Abstract
The solubility of lanthanum in indium and Ga–In alloys containing 21.8, 40 and 70 wt. % In was determined experimentally at temperatures up to 1081 K. The low temperature limit depended on the melting point of the alloy. The solubility was measured using isothermal saturation and high-temperature filtration methods. The phase composition of solid intermetallic compounds formed in the ternary La–Ga–In systems of various compositions was determined by X-ray diffraction. Activity coefficients of lanthanum in the alloys based on gallium, indium and three Ga–In mixtures (21.8, 40 and 70 wt. % In) were calculated. Temperature dependencies of thermodynamically possible separation factors for the uranium/lanthanum couple in “LiCl–KCl–CsCl melt–liquid alloy” systems were derived for various gallium–indium alloys.
1. Introduction
Currently, there is a growing interest in developing non-aqueous pyrochemical methods of reprocessing spent nuclear fuel (SNF), aiming at returning unused or newly formed fissile materials to the nuclear fuel cycle and minimizing the amount of liquid radioactive waste generated in the course of reprocessing [1]. Low-melting metals can be employed for the separation of fissile elements (uranium and plutonium) and fission products using electrochemical or exchange redox reactions in a “chloride melt–liquid metal system” [2]. Rare earth (RE) elements constitute a significant part of fission products (FPs), and lanthanum is a typical rare earth FP. The SNF of thermal neutron reactors arriving for reprocessing contains up to 25 kg of RE elements per ton, with a lanthanum content of ca. 3 kg/t. Fast neutron reactors allow greater nuclear fuel burn-up, and the content of rare earth elements (as well as other FPs) in the SNF discharged from the rector is even higher.
Gallium is one of the primary low-melting metals for separating uranium and lanthanum. The U/La separation factor in a “chloride melt–gallium alloy” system can be as high as 105 at 1000 K [2]. Recent studies estimated the uranium/lanthanum separation factor in “LiCl–KCl eutectic melt–liquid gallium” systems at 2.72 × 105 [3] or 1.16 × 105 [4] (both estimates were made for 723 K).
Liu et al. [5] considered a number of criteria important for selecting an electrode material for effective separation of uranium and lanthanum in LiCl–KCl eutectic-based melts. The authors placed the low-melting metals in the following order: Al > Ga > Zn > Bi > Sn > Pb > Cd, with aluminum and gallium recommended as the most suitable solid and liquid cathodes, respectively.
Alloys of gallium with other low-melting metals can be used instead of pure gallium for separating lanthanides and actinides. For example, the estimated values of the U/La separation factor in a “LiCl–KCl eutectic-based melt–gallium-based alloy” system at 723 K were 2.82 × 105 for Ga–20 wt. % In mixture [6]; 2.04 × 105 for Ga–21.4 wt. % In [7]; 8.13 × 104 for Ga–40 wt. % In [8]; and 1.07 × 103 for Ga–70 wt. % In [9] alloys.
Uranium–neodymium separation factors determined in “LiCl–KCl–Ga–In”-based systems were of similar magnitude and, similar to lanthanum, decreased with increasing indium concentration in the alloy; at 721 K the values obtained were 1.29 × 105, 3.09 × 104 and 8.33 × 103 for Ga–In alloys containing 20, 40 and 70 wt. % In, respectively [10]. Earlier measurements performed using Ga–In alloy with 20 wt. % In gave a very close value of 1.23 × 105 for the U/Nd separation factor at 723 K [11]. Changing binary LiCl–KCl to the ternary LiCl–KCl–CsCl eutectic as the base of the salt phase did not have a profound effect on the separation factor. U/Nd separation factors determined at 723 K in “LiCl–KCl–CsCl–Ga–In”-based systems were 7.94 × 105, 3.02 × 104 and 8.13 × 103 at an indium content in the alloy of 21.8, 40 and 70 wt. %, respectively [12].
Replacing indium with aluminum somewhat lowered the U/La separation factor in LiCl–KCl eutectic-based melts. For example, for Ga–Al (1.6 wt. %) eutectic alloy at 723 K, the separation factor was 1.70 × 105 [13].
Gallium–aluminum alloys were, however, slightly more efficient in separating neodymium and uranium in LiCl–KCl eutectic-based melts. Calculations showed that the expected U/Nd separation factors at 723 K were 2.82 × 105, 1.58 × 105 and 1.45 × 105 for Ga–Al alloys containing 1.5, 5 and 20 wt. % aluminum, respectively [14]. At the same temperature the estimated value of U/Nd separation factor in the “LiCl–KCl–CsCl eutectic–Ga–Al (1.6 wt. %) alloy” system was 1.12 × 105 [12].
Experimentally determined separation factors are normally smaller than those predicted by thermodynamic calculations. For example, experiments performed in the system based on LiCl–KCl–CsCl eutectic salt phase and Ga–In (21.8 wt. % In) alloy at 722–737 K showed that the U/Nd separation factor achieved under static conditions when the molten salt and liquid metal were held in contact from 12 to 27 h was between 100 and 500 [12]. Such separation factors are satisfactory for the fast neutron reactors’ fuels.
Liu et al. [4] studied the separation of uranium and neodymium in LiCl–KCl (58: 42 mol. %)-based melts by electrolysis on a liquid gallium cathode and achieved a U/Nd separation factor of 350. This was the lowest value obtained for the RE metals investigated, which included La, Ce, Pr, Nd and Sm. The highest separation factor, reaching 1800, was achieved for the U/La couple.
