Yoghurt-Like Drink Enriched with Lactobacilli and Bifidobacteria †
Abstract
:1. Introduction
2. Materials and Methods
3. Results
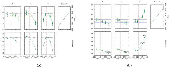
3.1. Centroid
3.2. Yoghurt-Like Drink
Supplementary Materials
Author Contributions
Funding
Institutional Review Board Statement
Informed Consent Statement
Data Availability Statement
Conflicts of Interest
References
- Mudgil, P.; Barak, S. Dairy-Based Functional Beverages. In Milk-Based Beverages; Grumezescu, A.M., Holban, A.M., Eds.; Woodhead Publishing: Cambridge, UK, 2019; Volume 9, pp. 67–93. [Google Scholar]
- Perotti, M.C.; Bergamini, C.V.; Vénica, C.I.; Vélez, M.A.; Wolf, I.V.; Hynes, E. Production of Functional Milk-Based Beverages. In Milk-Based Beverages; Grumezescu, A.M., Holban, A.M., Eds.; Woodhead Publishing: Cambridge, UK, 2019; Volume 9, pp. 173–238. [Google Scholar]
- Speranza, B.; Bevilacqua, A.; Campaniello, D.; Sinigaglia, M.; Musaico, D.; Corbo, M.R.; Lamacchia, C. The Impact of Gluten Friendly Flour on the Functionality of an Active Drink: Viability of Lactobacillus acidophilus in a Fermented Milk. Front. Microbiol. 2018, 9, 2042. [Google Scholar] [CrossRef] [PubMed]
- Fisberg, M.; Machado, R. History of yogurt and current patterns of consumption. Nutr. Rev. 2015, 73 (Suppl. 1), 4–7. [Google Scholar] [CrossRef] [PubMed]
- Bevilacqua, A.; Corbo, M.R.; Sinigaglia, M. Design of experiments: A powerful tool in food microbiology. In Current Research, Technology and Education Topics in Applied Microbiology and Microbial Biotechnology; Mendez-Vilas, A., Ed.; Formatex Research Center: Badajoz, Spain, 2010; pp. 1419–1429. [Google Scholar]
- Bevilacqua, A.; Sinigaglia, M. Food shelf life and safety: Challenge tests, prediction and mathematical tools. In Application of Alternative Food-Preservation Technologies to Enhance Food Safety and Stability; Bevilacqua, A., Corbo, M.R., Sinigaglia, M., Eds.; Bentham Publisher: Sharja, United Arab Emirates, 2010; pp. 161–187. [Google Scholar]
- van Gerwen, S.J.; Zwietering, M.H. Growth and inactivation models to be used in quantitative risk assessments. J. Food Prot. 1998, 61, 1541–1549. [Google Scholar] [CrossRef] [PubMed]
- Baty, F.; Delignette-Muller, M.L. Estimating the bacterial lag time: Which model, which precision? Int. J. Food Microbiol. 2004, 91, 261–277. [Google Scholar] [CrossRef]
- Ghasempour, Z.; Alizadeh, M.; Bari, M.R. Optimisation of probiotic yoghurt production containing Zedo gum. Int. J. Dairy Technol. 2012, 65, 118–125. [Google Scholar] [CrossRef]
- Al-Sahlany, S.T.G.; Khassaf, W.H.; Niamah, A.K.; Abd Al-Manhel, A.J. Date juice addition to bio-yogurt: The effects on physicochemical and microbiological properties during storage, as well as blood parameters in vivo. J. Saudi Soc. Agric. Sci. 2023, 22, 71–77. [Google Scholar] [CrossRef]
- Perricone, M.; Corbo, M.R.; Sinigaglia, M.; Speranza, B.; Bevilacqua, A. Viability of Lactobacillus reuteri in fruit juices. J. Funct. Foods 2014, 10, 421–426. [Google Scholar] [CrossRef]
