem. 2019, 75, 1–19. [Google Scholar] [CrossRef]
- El-Mas, S.M.; Hassaan, M.A.; El-Subruiti, G.M.; Eltaweil, A.S.; El Nemr, A. Microwave-Induced Degradation of Congo Red Dye in the Presence of 2D Ti3C2Tx MXene as a Catalyst. Sci. Rep. 2025, 15, 634. [Google Scholar] [CrossRef]
- Sharma, A.; Gupta, G.; Ahmad, T.; Mansoor, S.; Kaur, B. Enzyme Engineering: Current Trends and Future Perspectives. Food Rev. Int. 2021, 37, 121–154. [Google Scholar] [CrossRef]
- Miyashiro, C.S.; Mateus, G.A.P.; Dos Santos, T.R.T.; Paludo, M.P.; Bergamasco, R.; Fagundes-Klen, M.R. Synthesis and Performance Evaluation of a Magnetic Biocoagulant in the Removal of Reactive Black 5 Dye in Aqueous Medium. Mater. Sci. Eng. C 2021, 119, 111523. [Google Scholar] [CrossRef]
- Ferrentino, R.; Ceccato, R.; Marchetti, V.; Andreottola, G.; Fiori, L. Sewage Sludge Hydrochar: An Option for Removal of Methylene Blue from Wastewater. Appl. Sci. 2020, 10, 3445. [Google Scholar] [CrossRef]
- Islam, T.; Repon, M.R.; Islam, T.; Sarwar, Z.; Rahman, M.M. Impact of Textile Dyes on Health and Ecosystem: A Review of Structure, Causes, and Potential Solutions. Environ. Sci. Pollut. Res. 2023, 30, 9207–9242. [Google Scholar] [CrossRef]
- Aleksandrov, V. Nanoremediation: A New and Emerging Technology. In Phytoremediation and Biofortification; Apple Academic Press: Palm Bay, FL, USA, 2024; pp. 29–62. [Google Scholar]
- Solayman, H.M.; Hossen, M.A.; Abd Aziz, A.; Yahya, N.Y.; Leong, K.H.; Sim, L.C.; Monir, M.U.; Zoh, K.-D. Performance Evaluation of Dye Wastewater Treatment Technologies: A Review. J. Environ. Chem. Eng. 2023, 11, 109610. [Google Scholar] [CrossRef]
- Su, C.X.-H.; Low, L.W.; Teng, T.T.; Wong, Y.S. Combination and Hybridisation of Treatments in Dye Wastewater Treatment: A Review. J. Environ. Chem. Eng. 2016, 4, 3618–3631. [Google Scholar] [CrossRef]
- AlJaberi, F.Y.; Alardhi, S.M.; Ahmed, S.A.; Salman, A.D.; Juzsakova, T.; Cretescu, I.; Le, P.-C.; Chung, W.J.; Chang, S.W.; Nguyen, D.D. Can Electrocoagulation Technology Be Integrated with Wastewater Treatment Systems to Improve Treatment Efficiency? Environ. Res. 2022, 214, 113890. [Google Scholar] [CrossRef] [PubMed]
- Castro, F.D.; Bassin, J.P.; Alves, T.L.M.; Sant’Anna, G.L.; Dezotti, M. Reactive Orange 16 Dye Degradation in Anaerobic and Aerobic MBBR Coupled with Ozonation: Addressing Pathways and Performance. Int. J. Environ. Sci. Technol. 2021, 18, 1991–2010. [Google Scholar] [CrossRef]
- Biswas, S. A Study on the Potential of Stenotrophomonas Koreensis and Bacillus Rigiliprofundi to Ameliorate the Toxicity of Industrial Dyes Malachite Green and Remazol Brilliant Blue R. Ph.D. Thesis, Jadavpur University, Kolkata, India, 2022. [Google Scholar]
- Ramesh, N.; Lai, C.W.; Johan, M.R.B.; Mousavi, S.M.; Badruddin, I.A.; Kumar, A.; Sharma, G.; Gapsari, F. Progress in Photocatalytic Degradation of Industrial Organic Dye by Utilising the Silver Doped Titanium Dioxide Nanocomposite. Heliyon 2024, 10, e40998. [Google Scholar] [CrossRef]
- Anil, K.; Surenjan, A. Green Synthesis, Characterisation, and Performance Evaluation of ZnO/TiO2 Nanocomposite for Cationic and Anionic Dye Removal from Aqueous Solutions under Solar Irradiation. Water Pract. Technol. 2024, 19, 824–838. [Google Scholar] [CrossRef]
- Folawewo, A.D.; Bala, M.D. Nanocomposite Zinc Oxide-Based Photocatalysts: Recent Developments in Their Use for the Treatment of Dye-Polluted Wastewater. Water 2022, 14, 3899. [Google Scholar] [CrossRef]
