Oscillation and Decay of Neutrinos in Matter: An Analytic Treatment †
Abstract
:1. Introduction
2. The Formalism
3. Neutrino Oscillation Probabilities
4. Results
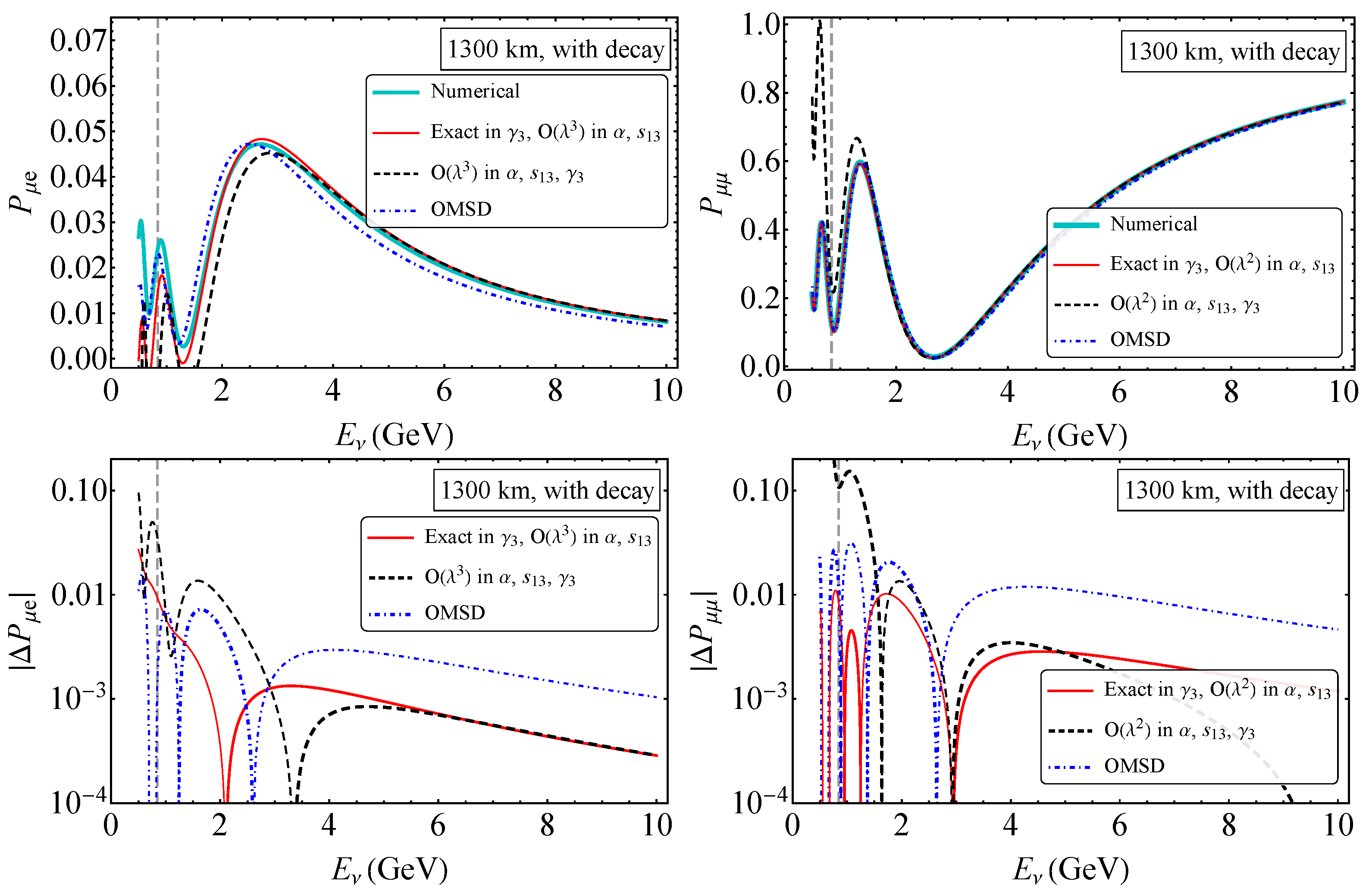
4.1. Accuracy of the Analytic Approximations
4.2. Increase in the Survival Probability at Oscillation Dips
5. Concluding Remarks
Author Contributions
Funding
Institutional Review Board Statement
Informed Consent Statement
Data Availability Statement
Acknowledgments
Conflicts of Interest
References
- Esteban, I.; Gonzalez-Garcia, M.C.; Maltoni, M.; Schwetz, T.; Zhou, A. The fate of hints: Updated global analysis of three-flavor neutrino oscillations. J. High Energy Phys. 2020, 9, 178. [Google Scholar] [CrossRef]
- Bahcall, J.N.; Cabibbo, N.; Yahil, A. Are neutrinos stable particles? Phys. Rev. Lett. 1972, 28, 316–318. [Google Scholar] [CrossRef]
- Chattopadhyay, D.S.; Chakraborty, K.; Dighe, A.; Goswami, S.; Lakshmi, S.M. Neutrino Propagation When Mass Eigenstates and Decay Eigenstates Mismatch. Phys. Rev. Lett. 2022, 129, 011802. [Google Scholar] [CrossRef] [PubMed]
- Chattopadhyay, D.S.; Chakraborty, K.; Dighe, A.; Goswami, S. Analytic treatment of 3-flavor neutrino oscillation and decay in matter. J. High Energy Phys. 2023, 1, 51. [Google Scholar] [CrossRef]
- Akhmedov, E.K.; Johansson, R.; Lindner, M.; Ohlsson, T.; Schwetz, T. Series expansions for three flavor neutrino oscillation probabilities in matter. J. High Energy Phys. 2004, 4, 78. [Google Scholar] [CrossRef]


Disclaimer/Publisher’s Note: The statements, opinions and data contained in all publications are solely those of the individual author(s) and contributor(s) and not of MDPI and/or the editor(s). MDPI and/or the editor(s) disclaim responsibility for any injury to people or property resulting from any ideas, methods, instructions or products referred to in the content. |
© 2023 by the authors. Licensee MDPI, Basel, Switzerland. This article is an open access article distributed under the terms and conditions of the Creative Commons Attribution (CC BY) license (https://creativecommons.org/licenses/by/4.0/).
Share and Cite
Chattopadhyay, D.S.; Chakraborty, K.; Dighe, A.; Goswami, S. Oscillation and Decay of Neutrinos in Matter: An Analytic Treatment. Phys. Sci. Forum 2023, 8, 66. https://doi.org/10.3390/psf2023008066
Chattopadhyay DS, Chakraborty K, Dighe A, Goswami S. Oscillation and Decay of Neutrinos in Matter: An Analytic Treatment. Physical Sciences Forum. 2023; 8(1):66. https://doi.org/10.3390/psf2023008066
Chicago/Turabian StyleChattopadhyay, Dibya S., Kaustav Chakraborty, Amol Dighe, and Srubabati Goswami. 2023. "Oscillation and Decay of Neutrinos in Matter: An Analytic Treatment" Physical Sciences Forum 8, no. 1: 66. https://doi.org/10.3390/psf2023008066
APA StyleChattopadhyay, D. S., Chakraborty, K., Dighe, A., & Goswami, S. (2023). Oscillation and Decay of Neutrinos in Matter: An Analytic Treatment. Physical Sciences Forum, 8(1), 66. https://doi.org/10.3390/psf2023008066

