How Scheduled Maintenance Affects Anaerobic Digester Supervision Through Modelling: A Practical Approach
Abstract
1. Introduction
2. Methodology
2.1. Pilot Plant and Substrate
2.2. Maintenance Procedure
2.3. Modelling Application
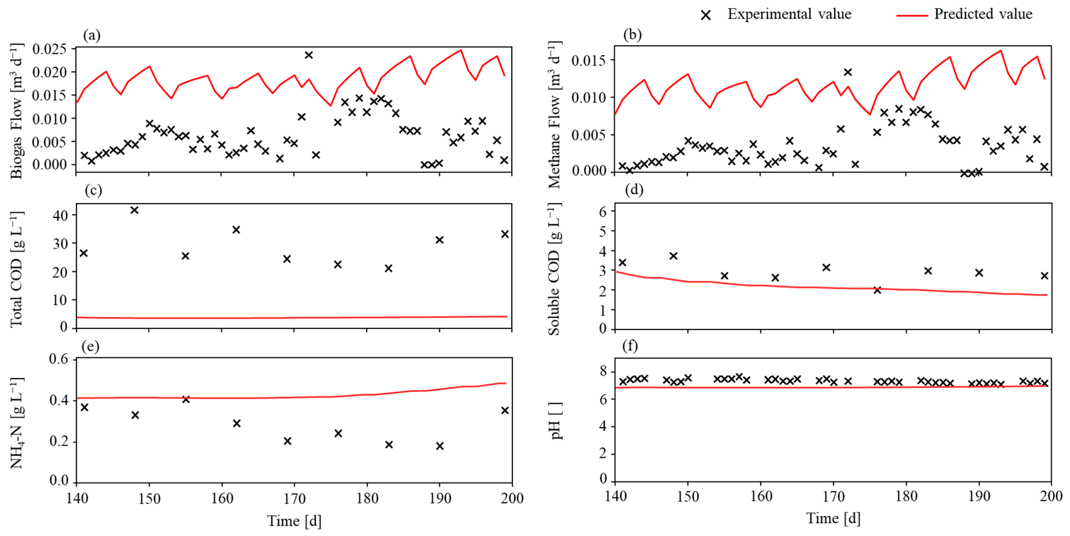
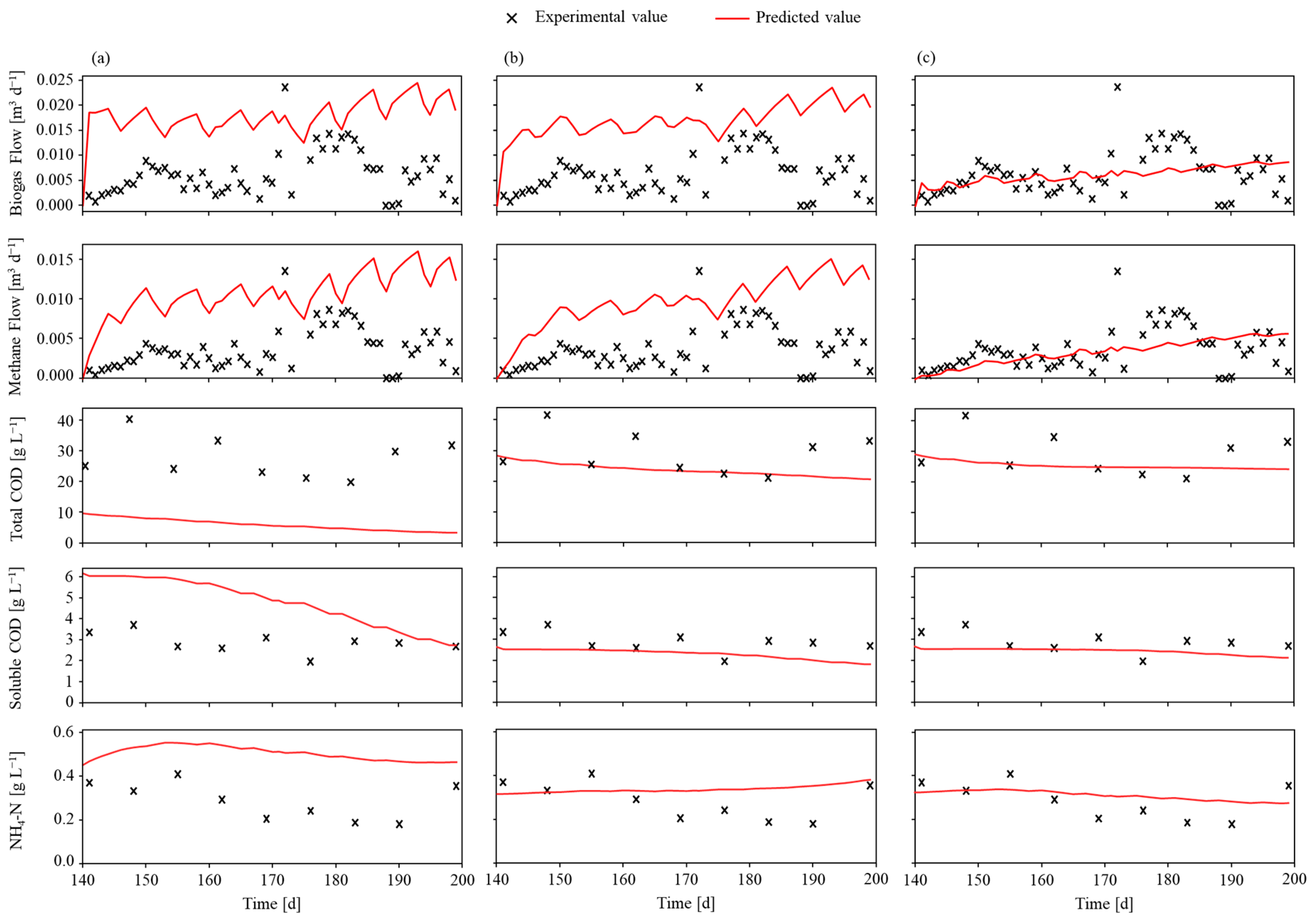
3. Results and Discussion
3.1. Overall Substrate and Digester Dynamics
3.2. Pre-Maintenance Model Application
3.3. Post-Maintenance Model Application
4. Conclusions
Author Contributions
Funding
Institutional Review Board Statement
Informed Consent Statement
Data Availability Statement
Conflicts of Interest
References
- Morton, C.; Thompson, R. Global Potential of Biogas; World Biogas Association: London, UK, 2019. [Google Scholar]
- Wu, D.; Li, L.; Peng, Y.; Yang, P.; Peng, X.; Sun, Y.; Wang, X. State indicators of anaerobic digestion: A critical review on process monitoring and diagnosis. Renew. Sustain. Energy Rev. 2021, 148, 111260. [Google Scholar] [CrossRef]
- Batstone, D.J.; Keller, J.; Angelidaki, I.; Kalyuzhnyi, S.V.; Pavlostathis, S.G.; Rozzi, A.; Sanders, W.T.M.; Siegrist, H.; Vavilin, V.A. The IWA anaerobic digestion model No 1 (ADM1). Water Sci. Technol. 2002, 45, 65–73. [Google Scholar] [CrossRef] [PubMed]
- Ninasivincha, B.; Couto, P.T.; Días, M.E.; Huaccha, K.; Tommaso, G.; Ribeiro, R. Anaerobic digestion model number 1 applied to the modeling of anaerobic digestion of residues generated in soluble coffee processing. Biochem. Eng. J. 2024, 209, 109388. [Google Scholar] [CrossRef]
- Nabaterega, R.; Nazyab, B.; Eskicioglu, C. Modification and calibration of anaerobic digestion model 1 to simulate volatile fatty acids production during fermentation of municipal sludge. Biochem. Eng. J. 2023, 194, 108886. [Google Scholar] [CrossRef]
- Donoso-Bravo, A.; Sadino-Riquelme, M.C.; Valdebenito-Rolack, E.; Paulet, D.; Gómez, D.; Hansen, F. Comprehensive ADM1 Extensions to Tackle Some Operational and Metabolic Aspects in Anaerobic Digestion. Microorganisms 2022, 10, 948. [Google Scholar] [CrossRef] [PubMed]
- Tsitsimpikou, M.A.; Kalamaras, S.D.; Lithourgidis, A.A.; Mitsopoulos, A.; Ellegaard, L.; Angelidaki, I.; Kotsopoulos, T.A. Simulation of the Working Volume Reduction through the Bioconversion Model (BioModel) and Its Validation Using Biogas Plant Data for the Prediction of the Optimal Reactor Cleaning Period. Sustainability 2023, 15, 16157. [Google Scholar] [CrossRef]
