Impregnation of Krill Oil Microcapsules into Golden Apple Slices’ Intercellular Tissue †
Abstract
:1. Introduction
2. Materials and Methods
2.1. Materials
2.2. Sample and Emulsion Preparation
2.3. Impregnation Process
2.4. Analysis of Samples Impregnated with KO Microcapsules
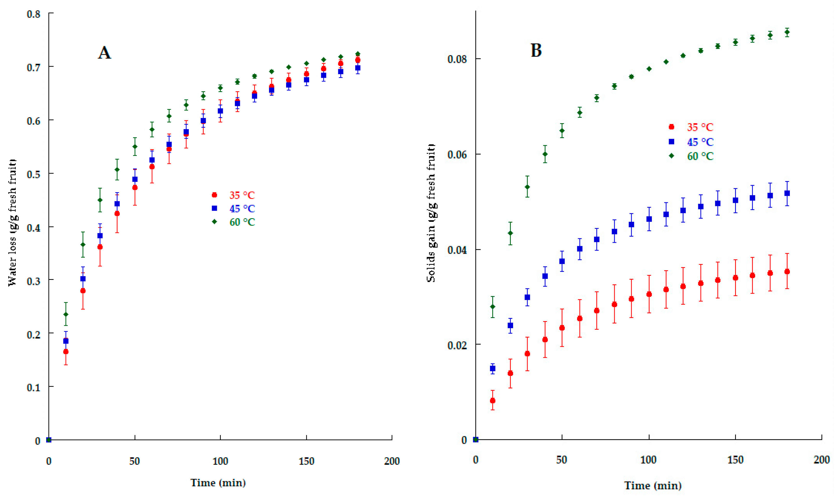
3. Results and Discussion
4. Conclusions
Author Contributions
Funding
Institutional Review Board Statement
Informed Consent Statement
Data Availability Statement
Conflicts of Interest
References
- Mazza, K.E.L.; Costa, A.M.M.; da Silva, J.P.L.; Alviano, D.S.; Bizzo, H.R.; Tonon, R.V. Microencapsulation of Marjoram Essential Oil as a Food Additive Using Sodium Alginate and Whey Protein Isolate. Int. J. Biol. Macromol. 2023, 233, 123478. [Google Scholar] [CrossRef] [PubMed]
- Salazar-López, E.I.; Jiménez, M.; Salazar, R.; Azuara, E. Incorporation of Microcapsules in Pineapple Intercellular Tissue Using Osmotic Dehydration and Microencapsulation Method. Food Bioprocess Technol. 2015, 8, 1699–1706. [Google Scholar] [CrossRef]
- Xie, D.; Gong, M.; Wei, W.; Jin, J.; Wang, X.; Wang, X.; Jin, Q. Antarctic Krill (Euphausia Superba) Oil: A Comprehensive Review of Chemical Composition, Extraction Technologies, Health Benefits, and Current Applications. Compr. Rev. Food Sci. Food Saf. 2019, 18, 514–534. [Google Scholar] [CrossRef] [PubMed]
- Azuara, E.; Beristain, C.I.; Gutiérrez, G.F. A Method for Continuous Kinetic Evaluation of Osmotic Dehydration. LWT-Food Sci. Technol. 1998, 31, 317–321. [Google Scholar] [CrossRef]
- Association of Official Analytical Chemistry (AOAC). Official Methods of Analysis; AOAC: Arlington, VA, USA, 2023. [Google Scholar]
- Vakarelova, M.; Zanoni, F.; Lardo, P.; Rossin, G.; Mainente, F.; Chignola, R.; Menin, A.; Rizzi, C.; Zoccatelli, G. Production of Stable Food-Grade Microencapsulated Astaxanthin by Vibrating Nozzle Technology. Food Chem. 2017, 221, 289–295. [Google Scholar] [CrossRef] [PubMed]
- Jiménez-Hernández, J.; Estrada-Bahena, E.B.; Maldonado-Astudillo, Y.I.; Talavera-Mendoza, Ó.; Arámbula-Villa, G.; Azuara, E.; Álvarez-Fitz, P.; Ramírez, M.; Salazar, R. Osmotic Dehydration of Mango with Impregnation of Inulin and Piquin-Pepper Oleoresin. LWT-Food Sci. Technol. 2017, 79, 609–615. [Google Scholar] [CrossRef]
- Flores-Andrade, E.; Pascual-Pineda, L.A.; Alarcón-Elvira, F.G.; Rascón-Díaz, M.P.; Pimentel-González, D.J.; Beristain, C.I. Effect of Vacuum on the Impregnation of Lactobacillus Rhamnosus Microcapsules in Apple Slices Using Double Emulsion. J. Food Eng. 2017, 202, 18–24. [Google Scholar] [CrossRef]
- Ahmed, I.; Qazi, I.M.; Jamal, S. Developments in Osmotic Dehydration Technique for the Preservation of Fruits and Vegetables. Innov. Food Sci. Emerg. Technol. 2016, 34, 29–43. [Google Scholar] [CrossRef]
- Chiralt, A.; Fito, P. Transport Mechanisms in Osmotic Dehydration: The Role of the Structure. Food Sci. Technol. Int. 2003, 9, 179–186. [Google Scholar] [CrossRef]
- Nieto, A.B.; Salvatori, D.M.; Castro, M.A.; Alzamora, S.M. Structural Changes in Apple Tissue during Glucose and Sucrose Osmotic Dehydration: Shrinkage, Porosity, Density and Microscopic Features. J. Food Eng. 2004, 61, 269–278. [Google Scholar] [CrossRef]