- Alamu, G.A.; Ayanlola, P.S.; Babalola, K.K.; Adedokun, O.; Sanusi, Y.K.; Fajinmi, G.R. Green Synthesis and Characterizations of Magnetic Iron Oxide Nanoparticles Using Moringa Oleifera Extract for Improved Performance in Dye-Sensitized Solar Cell. Chem. Phys. Impact 2024, 8, 100542. [Google Scholar] [CrossRef]
- Chakraborty, P.; Sarkar, S.; Das, P. Application of Potential Microbes in Bioremediation of Toxic Pollutants. In Development in Wastewater Treatment Research and Processes; Elsevier: Amsterdam, The Netherlands, 2024; pp. 171–185. [Google Scholar]
- Anegbe, B.; Ifijen, I.H. Recent Advances in the Application of Manganese Oxide Nanoparticles for Remediation of Soil Contaminated with Organic Pollutants. In TMS 2024 153rd Annual Meeting & Exhibition Supplemental Proceedings; The Minerals, Metals & Materials Society, Ed.; The Minerals, Metals & Materials Series; Springer Nature Switzerland: Cham, Switzerland, 2024; pp. 1358–1374. ISBN 978-3-031-50348-1. [Google Scholar]
- Kim, J.; Mayorga-Burrezo, P.; Song, S.-J.; Mayorga-Martinez, C.C.; Medina-Sánchez, M.; Pané, S.; Pumera, M. Advanced Materials for Micro/Nanorobotics. Chem. Soc. Rev. 2024, 53, 9190–9253. [Google Scholar] [CrossRef]
- Karabacakoğlu, B.; Karaduman, S. Reactive Yellow 145 Removal by Electro-Fenton with Fe–Carbon Fiber Electrode Pair: Optimization of Process Variables Based on Response Surface Methodology. Chem. Pap. 2024, 78, 1671–1685. [Google Scholar] [CrossRef]
- Adesibikan, A.A.; Emmanuel, S.S.; Olawoyin, C.O.; Ndungu, P. Cellulosic Metallic Nanocomposites for Photocatalytic Degradation of Persistent Dye Pollutants in Aquatic Bodies: A Pragmatic Review. J. Organomet. Chem. 2024, 1010, 123087. [Google Scholar] [CrossRef]
- Rathour, R.K.; Sharma, D.; Sharma, N.; Bhatt, A.K.; Singh, S.P. Engineered Microorganisms for Bioremediation. In Current Developments in Biotechnology and Bioengineering; Elsevier: Amsterdam, The Netherlands, 2022; pp. 335–361. [Google Scholar]
- Coelho, G.D.; Silva, M.A.; de Melo Pinheiro, M.A.; Nadvorny, D.; Costa Amador, V.; Maia, R.T. In Silico and in Vitro Assays Suggests Congo Red Dye Degradation by a Lentinus Sp. Laccase Enzyme. J. Biomol. Struct. Dyn. 2024, 42, 3802–3813. [Google Scholar] [CrossRef] [PubMed]
- Anandan, S.; Ikuma, Y.; Niwa, K. An Overview of Semi-Conductor Photocatalysis: Modification of TiO2 Nanomaterials. Solid State Phenom. 2010, 162, 239–260. [Google Scholar]
- Peiris, S.; de Silva, H.B.; Ranasinghe, K.N.; Bandara, S.V.; Perera, I.R. Recent Development and Future Prospects of TiO2 Photocatalysis. J. Chin. Chem. Soc. 2021, 68, 738–769. [Google Scholar] [CrossRef]
- Pattanaik, P.; Sahoo, M. TiO2 Photocatalysis: Progress from Fundamentals to Modification Technology. Desalination Water Treat. 2014, 52, 6567–6590. [Google Scholar] [CrossRef]
- Bakar, B.; Birhanlı, E.; Ulu, A.; Boran, F.; Yeşilada, Ö.; Ateş, B. Immobilization of Trametes Trogii Laccase on Polyvinylpyrrolidone-Coated Magnetic Nanoparticles for Biocatalytic Degradation of Textile Dyes. Biocatal. Biotransformation 2024, 42, 194–211. [Google Scholar] [CrossRef]
- Kotwal, P.; Jasrotia, R.; Prakash, J.; Ahmed, J.; Verma, A.; Verma, R.; Kandwal, A.; Godara, S.K.; Kumari, S.; Maji, P.K. Magnetically Recoverable Sol-Gel Auto-Combustion Developed Ni1-xCuxDyyFe2-yO4 Magnetic Nanoparticles for Photocatalytic, Electrocatalytic, and Antibacterial Applications. Environ. Res. 2023, 231, 116103. [Google Scholar] [CrossRef]
- Wani, A.K.; Chopra, C.; Ansari, M.A.; Dar, M.A.; Américo-Pinheiro, J.H.P.; Singh, R. Characterization of Thermostable Carboxypeptidase from High-Altitude Hot Spring Metagenome. Int. J. Biol. Macromol. 2024, 276, 133974. [Google Scholar] [CrossRef]