- APHA; AWWA; WEF. Standard Methods for the Examination of Water and Wastewater, 21st ed.; American Public Health Association: Washington, DC, USA; American Water Works Association: Washington, DC, USA; Water Environmental Federation: Washington, DC, USA, 2005. [Google Scholar]
- Ripley, L.E.; Boyle, W.C.; Converse, J.C. Improved alkalimetric monitoring for anaerobic digestion of high-strength wastes. J. Water Pollut. Control. Fed. 1986, 58, 406–411. [Google Scholar]
- Donoso-Bravo, A.; Sadino-Riquelme, C.; Gómez, D.; Segura, C.; Valdebenito, E.; Hansen, F. Modelling of an anaerobic plug-flow reactor. Process analysis and evaluation approaches with non-ideal mixing considerations. Bioresour. Technol. 2018, 260, 95–104. [Google Scholar] [CrossRef] [PubMed]
- Kleerebezem, R.; Van Loosdrecht, M.C.M. Waste characterization for implementation in ADM1. Water Sci. Technol. 2006, 54, 167–174. [Google Scholar] [CrossRef] [PubMed]
- Batstone, D.J.; Tait, S.; Starrenburg, D. Estimation of hydrolysis parameters in full-scale anerobic digesters. Biotechnol. Bioeng. 2009, 102, 1513–1520. [Google Scholar] [CrossRef] [PubMed]
- Naji, A.; Rechdaoui, S.G.; Jabagi, E.; Lacroix, C.; Azimi, S.; Rocher, V. Horse Manure and Lignocellulosic Biomass Characterization as Methane Production Substrates. Fermentation 2023, 9, 580. [Google Scholar] [CrossRef]
- Kafle, G.; Chen, L. Comparison on batch anaerobic digestion of five different livestock manures and prediction of biochemical methane potential (BMP) using different statistical models. Waste Manag. 2016, 48, 492–502. [Google Scholar] [CrossRef] [PubMed]
- Hadin, Å.; Eriksson, O. Horse manure as feedstock for anaerobic digestion. Waste Manag. 2016, 56, 506–518. [Google Scholar] [CrossRef] [PubMed]
- Weinrich, S.; Mauky, E.; Schmidt, T.; Krebs, C.; Liebetrau, J.; Nelles, M. Systematic simplification of the Anaerobic Digestion Model No. 1 (ADM1)—Laboratory experiments and model application. Bioresour. Technol. 2021, 333, 125104. [Google Scholar] [CrossRef] [PubMed]
- Nie, E.; He, P.; Zhang, H.; Hao, L.; Shao, L.; Lü, F. How does temperature regulate anaerobic digestion? Renew. Sustain. Energy Rev. 2021, 150, 111453. [Google Scholar] [CrossRef]




| Period | pH | TS | VS | tCOD | sCOD | TA | TN | N-NH4 | VFA |
|---|---|---|---|---|---|---|---|---|---|
