LysR-Type Transcriptional Regulator Contributes to Pseudomonas cannabina pv. alisalensis Virulence by Regulating Type Three Secretion System
Abstract
1. Introduction
2. Materials and Methods
2.1. Bacterial Strain and Growth
2.2. Bacterial In Vitro Growth Measurements
2.3. Plant Materials
2.4. Bacterial Inoculation and Population Measurements In Planta
2.5. RNA Purification
2.6. RNA-Seq Analysis
2.7. RT-qPCR
2.8. Hypersensitive Response Cell Death Assay
2.9. Hypertrophy-Inducing Activity Assay on Potato Tuber Tissue
2.10. Swimming Motility Assays
2.11. Statistical Analysis
3. Results
3.1. The Importance of LTTR in Pseudomonas cannabina pv. alisalensis Virulence
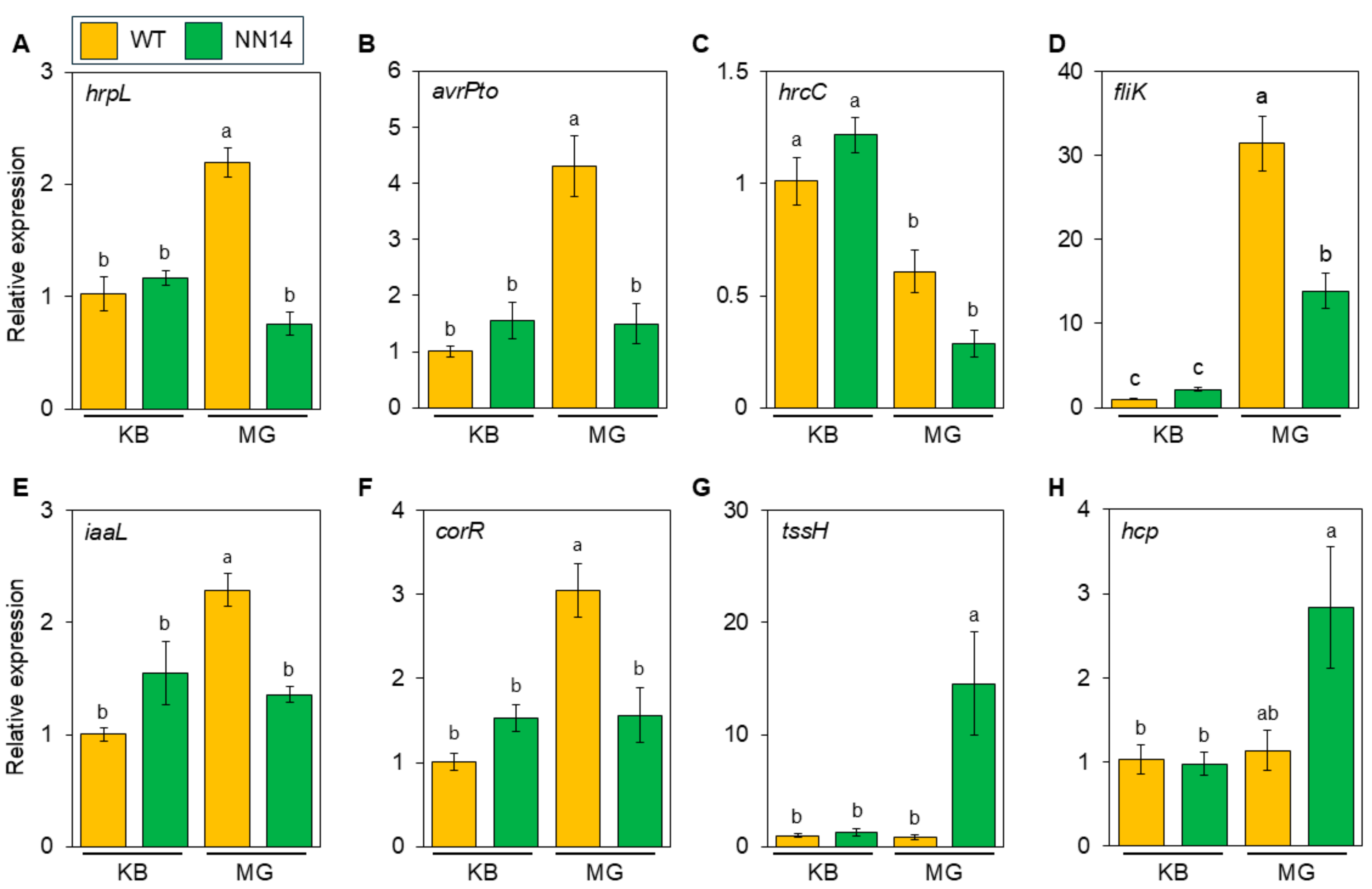
3.2. Gene Expression Profiles of WT and NN14 Pseudomonas cannabina pv. alisalensis
3.3. Hypersensitive Response in Tobacco Inoculated with Pseudomonas cannabina pv. alisalensis WT and NN14
4. Discussion
5. Conclusions
Supplementary Materials
Author Contributions
Funding
Institutional Review Board Statement
Informed Consent Statement
Data Availability Statement
Acknowledgments
Conflicts of Interest
References
- Xin, X.F.; Kvitko, B.; He, S.Y. Pseudomonas syringae: What it takes to be a pathogen. Nat. Rev. Microbiol. 2018, 16, 316–328. [Google Scholar] [CrossRef] [PubMed]
- Ichinose, Y.; Taguchi, F.; Mukaihara, T. Pathogenicity and virulence factors of Pseudomonas syringae. J. Gen. Plant Pathol. 2013, 79, 285–296. [Google Scholar] [CrossRef]
- Huang, J.; Yao, C.; Sun, Y.; Ji, Q.; Deng, X. Virulence-related regulatory network of Pseudomonas syringae. Comput. Struct. Biotechnol. J. 2022, 20, 6259–6270. [Google Scholar] [CrossRef]
- Xie, Y.; Shao, X.; Deng, X. Regulation of type III secretion system in Pseudomonas syringae. Environ. Microbiol. 2019, 21, 4465–4477. [Google Scholar] [CrossRef]
- Cornelis, G.R. The type III secretion injectisome. Nat. Microbiol. 2006, 4, 811–825. [Google Scholar] [CrossRef] [PubMed]
- Cunnac, S.; Lindeberg, M.; Collmer, A. Pseudomonas syringae type III secretion system effectors: Repertoires in search of functions. Curr. Opin. Microbiol. 2009, 12, 53–60. [Google Scholar] [CrossRef]
- Mansfield, J.W. From bacterial avirulence genes to effector functions via the hrp delivery system: An overview of 25 years of progress in our understanding of plant innate immunity. Mol. Plant Pathol. 2009, 10, 721–734. [Google Scholar] [CrossRef]
- Alfano, J.R.; Charkowski, A.O.; Deng, W.-L.; Badel, J.L.; Petnicki-Ocwieja, T.; Van Dijk, K.; Collmer, A. The Pseudomonas syringae Hrp pathogenicity island has a tripartite mosaic structure composed of a cluster of type III secretion genes bounded by exchangeable effector and conserved effector loci that contribute to parasitic fitness and pathogenicity in plants. Proc. Natl. Acad. Sci. USA 2000, 97, 4856–4861. [Google Scholar] [CrossRef]
