Effect of Field Caprock Shale Exposure to CO2 on Its Mechanical Properties—A Comparison of Experimental Techniques †
Abstract
:1. Introduction
2. Methodology: The Different Laboratory Techniques
2.1. Triaxial Testing on Small Specimens
2.2. Non-Destructive Stiffness Test with CO2 Exposure
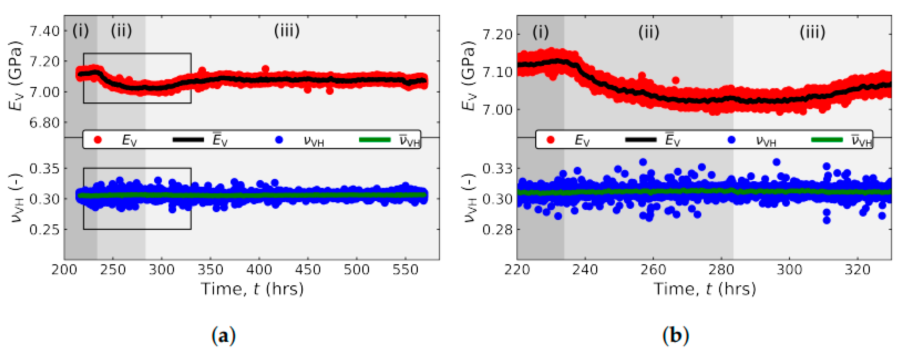
- (i)
- Consolidation phase with no fluid flow.
- (ii)
- Exposure to brine with flow rate of 0.025 mL/min.
- (iii)
- Exposure to scCO2 dissolved in brine at 0.025 mL/min.
2.3. Shear Strength Measurement with the PUNCH Technique
3. Results
3.1. Triaxial Testing on Small Specimens
3.2. Low-Frequency Stiffness Test with CO2 Exposure
3.3. Shear Strength Measurement with the Punch Technique
4. Discussion and Conclusions
Author Contributions
Funding
Institutional Review Board Statement
Informed Consent Statement
Data Availability Statement
Acknowledgments
Conflicts of Interest
References
- Paris Agreement. Report of the Conference of the Parties to the United Nations Framework Convention on Climate Change (21st Session, 2015: Paris); Retrieved December; HeinOnline: Richardson, TX, USA, 2015; Volume 4, p. 7. [Google Scholar]
- Geden, O.; Scott, V.; Palmer, J. Integrating carbon dioxide removal into EU climate policy: Prospects for a paradigm shift. WIREs Clim. Chang. 2018, 9, e521. [Google Scholar] [CrossRef]
- Allen, M.; Antwi-Agyei, P.; Aragon-Durand, F.; Babiker, M.; Bertoldi, P.; Bind, M.; Brown, S.; Buckeridge, M.; Camilloni, I.; Cartwright, A.; et al. Technical Summary: Global Warming of 1.5° C. An IPCC Special Report on the Impacts of Global Warming of 1.5° C above Pre-industrial Levels and Related Global Greenhouse Gas Emission Pathways, in the Context of Strengthening the Global Response to the Threat of Climate Change, Sustainable Development, and Efforts to Eradicate Poverty; Intergovernmental Panel on Climate: Geneva, Switzerland, 2019. [Google Scholar]
- Chadwick, R.; Zweigel, P.; Gregersen, U.; Kirby, G.; Holloway, S.; Johannessen, P. Geological reservoir characterization of a CO2 storage site: The Utsira Sand, Sleipner, Northern North Sea. Energy 2004, 29, 1371–1381. [Google Scholar] [CrossRef]
- Ringrose, P.S. The CCS hub in Norway: Some insights from 22 years of saline aquifer storage. Energy Procedia 2018, 146, 166–172. [Google Scholar] [CrossRef]
- Cerasi, P.; Stroisz, A.M.; Sønstebø, E.; Stanchits, S.; Oye, V.; Bauer, R. Experimental investigation of injection pressure effects on fault reactivation for CO2 storage. Int. J. Greenh. Gas Control 2018, 78, 218–227. [Google Scholar] [CrossRef]
- Ringrose, P.; Oldenburg, C. Mission Innovation task force reports on enabling Gigatonne-scale CO2 storage. First Break 2018, 36, 67–72. [Google Scholar] [CrossRef]
- Tawiah, P.; Duer, J.; Bryant, S.L.; Larter, S.; O’Brien, S.; Dong, M. CO2 injectivity behaviour under non-isothermal conditions–Field observations and assessments from the Quest CCS operation. Int. J. Greenh. Gas Control 2019, 92, 102843. [Google Scholar] [CrossRef]
- Gheibi, S.; Holt, R.M.; Vilarrasa, V. Effect of faults on stress path evolution during reservoir pressurization. Int. J. Greenh. Gas Control 2017, 63, 412–430. [Google Scholar] [CrossRef]
- Rongved, M.; Cerasi, P. Simulation of Stress Hysteresis Effect on Permeability Increase Risk Along A Fault. Energies 2019, 12, 3458. [Google Scholar] [CrossRef]
- Skurtveit, E.; Grande, L.; Ogebule, O.Y.; Gabrielsen, R.H.; Faleide, J.I.; Mondol, N.H.; Maurer, R.; Horsrud, P. Mechanical Testing and Sealing Capacity of the Upper Jurassic Draupne Formation, North Sea. In Proceedings of the 49th US Rock Mechanics/Geomechanics Symposium, San Francisco, CA, USA, 28 June–1 July 2015; OnePetro: Richardson, TX, USA, 2015. [Google Scholar]