- Aslam, S.; Subhan, F.; Liu, Z.; Yan, Z.; Ahmad, A.; Nazir, A.; Siddiqa, A.; Yaseen, M. Magnetic Fe3O4@ MIL-100 (Fe) Core-Shells Decorated with Gold Nanoparticles for Enhanced Catalytic Reduction of 4-Nitrophenol and Degradation of Azo Dye. Colloids Surf. A Physicochem. Eng. Asp. 2023, 660, 130904. [Google Scholar] [CrossRef]
- Shi, H.; Jiang, X.; Wen, X.; Hou, C.; Chen, D.; Mu, Y.; Shen, J. Enhanced Azo Dye Reduction at Semiconductor-Microbe Interface: The Key Role of Semiconductor Band Structure. Water Res. 2024, 248, 120846. [Google Scholar] [CrossRef]
- Shafqat, M.; Mahmood, S.; Anjum, M.; Qadeer, S.; Mahmood, T.; Centritto, M.; Khalid, A. The Nexus of Phyto-Assisted Plant Growth-Promoting Bacterial Application for Bioremediation of Azo Dye. Int. J. Environ. Sci. Technol. 2024, 21, 5269–5284. [Google Scholar] [CrossRef]
- Bashir, Y.; Raj, R.; Ghangrekar, M.M.; Nema, A.K.; Das, S. Critical Assessment of Advanced Oxidation Processes and Bio-Electrochemical Integrated Systems for Removing Emerging Contaminants from Wastewater. RSC Sustain. 2023, 1, 1912–1931. [Google Scholar] [CrossRef]
- Zeng, W.; Yao, B.; Zhou, Y.; Yang, J.; Zhi, D. Combination of Electrochemical Advanced Oxidation and Biotreatment for Wastewater Treatment and Soil Remediation. J. Environ. Sci. 2024, 150, 36–53. [Google Scholar] [CrossRef]
- APHA–AWNA-WPCF. American Public Health Association Standard Methods for Examination of Water and Waste Water; APHA–AWNA-WPCF: New York, NY, USA, 1998; p. 1134. [Google Scholar]



| Dye | Microbe | Incubation Time | Decolorization Percentage (%) | Reference |
|---|---|---|---|---|
| Reactive brilliant red K-2BP | Pseudozyma Rugulosa | 24 h | 99 | [46] |
| Reactive brilliant blue X-BR | Candida krusei | 24 h | 78 | [47] |
| Reactive turquoise blue KN-G | Candida krusei | 24 h | 62 | [48] |
| Reactive brilliant red K-2BP | Pseudozyma rugulosa | 24 h | 62 | [49] |
| Remazol blue | Saccharomyces cerevisiae | 432 h | 51 | [46] |
| Methyl red | Galactomyces geotrichum | 1 h | 100 | [48] |
| Malachite Green | Trichosporon beigelii | 24 h | 90 | [47] |
| Acid Red 97 | Gloeocapsa pleurocapsoides | 26 days | 83 | [50] |
| Orange II | Geobacillus stearothermophilus (UCP 986) | 24 h | 96 | [51] |
| Napthol Green B | Shewanella oneidensis MR-1 | 24 h | 95 | [52] |
| Synazol red 6HBN | Alcaligenes aquatilis 3c | 96 h | 82 | [53] |
| Azure-B | Serratia liquefaciens | 48 h | 90 | [54] |
| Acid Orange 7 | Aeromonas caviae | 16 h | 90 | [55] |
| Reactive Dark Blue K-R | Penicillium | 24 h | 97 | [34] |
| Disperse Red 1 | Microbacterium sp. | 72 h | 80 | [56] |
| Remazol Brilliant Violet 5R | Bacillus sp. | 18 h | 100 | [47] |
| Reactive Orange 16 | Acinetobacter sp. | 72 h | 80 | [57] |
| Disperse Red 1 | Microbacterium sp. | 72 h | 80 | [56] |
| Coomassie Brilliant Blue G-250 | Bacillus aryabhattai DC100 | 72 h | 100 | [58] |
| Synazol red 6HBN | Alcaligenes aquatilis 3c | 96 h | 82 | [59] |
| Method | Mechanism | Effectiveness | Advantages | Limitations | Cost | Environmental Impact | Scalability |
|---|---|---|---|---|---|---|---|
| Microbial Dye Degradation | Enzymatic breakdown of dyes using bacteria, fungi, yeasts, and algae | Moderate to high; depends on microbial strain and environmental factors | Eco-friendly, cost-effective, can completely mineralize dyes | Slow degradation rate, sensitive to environmental conditions, difficulty in maintaining optimal microbial activity | Low | Minimal impact, but some byproducts may need further treatment | Challenging due to the need for controlled conditions |
