Next Article in Journal
Treating Low-Concentration Methane Emissions via a Methanotroph-Based Biotrickling Filter: Techno-Economic and Life Cycle Assessment
Previous Article in Journal
Exploring Methane Emission Dynamics Using Bayesian Networks and Machine Learning Analysis of Nutritional and Production Traits in Dairy Cattle
 
 
Font Type:
Arial Georgia Verdana
Font Size:
Aa Aa Aa
Line Spacing:
Column Width:
Background:
Article

Growth Analysis of Methylotuvimicrobium buryatense 5GB1C and Its Utilization for Treating Low Methane Concentrations in a Packed-Bed Column Reactor

1
Department of Chemical Engineering, University of Washington, Seattle, WA 98195, USA
2
Department of Microbiology, University of Washington, Seattle, WA 98195, USA
*
Author to whom correspondence should be addressed.
Methane 2025, 4(4), 22; https://doi.org/10.3390/methane4040022
Submission received: 9 September 2025 / Revised: 6 October 2025 / Accepted: 10 October 2025 / Published: 14 October 2025

Abstract

In 2024, the global average temperature reached 1.55 °C above the pre-industrial level for the first time. However, we could still keep the long-term global average temperature below 2 °C if all possible measures are taken to mitigate greenhouse gases. It is widely accepted that methane (CH4) mitigation can slow global warming in the near term. Among all approaches toward this goal, the utilization of aerobic methanotrophs, which are natural catalysts for the conversion of CH4, emerges as a promising solution. Previously, we identified a candidate for CH4 mitigation, Methylotuvimicrobium buryatense 5GB1C, which exhibits a greater growth rate and CH4 consumption rate than other known methanotrophs at 500 ppm CH4. In this study, we address aspects of the practical applications of this methanotroph for CH4 mitigation. We first examined temperature and medium conditions to optimize M. buryatense 5GB1C growth at 500 ppm CH4. The results show that M. buryatense 5GB1C has a broad optimal temperature range for growth at 500 ppm, from 15 °C to 30 °C, and that its growth rate is consistently improved by 20–30% in 10-fold-diluted medium. Next, to demonstrate the feasibility of CH4 removal at low concentrations by this methanotroph, we applied it in a laboratory-scale packed-bed column reactor for the treatment of 500 ppm CH4 and tested different packing materials. The column reactor experiments revealed a maximum elimination capacity of 2.1 g CH4 m−3 h−1 with 2 mm cellulose beads as the packing material. These results demonstrate that with further technological innovation, this methanotroph has the potential for real-world methane mitigation.

1. Introduction

The past two years have witnessed frequent heatwaves across the Earth, and they have officially become the warmest two years on record [1,2]. This current climate crisis creates great urgency for immediate and effective measures to slow global warming, which has been accelerated by increased emissions of greenhouse gases, especially carbon dioxide (CO2) and methane (CH4). The former is estimated to contribute ~74% to global warming, and the latter ~20% [3,4]. Compared to CO2, CH4 is a more potent greenhouse gas: on a 100-year scale, one ton of CH4 is equivalent to 34 tons of CO2 in terms of heat-trapping capacity, and on a 20-year scale, one ton of CH4 is equivalent to 85 tons of CO2 [5]. However, the atmospheric lifetime of CH4 is only 10–12 years, much shorter than that of CO2, which can persist for centuries or even millennia in the atmosphere [5,6,7]. Because of these two qualities of CH4, global warming can be slowed in the near term, assuming that effective measures can be promptly taken to mitigate CH4 emissions [8,9]. However, the majority of CH4 concentrations in air streams are below 1000 ppm [10], and such low concentrations present challenges for CH4 mitigation. Currently, no economically feasible technology is commercially available that addresses this concentration range [10], creating an opportunity for technology development.
To this end, a variety of zeolite-based catalysts have been proposed for CH4 conversion into methanol, CO2, or even multi-carbon compounds [10,11]. Most of these chemical processes require a temperature over 200 °C, but recent research studies show that direct CH4 conversion by zeolite-based catalysts can occur at ambient temperature [12,13]. However, these technologies are still not economically feasible [10]. Another example of CH4 removal technology involves a photocatalytic process that applies ultraviolet light for chlorine or hydroxyl radical generation for methane removal [14,15,16]. Currently, such light-based techniques show apparent quantum yields (AQYs) generally below 1%; however, it is estimated that a minimum of 9 ± 8% AQY is required for economic viability [10].
Another approach for CH4 mitigation is to utilize aerobic methanotrophs, which are natural biocatalysts that can grow on CH4 and convert it into CO2 and biomass or other valuable products. Such products have the potential to provide economic incentives and, ultimately, profitability, an attractive feature of methanotroph-based CH4 mitigation [17,18]. This feature provides the possibility for a circular economy and adds value to CH4 mitigation. In addition, methanotrophs are naturally able to utilize CH4 at difficult-to-abate concentrations in the range of 10–1000 ppm [18]. Estimates suggest that emissions from livestock, wastes, and wetlands in this concentration range are over 150 million tons (Tg) per year globally [10]. A key enzyme in these methanotrophs is methane monooxygenase (MMO), which initiates CH4 oxidation with O2, leading to the generation of methanol that can be further metabolized via downstream pathways [17,18]. A recent study reported that an aerobic methanotrophic bacterium, Methylotuvimicrobium alcaliphilum 20ZR, can sustain stable CH4 consumption in a packed-bed column system for 5 months when treated with 1% (v/v) CH4, a common CH4 concentration in waste gases emitted from coal mines and landfills [19]. In addition, other studies have demonstrated that mixed methanotrophic communities can be used in biofiltration systems for CH4 removal [20,21,22,23,24]. These research studies also examined the effects of various packing materials, nutrient additions, and operational parameters on the elimination capacity and removal efficiency to optimize CH4 removal performance, which set the stage for future deployment of such biology-based technologies. Most of these studies focused on CH4 levels at ~1% (v/v) or more, whereas, as noted above, many major emission sources contain CH4 at levels below 0.1% (1000 ppm) [10]. Therefore, it is vital to conduct similar research at low CH4 concentrations to achieve significant CH4 removal from as many emission sites as possible. A previous simulation study suggests that negative carbon emissions can be achieved by treating methanotrophs with 500 ppm or higher CH4 in a biofiltration tower [25]. For the purposes of this study, we have used 500 ppm CH4 as an average concentration for significant point sources from waste management (manure, wastewater, landfills), which emit CH4 on the order of 102 to 103 ppm [10].
To maximize CH4 removal performance, it is advantageous to utilize methanotrophs with rapid growth and methane consumption under low CH4 concentrations. In a previous study, we identified a gammaproteobacterial methanotroph, Methylotuvimicrobium buryatense 5GB1C, as a highly promising candidate due to its significantly faster growth and higher methane consumption rates at 500 ppm compared to other known methanotrophs tested for growth at low CH4 concentrations, including some alphaproteobacterial methanotrophs such as Methylocystis and Methylocapsa strains, as well as methanotrophic communities enriched from soil samples [26,27,28,29,30,31]. In the present study, we identified conditions conducive to M. buryatense 5GB1C growth at 500 ppm CH4 by manipulating the growth temperature and growth medium. We demonstrated a broad range of optimal temperatures for M. buryatense 5GB1C grown at low CH4 concentrations and improvements in methanotrophic growth via medium dilution, important steps toward practical applications of this methanotroph. A flow-through system was built to facilitate these tests in addition to conventional cell cultivation using capped serum bottles. Furthermore, we built a laboratory-scale packed-bed system and demonstrated that M. buryatense 5GB1C can be applied for treating 500 ppm CH4 in this system when porous cellulose beads were used as the packing material. The maximum removal efficiency can reach up to 90% at a gas flow rate of ~125 cm3 min−1, and the highest elimination capacity (based on treatment volume) reaches 2.1 g CH4 m−3 h−1 at a gas flow rate of ~500 cm3 min−1. The current work highlights the unique characteristics of M. buryatense 5GB1C for CH4 mitigation and will lay the foundation for the utilization of this methanotroph-based technology for the treatment of CH4-containing waste gases in situ.