The results of thermodynamics modeling and experimental measurements demonstrated that “chloride melt–liquid metal” systems can be efficiently used for separating uranium (fissile material) and rare earth fission products in pyrochemical reprocessing of SNF, especially from fast neutron reactors. However, the majority of previous studies of RE metal behavior in liquid alloys with low melting metals were performed in a relatively narrow temperature range, normally at 723–823 K. The present work was therefore aimed at widening the temperature interval (both to lower and higher temperatures) at which the behavior of rare earth metals was determined experimentally. Lanthanum was selected as a typical representative of RE metals and fission products to assess the possibility of separating uranium and rare earths. Gallium–indium-based systems were selected for the study because the results of previous work demonstrated that addition of lanthanum and uranium to the alloys based on gallium–indium and gallium–aluminum eutectics had very little effect on activity and activity coefficients of dissolved metals [15,16,17]. Therefore, the results obtained for the simple (binary or ternary) systems could subsequently be used for describing more complex (quaternary and higher-order) liquid metal alloys.
The present work was aimed at the experimental determination of lanthanum solubility in alloys based on gallium–indium mixtures and the calculation of activity coefficients of lanthanum in the liquid metal phase.
2. Experimental
The experiments were performed in gallium–indium alloys containing 21.8, 40 and 70 wt. % indium, as well as in pure indium. In the present study, three independent techniques were employed for determining lanthanum solubility in gallium–indium-based alloys, i.e., sedimentation (precipitation), filtration and centrifugation. The experimental procedures and setups used for performing the measurements were described in detail previously [18,19,20]. The sedimentation technique involved taking samples of liquid alloys saturated with lanthanum at a given temperature and determining the lanthanum concentration by chemical analysis. The method of filtration was based on filtering the alloy saturated with lanthanum to separate the liquid phase from any solid particles of intermetallic compounds and determining lanthanum concertation in the filtrate.
Centrifuging liquid metallic alloys was previously employed for determining uranium solubility in gallium–indium alloys [18]. The method involved the separation of solid and liquid phases in U–Ga–In systems saturated with uranium in a heated centrifuge at a selected temperature and determining the uranium concentration in the liquid phase. Here, this approach was used for determining lanthanum solubility in gallium–indium eutectic alloy (21.8 wt. % In).
3. Results and Discussion
3.1. Solubility of Lanthanum in Gallium–Indium Alloys
The solubility of lanthanum in gallium and some preliminary results of studying the effect of indium addition to lanthanum–gallium alloys on the thermodynamics of lanthanum were reported previously [20,21]. In the present work, the solubility of lanthanum was measured in indium and three Ga–In alloys (21.8, 40 and 70 wt. % In) at temperatures up to 1081 K. The lower temperature limit in the experiments depended on the melting point of the alloy and started at 298 K.
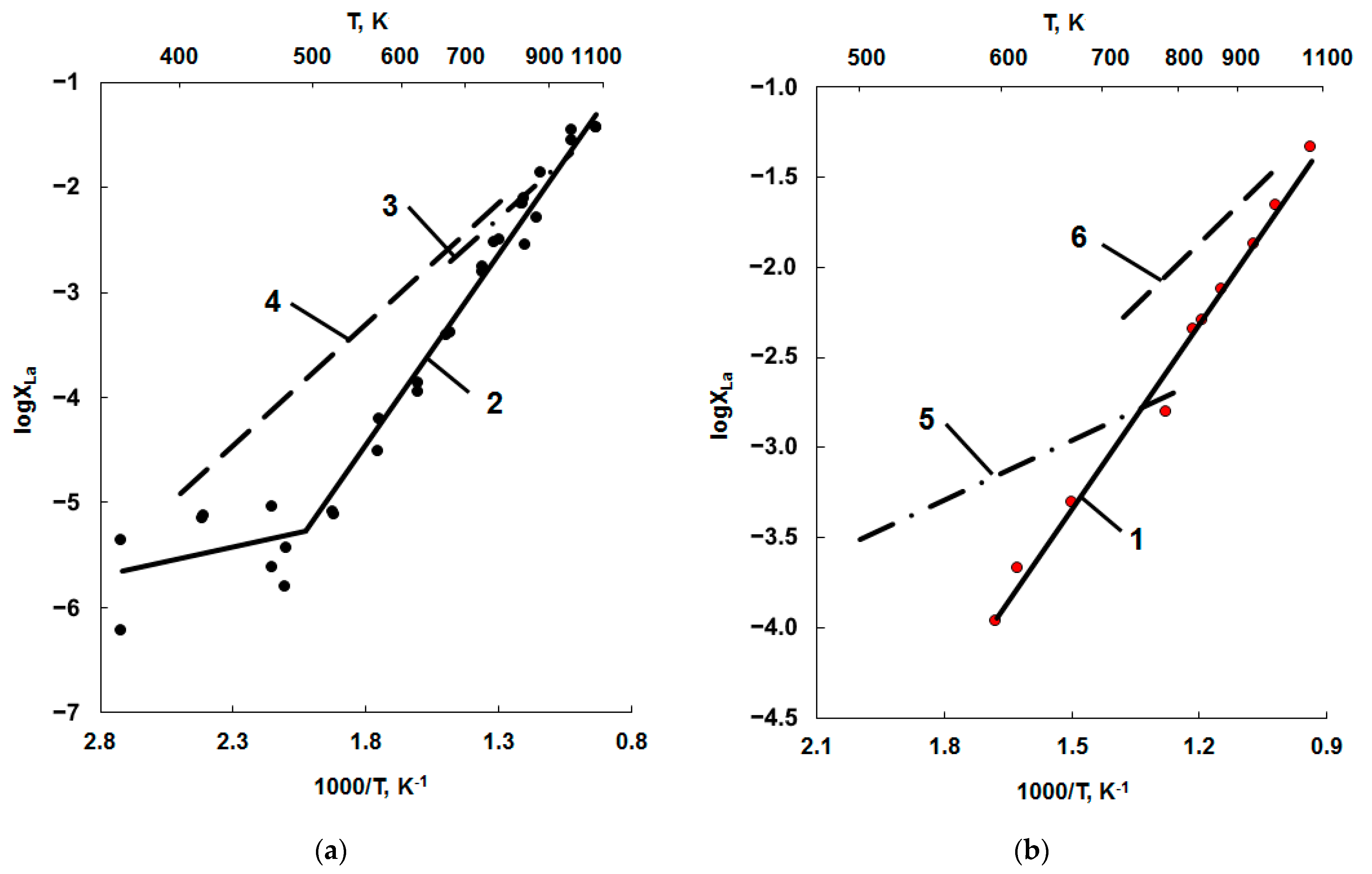
The solubility of lanthanum in gallium and indium determined using the precipitation (sedimentation) technique is presented in Figure 1. The temperature dependence of the solubility of lanthanum in gallium in the entire temperature range (368–1073 K) was non-linear and could satisfactorily be described by two equations [20]:
logXLa(Ga) = −3616 T−1 + 2.067 (±0.22), (493–1073 K)
logXLa(Ga) = −552 T−1 + 4.153 (±0.37), (368–493 K)
Figure 1.