| - | % | % | g/kg | g/kg | mgCaCO3/L | mg/L | mg/L | mgAc/L | |
| Pre-M | 7.1 ± 0.3 | 5.6 ± 0.7 | 4.1 ± 0.7 | 23.7 ± 8.2 | 5.5 ± 2.5 | 1595 ± 426 | 537 ± 147 | 183 ± 43.6 | 612 ± 260 |
| Post-M | 7.5 ± 0.3 | 5.6 ± 0.6 | 3.9 ± 0.5 | 31.8 ± 7.3 | 2.7 ± 0.6 | 1450 ± 324 | 874 ± 269 | 131 ± 57.9 | 364 ± 171 |
| Set of Calibrated Parameters | Value | Pre-Maintenance | Post-Maintenance | ||
|---|---|---|---|---|---|
| RMSE * | R2 | RMSE | R2 | ||
| Solids retention | α1 = 0.05 α2 = 0.10 α3 = α4 = 0 | 0.019 | 0.11 | 0.028 | 0.001 |
| Kinetics | khyd 0.122 d−1 B0 100.4 mL CH4/gVS | 0.007 | 0.49 | 0.011 | 0.166 |
Disclaimer/Publisher’s Note: The statements, opinions and data contained in all publications are solely those of the individual author(s) and contributor(s) and not of MDPI and/or the editor(s). MDPI and/or the editor(s) disclaim responsibility for any injury to people or property resulting from any ideas, methods, instructions or products referred to in the content. |
© 2024 by the authors. Licensee MDPI, Basel, Switzerland. This article is an open access article distributed under the terms and conditions of the Creative Commons Attribution (CC BY) license (https://creativecommons.org/licenses/by/4.0/).
Share and Cite
Donoso-Bravo, A.; Sadino-Riquelme, M.C.; Vicencio, M.; Zorrilla, F.; Valdebenito, B.; Hansen, F. How Scheduled Maintenance Affects Anaerobic Digester Supervision Through Modelling: A Practical Approach. Methane 2024, 3, 561-568. https://doi.org/10.3390/methane3040031
Donoso-Bravo A, Sadino-Riquelme MC, Vicencio M, Zorrilla F, Valdebenito B, Hansen F. How Scheduled Maintenance Affects Anaerobic Digester Supervision Through Modelling: A Practical Approach. Methane. 2024; 3(4):561-568. https://doi.org/10.3390/methane3040031
Chicago/Turabian StyleDonoso-Bravo, Andrés, María Constanza Sadino-Riquelme, Martín Vicencio, Fernando Zorrilla, Bastián Valdebenito, and Felipe Hansen. 2024. "How Scheduled Maintenance Affects Anaerobic Digester Supervision Through Modelling: A Practical Approach" Methane 3, no. 4: 561-568. https://doi.org/10.3390/methane3040031
APA StyleDonoso-Bravo, A., Sadino-Riquelme, M. C., Vicencio, M., Zorrilla, F., Valdebenito, B., & Hansen, F. (2024). How Scheduled Maintenance Affects Anaerobic Digester Supervision Through Modelling: A Practical Approach. Methane, 3(4), 561-568. https://doi.org/10.3390/methane3040031