2. Results

2.1. M. buryatense 5GB1C Shows a Broad Optimal Temperature Range for Growth at 500 ppm CH4

M. buryatense 5GB1C grows optimally at 30 °C in the presence of high CH4 concentrations (≥ 20%, v/v) and can survive in a broad temperature range from 7 °C to 45 °C [32,33]. It might be expected that the same trend holds true at low CH4 concentrations. However, we have shown that M. buryatense 5GB1C makes several major transcriptional adaptations in support of growth on severely limited CH4 sources [31], including downregulation of its entire transcriptional and translational processes, which contributes to a much lower maintenance energy at 500–1000 ppm compared to that at 2.5% (25,000 ppm) CH4. Therefore, M. buryatense 5GB1C growth in response to temperature changes could be different at low CH4 concentrations, and quantification of these physiological parameters can provide guidelines for how to best utilize this methanotroph for CH4 mitigation. To quantify the specific growth rates and specific CH4 uptake rates at different temperatures, we cultivated M. buryatense 5GB1C in a bioreactor–gas chromatography (GC) system (stirred-tank bioreactor with off-gas measurement) at 500 ppm CH4. For comparison, we also performed the same analyses at different temperatures using 2.5% CH4, a condition where M. buryatense 5GB1C is known to grow rapidly and exhibit growth rates close to its highest level [32].
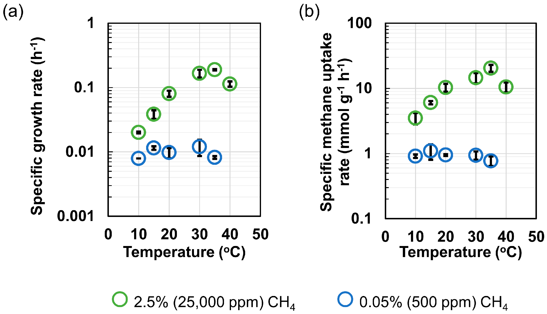
The optimal temperature for M. buryatense 5GB1C grown at 2.5% CH4 is between 30 °C and 35 °C, corresponding to growth rates of 0.2 h−1 (Figure 1). As expected, further increasing or decreasing the temperature reduced both the growth rates and CH4 consumption rates. Especially between 10 °C and 20 °C, these two parameters decreased exponentially with decreasing temperature. In contrast, M. buryatense 5GB1C has a much broader optimal temperature range of 15 °C to 30 °C during growth at 500 ppm, exhibiting a stable growth rate at ~0.01 h−1 and a stable CH4 uptake rate at ~1 mmol g−1 h−1 (Figure 1a,b), although both values are significantly lower than the corresponding values for each temperature at 2.5% CH4. At both 10 °C and 35 °C, the growth rate with 500 ppm CH4 declined by only 20 to 30%. Furthermore, we found that M. buryatense 5GB1C cannot survive at 500 ppm at 40 °C (Figure S1), while it can grow at 0.11 h−1 in the presence of 2.5% CH4 at 40 °C. The growth curves and CH4 consumption measurements are shown in Figures S2 and S3. Collectively, these results indicate that CH4 consumption can be sustained in M. buryatense 5GB1C at low CH4 concentrations within a broad temperature range. Similar observations have been shown for some Methylobacter species, in which their CH4 oxidation rates remain largely unchanged at 1000 ppm across different temperatures [34].

2.2. Diluted Liquid Medium Improves M. buryatense 5GB1C Growth at 500 ppm

In addition to temperature, chemical concentrations in the medium can affect bacterial growth rates. Currently, the NMS2 medium for M. buryatense 5GB1C is designed to promote fast growth at high CH4 concentrations. It is unclear whether this is also true under low CH4 conditions. Therefore, we tested growth rates in response to medium modifications, including manipulating pH values and concentrations of two key metal nutrients, Cu and Fe, which are essential for enzymes involved in methanotrophy. Initial screening was carried out by cultivating M. buryatense 5GB1C in sealed serum bottles and replenishing the headspace daily with 500 ppm CH4. We found that the growth of M. buryatense 5GB1C under these conditions showed a broad pH range at 500 ppm CH4, with pH 9.5 being the optimal condition (Figure 2a). Additionally, reducing Cu concentration by 10 times did not negatively affect growth (Figure 2b), which was further confirmed through two additional transfers into fresh medium with low Cu (Figure S4). On the other hand, increasing Cu concentration by 10 times significantly inhibited growth on 500 ppm CH4 (Figure 2b). In comparison, manipulating Fe concentrations had less impact on M. buryatense 5GB1C and yielded similar growth rates to those in undiluted NMS2 medium (Figure 2b).
Sealed serum bottles are completely closed systems, which require the manual addition of CH4 into the headspace daily. In this growth condition, a fixed amount of growth occurs each day [31]. To allow exponential growth, we built a flow-through system allowing continuous delivery of 500 ppm CH4 into the headspace of cultures. In this growth system, bacterial cells were cultivated in baffled flasks on a magnetic stirring plate and vigorously agitated to maintain good mass transfer from the gas phase to the liquid phase (Figure S5a). With a flow-through system, growth analysis experiments are shorter and require less manual effort. We first tested M. buryatense 5GB1C growth in this flow-through system across all ten positions on the magnetic stirring plate, with gas flow rates ranging from 10 to 13 cm3/min and magnetic stir bars rotating at ~500 rpm at room temperature. The results showed that the growth rates were consistent at different positions (0.011 ± 0.001 h−1) and not linearly associated with the slightly differing flow rates into each of the bottles (R2 = 0.03, Figure S5b,c). The measured growth rate was also comparable to that measured in the bioreactor experiments [31], indicating a good mass transfer condition in this flow-through system. All subsequent experiments were performed at room temperature (~20 °C), since we have shown that temperatures between 15 °C and 30 °C do not affect growth or CH4 consumption at 500 ppm (Figure 1).
As noted earlier, dilution of Cu in the medium does not affect M. buryatense 5GB1C growth at 500 ppm, so we tested whether dilution of the entire medium might affect growth. To answer this question, we diluted NMS2 medium with sterile water at different ratios, yielding 2-times-, 5-times-, 10-times-, and 20-times-diluted NMS2 media. The amount of bicarbonate buffer in the media was kept constant to maintain the pH at 9.5. Surprisingly, we observed that the diluted media improved M. buryatense 5GB1C growth at 500 ppm CH4, with the 10-times-diluted medium resulting in the highest growth rate, that is, 20–30% greater than in the undiluted NMS2 medium (Figure 2c). To determine whether an individual component might be responsible for this growth improvement after medium dilution, we performed a series of growth tests by manipulating the concentrations of the major chemical components or buffer solution in the medium one by one, including NaCl, KNO3, MgSO4, CaCl2, phosphate buffer, Cu, Fe, and the entire trace metal solution. In the first set of tests, we cultivated M. buryatense 5GB1C in 10-times-diluted medium with only one chemical or solution at its undiluted NMS2 medium level (Figure S6a). Next, we reduced the amount of one component 10-fold, keeping the concentrations of the other chemicals the same as those in the undiluted NMS2 medium (Figure S6b). For all of these experiments, the 10-times-diluted medium and/or the undiluted NMS2 medium were used as controls. As shown in Figure S6, these growth tests did not pinpoint any single component responsible for the improved growth at 500 ppm; therefore, the growth improvement likely resulted from the dilution of two or more components in the medium.
Consistent with the results from the serum bottle tests, increasing Cu concentrations also inhibited M. buryatense 5GB1C growth at low CH4 concentrations in the flow-through system, while increasing Fe concentrations had less impact (Figure 2d). Again, throughout all growth analyses, the 10-times-diluted medium yielded a higher growth rate than that in the regular NMS2 medium (p-value = 0.00013) (Figure 2e).

