ESS Linac Overall Status and Normal-Conducting Linac Commissioning †
Abstract
:1. Introduction
2. Materials and Methods
2.1. NC Linac Structures
2.2. Constraints and Strategy
3. Results
3.1. Highlights
3.2. Matching to RFQ
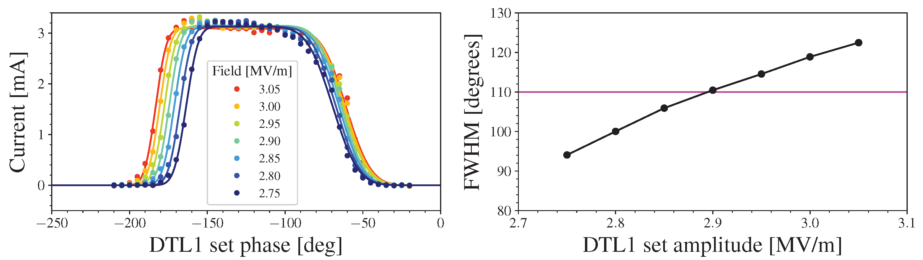
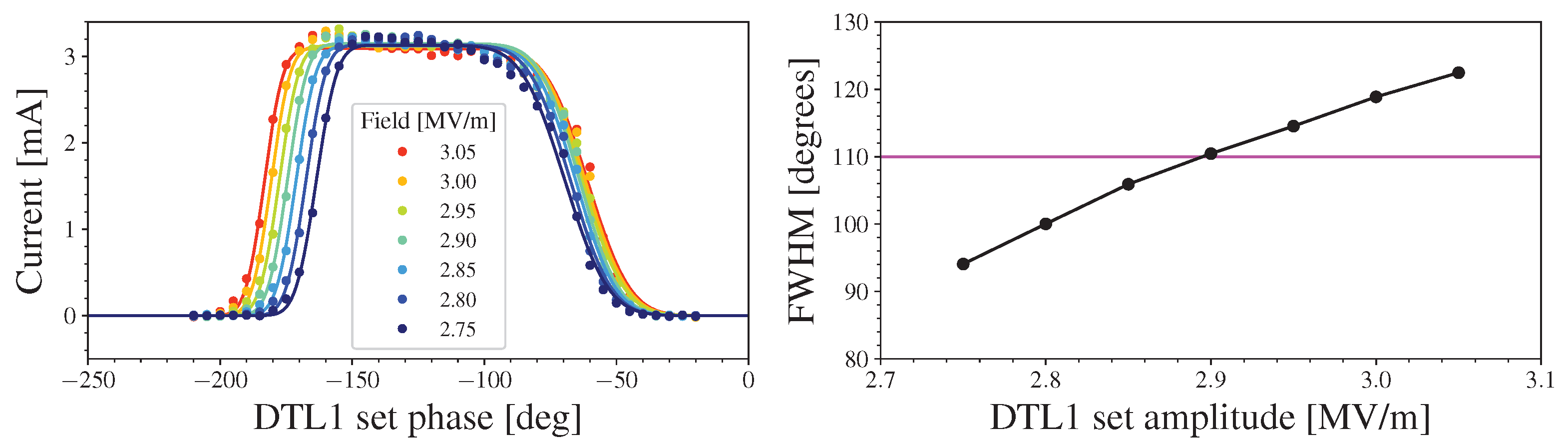
3.3. DTL1 Transmission Scan
4. Discussion
5. Conclusions
Author Contributions
Funding
Institutional Review Board Statement
Informed Consent Statement
Data Availability Statement
Acknowledgments
Conflicts of Interest
References
- Garoby, R.; Vergara, A.; Danared, H.; Alonso, I.; Bargallo, E.; Cheymol, B.; Darve, C.; Eshraqi, M.; Hassanzadegan, H.; Jansson, A. The European Spallation Source Design. Phys. Scr. 2017, 93, 014001. [Google Scholar]
- Jansson, A. The Status of the ESS Project. In Proceedings of the 13th International Particle Accelerator Conference (IPAC’22), Bangkok, Thailand, 12–17 June 2022; pp. 792–795. [Google Scholar]
- Plostinar, C. Status of the Normal Conducting Linac at the European Spallation Source. In Proceedings of the 13th International Particle Accelerator Conference (IPAC’22), Bangkok, Thailand, 12–17 June 2022; pp. 2019–2022. [Google Scholar]
- Miyamoto, R.; Bebb, R.E.; Bergman, E.C.; Bertrand, B.; Danared, H.; Derrez, C.S.; Donegani, E.M.; Eshraqi, M.; Müller, J.F.E.; Fay, T.; et al. First Results of Beam Commissioning on the ESS Site for the Ion Source and Low Energy Beam Transport. In Proceedings of the 10th International Particle Accelerator Conference (IPAC’19), Melbourne, Australia, 19–24 May 2019; pp. 1118–1121. [Google Scholar]
- Shea, T.; Baron, R.; Cheymol, B.; Derrez, C.; Grandsaert, T.; Jansson, A.; Hassanzadegan, H.; Dolenc-Kittelmann, I.; Kocevor, H.; Molloy, S.; et al. Overview and Status of Diagnostics for the ESS Project. In Proceedings of the 6th International Beam Instrumentation Conference (IBIC’17), Grand Rapids, MI, USA, 20–24 August 2017; pp. 8–15. [Google Scholar]
- Miyamoto, R.; Amstutz, C.; Armanet, S.; Baron, R.; Bergman, E.; Bhattacharyya, A.; Bolling, B.; Borg, W.; Calic, S.; Carroll, M.; et al. Beam Commissioning of Normal Conducting Part and Status of ESS Project. In Proceedings of the 31st International Linear Accelerator Conference (LINAC’22), Liverpool, UK, 28 August–2 September 2022; pp. 18–24. [Google Scholar]
- Miyamoto, R.; Eshraqi, M.; Jansson, A.; Laface, E.; Levinsen, Y.; Milas, N.; Munoz, M.; Ponton, A.; Sargsyan, E.; Tchelidze, L.; et al. Preparation Towards the Ess Linac Ion Source and Lebt Beam Commissioning on Ess Site. In Proceedings of the 9th International Particle Accelerator Conference (IPAC’18), Vancouver, BC, Canada, 29 April–4 May 2018; pp. 874–877. [Google Scholar]
