A Case Study on Minerals Interaction in the Soil and Se Enrichment in Rice (Oryza sativa L.) †
Abstract
:1. Introduction
2. Materials and Methods
2.1. Experimental Fields
2.2. Quantification of Mineral Elements in Soil, Paddy and White Rice Grains
2.3. Thousand Grain Weight and Colorimetric Parameters
2.4. Statistical Analysis
3. Results
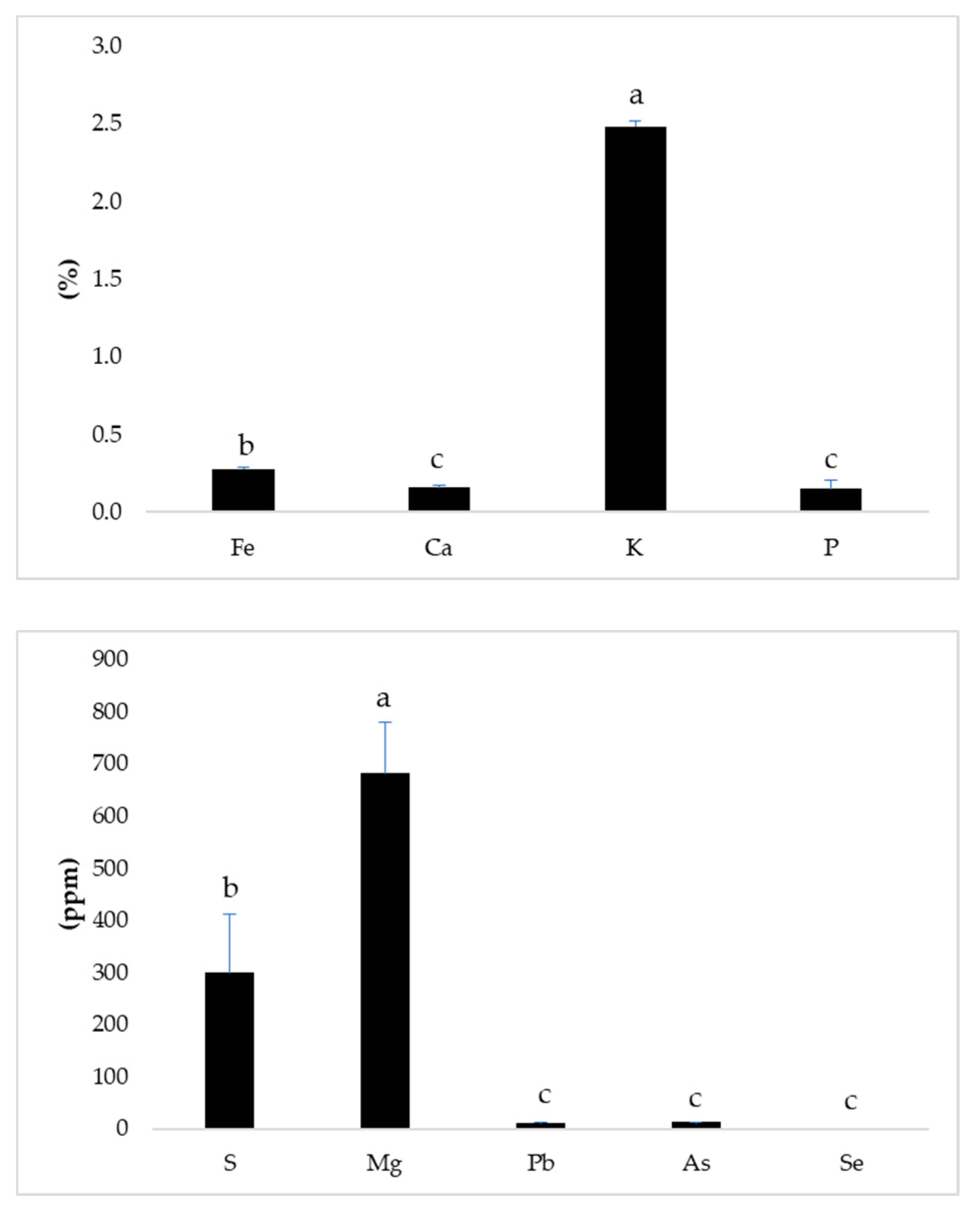
3.1. Characterization of Rice Field
3.2. Analysis of Selenium and Zinc Contents
3.3. Grain Weight and Colorimetric Analysis
4. Discussion
5. Conclusions
Supplementary Materials
Author Contributions
Funding
Institutional Review Board Statement
Informed Consent Statement
Data Availability Statement
Acknowledgments
Conflicts of Interest
References
- Garcia-Bañuelos, M.L.; Hermosillo-Cereceres, M.A.; Sanchez, E. The importance of selenium biofortification in food crops. Curr. Nutr. Food Sci. 2011, 7, 181–190. [Google Scholar] [CrossRef]
- Schiavon, M.; Pilon-Smits, E. The fascinating facets of plant selenium accumulation—Biochemistry, physiology, evolution and ecology. New Phytol. 2016, 213, 1582–1596. [Google Scholar] [CrossRef] [PubMed] [Green Version]
- Fordyce, F.M. Selenium deficiency and toxicity in the environment. In Essentials of Medical Geology; Springer: Dordrecht, The Netherland, 2013; pp. 375–416. [Google Scholar] [CrossRef] [Green Version]
- White, P.J. Selenium accumulation by plants. Ann. Bot. 2016, 117, 217–235. [Google Scholar] [CrossRef] [PubMed] [Green Version]
- Reis, A.; El-Ramady, H.; Santos, E.F.; Gratão, P.L.; Schomburg, L. Overview of selenium deficiency and toxicity worldwide: Affected areas, selenium-related health issues, and case studies. In Selenium in Plants; Plant Ecophysiology; Springer: Cham, Switzerland, 2017; Volume 11, pp. 209–230. [Google Scholar] [CrossRef]
- Lopes, G.; Ávila, F.; Guilherme, L. Selenium behavior in the soil, water, plants and its implication for human health. A review. Curr. Sci. Int. 2021. [Google Scholar] [CrossRef]
- Lidon, F.; Oliveira, K.; Ribeiro, M.; Pelica, J.; Pataco, I.; Ramalho, J.; Leitão, A.; Almeida, A.; Campos, P.; Ribeiro-Barros, A.; et al. Selenium biofortification of rice grains and implications on macronutrients quality. J. Cereal Sci. 2018, 81, 22–29. [Google Scholar] [CrossRef]
- Li, Y.; Liu, K.; Chen, F. Effect of selenium enrichment on the quality of germinated brown rice during storage. Food Chem. 2016, 207, 20–26. [Google Scholar] [CrossRef]
- Zhou, X.; Yang, J.; Kronzucker, H.; Shi, W. Selenium Biofortification and Interaction with Other Elements in Plants: A Review. Front. Plant Sci. 2020, 11, 586421. [Google Scholar] [CrossRef] [PubMed]