2.3. M. buryatense 5GB1C Is Capable of CH4 Removal in a Packed-Bed Column Reactor

To assess the ability of M. buryatense 5GB1C to be applied for CH4 mitigation at 500 ppm CH4, we built a laboratory-scale packed-bed reactor comprised of a glass column with opening ports for both gas/liquid input and output, as well as packing materials loaded inside the column (Figure 3a). We ran the system with 500 ppm CH4 using different packing materials. Four packing materials were chosen in this study (Figure 3b), including plastic bioballs (15 mm in diameter) and porous cellulose beads of three different sizes (4 mm, 2 mm, and 0.3 mm in diameter, respectively). Bioballs have been previously applied as the packing material for mixed methanotrophs in a biofiltration system for CH4 removal [35], and here, we aimed to test whether they are suitable for our system. Porous cellulose beads are light in weight and have a high water absorbency [36]; therefore, they can absorb nutrients from the medium while M. buryatense 5GB1C grows on the surface or in pores. Here, we applied beads of different diameters to examine whether the size of the beads could impact CH4 removal performance, because the smaller the beads, the greater the total surface area for the same volume of packing materials in the column [19]. A greater surface area provides more space for M. buryatense 5GB1C biomass on the bead surface (nearest to the dissolved CH4), hence a potentially greater CH4 removal rate.
In each test run, precultures were grown in undiluted NMS2 medium in a bioreactor at 2.5% CH4 overnight before being loaded into the column. After inoculation, the cultures in the column were treated with 2.5% CH4 for one day to help establish biomass, and then the CH4 was switched to 500 ppm for the rest of the experiment. During M. buryatense 5GB1C growth on 500 ppm CH4, we evaluated the elimination capacity (EC) and removal efficiency (RE) at two different flow rates, i.e., ~125 cm3 min−1 and ~250 cm3 min−1. The actual CH4 concentrations of the inlet flows varied between 455 ppm and 515 ppm (measured by Airgas), depending on the individual 500 ppm gas tank utilized, which resulted in slightly different inlet loads across different runs. The results are shown in Figure 3c and Figures S7–S10. The highest EC of 1.7 g m−3 h−1 was achieved at 250 cm3 min−1 when 2 mm cellulose beads were applied, and the highest RE of ~90% was achieved at 125 cm3 min−1, also with 2 mm beads (Figure 3c and Figure S9). In comparison, CH4 removal performance with 4 mm beads was 40% lower at 250 cm3 min−1 and 25% lower at 125 cm3 min−1 (Figure 3c and Figure S8). When 0.3 mm cellulose beads were used, the EC reached 0.95 g m−3 h−1 at 125 cm3 min−1, which was slightly smaller than the EC of 1.1 g m−3 h−1 with 2 mm beads under the same growth conditions (Figure 3c and Figure S10). However, the column became clogged in days after initiation at 125 cm3 min−1, as evidenced by high resistance to airflow; thus, only data at this flow rate was obtained. At 0.3 mm in diameter, the gaps between these beads are much smaller than the gaps between bigger beads (Figure 3b). It is possible that after the absorption of M. buryatense 5GB1C culture by these beads and subsequent growth, gas delivery within the column was blocked. Finally, the lowest CH4 removal was observed with bioballs as the packing material, which yielded a maximum EC of 0.43 g m−3 h−1 (Figure 3c and Figure S7).
As shown earlier, 10-times-diluted medium can promote M. buryatense 5GB1C growth in liquid culture. Thus, we tested whether greater ECs and REs could be achieved by using 10-times-diluted medium together with the best packing material (2 mm cellulose beads). In the first trial, we followed the same protocol as the previous tests, with the preculture grown at 2.5% CH4 in 10-times-diluted medium in the bioreactor overnight, and then the whole culture was loaded into the column. However, likely due to nutrient depletion during growth at 2.5% CH4, CH4 removal performance in treating 500 ppm CH4 was very low, even after fresh medium was provided into the column (Figure S11). Calculations of theoretical biomass supported by the 10-times-diluted medium indicated that the nitrogen and phosphorus sources could be limiting nutrients (Table S1). Therefore, we made several changes in the second trial. In order to maintain initial medium concentrations, the inoculum of M. buryatense 5GB1C was generated by growing cells on NMS2 agar plates under high-CH4 growth conditions for 2 days, and then all the biomass on the plates was resuspended in 0.9 L of freshly made 10-times-diluted medium containing the same amount of nitrogen and phosphorus sources as the undiluted NMS2 medium. During 500 ppm CH4 treatment, we tested three flow rates in succession: 125 cm3 min−1, 250 cm3 min−1, and 500 cm3 min−1, corresponding to retention times of 16, 8, and 4 min, respectively, for a 2 L working volume in the column (Figure 4). Roughly the same ECs and REs were obtained as observed in the previous experiment using the regular NMS2 medium and 2 mm beads; however, the maximum EC at 250 cm3 min−1 was 10% higher when diluted medium was used (Figure 3c). As expected, the RE decreased with increasing inlet gas flow rates, while the EC increased with increasing flow rates due to more CH4 present in the inlet gas per unit time per treatment volume, albeit with lower RE values. The highest EC reached 2.1 g m−3 h−1 at a flow rate of 500 cm3 min−1.
Finally, we estimated the total biomass in the column after the 500 ppm CH4 treatment shown above. Bead samples were taken from the column, and the biomass attached to them was removed via repeated vibration using a vortex mixer (see Section 4.5). We were able to remove the majority of the biomass from the beads via three successive vortex treatments, and roughly 78% of the total removable biomass could be removed in the first treatment (Figure S12). The total biomass was estimated to be 0.60 g cell dry weight, which was over 8 times higher than the initial inoculum of 0.07 g cell dry weight (900 mL culture with an OD600 of 0.4 after the biomass was resuspended in diluted NMS2 medium), indicating that M. buryatense 5GB1C biomass doubled at least three times during this column experiment. Methanotrophic biomass, particularly its rich protein content, can be used for fishmeal and contribute to the economic profits of a CH4 mitigation system [37]. Hence, the biomass removal analysis here is relevant to the technoeconomic analysis (TEA) of methanotroph-based CH4 removal technologies, which, based on the present data, provides guidelines for future biomass removal solutions to allow maximum economic benefit of a methanotroph-based methane removal system [38].