- Duda, M.I.; Bakk, A.; Holt, R.M.; Stenebråten, J.F. Anisotropic Poroelastic Modelling of Depletion-Induced Pore Pressure Changes in Valhall Overburden. Norwegian University of Science and Technology: Trondheim, Norway, 2022; Manuscript submitted for publication. [Google Scholar]
- Cerasi, P.; Holt, R.M.; Lavrov, A.; Stenebråten, J.F. Investigation of geomechanical and rock physics aspects related to underground storage and monitoring of CO2. J. Ind. Geophys. Union 2016, 1, 26–29. [Google Scholar]
- Nes, O.M.; Sonstebo, E.F.; Horsrud, P.; Holt, R.M. Dynamic and static measurements on mm-size shale samples. In SPE/ISRM Rock Mechanics in Petroleum Engineering; OnePetro: Richardson, TX, USA, 1998. [Google Scholar]
- Agofack, N.; Cerasi, P.; Stroisz, A.; Rørheim, S. Sorption of CO2 and integrity of a caprock shale. In Proceedings of the 53rd US Rock Mechanics/Geomechanics Symposium, New York, NY, USA, 23–26 June 2019; OnePetro: Richardson, TX, USA, 2019. [Google Scholar]
- Rørheim, S.; Bhuiyan, M.H.; Bauer, A.; Cerasi, P.R. On the Effect of CO2 on Seismic and Ultrasonic Properties: A Novel Shale Experiment. Energies 2021, 14, 5007. [Google Scholar] [CrossRef]
- Nes, O.M.; Sonstebo, E.F.; Fjær, E.; Holt, R.M. Use of Small Shale Samples in Borehole Stability Analysis. In Proceedings of the Gulf Rocks 2004, The 6th North America Rock Mechanics Symposium (NARMS), Houston, TX, USA, 5–9 June 2004; OnePetro: Richardson, TX, USA, 2004. [Google Scholar]
- Szewczyk, D.; Bauer, A.; Holt, R.M. A new laboratory apparatus for the measurement of seismic dispersion under deviatoric stress conditions. Geophys. Prospect. 2016, 64, 789–798. [Google Scholar] [CrossRef] [Green Version]
- Lozovyi, S.; Bauer, A. Velocity dispersion in rocks: A laboratory technique for direct measurement of P-wave modulus at seismic frequencies. Rev. Sci. Instruments 2019, 90, 024501. [Google Scholar] [CrossRef] [PubMed]
- Stenebraten, J.F.; Sonstebo, E.F.; Lavrov, A.V.; Fjaer, E.; Haaland, S. The Shale Puncher-A Compact Tool for Fast Testing of Small Shale Samples. In Proceedings of the The 42nd US Rock Mechanics Symposium (USRMS), San Francisco, CA, USA, 29 June–2 July 2008; American Rock Mechanics Association; OnePetro: Richardson, TX, USA, 2008. [Google Scholar]






Publisher’s Note: MDPI stays neutral with regard to jurisdictional claims in published maps and institutional affiliations. |
© 2022 by the authors. Licensee MDPI, Basel, Switzerland. This article is an open access article distributed under the terms and conditions of the Creative Commons Attribution (CC BY) license (https://creativecommons.org/licenses/by/4.0/).
Share and Cite
Cerasi, P.; Duda, M.; Edvardsen, L.; Agofack, N.; Bhuiyan, M.H. Effect of Field Caprock Shale Exposure to CO2 on Its Mechanical Properties—A Comparison of Experimental Techniques. Phys. Sci. Forum 2022, 4, 33. https://doi.org/10.3390/psf2022004033
Cerasi P, Duda M, Edvardsen L, Agofack N, Bhuiyan MH. Effect of Field Caprock Shale Exposure to CO2 on Its Mechanical Properties—A Comparison of Experimental Techniques. Physical Sciences Forum. 2022; 4(1):33. https://doi.org/10.3390/psf2022004033
Chicago/Turabian StyleCerasi, Pierre, Marcin Duda, Laura Edvardsen, Nicolaine Agofack, and Mohammad H. Bhuiyan. 2022. "Effect of Field Caprock Shale Exposure to CO2 on Its Mechanical Properties—A Comparison of Experimental Techniques" Physical Sciences Forum 4, no. 1: 33. https://doi.org/10.3390/psf2022004033
APA StyleCerasi, P., Duda, M., Edvardsen, L., Agofack, N., & Bhuiyan, M. H. (2022). Effect of Field Caprock Shale Exposure to CO2 on Its Mechanical Properties—A Comparison of Experimental Techniques. Physical Sciences Forum, 4(1), 33. https://doi.org/10.3390/psf2022004033