- Xue, M.; Wang, D.; Zhou, F.; Du, Z.; Zhai, H.; Wang, M.; Dinh, Q.; Tran, T.; Li, H.; Yan, Y.; et al. Effects of selenium combined with zinc amendment on zinc fractions and bioavailability in calcareous soil. Ecotoxicol. Environ. Safe. 2021, 190, 110082. [Google Scholar] [CrossRef] [PubMed]
- Burestan, N.; Afkari Sayyah, A.; Taghinezhad, E. Prediction of some quality properties of rice and its flour by near-infrared spectroscopy (NIRS) analysis. Food Sci. Nutr. 2020, 9, 1099–1105. [Google Scholar] [CrossRef] [PubMed]
- Pessoa, C.; Lidon, F.; Coelho, A.; Caleiro, J.; Marques, A.; Luís, I.; Kullberg, J.; Legoinha, P.; Brito, M.; Ramalho, J.; et al. Calcium biofortification of Rocha pears, tissues accumulation and physicochemical implications in fresh and heat-treated fruits. Sci Hortic. 2021, 277, 109834. [Google Scholar] [CrossRef]
- Pelica, J.; Barbosa, S.; Lidon, F.; Pessoa, M.; Reboredo, F.; Calvão, T. The paradigm of high concentration of metals of natural or anthropogenic origin in soils—The case of Neves-Corvo mine area (southern Portugal). J. Geochem. Explor. 2018, 186, 12–23. [Google Scholar] [CrossRef]
- Carrondo, M.; Reboredo, F.; Ganho, R.; Santos Oliveira, J.F. Heavy metal analysis of sediments in Tejo estuary, Portugal, using a rapid flameless atomic absorption procedure. Talanta 1984, 31, 561–564. [Google Scholar] [CrossRef]
- Reboredo, F.H.S.; Ribeiro, C.A.G. Vertical distribution of Al, Cu, Fe and Zn in soil salt marshes of the Sado estuary, Portugal. Int. J. Environ. Stud. 1984, 23, 249–253. [Google Scholar] [CrossRef]
- Pessoa, C.C.; Coelho, A.R.; Luís, I.C.; Marques, A.C.; Daccak, D.; Simões, M.; Reboredo, R.; Silva, M.M.; Pessoa, M.F.; Galhano, C.; et al. A technological workflow for Ca enrichment in Rocha pears: Implication in quality. In Proceedings of the 1st International Conference on Water Energy Food and Sustainability (ICoWEFS 2021), Leiria, Portugal, 10–12 May 2021; Galvão, J., Brito, P., Santos, F.D., Craveiro, F., Almeida, H., Vasco, J., Neves, L., Gomes, R., Mourato, S., Ribeiro, V., Eds.; Springer Nature: Cham, Switzerland, 2021. [Google Scholar] [CrossRef]
- Luís, I.; Lidon, F.; Pessoa, C.; Marques, A.; Coelho, A.; Simões, M.; Patanita, M.; Dôres, J.; Ramalho, J.; Silva, M.; et al. Zinc Enrichment in Two Contrasting Genotypes of Triticum aestivum L. Grains: Interactions between Edaphic Conditions and Foliar Fertilizers. Plants 2021, 10, 204. [Google Scholar] [CrossRef] [PubMed]