Solubility of lanthanum in gallium (a) and indium (b). 1—present work; 2–6—literature data [20, 22,23,24,25], respectively.
Indium has a higher melting point than gallium, and lanthanum solubility in indium was measured from 615 K. The resulting temperature dependence could be approximated by one linear equation:
logXLa(In) = −3412.3 T−1 + 1.7814 (±0.09), (615–1068 K)
The solubility of lanthanum obtained in the present study was of the same order as that reported in the literature [20,22,23,24,25], where the solubility was determined from the results of electromotive force (EMF) measurements [22,25] and chemical analysis of liquid alloy samples [23,24]. The agreement is particularly good at higher temperatures (above 700 K). Figure 1 also shows that the lanthanum solubility measured in the previous study was somewhat lower than reported previously.
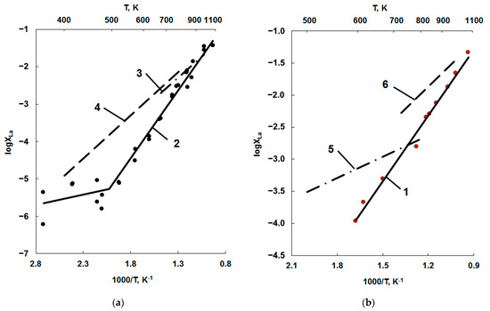
The solubility of lanthanum in gallium–indium alloys of various compositions is presented in Figure 2.
Figure 2.
Solubility of lanthanum in Ga–In alloys containing 21.8 (a), 40 (b) and 70 (c) wt. % In. The results of EMF measurements were taken from the literature [22].
Previously [26], we used the EMF method for determining lanthanum solubility in Ga–In eutectic alloys. Here again, similar to alloys based on gallium [22] and indium [25], the EMF method at lower temperatures gave somewhat higher solubility values than the sedimentation technique (Figure 2a). The centrifugation method, which showed very good agreement with other techniques in determining uranium solubility in liquid metals [18], here clearly produced much higher solubility values in comparison with other methods (Figure 2a). The likely reason for this was insufficient separation of the liquid alloy and fine solid particles of lanthanum intermetallic compounds in the centrifuge used.
Figure 1 and Figure 2 show that the solubility values determined below 500 K exhibited considerable scatter. It is likely that the methods used in the present study did not permit reliable determination of lanthanum (and other rare earths) solubility in gallium-based alloys at low temperatures due to the closeness between the densities of solid lanthanum intermetallic compounds and the liquid alloy (the problem was considerably less pronounced in the case of uranium [18], the metal with a much higher density). Therefore, the temperature of 500 K is close to the lower temperature limit of applicability of the techniques used here.
The experimental temperature dependencies of lanthanum solubility in gallium–indium alloys were approximated by the following equations using the least squares fit:
logXLa(Ga–21.8 wt% In) = −4584.2 T−1 + 3.1970 (±0.16), (513–1081 K)
logXLa(Ga–21.8 wt% In) = −355.7 T−1 − 5.0397 (±0.39), (298–513 K)
logXLa(Ga–40 wt% In) = −4625.5 T−1 + 3.0967 (±0.29), (502–983 K)
logXLa(Ga–40 wt% In) = −440.0 T−1 − 5.2360 (±0.50), 428–502 K
logXLa(Ga–70 wt% In) = −4602.9 T−1 + 2.7909 (±0.19), 527–987 K
The solubility of lanthanum in gallium, indium and their mixtures at different temperatures is graphically presented in Figure 3. The figure shows that lanthanum solubility in Ga–In mixed alloys decreased with increasing indium content (lines a, b and c in Figure 3). A possible reason for this could be the following. The solubility of lanthanum in gallium and indium is close; lines d and e in Figure 3 correspond to La–In and La–Ga alloys. In ternary La–Ga–In alloys, indium acts as an inert additive, and the solubility of lanthanum is determined by the available gallium.
Figure 3.
Solubility of lanthanum in Ga–In alloys containing 21.8 (a), 40 (b) and 70 (c) wt. % In, as well as in In (d) and Ga (e).