- Lan, L.; Deng, X.; Zhou, J.; Tang, X. Genome-wide gene expression analysis of Pseudomonas syringae pv. tomato DC3000 reveals overlapping and distinct pathways regulated by hrpL and hrpRS. Mol. Plant-Microbe Interact. 2006, 19, 976–987. [Google Scholar] [CrossRef]
- Wei, W.; Plovanich-Jones, A.; Deng, W.-L.; Jin, Q.-L.; Collmer, A.; Huang, H.-C.; He, S.Y. The gene coding for the Hrp pilus structural protein is required for type III secretion of Hrp and Avr proteins in Pseudomonas syringae pv. tomato. Proc. Natl. Acad. Sci. USA 2000, 5, 2247–2252. [Google Scholar] [CrossRef]
- Cintas, N.A.; Koike, S.T.; Bull, C.T. A new pathovar, Pseudomonas syringae pv. alisalensis pv. nov., proposed for the causal agent of bacterial blight of broccoli and broccoli raab. Plant Dis. 2002, 86, 992–998. [Google Scholar] [CrossRef] [PubMed]
- Preston, G.M. Pseudomonas syringae pv. tomato: The right pathogen, of the right plant, at the right time. Mol. Plant Pathol. 2000, 1, 263–275. [Google Scholar] [CrossRef]
- Geng, X.; Jin, L.; Shimada, M.; Kim, M.G.; Mackey, D. The phytotoxin coronatine is a multifunctional component of the virulence armament of Pseudomonas syringae. Planta 2014, 240, 1149–1165. [Google Scholar] [CrossRef]
- Mitchell, R.E.; Hale, C.N.; Shanks, J.C. Production of different pathogenic symptoms and different toxins by strains of Pseudomonas syringae pv. tomato not distinguishable by gel-immunodiffusion assay. Physiol. Plant Pathol. 1983, 23, 315–322. [Google Scholar] [CrossRef]
- Parry, R.J.; Mhaskar, S.V.; Lin, M.; Walker, A.E.; Mafoti, R. Investigations of the biosynthesis of the phytotoxin coronatine. Can. J. Chem. 1994, 72, 86–99. [Google Scholar] [CrossRef]
- Sreedharan, A.; Penaloza-Vazquez, A.; Kunkel, B.N.; Bender, C.L. CorR regulates multiple components of virulence in Pseudomonas syringae pv. tomato DC3000. Mol. Plant-Microbe Interact. 2006, 19, 768–779. [Google Scholar] [CrossRef] [PubMed]
- Takikawa, Y.; Takahashi, F. Bacterial leaf spot and blight of crucifer plants (Brassicaceae) caused by Pseudomonas syringae pv. maculicola and P. cannabina pv. alisalensis. J. Gen. Plant Pathol. 2014, 80, 466–474. [Google Scholar] [CrossRef]
- Bull, C.T.; Manceau, C.; Lydon, J.; Kong, H.; Vinatzer, B.A.; Fischer-Le Saux, M. Pseudomonas cannabina pv. cannabina pv. nov., and Pseudomonas cannabina pv. alisalensis (Cintas Koike and Bull, 2000) comb. nov., are members of the emended species Pseudomonas cannabina (ex Šutič & Dowson 1959) Gardan, Shafik, Belouin, Brosch, Grimont & Grimont 1999. Syst. Appl. Microbiol. 2010, 33, 105–115. [Google Scholar] [CrossRef]
- Baugh, A.C.; Momany, C.; Neidle, E.L. Versatility and complexity: Common and uncommon facets of LysR-type transcriptional regulators. Annu. Rev. Microbiol. 2023, 77, 317–339. [Google Scholar] [CrossRef]
- Dickey, S.W.; Cheung, G.Y.C.; Otto, M. Different drugs for bad bugs: Antivirulence strategies in the age of antibiotic resistance. Nat. Rev. Drug Discov. 2017, 16, 457–471. [Google Scholar] [CrossRef]