3. Discussion

The rapid increase in global temperatures requires immediate action on greenhouse gas mitigation from the atmosphere. CO2 is the primary target due to its abundance and long atmospheric lifetime in comparison to other greenhouse gases. CH4 mitigation also confers great climate benefits: it is projected that the global average temperature could be reduced by 0.23 ± 0.10 °C if available technologies are deployed to remove 0.3 to 1 petagrams of CH4 from the atmosphere by 2050 [8,10,39]. As a result, increasing attention has been paid to CH4 mitigation in recent years. In the present study, we focused on a biological CH4 removal method using aerobic methanotrophs, which can use CH4 as their sole carbon and energy source. Specifically, M. buryatense 5GB1C was chosen due to its fast growth and high CH4 consumption rates at low CH4 concentrations. It is a mesophile that shows optimal growth at ~30 °C, but it can survive in a wide temperature range (7–45 °C) with resilience to desiccation [33], which makes it possible to deploy this methanotroph in bioreactors exposed to diverse environments worldwide. The current study was carried out to identify the optimal conditions for the utilization of this methanotroph in a bioreactor as an important step toward practical application.
Typically, the optimal temperature range is relatively narrow for most microorganisms. As expected, M. buryatense 5GB1C grown at 2.5% CH4 shows growth rate and CH4 uptake rate responses to temperature that both peak at an optimum and rapidly decline (Figure 1). However, more unexpectedly, during growth at 500 ppm (or 0.05% v/v) CH4, M. buryatense 5GB1C exhibits a wide optimal temperature range of 15 to 30 °C. Even at 10 °C and 35 °C, M. buryatense 5GB1C maintains growth rates at 75 and 77% of the optimum, respectively. It has been shown that gene expression of the particulate methane monooxygenase (pMMO), as well as the entire central carbon metabolism network in M. buryatense 5GB1C, does not display significant variations between low- and high-CH4 growth conditions [31], and therefore, M. buryatense 5GB1C likely maintains a high capacity for CH4 metabolism at low CH4 concentrations as well. However, the low solubility of CH4 (~650 nmol L−1 at 30 °C and ~850 nmol L−1 at 15 °C at 500 ppm) limits the actual CH4 consumption, which we have shown is much lower than the maximum CH4 consumption capability at each temperature. Since both the growth and methane consumption rates at 500 ppm CH4 stay below those measured for growth at 2.5% CH4 at all temperatures tested, we suggest that the effect of temperature on metabolism is limited by the low CH4 flux into cells and not due to metabolic limitations. In contrast, at 2.5% CH4, the substrate is 50-fold more abundant, and thus the maximum metabolic capacity at different temperatures likely exerts more influence on growth rates. An additional mitigating factor is that CH4 solubility increases with decreased temperature, and 30% more CH4 is available in the liquid phase at 15 °C compared to that at 30 °C. This change does not significantly impact methanotrophic growth in the presence of abundant substrates, as previously mentioned, but when the substrate becomes scarce, enhanced substrate solubility at low temperatures can facilitate M. buryatense 5GB1C growth and partially offset reduced metabolic activities at low temperatures. This broad optimal temperature range for M. buryatense 5GB1C should result in energy savings for cooling and heating during a CH4 removal process, making it beneficial to technologies for the mitigation of greenhouse gases. Indeed, a TEA study suggests that applying operational temperatures between 15 °C and 30 °C results in more negative CO2 emissions than maintaining a constant temperature [38].
Our growth analysis with medium modification shows that diluted medium consistently improves M. buryatense 5GB1C growth by 20–30% in our flow-through system in liquid culture, and it was also shown to enhance EC in a packed-bed column by 10% when additional nitrogen and phosphate nutrients were included. This study also suggests that more than one diluted component may be responsible for the faster growth at 500 ppm CH4. Applying diluted medium should reduce the operational cost for CH4 removal due to decreased nutrient concentrations and thus could boost economic viability.
To demonstrate the feasibility of applying M. buryatense 5GB1C for CH4 removal, we tested the performance of this strain in a packed-bed column using four packing materials. The best performance was achieved with 2 mm cellulose beads and diluted medium. The highest EC of 2.1 g m−3 h−1 achieved in this study is comparable to a previous study using a lab-scale biofiltration system involving an inorganic gravel material, which reported an EC of 2.3 g m−3 h−1 at 500 ppm CH4 at a residence time of 4.2 min [22]. Note that although our system is different from the one tested in the referenced study, the residence time is also 4 min at the maximum EC. Other biofiltration studies, also using gravel, generally employed higher CH4 concentrations ranging from 1300 to 10,000 ppm, with retention times varying between 3 and 18 min; however, if we assume that EC decreases linearly with the inlet load, our results are also consistent with these studies [20,21,22]. These results offer strong evidence that the utilization of M. buryatense 5GB1C for CH4 removal at low CH4 concentrations is a promising and viable solution for methane mitigation.
As mentioned earlier, to slow global warming by ~0.2 °C by midcentury, at least 0.3 petagrams of CH4 must be removed over the next twenty years, which is equivalent to 15 teragrams (Tg) of CH4 per year. If we assume that each individual technology should contribute at least 10% of the total required, this would require the removal of 1.5 Tg of CH4 per year. With current EC performance of 2.1 g m−3 h−1 at 500 ppm, and based on the following assumptions from a previous study of methanotrophic biotrickling filters [25]—(1) each CH4 removal unit has a working volume of 120 m3, and (2) operates 7200 h per year—over 800,000 units would be required worldwide, which would be extremely challenging. Hence, we suggest that large-scale CH4 removal from gas streams averaging 500 ppm will require technological advances that enable a substantially higher elimination capacity per unit. The treatment system described here has been the subject of a TEA study, which suggests that economic feasibility is within reach [38].
Multiple approaches have been proposed or are in progress to reach this goal, and they should be implemented simultaneously to allow maximum CH4 removal performance in the future. First, CH4 concentrators need to be developed that could be used to enrich the CH4 level in air, as proposed by the National Academy report on CH4 removal [40]. It has been shown that the growth rate of M. buryatense 5GB1C is linearly correlated with the inlet CH4 level below 2500 ppm [31], and therefore, if a concentrator technique could allow a 10-fold CH4 enrichment within this range, the resulting EC should also increase 10-fold. Currently, no technology is yet available for CH4 enrichment; however, such technology is feasible [41]. Second, an improved CH4 bioreactor design should permit better CH4 removal performance [42]. In the present study, as well as in the work mentioned above, a liquid medium is directly provided into the system, which leads to a mass transfer barrier between the gas and liquid phases due to the low CH4 solubility in water. Even if most cellulose beads were directly exposed to the gas phase after biomass and nutrient adsorption, some M. buryatense 5GB1C cells were likely starved during the 500 ppm treatment, especially those beneath the biofilm layer on the surface and those deep inside pores. It is impossible to eliminate such a barrier, but separating deliveries of hydrophobic CH4 and other hydrophilic nutrients via a thin-film bioreactor configuration should help reduce the mass transfer limitation [7]. The fact that this high-performing methanotroph shows similar EC values in a packed-bed column system to others in the literature is consistent with a mass transfer limitation. Third, efforts should also be made to improve both the growth rate and the CH4 consumption rate of M. buryatense 5GB1C. An effective approach is adaptive laboratory evolution (ALE), in which M. buryatense 5GB1C is grown continuously on 500 ppm CH4. Mutations beneficial to growth at low CH4 concentrations are gradually accumulated over hundreds of generations, eventually resulting in faster-growing offspring that dominate the entire culture. Successful results have been reported to improve methanotrophic production of valuable products via ALE [43], and we expect that biomass growth and CH4 consumption improvements via ALE are also feasible. Finally, to ensure actual negative emission of greenhouse gases and economic viability, both technoeconomic and life-cycle analyses (TEAs and LCAs) need to be carried out before any CH4 removal technology is deployed. A TEA study mainly based on the current study has shown that a net environmental benefit can be achieved by using the methanotroph-based technology with potential economic profit [38]. More TEAs and LCAs will be carried out in the future by considering other types of reactors and cutting-edge technologies.

4. Materials and Methods

4.1. Bacterial Strain, Growth Medium, and Cell Cultivation

M. buryatense 5GB1C was grown in nitrate mineral salt 2 (NMS2) medium [44], which contains 7.5 g L−1 NaCl, 1 g L−1 KNO3, 0.2 g L−1 MgSO4·7H2O, and 0.02 g L−1 CaCl2·2H2O. Additionally, 20 mL phosphate buffer, 10 mL bicarbonate buffer, and 2 mL trace metal solution were added per liter of medium. Specifically, the phosphate buffer contains 5.44 g L−1 KH2PO4 and 10.72 g L−1 NaHPO4·7H2O; the bicarbonate buffer contains 58.8 g L−1 NaHCO3 and 30.14 g L−1 Na2CO3; and the trace metal solution contains 1 g L−1 EDTA disodium salt dihydrate, 2 g L−1 FeSO4·7H2O, 0.8 g L−1 ZnSO4·7H2O, 0.03 g L−1 MnCl2·4H2O, 0.03 g L−1 H3BO3, 0.2 g L−1 CoCl2·6H2O, 0.6 g L−1 CuCl2·2H2O, 0.02 g L−1 NiCl2·6H2O, and 0.05 g L−1 Na2MoO4·2H2O. Ultrapure Milli-Q water was used for media preparation. All chemical agents were purchased from Sigma (St. Louis, MO, USA), and all medium stock solutions and pure water were either autoclaved at 121 °C for 45 min or filtered by Nalgene® Rapid-Flow™ filter units (0.22 µm pore-size nylon membrane, Thermo Fisher Scientific, Bothell, WA, USA) for sterilization.
For medium modifications, concentrated solutions of NaCl, KNO3, MgSO4, CaCl2, and trace metal solution, excluding Cu and Fe, were prepared individually and filter-sterilized. They were then added to the medium to reach the desired concentrations. Precultures were prepared as follows. First, M. buryatense 5GB1C colonies grown on solid NMS2 agar plates were inoculated into 5 mL liquid NMS2 medium in glass tubes (25 mL interior volume and 15 mm length) or 20 mL liquid NMS2 medium in serum bottles (250 mL interior volume). Then, the tubes or bottles were sealed with rubber stoppers (20 mm in diameter) and open-top aluminum seals (both from DWK Life Sciences Wheaton™, Millville, NJ, USA), and 100% CH4 (Linde plc) was injected into the headspace to reach a CH4 concentration of ~25% (v/v). The cultures were then placed on a shaker rotating at 200 rpm and grown at 30 °C for one day before inoculation.
For the growth experiments with 500 ppm CH4, precultures were inoculated into 10 mL NMS2 medium in bottles with an initial optical density at 600 nm wavelength (OD600) of ~0.05. Each day, the headspace was first refreshed with only air and then supplied with 5 mL 2.5% (25,000 ppm) CH4 (Airgas, Radnor, PA, USA) to reach a final CH4 concentration of ~500 ppm. OD600 measurements were carried out using a spectrophotometer (JENWAY 7300 Spectrophotometer, Essex, CT, UK).
For the bioreactor experiments, precultures prepared as described above were inoculated into 1 L NMS2 medium in a BioFlo 310 (Eppendorf, Enfield, CT, USA) bioreactor, with an initial OD600 of ~0.05. These experiments were carried out as described previously [31]. In brief, 500 ppm CH4 balanced with air (Airgas) was continuously delivered into the bioreactor at 100 cm3 min−1, and the culture was agitated at 1000 rpm. Temperature was maintained at a specific level ranging from 10 °C to 40 °C, which was controlled by either the BioFlo 310 system or a compact low-temperature thermostat (LAUDA, Lauda-Königshofen, Germany). At the end of cell cultivation at a specific temperature, part of the culture was pumped out of the bioreactor, with the remaining culture diluted with fresh medium for growth analysis at another temperature.