- Levinsen, Y.; Akhyani, M.; Baron, R.; Donegani, E.; Eshraqi, M.; Sosa, A.G.; Hassanzadegan, H.; Jones, B.; Milas, N.; Miyamoto, R.; et al. First RF Phase Scans in the European Spallation Source. In Proceedings of the 11th International Beam Instrumentation Conference (IBIC’22), Kraków, Poland, 11–15 September 2022; pp. 313–317. [Google Scholar]



| Parameter | Unit | Design | Initial Ops |
|---|---|---|---|
| Power | MW | 5 | 2 |
| Kinetic energy | GeV | 2 | 0.8 |
| Peak current | mA | 62.5 | 62.5 |
| Pulse length | ms | 2.86 | 2.86 |
| Repetition rate | Hz | 14 | 14 |
| Duty factor | % | 4 | 4 |
| Step | Start | Energy [MeV] |
|---|---|---|
| Commissioning to LEBT | 2018-09 | 0.075 |
| Commissioning to MEBT | 2021-11 | 3.62 |
| Commissioning to DTL1 | 2022-05 | 21 |
| Commissioning to DTL4 | 2023 | 74 |
| Commissioning to Dump | 2024 | 570 |
| Commissioning to Target | 2025 | 570 |
| Start of user operations | 2026 | 800 |
Disclaimer/Publisher’s Note: The statements, opinions and data contained in all publications are solely those of the individual author(s) and contributor(s) and not of MDPI and/or the editor(s). MDPI and/or the editor(s) disclaim responsibility for any injury to people or property resulting from any ideas, methods, instructions or products referred to in the content. |
© 2023 by the authors. Licensee MDPI, Basel, Switzerland. This article is an open access article distributed under the terms and conditions of the Creative Commons Attribution (CC BY) license (https://creativecommons.org/licenses/by/4.0/).
Share and Cite
Miyamoto, R.; Eshraqi, M.; Levinsen, Y.; Milas, N.; Noll, D. ESS Linac Overall Status and Normal-Conducting Linac Commissioning. Phys. Sci. Forum 2023, 8, 36. https://doi.org/10.3390/psf2023008036
Miyamoto R, Eshraqi M, Levinsen Y, Milas N, Noll D. ESS Linac Overall Status and Normal-Conducting Linac Commissioning. Physical Sciences Forum. 2023; 8(1):36. https://doi.org/10.3390/psf2023008036
Chicago/Turabian StyleMiyamoto, Ryoichi, Mamad Eshraqi, Yngve Levinsen, Natalia Milas, and Daniel Noll. 2023. "ESS Linac Overall Status and Normal-Conducting Linac Commissioning" Physical Sciences Forum 8, no. 1: 36. https://doi.org/10.3390/psf2023008036
APA StyleMiyamoto, R., Eshraqi, M., Levinsen, Y., Milas, N., & Noll, D. (2023). ESS Linac Overall Status and Normal-Conducting Linac Commissioning. Physical Sciences Forum, 8(1), 36. https://doi.org/10.3390/psf2023008036