| Photolytic Dye Degradation | UV or visible light-driven breakdown of dyes using photocatalysts (e.g., TiO2) | High; effective for a broad range of dyes | Fast degradation, no secondary sludge formation, effective in combination with other methods | Requires light sources, limited efficiency in dark or turbid water, photocatalyst stability issues | Moderate to high | Can generate reactive oxygen species that may need neutralization | Moderate; limited by light penetration and photocatalyst efficiency |
| Nanotechnology-Based Degradation | Adsorption and catalytic breakdown of dyes using nanoparticles (e.g., Ag, Fe3O4, ZnO) | Very high due to high surface area and reactivity | Rapid dye removal, effective at low concentrations, easy to combine with other methods | High production costs, potential toxicity of nanoparticles, difficulty in recovery and reuse | High | Potential ecological risks due to nanoparticle leaching | Moderate; challenges in large-scale synthesis and reusability |
| Class of Dye | Specific Dye | Observed Effect | Concentration Studied | Associated Health Risk | Safety Considerations | References |
|---|---|---|---|---|---|---|
| Azo Dyes | Benzidine-based Azo Dyes | Metabolic conversion into carcinogenic aromatic amines | 50 mg/L | Bladder cancer, genotoxicity | Banned in many countries due to their carcinogenic nature; restricted in food and textiles | [87] |
| Reactive brilliant blue X-BR | Disperse Blue 1 | Skin irritation, allergic reactions | 4 mg/L | Allergic dermatitis, eczema | Requires strict safety handling in textile industries | [116] |
| Reactive turquoise blue KN-G | Reactive Black 5 | Toxicity to aquatic organisms | 40–100 mg/L | Endocrine disruption in fish | Persistent in water bodies; requires advanced wastewater treatment | [34,117] |
| Reactive brilliant red K-2BP | Congo Red | Mutagenic effects on bacterial and mammalian cells | 10–50 mg/L | Potential genotoxicity, oxidative stress | Phased out in food applications but still used in textiles | [118] |
| Anthraquinone Dyes | Reactive Blue 19 | Induces oxidative stress in liver cells | 23 mg/L | Liver toxicity, mitochondrial dysfunction | Safe levels regulated in wastewater; long-term exposure risks are still being studied | [119] |
| Methyl red | Alizarin Red S | DNA damage in mammalian cells | 0.6 mg/L | Carcinogenic potential, cytotoxic effects | Limited use in medical staining; controlled exposure recommended | [120] |
| Triphenylmethane Dyes | Crystal Violet | Disrupts cell membrane integrity in bacteria | 5–50 mg/L | Antimicrobial resistance, possible carcinogenicity | Strict disposal guidelines in place to prevent ecological toxicity | [121] |
| Acid Red 97 | Malachite Green | Neurotoxicity and reproductive toxicity in aquatic life | 1–10 mg/L | Accumulates in fish, leading to potential human exposure risks | Banned in aquaculture due to its persistence and toxicity | [122,123] |
| Xanthene Dyes | Eosin Y | Induces DNA fragmentation in human fibroblasts | 23 mg/L | Potential carcinogenicity | Used in histology but with exposure limits for lab personnel | [119] |
| Napthol Green B | Rhodamine B | Associated with developmental toxicity in animal studies | 50 mg/L | Teratogenic effects in high doses | Regulations restrict its use in food and cosmetics | [124] |
| Indigoid Dyes | Indigo Carmine | Mild skin irritation and allergic responses | 100 mg/L | Allergic dermatitis in sensitive individuals | FDA-approved for food use in low concentrations | [124] |