Such an assumption was supported by the results of X-ray diffraction analysis of samples of solid intermetallic compounds (IMCs) extracted from the alloys after cooling to room temperature. The IMCs consisted of needle-like crystals of 2–8 mm in length. Two phases were identified, and both were the compounds of lanthanum with gallium, i.e., Ga6La and Ga2La. The formation of only gallium–lanthanum IMCs in the presence of indium agrees with the results obtained previously, when the thermodynamic properties of lanthanum were studied in a gallium–indium eutectic alloy using the EMF method [27,28].
Examples of X-ray diffraction patterns of IMCs obtained by filtering the alloys in the filtration method are presented in Figure 4. Here again, only gallium-containing IMCs were detected, even in the alloys containing 70 wt. % indium.
Figure 4.
X-ray diffraction patterns of lanthanum-containing alloys based on Ga–In mixtures with 21.8 wt. % In (a), 40 wt. % In (b) and 70 wt. % In (c) cooled to room temperature.
The low melting point of Ga–In eutectic (15.3 °C [29]) did not allow obtaining samples of solid intermetallic compounds free of the liquid alloy. This resulted in the appearance of gallium reflections in the corresponding XRD pattern (pattern a in Figure 4). Such a low melting point of the alloy also did not permit producing sufficient-quality photographs of the IMCs’ microstructure; the samples (even after preliminary cooling) quickly warmed up and melted under the lamp of the microscope.
The microstructure of the intermetallic compounds extracted from the alloys with 40 and 70 wt. % In cooled to room temperature is presented in the photographs in Figure 5. In all instances, the analysis of the samples showed that upon cooling, lanthanum formed IMCs only with gallium. Increasing indium concentration in the alloy affected only the ratio between the IMCs formed, i.e., decreasing gallium content led to an increasing Ga2La and a decreasing Ga6La fraction in the solid phase.
Figure 5.
Microstructure of lanthanum-containing alloys based on Ga–In mixtures with 40 wt. % In (a) and 70 wt. % In (b) after cooling to room temperature.
Previously [21], we reported the formation of the Ga3La phase in the alloys based on Ga–In mixtures with 40 and 70 wt. % In. Peak positions in the X-ray diffraction patterns of the Ga2La and Ga3La phases are very close. Here, we did not find the diffraction peaks characteristic of solely the Ga3La phase. Therefore, the results obtained in the present study did not confirm the formation of Ga3La IMC in gallium–indium alloys containing 40 and 70 wt. % In cooled to room temperature. Similarly, Ga3La phase was not detected in the quaternary alloys based on Ga–In eutectic, i.e., La–Nd–(Ga–In) and La–Y–(Ga–In) [15]. Earlier experiments performed in Pr–(Ga–In) alloys also showed the formation of the Ga6Pr intermetallic phase [30]. In the case of neodymium-containing alloys, Nd–(Ga–In) with 21.4, 40 and 70 wt. % In, there was no Ga3Nd detected in the samples cooled to room temperature [31]. A phase analogous to Ga3La was only found in uranium–lanthanum-containing alloys, La–U–(Ga–In) [15]. Thermodynamic assessment of the Ga–La system employing the Calphad technique also did not take the Ga3La phase into consideration [32].
The solubility of lanthanum in pure gallium and indium is quite close. However, the solubility of La in Ga–In mixtures was lower than in individual metals. Similar results on decreasing the solubility of RE elements in Ga–In alloys compared to either gallium or indium were reported for neodymium [31].
In all previous studies involving neodymium and praseodymium-containing alloys based on gallium–indium mixtures, it was concluded that indium acted more like an inert additive, affecting merely the melting point of the alloy. No intermetallic compounds of RE metals and indium were detected.
3.2. Activity Coefficients of Lanthanum in Alloys with Gallium and Indium
Temperature dependencies of activity coefficients can be calculated from the difference in the corresponding dependencies of activity and solubility [19,33]. The activity of β-lanthanum in alloys with gallium [20] and indium [26] can be expressed by the following equations:
loga La(Ga) = −16,193 T−1 + 6.941, (573–1081 K)
loga La(In) = −12,305 T−1 + 4.297, (573–1073 K),
The activity of β-lanthanum in the ternary La–Ga–In alloys containing 21.8, 40 and 70 wt. % In was also determined previously [21,26]:
loga La(Ga–21.8 wt% In) = −15,352 T−1 + 5.660 (±0.093), (573–1073 K)
loga La(Ga–40 wt% In) = −15,285 T−1 + 5.8855 (±0.013), (573–1075 K)
loga La(Ga–70 wt% In) = −14,940 T−1 + 6.4718 (±0.011), (573–1075 K)
Data for the solubility of lanthanum below 500 K in the studied alloys showed considerable scatter (Figure 1 and Figure 2). Therefore, the activity coefficients of β-lanthanum were calculated only for higher temperatures, and the following results were obtained for the overlapping temperature intervals:
logγ La(Ga) = −12,577 T−1 + 4.874, (573–1073 K),
logγ La(In) = −8892.7 T−1 + 2.516, (615–1068 K),
logγ La(Ga–21.8 wt% In) = −10,767.8 T−1 + 2.463, (615–1068 K),
logγ La(Ga–40 wt% In) = −10,659.5 T−1 + 2.7888, (573–983 K),
logγ La(Ga–70 wt% In) = −10,337.1 T−1 + 3.3609, (573–987 K).
The activity coefficients of β-lanthanum were also determined in the alloys based on gallium–indium eutectic in the presence of uranium [16]:
logγ La(U–(Ga–21.8 wt% In) = −11,819.2 T−1 + 3.300, (573–1073 K).