- Sakata, N.; Ishiga, T.; Saito, H.; Nguyen, V.T.; Ishiga, Y. Transposon mutagenesis reveals Pseudomonas cannabina pv. alisalensis optimizes its virulence factors for pathogenicity on different hosts. PeerJ 2019, 7, e7698. [Google Scholar] [CrossRef] [PubMed]
- Sun, J.; Klein, A. A lysR-type regulator is involved in the negative regulation of genes encoding selenium-free hydrogenases in the archaeon Methanococcus voltae. Mol. Microbiol. 2004, 52, 563–571. [Google Scholar] [CrossRef] [PubMed]
- Pérez-Rueda, E.; Collado-Vides, J. Common history at the origin of the position-function correlation in transcriptional regulators in archaea and bacteria. J. Mol. Evol. 2001, 53, 172–179. [Google Scholar] [CrossRef] [PubMed]
- Stec, E.; Witkowska-Zimny, M.; Hryniewicz, M.M.; Neumann, P.; Wilkinson, A.J.; Brzozowski, A.M.; Verma, C.S.; Zaim, J.; Wysocki, S.; Bujacz, G.D. Structural basis of the sulphate starvation response in E. coli: Crystal structure and mutational analysis of the Cofactor-binding domain of the Cbl transcriptional regulator. J. Mol. Biol. 2006, 364, 309–322. [Google Scholar] [CrossRef] [PubMed]
- Maddocks, S.E.; Oyston, P.C.F. Structure and function of the LysR-type transcriptional regulator (LTTR) family proteins. Microbiology 2008, 154, 3609–3623. [Google Scholar] [CrossRef] [PubMed]
- Genin, S.; Brito, B.; Denny, T.P.; Boucher, C. Control of the Ralstonia solanacearum Type III secretion system (Hrp) genes by the global virulence regulator PhcA. FEBS Lett. 2005, 579, 2077–2081. [Google Scholar] [CrossRef]
- Brumbley, S.M.; Carney, B.F.; Denny, T.P. Phenotype conversion in Pseudomonas solanacearum due to spontaneous Inactivation of PhcA, a putative LysR transcriptional regulator. J. Bacteriol. 1993, 175, 5477–5487. [Google Scholar] [CrossRef]
- Yoshimochi, T.; Hikichi, Y.; Kiba, A.; Ohnishi, K. The global virulence regulator PhcA negatively controls the Ralstonia solanacearum hrp regulatory cascade by repressing expression of the PrhIR signaling proteins. J. Bacteriol. 2009, 191, 3424–3428. [Google Scholar] [CrossRef]
- Zhang, Y.; Li, J.; Zhang, W.; Shi, H.; Luo, F.; Hikichi, Y.; Shi, X.; Ohnishi, K. A putative LysR-type transcriptional regulator PrhO positively regulates the type III secretion system and contributes to the virulence of Ralstonia solanacearum. Mol. Plant Pathol. 2018, 19, 1808–1819. [Google Scholar] [CrossRef]
- Rashid, M.M.; Ikawa, Y.; Tsuge, S. GamR, the LysR-type galactose metabolism regulator, regulates hrp gene expression via transcriptional activation of two key hrp regulators, HrpG and HrpX, in Xanthomonas oryzae pv. oryzae. Appl. Environ. Microbiol. 2016, 82, 3947–3958. [Google Scholar] [CrossRef]
- Vieira, T.F.; Magalhães, R.P.; Simões, M.; Sousa, S.F. Drug repurposing targeting Pseudomonas aeruginosa MvfR using docking, virtual screening, molecular dynamics, and free-energy calculations. Antibiotics 2022, 11, 185. [Google Scholar] [CrossRef]