- Bevilacqua, A.; Corbo, M.R.; Mastromatteo, M.; Sinigaglia, M. Combined effects of pH, yeast extract, carbohydrates and di-ammonium hydrogen citrate on the biomass production and acidifying ability of a probiotic Lactobacillus plantarum strain, isolated from table olives, in a batch system. World J. Microbiol. Biotechnol. 2008, 24, 1721–1729. [Google Scholar] [CrossRef]


| Combinations | Coded Levels | Values | ||||
|---|---|---|---|---|---|---|
| B * | L ** | T *** | B | L | T | |
| A | 1 | 0 | 0 | 6 | 4 | 30 |
| B | 0 | 1 | 0 | 4 | 6 | 30 |
| C | 0 | 0 | 1 | 4 | 4 | 40 |
| D | 0.5 | 0.5 | 0 | 5 | 5 | 30 |
| E | 0.5 | 0 | 0.5 | 5 | 4 | 35 |
| F | 0 | 0.5 | 0.5 | 4 | 5 | 35 |
| Combinations | ||||
|---|---|---|---|---|
| ΔpHmax | dmax | α | R | |
| A | 2.38 ± 0.01 | 0.08 ± 0.00 | 3.53 ± 0.61 | 0.999 |
| B | 2.24 ± 0.05 | 0.09 ± 0.00 | 5.19 ± 2.10 | 0.994 |
| C | 2.20 ± 0.07 | 0.19 ± 0.02 | 5.34 ± 2.00 | 0.980 |
| D | 2.34 ± 0.03 | 0.10 ± 0.00 | 6.59 ± 1.15 | 0.996 |
| E | 2.59 ± 0.06 | 0.11 ± 0.01 | - | 0.995 |
| F | 2.52 ± 0.07 | 0.11 ± 0.00 | - | 0.994 |
| EFFECTS | ΔpHmax | dmax |
|---|---|---|
| [B] | 73.814 | 12.746 |
| [L] | 69.330 | 13.429 |
| [T] | 68.251 | 28.331 |
| [B] × [L] | - (A) | - |
| [B] × [T] | 7.385 | −2.999 |
| [L] × [T] | 7.614 | −3.275 |
| R2 (B) | 0.901 | 0.930 |
| Time (Days) | 33 | 10,140 |
|---|---|---|
| 0 | 8.78 ± 0.00 a,A | 8.40 ± 0.00 a,B |
| 1 | 8.74 ± 0.01 a,A | 8.90 ± 0.02 b,A |
| 4 | 8.90 ± 0.03 a,A | 8.85 ± 0.00 b,A |
| 6 | 8.93 ± 0.02 a,A | 8.72 ± 0.03 b,A |
| 19 | 8.88 ± 0.03 a,A | 8.78 ± 0.02 b,A |
| 26 | 8.85 ± 0.00 a,A | 8.88 ± 0.03 b,A |
| 33 | 8.52 ± 0.02 b,A | 8.60 ± 0.00 a,A |
| 40 | 8.74 ± 0.01 a,A | 8.88 ± 0.02 b,A |
| 50 | 8.74 ± 0.04 a,A | 8.88 ± 0.03 b,A |
Disclaimer/Publisher’s Note: The statements, opinions and data contained in all publications are solely those of the individual author(s) and contributor(s) and not of MDPI and/or the editor(s). MDPI and/or the editor(s) disclaim responsibility for any injury to people or property resulting from any ideas, methods, instructions or products referred to in the content. |
© 2023 by the authors. Licensee MDPI, Basel, Switzerland. This article is an open access article distributed under the terms and conditions of the Creative Commons Attribution (CC BY) license (https://creativecommons.org/licenses/by/4.0/).
Share and Cite
d’Amelio, A.; Altieri, C.; Campaniello, D. Yoghurt-Like Drink Enriched with Lactobacilli and Bifidobacteria. Biol. Life Sci. Forum 2023, 26, 34. https://doi.org/10.3390/Foods2023-15099
d’Amelio A, Altieri C, Campaniello D. Yoghurt-Like Drink Enriched with Lactobacilli and Bifidobacteria. Biology and Life Sciences Forum. 2023; 26(1):34. https://doi.org/10.3390/Foods2023-15099
Chicago/Turabian Styled’Amelio, Annalisa, Clelia Altieri, and Daniela Campaniello. 2023. "Yoghurt-Like Drink Enriched with Lactobacilli and Bifidobacteria" Biology and Life Sciences Forum 26, no. 1: 34. https://doi.org/10.3390/Foods2023-15099
APA Styled’Amelio, A., Altieri, C., & Campaniello, D. (2023). Yoghurt-Like Drink Enriched with Lactobacilli and Bifidobacteria. Biology and Life Sciences Forum, 26(1), 34. https://doi.org/10.3390/Foods2023-15099