4.2. Flow-Through System for Growth Analysis

In this system, 500 ppm CH4 balanced with air (Airgas) was split by manifolds into 10 gas flows. They were delivered via tubing made of Tygon® S3™ E-LFL (Masterflex® L/S® precision pump, Gelsenkirchen, Germany) into separate baffled shake flasks (Chemglass Life Sciences, 250 mL, 3 baffles, GL-45 thread) on a 10-position magnetic hotplate stirrer (SCILOGEX, Rocky Hill, CT, USA). The flasks were capped with rubber stoppers (DURAN®) and tightened with open caps (Chemglass Life Sciences, Vineland, NJ, USA). Gas flow rates were controlled by rotameters (Omega Engineering, Michigan City, IN, USA) at ~10–13 cm3 min−1, and inlet gas was sterilized by 0.2 µm pore-size syringe filters (hydrophobic polytetrafluoroethylene membrane, LABLPSAI, Hangzhou, China) before being delivered into the flasks through a long blunt needle (C-U Innovations, LLC, 18 gauge, 4-inch length), which did not contact the liquid cultures directly. Another short needle (BD precision needles, 23 gauge, 1-inch length) was placed on the cap for gas venting. Magnetic stir bars (41 mm by 7.9 mm, VWR® Spinbar®, Radnor, OH, USA) were used to agitate the cultures. The flasks, together with the stoppers, caps, needles, syringe filters, and stir bars, were autoclaved before use.
During the growth experiments, precultures were inoculated into 20 mL fresh medium in each flask at an initial OD600 of ~0.05. Continuous 500 ppm CH4 gas (Airgas) was delivered into the headspace of the flasks, and the cultures were cultivated at room temperature with stirring at ~500 rpm. Off-gas flow rates were measured by an electronic flow meter (MB-1SLPM, Alicat Scientific, Tucson, AZ, USA). Specific growth rates were determined by the slopes of the natural logarithm values of OD600 against time during the exponential growth phase. Two replicates were routinely tested, and in cases in which differences were observed, an additional experiment with two replicates was carried out.

4.3. Packed-Bed Column Experiments

The column was manufactured by Ace Glass Incorporated (Vineland, NJ, USA): 3-inch (76 mm) in diameter and 33 inches (844 mm) in height (Figure 3a). Two ports were located on the top and bottom, respectively, for the input and output of liquid medium or culture. Another two ports were located near the top and bottom for gas delivery and venting. Silicone tubing (Masterflex® L/S® precision pump tubing) was used for liquid medium or culture delivery, and Tygon® tubing (Masterflex® L/S® precision pump tubing) was used for gas delivery or venting.
Bioballs (ELIVING, 0.6 inch in diameter) were purchased from Amazon.com Inc. (Seattle, WA, USA). Viscopearl® cellulose beads were purchased from the General Packaging Industry Rengo (Osaka, Japan) [36]. Before the column experiments, a 1 L preculture was grown in the bioreactor at 2.5% CH4 for one day, and then it was delivered into the column through a peristaltic pump (Watson-Marlow 323, Wilmington, DE, USA). The culture in the column continued to be treated with 2.5% CH4 for at least one day before the CH4 concentration was switched to 500 ppm for the rest of the experiment at different flow rates ranging from 30 to 500 cm3 min−1.
In the bioball experiment, the culture in the column was treated with 2.5% CH4 for one week, and then excess liquid was drained from the column before the 500 ppm CH4 treatment. In the cellulose bead experiments, the liquid culture was mostly absorbed by the beads, and the column reactor was treated with 2.5% CH4 for one day, but some liquid culture was present at the bottom of the column and was continuously circulated back to the top of the column using the peristaltic pump at the early stage of the experiment to allow as much biomass absorption as possible. When a continuous decrease in elimination capacity was observed, the liquid culture at the bottom was drained, and 100–200 mL of fresh medium was supplied to the column through the top port. The working volume was 2.5 L for the bioball experiments and 2 L for the cellulose bead experiments.

4.4. Measurements of Growth Rates, CH4 Uptake Rates, Removal Efficiency (RE), and Elimination Capacity (EC), and Statistical Tests

For both the bioreactor and the column experiments, off-gas CH4 concentrations were measured by gas chromatography (Shimadzu 2014 model, Kyoto, Japan) equipped with a thermal conductivity detector, as described previously [45]. The specific growth rate was determined by linear regression of the natural logarithm values of OD600 against time during the exponential growth phase. The CH4 uptake rate was determined by linear regression of CH4 consumption per unit time (mmol h−1) normalized by the total cell dry weight (g), as described previously [45].
The removal efficiency (%) was calculated using the following equation:
RE = Inlet   CH 4   concentration   -   Offgas   CH 4   concentration Inlet   CH 4   concentration × 100 %
The elimination capacity (g m−3 h−1) was calculated using the following equation:
EC   =   C CH 4 Q V   ×   RE
where CCH4 is the inlet CH4 concentration (g m−3), Q is the inlet gas flow rate (m3 h−1), and V is the working volume of the treatment system (m3). CCH4 of 500 ppm CH4 balanced with air is 0.36 g m−3 at room temperature.
A two-sample t-test was applied using the MATLAB (Version R2023a) built-in function ‘ttest2’ to compute the p-values and analyze whether the results were statistically different from each other.

4.5. Biomass Removal from Cellulose Beads

To estimate the total biomass attached to the beads after the column experiment, all beads were first collected in a Ziploc bag and then thoroughly mixed by shaking. About 30 mL of used beads were sampled from the bag into 50 mL Falcon® tubes (Corning Inc., Chorlette, NC, USA). Then, 20–25 mL of sterile NMS2 medium was added to each tube, and the suspension was vortexed at the highest speed for 2–5 min using a vortex mixer (Cole-Parmer®, Vernon Hills, IL, USA). OD600 of the liquid suspension was measured before it was removed using pipettes. This procedure of medium addition, suspension vortexing, OD600 measurements, and liquid removal was repeated two more times. As a comparison, new beads were subjected to the same treatment as used beads, since they may contribute to OD600 during vortex treatment. The difference between used and new beads represented M. buryatense 5GB1C biomass. Finally, biomass attached to sampled beads was estimated as OD600 × Culture Volume × 0.2 g cell dry weight L−1 OD600−1 [32]. Assuming that biomass was evenly distributed among the beads, the total biomass in the column was estimated by the biomass in the sampled beads ÷ volume of sampled beads (~90 mL) × working volume (~2 L).

5. Conclusions

In summary, our growth analysis of M. buryatense 5GB1C under varying temperatures and medium modifications at 500 ppm reveals a broad optimal temperature range and moderate growth improvements with medium dilution. We also show that M. buryatense 5GB1C can actively consume 500 ppm CH4 in a lab-scale packed-bed column system, leading to a maximum EC of 2.1 g m−3 h−1 when 2 mm cellulose beads are used as the packing material. Collectively, these results provide not only fundamental physiological insights into methanotrophs grown at low CH4 concentrations but also strong evidence that methanotroph-based CH4 mitigation technology is a promising and viable solution for climate mitigation. Multiple approaches should be pursued to improve the CH4 removal performance achieved by M. buryatense 5GB1C, including optimized designs of bioreactors, strain improvements through ALE, and relevant LCA and TEA studies. Future research studies are also required to support the scale-up of such technology to enable robust methane removal on a global scale.