Comparison of the results obtained in La–(Ga–In) and La–U–(Ga–In) systems (Equations (16) and (19)) showed that in the presence of uranium, the activity coefficients of lanthanum were lower, especially at the lower temperatures. For example, around 600 K, the addition of uranium lowered the activity coefficient of β-La in Ga–In eutectic-based alloys by an order of magnitude. The activity coefficients of lanthanum in the alloys with gallium, indium and Ga–In mixtures of various compositions are compared in Figure 6. The activity coefficients of lanthanum were the highest in La–In alloys. The addition of gallium to indium resulted in a gradual decrease in the activity coefficients, which were the lowest in La–Ga alloys. Thus, the behavior of lanthanum in Ga–In-based alloys was different from Ga–Al alloys, where the addition of aluminum (up to 5 wt. %) to gallium did not have a noticeable effect on the activity coefficients of lanthanum [20].
Figure 6.
Activity coefficients of β-lanthanum in alloys with gallium (a); indium (f); and gallium–indium mixtures with 21.8 wt. % In (b); 40 wt. % In (d); 70 wt. % In (e). Activity of lanthanum in La–U–(Ga–In) alloy, 21.8 wt. % In (c), is also included for comparison.
3.3. Estimating the Possibility of Separating Uranium and Lanthanum Using Gallium–Indium Alloys
The efficiency of separation of two elements, e.g., uranium and a fission product, in a “molten salt–metallic alloy” system is conventionally characterized by a separation factor that can be expressed as follows:
where CFP and CU are the molar fractions of uranium and the fission product element in the salt phase; and XU and XFP are the atomic fractions of uranium and the fission product metal in the metallic alloy. The thermodynamically possible separation factor can be estimated from the following equation [2,12]:
where n and m are the oxidation states of uranium and the fission product element in the molten salt phase; F is Faraday’s constant; E is the equilibrium potential of the liquid metal alloy in a given salt melt; and are the formal standard electrode potentials of the fission product and uranium in the molten salt; γU and γFP are the activity coefficients of uranium and the fission product in the liquid metallic alloy phase.
For uranium and rare earth elements, e.g., lanthanum, the oxidation states of their ions present in the salt phase are equal, and Equation (21) can be simplified:
In this case, the separation factor can be calculated using the data on the formal standard electrode potentials of uranium and lanthanum in the molten salt electrolyte and their activity coefficients in the metallic alloy.
The activity coefficients of uranium in the alloys with gallium, indium and their mixtures were determined previously [18], and their temperature dependencies are represented by the following equations:
logγ U(Ga) = −5910 T−1 + 2.77, (573–1073 K),
logγ U(In) = −3300 T−1 + 4.42, (603–793 K),
logγ U(In) = −442 T−1 + 0.80, (793–1073 K),
logγ U(Ga–21.8 wt% In) = −6390 T−1 + 3.94, (573–1073 K),
logγ U(Ga–40 wt% In) = −8020 T−1 + 7.53, (573–703 K),
logγ U(Ga–40 wt% In) = −4130 T−1 + 2.01, (703–983 K),
logγ U(Ga–70 wt% In) = −9350 T−1 + 10.11, (573–683 K),
logγ U(Ga–70 wt% In) = −6200 T−1 + 5.49, (683–1023 K).
The activity coefficients of γ-uranium in Ga–In eutectic alloys in the presence of lanthanum were also reported [15]:
logγ U(La–(Ga–21.8 wt% In) = −4510 T−1 + 1.68, (578–1071 K).
The ternary eutectic mixture of lithium, potassium and cesium chlorides, LiCl–KCl–CsCl (57.5–16.5–26 mol. %), was used as the solvent melt in the present work because this salt mixture has one of the lowest melting points among the alkali chloride mixtures (536 K). The temperature dependencies of the formal standard potentials of lanthanum [34] and uranium [35,36] in this melt were reported previously and are described by the following equations (here the potentials are given vs. the standard chlorine reference electrode):
The formal standard electrode potentials linearly depend on temperature, and the activity coefficients linearly depend on the reciprocal temperature. The temperature dependence of the separation factor can be obtained by subtracting the corresponding equations from the overlapping temperature intervals. For example, the following equation was obtained for expressing the uranium and lanthanum separation factors in gallium-based alloys:
Equation (34) is valid for the overlapping (for activity and solubility measurements) temperature range of 573–1073 K, and after rearrangement, it takes the following form:
Temperature dependencies of uranium-lanthanum separation factors were calculated in the same manner for all other variants of “LiCl–KCl–CsCl eutectic melt–Ga–In alloy” systems. For the alloys containing 21.8, 40 and 70 wt. % indium, as well as for pure indium, the following equations were derived:
The separation factor was also calculated for the system based on a gallium–indium eutectic alloy, considering the mutual effect of uranium and lanthanum on the activity coefficients of those metals (Equations (19) and (31)). Formal standard electrode potentials were calculated using Equations (32) and (33). The presence of other metal ions in the salt melt does not influence the value of E*. Kuznetsov et al. [37] demonstrated that the addition of lanthanum chloride had no effect on uranium behavior in LiCl–KCl eutectic-based melts. In this case, the temperature dependence of the U/La separation factor can be described by the following equation:
Uranium-lanthanum separation factors calculated for different metallic alloys (gallium, indium and their mixtures) are graphically presented in Figure 7. Figure 7 shows that the best separation of uranium and lanthanum should be expected for gallium, and indium-based alloys would show the lowest efficiency. U/La separation factors achievable on gallium and indium differ by about three orders of magnitude. For Ga–In mixtures, the separation factor values around 950 K are very close, around 5.6×103. Below 900 K, there is a noticeable difference in the separation factors; this difference increases with lowering temperature and reaches nearly two orders of magnitude at 600 K. There is now no strict dependence of the separation factor on indium concentration in the alloy (although such dependencies were observed for activity coefficients and solubility values). Separation factors expected for the alloys containing 21.8 (eutectic) and 70 wt. % In at 683–987 K are essentially the same. When the mutual influence of uranium and lanthanum on their thermodynamic properties in the alloy phase was taken into account, U/La separation factor values showed lower separation efficiency for the temperature below 900 K, with the difference reaching around 1.7 orders of magnitude (Figure 7).