| Sulfur Dyes | Sulfur Black 1 | Persistent environmental pollutant | 50–150 mg/L | Toxic to aquatic organisms, bioaccumulation risk | Requires proper effluent treatment to prevent water contamination | [125] |
| Phthalocyanine Dyes | Copper Phthalocyanine | Can cause respiratory issues upon inhalation of dust particles | Not specified | Lung irritation, potential for chronic effects | Used in industrial printing with occupational safety guidelines | [37] |
| Nitro Dyes | Nitro Red | Oxidative stress and mitochondrial damage in human liver cells | 20–60 mg/L | Hepatotoxicity, potential mutagenicity | Requires monitoring in pharmaceutical applications | [126] |
| Food Dyes (Azo-based) | Allura Red AC | Hyperactivity and behavioral changes in children | Chronic exposure | ADHD-like symptoms, inflammatory responses | Restricted in some countries; requires labeling on food products | [127] |
| Remazol Brilliant Violet 5R | Sunset Yellow FCF | Induces histamine release leading to allergic reactions | 100 mg/L | Urticaria, asthma exacerbation | Approved for use with strict maximum limits in food | [128] |
| Fluorescent Dyes | Fluorescein | Causes minor eye irritation upon direct exposure | Not specified | Temporary vision blurring in high concentrations | Used in medical diagnostics with regulated safety protocols | [129] |
| Vat Dyes | Vat Blue 6 | Environmental persistence, leading to groundwater contamination | 0.5 mg/L | Bioaccumulation risk, endocrine disruption in wildlife | Requires advanced treatment technologies for safe disposal | [130] |
| Azo Dyes | Benzidine-based Azo Dyes | Metabolic conversion into carcinogenic aromatic amines | 50 mg/L | Bladder cancer, genotoxicity | Banned in many countries due to their carcinogenic nature; restricted in food and textiles | [87] |
Disclaimer/Publisher’s Note: The statements, opinions and data contained in all publications are solely those of the individual author(s) and contributor(s) and not of MDPI and/or the editor(s). MDPI and/or the editor(s) disclaim responsibility for any injury to people or property resulting from any ideas, methods, instructions or products referred to in the content. |
© 2025 by the authors. Licensee MDPI, Basel, Switzerland. This article is an open access article distributed under the terms and conditions of the Creative Commons Attribution (CC BY) license (https://creativecommons.org/licenses/by/4.0/).
Share and Cite
Ayub, A.; Wani, A.K.; Chopra, C.; Sharma, D.K.; Amin, O.; Wani, A.W.; Singh, A.; Manzoor, S.; Singh, R. Advancing Dye Degradation: Integrating Microbial Metabolism, Photocatalysis, and Nanotechnology for Eco-Friendly Solutions. Bacteria 2025, 4, 15. https://doi.org/10.3390/bacteria4010015
Ayub A, Wani AK, Chopra C, Sharma DK, Amin O, Wani AW, Singh A, Manzoor S, Singh R. Advancing Dye Degradation: Integrating Microbial Metabolism, Photocatalysis, and Nanotechnology for Eco-Friendly Solutions. Bacteria. 2025; 4(1):15. https://doi.org/10.3390/bacteria4010015
Chicago/Turabian StyleAyub, Anjuman, Atif Khurshid Wani, Chirag Chopra, Devinder Kumar Sharma, Owais Amin, Ab Waheed Wani, Anjuvan Singh, Subaya Manzoor, and Reena Singh. 2025. "Advancing Dye Degradation: Integrating Microbial Metabolism, Photocatalysis, and Nanotechnology for Eco-Friendly Solutions" Bacteria 4, no. 1: 15. https://doi.org/10.3390/bacteria4010015
APA StyleAyub, A., Wani, A. K., Chopra, C., Sharma, D. K., Amin, O., Wani, A. W., Singh, A., Manzoor, S., & Singh, R. (2025). Advancing Dye Degradation: Integrating Microbial Metabolism, Photocatalysis, and Nanotechnology for Eco-Friendly Solutions. Bacteria, 4(1), 15. https://doi.org/10.3390/bacteria4010015