Supplementary Materials

The following supporting information can be downloaded at: https://www.mdpi.com/article/10.3390/methane4040022/s1, Figures S1–S12 and Table S1 are included in the Supplementary Materials. Figure S1: Growth curves of M. buryatense 5GB1C grown in serum bottles at temperatures ranging from 30 °C to 40 °C in the presence of 500 ppm CH4. Figure S2. Growth curves (a–c) and corresponding consumption rates (d–f) of a M. buryatense 5GB1C culture grown at different temperatures in the presence of 2.5% CH4. Figure S3. Growth curves (a–d) and corresponding consumption rates (e–k) of a M. buryatense 5GB1C culture grown at different temperatures in the presence of 500 ppm CH4. Figure S4. Growth curves of M. buryatense 5GB1C grown in undiluted NMS2 medium or medium with lower Cu concentrations. Figure S5. M. buryatense 5GB1C growth in a flow-through system. Figure S6. Specific growth rates of M. buryatense 5GB1C grown in different modified NMS2 media in a flow-through system at room temperature. Figure S7. Elimination capacity (a), removal efficiency (b), and off-gas CH4 concentration (c) from a column experiment using bioballs as the packing material and undiluted NMS2 medium. Figure S8. Elimination capacity (a), removal efficiency (b), and off-gas CH4 concentration (c) from a column experiment using 4 mm cellulose beads as the packing material and undiluted NMS2 medium. Figure S9. Elimination capacity (a), removal efficiency (b), and off-gas CH4 concentration (c) from a column experiment using 2 mm cellulose beads as the packing material and undiluted NMS2 medium. Figure S10. Elimination capacity (a), removal efficiency (b), and off-gas CH4 concentration (c) from a column experiment using 0.3 mm cellulose beads as the packing material and undiluted NMS2 medium. Figure S11. Elimination capacity (a), removal efficiency (b), and off-gas CH4 concentration (c) from a column experiment using 2 mm cellulose beads as the packing material and 10-times-diluted NMS2 medium. Figure S12. Biomass removal from 2 mm beads after 500 ppm CH4 treatment. This experiment was carried out after the column experiment shown in Figure 4. Table S1. Calculations of theoretical biomass supported by undiluted NMS2 medium or 10-times-diluted medium [32,46].

Author Contributions

Conceptualization, M.E.L. and L.H.; Methodology, L.H., N.E.K., S.S. and M.E.L.; Formal analysis, L.H. and M.E.L.; Investigation, L.H., N.E.K. and S.S.; Data collection and data curation, L.H. and N.E.K.; Writing—original draft preparation, L.H. and M.E.L.; Writing—review and editing, L.H., N.E.K., S.S. and M.E.L.; Visualization, L.H. and N.E.K.; Supervision, M.E.L.; Funding Acquisition, M.E.L. All authors have read and agreed to the published version of the manuscript.

Funding

This work was supported by the U.S. National Science Foundation (Award Number: CBET-2218298).

Institutional Review Board Statement

Not applicable.

Informed Consent Statement

Not applicable.

Data Availability Statement

The original contributions presented in this study are included in the article/Supplementary Materials. Further inquiries can be directed to the corresponding author.

Conflicts of Interest

We declare no conflicts of interest.