- Ramalho, J.C.; Pais, I.P.; Leitão, A.E.; Guerra, M.; Reboredo, F.H.; Máguas, C.M.; Carvalho, M.L.; Scotti-Campos, P.; Ribeiro-Barros, A.I.; Lidon, F.J.C. Can elevated air [CO2] conditions mitigate the predicted warming impact on the quality of coffee bean? Front. Plant Sci. 2018, 9, 287. [Google Scholar] [CrossRef] [Green Version]
- Yang, H.; Yang, X.; Ning, Z.; Kwon, S.; Li, M.; Tack, F.; Kwon, E.; Rinklebe, J.; Yin, R. The beneficial and hazardous effects of selenium on the health of the soil-plant-human system: An overview. J Hazard Mater. 2021, 422, 126876. [Google Scholar] [CrossRef]
- Feng, R.; Wang, L.; Yang, J.; Zhao, P.; Zhu, Y.; Li, Y.; Yu, Y.; Liu, H.; Rensing, C.; Wu, Z.; et al. Underlying mechanisms responsible for restriction of uptake and translocation of heavy metals (metalloids) by selenium via root application in plants. J. Hazard. Mater. 2021, 402, 123570. [Google Scholar] [CrossRef] [PubMed]
- Hasanuzzaman, M.; Bhuyan, M.; Raza, A.; Hawrylak-Nowak, B.; Matraszek-Gawron, R.; Mahmud, J.; Nahar, K.; Fujita, M. Selenium in plants: Boon or bane? Environ. Exp. Bot. 2020, 178, 104170. [Google Scholar] [CrossRef]
- Wang, Y.D.; Wang, X.; Wong, Y.S. Generation of selenium-enriched rice with enhanced grain yield, selenium content and bioavailability through fertilisation with selenite. Food Chem. 2013, 141, 2385–2393. [Google Scholar] [CrossRef]
- Deng, X.; Liu, K.; Li, M.; Zhang, W.; Zhao, X.; Zhao, Z.; Liu, X. Difference of selenium uptake and distribution in the plant and selenium form in the grains of rice with foliar spray of selenite or selenate at different stages. Field Crops Res. 2017, 211, 165–171. [Google Scholar] [CrossRef]
- Lyons, G.; Genc, Y.; Stangoulis, J.; Palmer, L.; Graham, R. Selenium distribution in wheat grain, and the effect of postharvest processing on wheat selenium content. Biol. Trace Elem. Res. 2005, 103, 155–168. [Google Scholar] [CrossRef]
- Mangueze, A.; Pessoa, M.; Silva, M.; Ndayiragije, A.; Magaia, H.; Cossa, V.; Reboredo, F.; Carvalho, M.; Santos, J.; Guerra, M. Simultaneous zinc and selenium biofortification in rice accumulation, localization and implications on the overall mineral content of the flour. J. Cereal Sci. 2018, 82, 34–41. [Google Scholar] [CrossRef]
- Sors, T.; Ellis, D.; Salt, D. Selenium uptake, translocation assimilation and metabolic fate in plants. Photosynth. Res. 2005, 86, 373–389. [Google Scholar] [CrossRef] [PubMed]