- Singh, V.K.; Almpani, M.; Maura, D.; Kitao, T.; Ferrari, L.; Fontana, S.; Bergamini, G.; Calcaterra, E.; Pignaffo, C.; Negri, M.; et al. Tackling recalcitrant Pseudomonas aeruginosa infections in critical illness via anti-virulence monotherapy. Nat. Commun. 2022, 13, 5103. [Google Scholar] [CrossRef]
- King, E.O.; Ward, M.K.; Raney, D.E. Two simple media for the demonstration of pyocyanin and fluorescin. J. Lab. Clin. Med. 1954, 44, 301–307. [Google Scholar] [PubMed]
- Keane, P.J.; Kerr, A.; Newt, P.B. Crown gall of stone fruit ii. identification and nomenclature of agrobacterium isolates. Aust. J. Biol. Sci. 1970, 23, 583–596. [Google Scholar] [CrossRef]
- Sakata, N.; Fujikawa, T.; Uke, A.; Ishiga, T.; Ichinose, Y.; Ishiga, Y. HexR transcription factor contributes to Pseudomonas cannabina pv. alisalensis virulence by coordinating type three secretion system genes. Microorganisms 2023, 11, 1025–1038. [Google Scholar] [CrossRef] [PubMed]
- Sakai, R.; Nishiyama, K.; Ichihara, A.; Shiraishi, K.; Sakamura, S. Studies on the mechanism of physiological activity of coronatine effect of coronatine on cell wall extensibility and expansion of potato tuber tissue. Ann. Phytopathol. Soc. Jpn. 1979, 45, 645–653. [Google Scholar] [CrossRef]
- Lindeberg, M.; Cunnac, S.; Collmer, A. The evolution of Pseudomonas syringae host specificity and type III effector repertoires. Mol. Plant Pathol. 2009, 10, 767–775. [Google Scholar] [CrossRef]
- Heroven, A.K.; Dersch, P. RovM, a novel LysR-type regulator of the virulence activator gene rovA, controls cell invasion, virulence and motility of Yersinia pseudotuberculosis. Mol. Microbiol. 2006, 62, 1469–1483. [Google Scholar] [CrossRef]
- Hernández-Lucas, I.; Gallego-Hernández, A.L.; Encarnación, S.; Fernández-Mora, M.; Martínez-Batallar, A.G.; Salgado, H.; Oropeza, R.; Calva, E. The LysR-type transcriptional regulator LeuO controls expression of several genes in Salmonella enterica serovar typhi. J. Bacteriol. 2008, 190, 1658–1670. [Google Scholar] [CrossRef]
- Modrzejewska, M.; Kawalek, A.; Bartosik, A.A. The LysR-type transcriptional regulator BsrA (PA2121) controls vital metabolic pathways in Pseudomonas aeruginosa. MSystems 2021, 6, e0001521. [Google Scholar] [CrossRef]
- Perrier, A.; Barlet, X.; Peyraud, R.; Rengel, D.; Guidot, A.; Genin, S. Comparative transcriptomic studies identify specific expression patterns of virulence factors under the control of the master regulator PhcA in the Ralstonia solanacearum species complex. Microb. Pathog. 2018, 116, 273–278. [Google Scholar] [CrossRef] [PubMed]
- Fan, X.; Zhao, Z.; Sun, T.; Rou, W.; Gui, C.; Saleem, T.; Zhao, X.; Xu, X.; Zhuo, T.; Hu, X.; et al. The LysR-type transcriptional regulator CrgA negatively regulates the flagellar master regulator flhDC in Ralstonia solanacearum GMI1000. J. Bacteriol. 2021, 203, e00419-20. [Google Scholar] [CrossRef] [PubMed]