- Ertek, G.; Taştan, Ö.; Baysal, T. Combined Use of Vacuum Impregnation and Encapsulation Technologies for Phenolic Enrichment of Strawberries. Food Chem. 2023, 398, 133853. [Google Scholar] [CrossRef] [PubMed]
- Rascón, M.P.; Huerta-Vera, K.; Pascual-Pineda, L.A.; Contreras-Oliva, A.; Flores-Andrade, E.; Castillo-Morales, M.; Bonilla, E.; González-Morales, I. Osmotic Dehydration Assisted Impregnation of Lactobacillus Rhamnosus in Banana and Effect of Water Activity on the Storage Stability of Probiotic in the Freeze-Dried Product. LWT 2018, 92, 490–496. [Google Scholar] [CrossRef]
- Caballero, M.C.S.; Muñiz, C.H.A.; Leal, V.C.; Aguilar, G.G.; Hernández, C.G.S.; Quezada, G.D.A. Enrichment of Sliced Apple Fruit with Bacillus Coagulans. Emirates J. Food Agric. 2021, 33, 12. [Google Scholar] [CrossRef]
- Osorio Gutiérrez, F.X.; Peñaloza Ortiz, A.; Maldonado Astudillo, Y.I.; Jiménez Hernández, J.; Salazar, R.; Osorio Gutiérrez, F.X.; Peñaloza Ortiz, A.; Maldonado Astudillo, Y.I.; Jiménez Hernández, J.; Salazar, R. Evaluation of Osmotic Dehydration as a Tool for Enrichment with Bioactive. Rev. Mex. Cienc. Agrícolas 2019, 10, 1151–1156. [Google Scholar] [CrossRef]



Disclaimer/Publisher’s Note: The statements, opinions and data contained in all publications are solely those of the individual author(s) and contributor(s) and not of MDPI and/or the editor(s). MDPI and/or the editor(s) disclaim responsibility for any injury to people or property resulting from any ideas, methods, instructions or products referred to in the content. |
© 2023 by the authors. Licensee MDPI, Basel, Switzerland. This article is an open access article distributed under the terms and conditions of the Creative Commons Attribution (CC BY) license (https://creativecommons.org/licenses/by/4.0/).
Share and Cite
Ortiz-Sánchez, C.A.; Flores-Andrade, E.; Morales, M.C.; Salazar, R.U.; Casiano, N.G.; Jiménez, F.E.G.; Marín-Castro, U.R. Impregnation of Krill Oil Microcapsules into Golden Apple Slices’ Intercellular Tissue. Biol. Life Sci. Forum 2023, 26, 62. https://doi.org/10.3390/Foods2023-15155
Ortiz-Sánchez CA, Flores-Andrade E, Morales MC, Salazar RU, Casiano NG, Jiménez FEG, Marín-Castro UR. Impregnation of Krill Oil Microcapsules into Golden Apple Slices’ Intercellular Tissue. Biology and Life Sciences Forum. 2023; 26(1):62. https://doi.org/10.3390/Foods2023-15155
Chicago/Turabian StyleOrtiz-Sánchez, César Antonio, Enrique Flores-Andrade, Marisol Castillo Morales, Rafael Uzárraga Salazar, Nayeli Gutiérrez Casiano, Francisco Erik González Jiménez, and Ubaldo Richard Marín-Castro. 2023. "Impregnation of Krill Oil Microcapsules into Golden Apple Slices’ Intercellular Tissue" Biology and Life Sciences Forum 26, no. 1: 62. https://doi.org/10.3390/Foods2023-15155
APA StyleOrtiz-Sánchez, C. A., Flores-Andrade, E., Morales, M. C., Salazar, R. U., Casiano, N. G., Jiménez, F. E. G., & Marín-Castro, U. R. (2023). Impregnation of Krill Oil Microcapsules into Golden Apple Slices’ Intercellular Tissue. Biology and Life Sciences Forum, 26(1), 62. https://doi.org/10.3390/Foods2023-15155