Figure 7.
U/La separation factors in “LiCl–KCl–Cs melt–liquid alloy” systems for the liquid alloys based on gallium (a); Ga–In eutectic, 21.8 wt. % In (b); Ga–In eutectic containing uranium (c); Ga–40 wt. % In (d); Ga–70 wt. % In (e); and indium (f).
Uranium-lanthanum separation factors calculated at 723 K equal 8.59 × 105, 1.64 × 105 and 8.61 × 105 for Ga–In alloys containing 21.8, 40 and 70 wt. % In, respectively. These values are very close to La/U separation factors reported previously for the same temperature for Ga–20 wt. % In and Ga–21.4 wt. % In alloys [6,7] but substantially higher than the previous estimates for Ga–40 wt. % In and Ga–70 wt. % In alloys [8,9] (LiCl–KCl eutectic was used as the solvent salt in all the referenced studies). The U/La separation factor calculated for Ga–In eutectic-based alloy considering uranium and lanthanum mutual presence (Equation (43)) was equal to 9.47 × 104 at 723 K. The difference is about an order of magnitude. Examples of various factors influencing the behavior of f-elements in multicomponent liquid alloys (including thermodynamically derived separation factor values) also indicated that the mutual effect of lanthanides and actinides on their thermodynamic properties can lower the efficiency of their separation [12].
4. Conclusions
The solubility of lanthanum was measured in liquid indium and its mixtures. Although the solubility of lanthanum in gallium and indium was very close, the solubility of lanthanum in Ga–In mixtures was noticeably lower than in pure metals. Increasing indium concentrations in Ga–In alloys lowered lanthanum solubility. Analysis of solid intermetallic compounds formed in La–Ga–In alloys showed that only lanthanum–gallium phases were formed, i.e., Ga2La and Ga6La. No indication of lanthanum interaction with indium in Ga–in alloys containing up to 70 wt. % indium was observed. It can, therefore, be concluded that lanthanum in Ga–In alloys predominantly interacted with gallium and indium acted as an inert additive.
The activity coefficients of lanthanum in gallium–indium alloys were calculated. Lanthanum activity coefficients increased with increasing indium content in the alloy, indicating a weakening interaction between lanthanum and the liquid alloy components.
Thermodynamically possible U/La separation factors were calculated for “LiCl–KCl–CsCl eutectic-based melt–liquid alloy” systems. Gallium showed the highest potential for separating uranium and lanthanum, and separation efficiency for indium is expected to be much lower (by 2–3 orders of magnitude). Gallium–indium alloys occupied the intermediate position in terms of U/La separation efficiency. No unambiguous effect of Ga–In alloy composition on the U/La separation factor was observed.
Author Contributions
Conceptualization, L.F.Y.; methodology, L.F.Y.; validation, V.A.V. and A.S.D.; formal analysis, A.S.D. and A.V.S.; investigation, A.S.D. and A.V.S.; resources, L.F.Y.; data curation, A.S.D. and A.V.S.; writing—original draft preparation, A.S.D. and V.A.V.; writing—review and editing, V.A.V.; visualization, A.S.D.; project administration, L.F.Y. All authors have read and agreed to the published version of the manuscript.
Funding
This research received no external funding.
Data Availability Statement
The data are available from the corresponding author upon request.
Acknowledgments
The authors thank A.V. Chukin for help with X-ray diffraction measurements.
Conflicts of Interest
The authors declare no conflict of interest.