- Fargasova, A.; Pastierova, J.; Svetkova, K. Effect of Se-metal pair combinations (Cd, Zn, Cu, Pb) on photosynthetic pigments production and metal accumulation in Synapis alba L. seedlings. Plant Soil Environ. 2006, 52, 8–15. [Google Scholar] [CrossRef] [Green Version]



| Treatments (g Se·ha−1) | Paddy | White Rice | ||
|---|---|---|---|---|
| Se | Zn | Se | Zn | |
| Control | 22.1 ± 0.01 ab | 10.4 ± 4.02 a | 29.9 ± 7.20 b | 16.6 ± 0.75 a |
| Na2SeO4 | ||||
| 50 | 27.4 ± 0.10 b | 3.89 ± 0.76 a | 31.7 ± 3.15 b | 8.63 ± 0.19 b |
| 75 | 47.6 ± 0.02 ab | 10.3 ± 2.77 a | 35.6 ± 2.39 b | 7.59 ± 0.99 ab |
| Na2SeO3 | ||||
| 50 | 53.7 ± 2.27 a | 8.17 ± 2.05 a | 37.1 ± 2.43 b | 8.87 ± 0.80 ab |
| 75 | 58.0 ± 1.96 a | 11.5 ± 1.23 a | 77.9 ± 1.97 a | 9.01 ± 1.28 ab |
Publisher’s Note: MDPI stays neutral with regard to jurisdictional claims in published maps and institutional affiliations. |
© 2022 by the authors. Licensee MDPI, Basel, Switzerland. This article is an open access article distributed under the terms and conditions of the Creative Commons Attribution (CC BY) license (https://creativecommons.org/licenses/by/4.0/).
Share and Cite
Marques, A.C.; Daccak, D.; Luís, I.C.; Coelho, A.R.F.; Pessoa, C.C.; Campos, P.S.; Simões, M.; Almeida, A.S.; Pessoa, M.F.; Reboredo, F.H.; et al. A Case Study on Minerals Interaction in the Soil and Se Enrichment in Rice (Oryza sativa L.). Biol. Life Sci. Forum 2022, 11, 24. https://doi.org/10.3390/IECPS2021-11953
Marques AC, Daccak D, Luís IC, Coelho ARF, Pessoa CC, Campos PS, Simões M, Almeida AS, Pessoa MF, Reboredo FH, et al. A Case Study on Minerals Interaction in the Soil and Se Enrichment in Rice (Oryza sativa L.). Biology and Life Sciences Forum. 2022; 11(1):24. https://doi.org/10.3390/IECPS2021-11953
Chicago/Turabian StyleMarques, Ana Coelho, Diana Daccak, Inês Carmo Luís, Ana Rita F. Coelho, Cláudia Campos Pessoa, Paula Scotti Campos, Manuela Simões, Ana Sofia Almeida, Maria F. Pessoa, Fernando H. Reboredo, and et al. 2022. "A Case Study on Minerals Interaction in the Soil and Se Enrichment in Rice (Oryza sativa L.)" Biology and Life Sciences Forum 11, no. 1: 24. https://doi.org/10.3390/IECPS2021-11953
APA StyleMarques, A. C., Daccak, D., Luís, I. C., Coelho, A. R. F., Pessoa, C. C., Campos, P. S., Simões, M., Almeida, A. S., Pessoa, M. F., Reboredo, F. H., Galhano, C., Ramalho, J. C., Palha, L., Silva, M. M., Legoinha, P., Oliveira, K., Pais, I. P., & Lidon, F. C. (2022). A Case Study on Minerals Interaction in the Soil and Se Enrichment in Rice (Oryza sativa L.). Biology and Life Sciences Forum, 11(1), 24. https://doi.org/10.3390/IECPS2021-11953