- Mandal, R.S.; Ta, A.; Sinha, R.; Theeya, N.; Ghosh, A.; Tasneem, M.; Bhunia, A.; Koley, H.; Das, S. Ribavirin suppresses bacterial virulence by targeting LysR-type transcriptional regulators. Sci. Rep. 2016, 6, 39454. [Google Scholar] [CrossRef] [PubMed]
- Lu, C.; Kirsch, B.; Zimmer, C.; De Jong, J.C.; Henn, C.; Maurer, C.K.; Müsken, M.; Häussler, S.; Steinbach, A.; Hartmann, R. Discovery of antagonists of PqsR, a key player in 2-alkyl-4-quinolone- dependent quorum sensing in Pseudomonas aeruginosa. Chem. Biol. 2012, 19, 381–390. [Google Scholar] [CrossRef]
- Klein, T.; Henn, C.; De Jong, J.C.; Zimmer, C.; Kirsch, B.; Maurer, C.K.; Pistorius, D.; Müller, R.; Steinbach, A.; Hartmann, R.W. Identification of small-molecule antagonists of the Pseudomonas aeruginosa transcriptional regulator PqsR: Biophysically guided hit discovery and optimization. ACS Chem. Biol. 2012, 7, 1496–1501. [Google Scholar] [CrossRef]




| Category | Locus Tag | Gene | Function | Log2 Fold Changes | FDR Values |
|---|---|---|---|---|---|
| Type three secretion system | PMA4326_RS06565 | hrpL | Sigma-70 family RNA polymerase sigma factor | −4.25 | 4.9 × 10−22 |
| PMA4326_RS06450 | hrpB | Type III secretion system inner rod subunit SctI | −5.15 | 5.9 × 10−17 | |
| PMA4326_RS06455 | hrcJ | Type III secretion inner membrane ring lipoprotein SctJ | −4.01 | 2.6 × 10−9 | |
| PMA4326_RS06570 | hrpK | Type III helper protein HrpK | −4.88 | 6.9 × 10−9 | |
| PMA4326_RS06520 | hrcR | Type III secretion system export apparatus protein SctR | −4.23 | 7.5 × 10−7 | |
| PMA4326_RS06480 | hrcC | Type III secretion system outer membrane ring subunit SctC | −3.66 | 5.1 × 10−5 | |
| PMA4326_RS06465 | hrpE | Type III secretion system stator protein SctL | −4.01 | 1.5 × 10−3 | |
| PMA4326_RS06555 | hrcV | Type III secretion system export apparatus subunit SctV | −3.65 | 5.1 × 10−3 | |
| PMA4326_RS19805 | hopAk1 | Type III helper protein HopAK1 | −3.07 | 6.2 × 10−3 | |
| PMA4326_RS06525 | hrcQ | Type III secretion system protein | −4.53 | 5.6 × 10−3 | |
| PMA4326_RS24740 | hopAA1−2 | Type III effector HopAA1-2 | −2.17 | 5.1 × 10−4 | |
| PMA4326_RS23615 | hopI1 | Type III effector HopI1 | −2.63 | 1.4 × 10−5 | |
| PMA4326_RS03310 | avrPto | Type III effector avrPto | −2.17 | 2.6 × 10−8 | |
| Type six secretion system | PMA4326_RS26840 | hcp | Type VI secretion system tube protein Hcp | 2.16 | 9.1 × 10−11 |
| PMA4326_RS26870 | tssH | Type VI secretion system ATPase TssH | 2.08 | 3.4 × 10−3 | |
| Flagellar | PMA4326_RS06545 | fliI | FliI/YscN family ATPase | −3.78 | 1.5 × 10−3 |
| PMA4326_RS06535 | fliK | Flagellar hook-length control protein FliK | −4.30 | 3.0 × 10−3 | |
| Transporter | PMA4326_RS30565 | MFS transporter | −1.46 | 3.2 × 10−8 | |
| PMA4326_RS20255 | aatP | amino acid ABC transporter ATP-binding protein | −2.03 | 1.1 × 10−3 | |