References
- Kersten, B.; Hawthorne, K.; Williamson, M.; Akolkar, R.; Duval, C.E. The Future of Nuclear Energy: Electrochemical Reprocessing of Fuel Takes Center Stage. Electrochem. Soc. Interface 2021, 30, 45. [Google Scholar] [CrossRef]
- Lebedev, V.A. Selectivity of Liquid Metal Electrodes in Fused Halides; Metallurgiya: Chelyabinsk, Russia, 1993. (In Russian) [Google Scholar]
- Xu, H.; Zhang, W.; Wang, C.; Yang, M.; Yan, T.; Yan, Y.; Zhang, M. Molten Salt/Liquid Metal Extraction: Electrochemical Behaviors and Thermodynamics Properties of La, Pr, U and Separation Factors of La/U and Pr/U Couples in Liquid Gallium Cathode. Appl. Radiat. Isot. 2022, 182, 110149. [Google Scholar] [CrossRef] [PubMed]
- Liu, K.; Liu, Y.-L.; Chai, Z.-F.; Shi, W.-Q. Electroseparation of Uranium from Lanthanides (La, Ce, Pr, Nd and Sm) on Liquid Gallium Electrode. Sep. Purif. Technol. 2021, 265, 118524. [Google Scholar] [CrossRef]
- Liu, K.; Chai, Z.-F.; Shi, W.-Q. Liquid Electrodes for An/Ln Separation in Pyroprocessing. J. Electrochem. Soc. 2021, 168, 32507. [Google Scholar] [CrossRef]
- Smolenski, V.; Novoselova, A.; Osipenko, A.; Maershin, A. Thermodynamics and Separation Factor of Uranium from Lanthanum in Liquid Eutectic Gallium-Indium Alloy/Molten Salt System. Electrochim. Acta 2014, 145, 81–85. [Google Scholar] [CrossRef]
- Smolenski, V.V.; Novoselova, A.V.; Bovet, A.L.; Mushnikov, P.N. Separation Factors of La/U, Pr/U, and Nd/U in the Ga–In/3LiCl–2KCl Molten System. Russ. Metall. 2020, 2020, 112–114. [Google Scholar] [CrossRef]
- Smolenski, V.; Novoselova, A.; Volkovich, V.A. Thermodynamics of La and U and the Separation Factor of U/La in Fused Me(Ga-40 Wt.% In)/3LiCl-2KCl System. J. Nucl. Mater. 2017, 495, 285–290. [Google Scholar] [CrossRef]
- Novoselova, A.; Smolenski, V.; Volkovich, V.A.; Luk’yanova, Y. Thermodynamic Properties of Ternary Me-Ga-In (Me = La, U) Alloys in a Fused Ga-In/LiCl-KCl System. J. Chem. Thermodyn. 2019, 130, 228–234. [Google Scholar] [CrossRef]
- Novoselova, A.; Smolenski, V. The Influence of the Temperature and Ga-In Alloy Composition on the Separation of Uranium from Neodymium in Molten Ga-In/3LiCl-2KCl System during the Recycling of High-Level Waste. J. Nucl. Mater. 2018, 509, 313–317. [Google Scholar] [CrossRef]
- Smolenski, V.; Novoselova, A.; Osipenko, A.; Kormilitsyn, M.; Luk’Yanova, Y. Thermodynamics of Separation of Uranium from Neodymium between the Gallium-Indium Liquid Alloy and the LiCl-KCl Molten Salt Phases. Electrochim. Acta 2014, 133, 354–358. [Google Scholar] [CrossRef]
- Volkovich, V.A.; Maltsev, D.S.; Melchakov, S.Y.; Yamshchikov, L.F.; Novoselova, A.V.; Smolensky, V. V Separation of Lanthanides and Actinides in a Chloride Melt—Liquid Metal System: The Effect of Phase Composition. ECS Trans. 2016, 75, 397–408. [Google Scholar] [CrossRef]
- Novoselova, A.; Smolenski, V.; Volkovich, V.A.; Ivanov, A.B.; Osipenko, A.; Griffiths, T.R. Thermodynamic Properties of La–Ga–Al and U–Ga–Al Alloys and the Separation Factor of U/La Couple in the Molten Salt–Liquid Metal System. J. Nucl. Mater. 2015, 466, 373–378. [Google Scholar] [CrossRef]
- Smolenski, V.; Novoselova, A.; Volkovich, V.; Luk’yanova, Y.; Osipenko, A.; Bychkov, A.; Griffiths, T.R. The Effect of Al Concentration on Thermodynamic Properties of Nd and U in Ga–Al-Based Alloys and the Separation Factor of Nd/U Couple in a “Molten Salt-Liquid Metal System”. J. Radioanal. Nucl. Chem. 2017, 311, 687–693. [Google Scholar] [CrossRef]
- Volkovich, V.A.; Maltsev, D.S.; Raguzina, E.V.; Dedyukhin, A.S.; Shchetinskiy, A.V.; Yamshchikov, L.F.; Chukin, A.V. Thermodynamics of Rare Earth Elements and Uranium in Gallium Based Quaternary Metallic Alloys. J. Alloys Compd. 2019, 787, 367–378. [Google Scholar] [CrossRef]
- Dedyukhin, A.S.; Kharina, E.A.; Raguzina, E.V.; Maltsev, D.S.; Shchetinskiy, A.V.; Volkovich, V.A.; Yamshchikov, L.F. Solubility of Lanthanum and Uranium in Ga–In and Ga–Al Eutectic Based Alloys. AIP Conf. Proc. 2018, 2015, 020019. [Google Scholar] [CrossRef]
- Raguzina, E.V.; Maltsev, D.S.; Volkovich, V.A. Lanthanum Activity in La–U–Ga–X Systems (X = Al or In). KnE Eng. 2018, 3, 72. [Google Scholar] [CrossRef]
- Volkovich, V.A.; Maltsev, D.S.; Yamshchikov, L.F.; Osipenko, A.G. Thermodynamic Properties of Uranium in Liquid Gallium, Indium and Their Alloys. J. Nucl. Mater. 2015, 464, 263–269. [Google Scholar] [CrossRef]
- Dedyukhin, A.S.; Shchetinskiy, A.V.; Kharina, E.A.; Shchepin, I.E.; Volkovich, V.A.; Yamshchikov, L.F.; Osipenko, A.G. Electrochemical and Thermodynamic Properties of Lanthanum in a Chloride Melt—Liquid Metal System. ECS Trans. 2016, 75, 265–274. [Google Scholar] [CrossRef]