References

  1. Tollefson, J. Earth Shattered Heat Records in 2023 and 2024: Is Global Warming Speeding Up? Nature 2025. [Google Scholar] [CrossRef]
  2. WMO Confirms 2024 as Warmest Year on Record at about 1.55 °C above Pre-Industrial Level. Available online: https://wmo.int/news/media-centre/wmo-confirms-2024-warmest-year-record-about-155degc-above-pre-industrial-level (accessed on 15 January 2025).
  3. Filonchyk, M.; Peterson, M.P.; Zhang, L.; Hurynovich, V.; He, Y. Greenhouse Gases Emissions and Global Climate Change: Examining the Influence of CO2, CH4, and N2O. Sci. Total Environ. 2024, 935. [Google Scholar] [CrossRef]
  4. Shukla, P.R.; Skea, J.; Slade, R.; Al Khourdajie, A.; van Diemen, R.; McCollum, D.; Pathak, M.; Some, S.; Vyas, P.; Fradera, R. Climate Change 2022: Mitigation of Climate Change. Contrib. Work. Group III Sixth Assess. Rep. Intergov. Panel Clim. Change 2022, 10, 9781009157926. [Google Scholar]
  5. Balcombe, P.; Speirs, J.F.; Brandon, N.P.; Hawkes, A.D. Methane Emissions: Choosing the Right Climate Metric and Time Horizon. Environ. Sci. Process Impacts 2018, 20, 1323–1339. [Google Scholar] [CrossRef]
  6. Archer, D.; Eby, M.; Brovkin, V.; Ridgwell, A.; Cao, L.; Mikolajewicz, U.; Caldeira, K.; Matsumoto, K.; Munhoven, G.; Montenegro, A.; et al. Atmospheric Lifetime of Fossil Fuel Carbon Dioxide. Annu. Rev. Earth Planet. Sci. 2009, 37, 117–134. [Google Scholar] [CrossRef]
  7. Wang, J.; He, Q.P. Methane Removal from Air: Challenges and Opportunities. Methane 2023, 2, 404–414. [Google Scholar] [CrossRef]
  8. Ocko, I.B.; Sun, T.; Shindell, D.; Oppenheimer, M.; Hristov, A.N.; Pacala, S.W.; Mauzerall, D.L.; Xu, Y.; Hamburg, S.P. Acting Rapidly to Deploy Readily Available Methane Mitigation Measures by Sector Can Immediately Slow Global Warming. Environ. Res. Lett. 2021, 16. [Google Scholar] [CrossRef]
  9. Warszawski, L.; Kriegler, E.; Lenton, T.M.; Gaffney, O.; Jacob, D.; Klingenfeld, D.; Koide, R.; Costa, M.M.; Messner, D.; Nakicenovic, N.; et al. All Options, Not Silver Bullets, Needed to Limit Global Warming to 1.5 °C: A Scenario Appraisal. Environ. Res. Lett. 2021, 16. [Google Scholar] [CrossRef]
  10. Abernethy, S.; Kessler, M.I.; Jackson, R.B. Assessing the Potential Benefits of Methane Oxidation Technologies Using a Concentration-Based Framework. Environ. Res. Lett. 2023, 18. [Google Scholar] [CrossRef]
  11. Wu, L.; Fan, W.; Wang, X.; Lin, H.; Tao, J.; Liu, Y.; Deng, J.; Jing, L.; Dai, H. Methane Oxidation over the Zeolites-Based Catalysts. Catalysts 2023, 13. [Google Scholar] [CrossRef]
  12. Mao, J.; Liu, H.; Cui, X.; Zhang, Y.; Meng, X.; Zheng, Y.; Chen, M.; Pan, Y.; Zhao, Z.; Hou, G.; et al. Direct Conversion of Methane with O2 at Room Temperature over Edge-Rich MoS2. Nat. Catal. 2023, 6, 1052–1061. [Google Scholar] [CrossRef]
  13. Lundberg, D.J.; Kim, J.; Tu, Y.-M.; Ritt, C.L.; Strano, M.S. Concerted Methane Fixation at Ambient Temperature and Pressure Mediated by an Alcohol Oxidase and Fe-ZSM-5 Catalytic Couple. Nat. Catal. 2024, 7, 1359–1371. [Google Scholar] [CrossRef]
  14. Krogsbøll, M.; Russell, H.S.; Johnson, M.S. A High Efficiency Gas Phase Photoreactor for Eradication of Methane from Low-Concentration Sources. Environ. Res. Lett. 2023, 19. [Google Scholar] [CrossRef]
  15. Iversen, N.; Roslev, P. Mitigation of Atmospheric and Elevated Methane by Photochemical Oxidation at Ambient Conditions: Photochemical Methane Oxidation. Sci. Total Environ. 2025, 976. [Google Scholar] [CrossRef]
  16. Krogsbøll, M.; Rezaei, M.; Fogde, N.; Weiss, N.D.; Russell, H.S.; Feilberg, A.; Johnson, M.S. Efficient Mitigation of Dilute Methane, Ammonia, and Odor in Ventilation Air from Cow and Pig Barns and a Biogas Plant: Photoreactor Field Demonstration. ACS EST Air 2025. [Google Scholar] [CrossRef]
  17. Lidstrom, M.E. Direct Methane Removal from Air by Aerobic Methanotrophs. Cold Spring Harb Perspect. Biol. 2024, 16, a041671. [Google Scholar] [CrossRef]
  18. He, L.; Lidstrom, M.E. Utilisation of Low Methane Concentrations by Methanotrophs. In Advances in Microbial Physiology; Academic Press: Cambridge, MA, USA, 2024; Volume 85, pp. 57–96. [Google Scholar]
  19. Hamilton, R.; Griffith, N.; Salamon, P.; Handler, R.; Kalyuzhnaya, M.G. Living Emission Abolish Filters (LEAFs) for Methane Mitigation: Design and Operation. Environ. Res. Lett. 2024, 19, 054057. [Google Scholar] [CrossRef]
  20. Josiane, N.; Michèle, H. The Influence of the Gas Flow Rate during Methane Biofiltration on an Inorganic Packing Material. Can. J. Chem. Eng. 2009, 87, 136–142. [Google Scholar] [CrossRef]
  21. Nikiema, J.; Girard, M.; Brzezinski, R.; Heitz, M. Biofiltration of Methane Using an Inorganic Filter Bed: Influence of Inlet Load and Nitrogen Concentration. Can. J. Civ. Eng. 2009, 36, 1903–1910. [Google Scholar] [CrossRef]
  22. Girard, M.; Ramirez, A.A.; Buelna, G.; Heitz, M. Biofiltration of Methane at Low Concentrations Representative of the Piggery Industry-Influence of the Methane and Nitrogen Concentrations. Chem. Eng. J. 2011, 168, 151–158. [Google Scholar] [CrossRef]
  23. La, H.; Hettiaratchi, J.P.A.; Achari, G.; Dunfield, P.F. Biofiltration of Methane. Bioresour. Technol. 2018, 268, 759–772. [Google Scholar] [CrossRef]
  24. Cáceres, M.; Dorado, A.D.; Gentina, J.C.; Aroca, G. Oxidation of Methane in Biotrickling Filters Inoculated with Methanotrophic Bacteria. Environ. Sci. Pollut. Res. 2017, 24, 25702–25712. [Google Scholar] [CrossRef]
  25. Yoon, S.; Carey, J.N.; Semrau, J.D. Feasibility of Atmospheric Methane Removal Using Methanotrophic Biotrickling Filters. Appl. Microbiol. Biotechnol. 2009, 83, 949–956. [Google Scholar] [CrossRef]
  26. Knief, C.; Dunfield, P.F. Response and Adaptation of Different Methanotrophic Bacteria to Low Methane Mixing Ratios. Environ. Microbiol. 2005, 7, 1307–1317. [Google Scholar] [CrossRef]
  27. Cai, Y.; Zheng, Y.; Bodelier, P.L.E.; Conrad, R.; Jia, Z. Conventional Methanotrophs Are Responsible for Atmospheric Methane Oxidation in Paddy Soils. Nat. Commun. 2016, 7, 1–10. [Google Scholar] [CrossRef] [PubMed]
  28. Baani, M.; Liesack, W. Two Isozymes of Particulate Methane Monooxygenase with Different Methane Oxidation Kinetics Are Found in Methylocystis Sp. Strain SC2. Proc. Natl. Acad. Sci. USA 2008, 105, 10203–10208. [Google Scholar] [CrossRef]
  29. Tveit, A.T.; Hestnes, A.G.; Robinson, S.L.; Schintlmeister, A.; Dedysh, S.N.; Jehmlich, N.; Von Bergen, M.; Herbold, C.; Wagner, M.; Richter, A.; et al. Widespread Soil Bacterium That Oxidizes Atmospheric Methane. Proc. Natl. Acad. Sci. USA 2019, 116, 8515–8524. [Google Scholar] [CrossRef] [PubMed]
  30. Schmider, T.; Hestnes, A.G.; Brzykcy, J.; Schmidt, H.; Schintlmeister, A.; Roller, B.R.K.; Teran, E.J.; Söllinger, A.; Schmidt, O.; Polz, M.F.; et al. Physiological Basis for Atmospheric Methane Oxidation and Methanotrophic Growth on Air. Nat. Commun. 2024, 15. [Google Scholar] [CrossRef]
  31. He, L.; Groom, J.D.; Wilson, E.H.; Fernandez, J.; Konopka, M.C.; Beck, D.A.C.; Lidstrom, M.E. A Methanotrophic Bacterium to Enable Methane Removal for Climate Mitigation. Proc. Natl. Acad. Sci. USA 2023, 120, e2310046120. [Google Scholar] [CrossRef] [PubMed]
  32. Gilman, A.; Laurens, L.M.; Puri, A.W.; Chu, F.; Pienkos, P.T.; Lidstrom, M.E. Bioreactor Performance Parameters for an Industrially-Promising Methanotroph Methylomicrobium Buryatense 5GB1. Microb. Cell Fact. 2015, 14, 182–189. [Google Scholar] [CrossRef]
  33. Kaluzhnaya, M.; Khmelenina, V.; Eshinimaev, B.; Suzina, N.; Nikitin, D.; Solonin, A.; Lin, J.-L.; Mcdonald, I.; Murrell, C.; Trotsenko, Y.; et al. Taxonomic Characterization of New Alkaliphilic and Alkalitolerant Methanotrophs from Soda Lakes of the Southeastern Transbaikal Region and Description of Methylomicrobium Buryatense sp.Nov. Syst. Appl. Microbiol. 2001, 24, 166–176. [Google Scholar] [CrossRef]
  34. Tveit, A.T.; Söllinger, A.; Rainer, E.M.; Didriksen, A.; Hestnes, A.G.; Motleleng, L.; Hellinger, H.J.; Rattei, T.; Svenning, M.M. Thermal Acclimation of Methanotrophs from the Genus Methylobacter. ISME J. 2023, 17, 502–513. [Google Scholar] [CrossRef]
  35. Karthikeyan, O.P.; Saravanan, N.; Cirés, S.; Alvarez-Roa, C.; Razaghi, A.; Chidambarampadmavathy, K.; Velu, C.; Subashchandrabose, G.; Heimann, K. Culture Scale-up and Immobilisation of a Mixed Methanotrophic Consortium for Methane Remediation in Pilot-Scale Bio-Filters. Environ. Technol. 2017, 38, 474–482. [Google Scholar] [CrossRef]
  36. Available online: https://www.rengo.co.jp/english/products/functional/biscp.html (accessed on 28 June 2023).
  37. El Abbadi, S.H.; Sherwin, E.D.; Brandt, A.R.; Luby, S.P.; Criddle, C.S. Displacing Fishmeal with Protein Derived from Stranded Methane. Nat. Sustain. 2022, 5, 47–56. [Google Scholar] [CrossRef]
  38. Landgren, W.; Lidstrom, M.; Handler, R.; Shonnard, D. Treating Low-Concentration Methane Emissions via a Methanotroph-Based Biotrickling Filter: Techno-Economic and Life Cycle Assessments. Methane 2025. accepted. [Google Scholar]
  39. Abernethy, S.; O’Connor, F.M.; Jones, C.D.; Jackson, R.B. Methane Removal and the Proportional Reductions in Surface Temperature and Ozone. Philos. Trans. R. Soc. A 2021, 379. [Google Scholar] [CrossRef]
  40. The National Academics Press. E A Research Agenda Toward Atmospheric Methane Removal. In National Academies of Sciences and Medicine; The National Academics Press: Washington, DC, USA, 2024. [Google Scholar]
  41. Subraveti, S.G.; Anantharaman, R. Methane Enrichment from Dilute Sources: Performance Limits and Implications for Methane Removal and Abatement. ChemRxiv 2025. [Google Scholar] [CrossRef]
  42. Luis Meraz, J.; Dubrawski, K.L.; El Abbadi, S.H.; Choo, K.-H.; Criddle, C.S. Membrane and Fluid Contactors for Safe and Efficient Methane Delivery in Methanotrophic Bioreactors. J. Environ. Eng. 2020, 146, 03120006. [Google Scholar] [CrossRef]
  43. Jo, J.H.; Park, J.H.; Kim, B.K.; Kim, S.J.; Park, C.M.; Kang, C.K.; Choi, Y.J.; Kim, H.; Lee, E.Y.; Moon, M.; et al. Improvement of Succinate Production from Methane by Combining Rational Engineering and Laboratory Evolution in Methylomonas sp. DH-1. Microb Cell Fact. 2024, 23, 297. [Google Scholar] [CrossRef] [PubMed]
  44. Groom, J.D.; Lidstrom, M.E. Cultivation Techniques to Study Lanthanide Metal Interactions in the Haloalkaliphilic Type I Methanotroph “Methylotuvimicrobium buryatense” 5GB1C. In Methods in Enzymology; Academic Press Inc.: Cambridge, MA, USA, 2021; Volume 650, pp. 237–259. ISBN 9780128238561. [Google Scholar]
  45. He, L.; Fu, Y.; Lidstrom, M.E. Quantifying Methane and Methanol Metabolism of “Methylotuvimicrobium Buryatense” 5GB1C under Substrate Limitation. mSystems 2019, 4, 1–14. [Google Scholar] [CrossRef]
  46. Neidhardt, F.C.; Ingraham, J.L.; Schaechter, M. Physiology of the Bacterial Cell: A Molecular Approach; Sinauer Associates: Sunderland, MA, USA, 1990. [Google Scholar]
Figure 1. Specific growth rates (a) and specific CH4 uptake rates (b) of M. buryatense 5GB1C grown at temperatures ranging from 10 °C to 40 °C in the presence of 500 ppm CH4 (blue markers) or 2.5% (25,000 ppm) CH4 (green markers). M. buryatense 5GB1C was grown in a bioreactor at a gas flow rate of 100 cm3 min−1. Data at 30 °C are from the present study or previous measurements [31]. Error bars represent standard deviations based on at least two biological replicates.
Figure 1. Specific growth rates (a) and specific CH4 uptake rates (b) of M. buryatense 5GB1C grown at temperatures ranging from 10 °C to 40 °C in the presence of 500 ppm CH4 (blue markers) or 2.5% (25,000 ppm) CH4 (green markers). M. buryatense 5GB1C was grown in a bioreactor at a gas flow rate of 100 cm3 min−1. Data at 30 °C are from the present study or previous measurements [31]. Error bars represent standard deviations based on at least two biological replicates.
Methane 04 00022 g001
Figure 2. Medium modifications for improving M. buryatense 5GB1C growth at 500 ppm CH4 in liquid medium. (a) Daily OD600 increase in M. buryatense 5GB1C grown at different initial pH values. (N = 3) (b) Daily OD600 increase in M. buryatense 5GB1C grown in the presence of 10-fold higher or 10-fold lower Cu or Fe in medium, with other medium components unperturbed (N = 3). ‘Undiluted NMS2′ represents the NMS2 medium without any modification. Cultures were grown in capped 250 mL serum bottles containing 10 mL culture during the experiments in (a) and (b). The headspace was refreshed with 500 ppm CH4 daily. Daily OD600 increase was obtained through linear regression of OD600 against time. (c) Specific growth rates of M. buryatense 5GB1C grown in NMS2 medium at different dilution ratios in the flow-through system. (N = 4) (d) Specific growth rates of M. buryatense 5GB1C grown in 10-times-diluted NMS2 medium in the presence of regular (+1X) or higher amounts (+2X (two times more) and +4X (four times more)) of Cu or Fe in the flow-through system. (N ≥ 2) (e) Comparison of specific growth rates between the undiluted medium (N = 10) and the 10-times-diluted medium (N = 16) throughout all growth experiments. Consistently, 20–30% faster growth rates were observed throughout all experiments (p-value = 0.00013). For the experiments shown in (c,d), cultures were grown in the flow-through system, where continuous 500 ppm CH4 gas was supplied to the headspace of baffled flasks. Error bars in (ad) represent standard deviations based on at least two biological replicates. In the box plot (e), the top bar, the upper box line, the middle box line, the lower box line, and the bottom bar represent the maximum, the first quartile, the median, the third quartile, and the minimum data, respectively, excluding outliers represented by single markers below the lower bar. A two-sample t-test was used for statistical tests: n.s., not statistically different and p > 0.05; *, 0.01 < p < 0.05; **, 0.001 < p < 0.01; ***, p < 0.001.
Figure 2. Medium modifications for improving M. buryatense 5GB1C growth at 500 ppm CH4 in liquid medium. (a) Daily OD600 increase in M. buryatense 5GB1C grown at different initial pH values. (N = 3) (b) Daily OD600 increase in M. buryatense 5GB1C grown in the presence of 10-fold higher or 10-fold lower Cu or Fe in medium, with other medium components unperturbed (N = 3). ‘Undiluted NMS2′ represents the NMS2 medium without any modification. Cultures were grown in capped 250 mL serum bottles containing 10 mL culture during the experiments in (a) and (b). The headspace was refreshed with 500 ppm CH4 daily. Daily OD600 increase was obtained through linear regression of OD600 against time. (c) Specific growth rates of M. buryatense 5GB1C grown in NMS2 medium at different dilution ratios in the flow-through system. (N = 4) (d) Specific growth rates of M. buryatense 5GB1C grown in 10-times-diluted NMS2 medium in the presence of regular (+1X) or higher amounts (+2X (two times more) and +4X (four times more)) of Cu or Fe in the flow-through system. (N ≥ 2) (e) Comparison of specific growth rates between the undiluted medium (N = 10) and the 10-times-diluted medium (N = 16) throughout all growth experiments. Consistently, 20–30% faster growth rates were observed throughout all experiments (p-value = 0.00013). For the experiments shown in (c,d), cultures were grown in the flow-through system, where continuous 500 ppm CH4 gas was supplied to the headspace of baffled flasks. Error bars in (ad) represent standard deviations based on at least two biological replicates. In the box plot (e), the top bar, the upper box line, the middle box line, the lower box line, and the bottom bar represent the maximum, the first quartile, the median, the third quartile, and the minimum data, respectively, excluding outliers represented by single markers below the lower bar. A two-sample t-test was used for statistical tests: n.s., not statistically different and p > 0.05; *, 0.01 < p < 0.05; **, 0.001 < p < 0.01; ***, p < 0.001.
Methane 04 00022 g002
Figure 3. M. buryatense 5GB1C in a packed-bed column reactor for treatment of 500 ppm CH4. (a) Simplified diagram of the column reactor. (b) The four types of packing materials used in this study, including bioballs and Viscopearl® cellulose beads of three different sizes. The numbers above the figures represent the diameters. (c) Maximum elimination capacities obtained from experiments using different packing materials. * Data were not obtained at 250 cm3 min−1 with 0.3 mm cellulose beads due to a clogging issue.
Figure 3. M. buryatense 5GB1C in a packed-bed column reactor for treatment of 500 ppm CH4. (a) Simplified diagram of the column reactor. (b) The four types of packing materials used in this study, including bioballs and Viscopearl® cellulose beads of three different sizes. The numbers above the figures represent the diameters. (c) Maximum elimination capacities obtained from experiments using different packing materials. * Data were not obtained at 250 cm3 min−1 with 0.3 mm cellulose beads due to a clogging issue.
Methane 04 00022 g003
Figure 4. Elimination capacity (a), removal efficiency (b), and off-gas CH4 concentrations (c) during a column experiment using 2 mm cellulose beads and 10-times-diluted NMS2 medium containing undiluted levels of nitrogen and phosphorus nutrients. Error bars are based on technical measurements taken throughout one day. On top of this figure, the inlet gas flow rates are shown during different stages of the experiment. The horizontal dashed line in (c) represents 500 ppm CH4.
Figure 4. Elimination capacity (a), removal efficiency (b), and off-gas CH4 concentrations (c) during a column experiment using 2 mm cellulose beads and 10-times-diluted NMS2 medium containing undiluted levels of nitrogen and phosphorus nutrients. Error bars are based on technical measurements taken throughout one day. On top of this figure, the inlet gas flow rates are shown during different stages of the experiment. The horizontal dashed line in (c) represents 500 ppm CH4.
Methane 04 00022 g004
Disclaimer/Publisher’s Note: The statements, opinions and data contained in all publications are solely those of the individual author(s) and contributor(s) and not of MDPI and/or the editor(s). MDPI and/or the editor(s) disclaim responsibility for any injury to people or property resulting from any ideas, methods, instructions or products referred to in the content.