| Transcription factor | PMA4326_RS12490 | lttR | LysR family transcriptional regulator | 3.71 | 1.4 × 10−6 |
| PMA4326_RS24665 | corR | Response regulator transcription factor | −4.23 | 1.7 × 10−8 | |
| Others | PMA4326_RS25720 | iaaL | AMP-binding protein | −3.17 | 4.2 × 10−6 |
| PMA4326_RS02410 | Restriction endonuclease | −5.68 | 1.0 × 10−20 | ||
| PMA4326_RS03605 | Amidinotransferase | −4.12 | 6.1 × 10−5 | ||
| PMA4326_RS03305 | AAA family ATPase | −1.60 | 7.5 × 10−7 | ||
| PMA4326_RS20160 | Argininosuccinate synthase | 2.00 | 8.2 × 10−4 | ||
| PMA4326_RS26995 | Acyl-CoA dehydrogenase | −3.04 | 6.3 × 10−3 | ||
| Hypothetical protein | PMA4326_RS19340 | Hypothetical protein | −3.83 | 1.9 × 10−14 | |
| PMA4326_RS06460 | Hypothetical protein | −3.76 | 5.1 × 10−5 | ||
| PMA4326_RS06540 | Hypothetical protein | −3.41 | 6.5 × 10−4 | ||
| PMA4326_RS06575 | Hypothetical protein | −2.52 | 1.2 × 10−3 | ||
| PMA4326_RS26765 | Hypothetical protein | 2.06 | 2.8 × 10−3 | ||
| PMA4326_RS15740 | Hypothetical protein | −3.06 | 3.4 × 10−3 |
Disclaimer/Publisher’s Note: The statements, opinions and data contained in all publications are solely those of the individual author(s) and contributor(s) and not of MDPI and/or the editor(s). MDPI and/or the editor(s) disclaim responsibility for any injury to people or property resulting from any ideas, methods, instructions or products referred to in the content. |
© 2024 by the authors. Licensee MDPI, Basel, Switzerland. This article is an open access article distributed under the terms and conditions of the Creative Commons Attribution (CC BY) license (https://creativecommons.org/licenses/by/4.0/).
Share and Cite
Yamamoto, K.; Fujikawa, T.; Uke, A.; Usuki, G.; Ishiga, Y.; Sakata, N. LysR-Type Transcriptional Regulator Contributes to Pseudomonas cannabina pv. alisalensis Virulence by Regulating Type Three Secretion System. Bacteria 2024, 3, 499-512. https://doi.org/10.3390/bacteria3040033
Yamamoto K, Fujikawa T, Uke A, Usuki G, Ishiga Y, Sakata N. LysR-Type Transcriptional Regulator Contributes to Pseudomonas cannabina pv. alisalensis Virulence by Regulating Type Three Secretion System. Bacteria. 2024; 3(4):499-512. https://doi.org/10.3390/bacteria3040033
Chicago/Turabian StyleYamamoto, Kanon, Takashi Fujikawa, Ayaka Uke, Giyu Usuki, Yasuhiro Ishiga, and Nanami Sakata. 2024. "LysR-Type Transcriptional Regulator Contributes to Pseudomonas cannabina pv. alisalensis Virulence by Regulating Type Three Secretion System" Bacteria 3, no. 4: 499-512. https://doi.org/10.3390/bacteria3040033
APA StyleYamamoto, K., Fujikawa, T., Uke, A., Usuki, G., Ishiga, Y., & Sakata, N. (2024). LysR-Type Transcriptional Regulator Contributes to Pseudomonas cannabina pv. alisalensis Virulence by Regulating Type Three Secretion System. Bacteria, 3(4), 499-512. https://doi.org/10.3390/bacteria3040033