- Schetinskiy, A.V.; Dedyukhin, A.S.; Kharina, E.A.; Volkovich, V.A.; Yamshchikov, L.F. Activity Coefficients of Lanthanum in Gallium and Gallium-Aluminum Based Alloys. J. Alloys Compd. 2019, 790, 809–813. [Google Scholar] [CrossRef]
- Dedyukhin, A.S.; Shchetinskiy, A.V.; Volkovich, V.A.; Yamshchikov, L.F.; Osipenko, A.G. Lanthanum Activity, Activity Coefficients and Solubility in Gallium-Indium Liquid Alloys. ECS Trans. 2014, 64, 227–234. [Google Scholar] [CrossRef]
- Vnuchkova, L.A.; Bayanov, A.P.; Serebrennikov, V.V. A Study of Thermodynamic Properties of Alloys of Lanthanum-Gallium System. Zh. Fiz. Khim. 1971, 45, 177. (In Russian) [Google Scholar]
- Yatsenko, S.P.; Anikin, A.Y.; Dieva, Y.N. Solubility of Rare Earth Metals in Liquid Gallium. Izv. AN SSSR Met. 1972, 212–214. (In Russian) [Google Scholar]
- Dieva, Y.N. Physical Chemical Studies of Liquid Metals and Alloys. UNTS AN SSSR 1974, 29, 98. (In Russian) [Google Scholar]
- Degtyar’, V.A.; Bayanov, A.P.; Vnuchkova, L.A.; Serebrennikov, V.V. Thermodynamics of La-In and La-Tl Systems. Izv. AN SSSR Met. 1971, 149–153. (In Russian) [Google Scholar]
- Dedyukhin, A.S.; Ivanov, V.A.; Mel’chakov, S.Y.; Shchetinskii, A.V.; Volkovich, V.A.; Yamshchikov, L.F.; Osipenko, A.G.; Raspopin, S.P.; Kormilitsyn, M.V. Activity Coefficients and Solubility of Lanthanum and Praseodymium in Gallium-Indium Eutectic Alloy. ECS Trans. 2012, 50, 507–515. [Google Scholar] [CrossRef]
- Shchetinskii, A.V.; Dedyukhin, A.S.; Volkovich, V.A.; Yamshchikov, L.F.; Maisheva, A.O.; Raspopin, S.P.; Osipenko, A.G.; Kormilitsyn, M.V. Thermodynamic Properties of Metallic Ga-In Alloys Saturated with Lanthanum. Russ. Metall. 2014, 2014, 593–598. [Google Scholar] [CrossRef]
- Shchetinskiy, A.V.; Dedyukhin, A.S.; Volkovich, V.A.; Yamshchikov, L.F.; Maisheva, A.I.; Osipenko, A.G.; Kormilitsyn, M.V. Thermodynamic Properties of Lanthanum in Gallium–Indium Eutectic Based Alloys. J. Nucl. Mater. 2013, 435, 202–206. [Google Scholar] [CrossRef][Green Version]
- Anderson, T.J.; Ansara, I. The Ga-In (Gallium-Indium) System. J. Phase Equilibria 1991, 12, 64–72. [Google Scholar] [CrossRef]
- Melchakov, S.Y.; Yamshchikov, L.F.; Ivanov, V.A.; Volkovich, V.A.; Raspopin, S.P.; Osipenko, A.G. Thermodynamic Properties of Alloys of Praseodymium with the Gallium-Indium Eutectic Melt. Russ. J. Non-Ferrous Met. 2014, 55, 550–553. [Google Scholar] [CrossRef]
- Melchakov, S.Y.; Yamshchikov, L.F.; Osipenko, A.G.; Rusakov, M.A. Solubility of Neodymium in Liquid Gallium, Indium and Metal Compositions of Their Basis. Rasplavy 2014, (6), 41–49. (In Russian) [Google Scholar]
- Boudraa, S.; Djaballah, Y.; Mansouri, Y.; Belgacem Bouzida, A. Thermodynamic Assessment of the Ga–La and Ga–Pr Systems Supported by Ab-Initio Calculations. Calphad 2022, 76, 102387. [Google Scholar] [CrossRef]
- Dedyukhin, A.S.; Shepin, I.E.; Kharina, E.A.; Shchetinskiy, A.V.; Volkovich, V.A.; Yamshchikov, L.F. Thermodynamic Properties of Lanthanum in Gallium–Zinc Alloys. AIP Conf. Proc. 2016, 1767, 020006. [Google Scholar] [CrossRef]
- Kharina, E.A.; Kaychenkova, R.Y.; Dedyukhin, A.S.; Shchetinskiy, A.V.; Yamshchikov, L.F. Potentiometric Study of Lanthanum Containing Melts Based on the Eutectic Mixture of Lithium, Potassium and Cesium Chlorides. AIP Conf. Proc. 2018, 2015, 020037. [Google Scholar] [CrossRef]
- Maltsev, D.S.; Volkovich, V.A.; Vasin, B.D.; Vladykin, E.N. An Electrochemical Study of Uranium Behaviour in LiCl–KCl–CsCl Eutectic Melt. J. Nucl. Mater. 2015, 467, 956–963. [Google Scholar] [CrossRef]
- Maltsev, D.S.; Volkovich, V.A.; Vladykin, E.N.; Vasin, B.D. Electrode Potentials of Uranium in the LiCl–KCl–CsCl Eutectic Melt. Russ. Metall. 2015, 2015, 650–653. [Google Scholar] [CrossRef]
- Kuznetsov, S.A.; Hayashi, H.; Minato, K.; Gaune-Escard, M. Electrochemical Transient Techniques for Determination of Uranium and Rare-Earth Metal Separation Coefficients in Molten Salts. Electrochim. Acta 2006, 51, 2463–2470. [Google Scholar] [CrossRef]
Disclaimer/Publisher’s Note: The statements, opinions and data contained in all publications are solely those of the individual author(s) and contributor(s) and not of MDPI and/or the editor(s). MDPI and/or the editor(s) disclaim responsibility for any injury to people or property resulting from any ideas, methods, instructions or products referred to in the content. |
© 2023 by the authors. Licensee MDPI, Basel, Switzerland. This article is an open access article distributed under the terms and conditions of the Creative Commons Attribution (CC BY) license (https://creativecommons.org/licenses/by/4.0/).