Share and Cite

MDPI and ACS Style

He, L.; Kern, N.E.; Stolyar, S.; Lidstrom, M.E. Growth Analysis of Methylotuvimicrobium buryatense 5GB1C and Its Utilization for Treating Low Methane Concentrations in a Packed-Bed Column Reactor. Methane 2025, 4, 22. https://doi.org/10.3390/methane4040022

AMA Style

He L, Kern NE, Stolyar S, Lidstrom ME. Growth Analysis of Methylotuvimicrobium buryatense 5GB1C and Its Utilization for Treating Low Methane Concentrations in a Packed-Bed Column Reactor. Methane. 2025; 4(4):22. https://doi.org/10.3390/methane4040022

Chicago/Turabian Style

He, Lian, Naomi E. Kern, Sergey Stolyar, and Mary E. Lidstrom. 2025. "Growth Analysis of Methylotuvimicrobium buryatense 5GB1C and Its Utilization for Treating Low Methane Concentrations in a Packed-Bed Column Reactor" Methane 4, no. 4: 22. https://doi.org/10.3390/methane4040022

APA Style

He, L., Kern, N. E., Stolyar, S., & Lidstrom, M. E. (2025). Growth Analysis of Methylotuvimicrobium buryatense 5GB1C and Its Utilization for Treating Low Methane Concentrations in a Packed-Bed Column Reactor. Methane, 4(4), 22. https://doi.org/10.3390/methane4040022

Article Metrics

Back to TopTop