Unlocking Male Youth Soccer Players’ Peak Performance Potential: Exploring the Impact of Maturation, Age, and Physical Demands on Neuromuscular Injury Risk and Recovery Following Competitive Matchplay
Abstract
1. Introduction
2. Materials and Methods
2.1. Sample Size Estimation
2.2. Participants
2.3. Experimental Design
2.4. Testing Procedure
2.5. Physical Demands
2.6. Statistical Analysis
3. Results
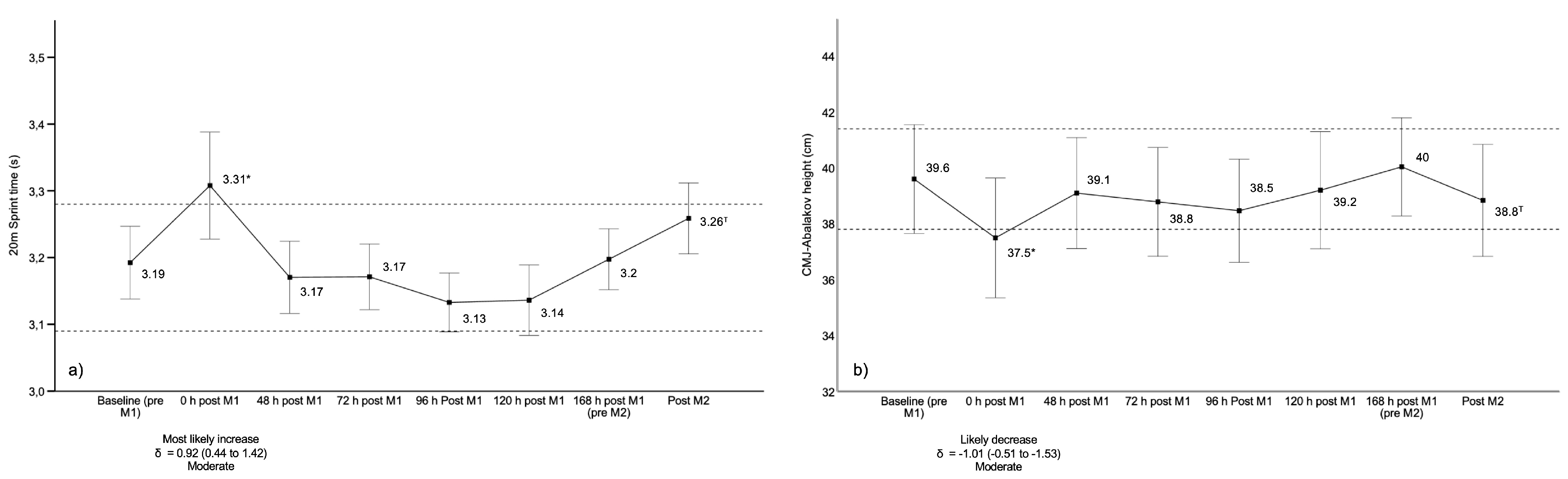
3.1. Physical Performance
3.1.1. SSC Capability
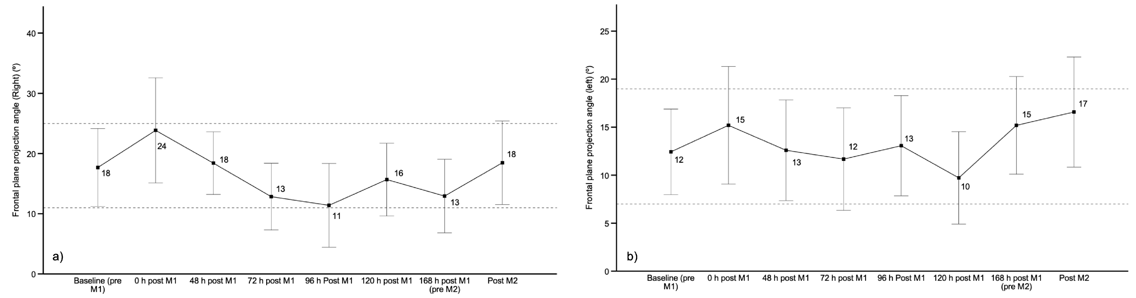
3.1.2. Landing Mechanics
3.1.3. Muscle Damage
3.1.4. Perceived Well-Being
3.1.5. Physical Demands
3.1.6. Correlation and Regression Analyses
4. Discussion
4.1. Physical Performance
4.2. SSC Capability
4.3. Landing Mechanics
4.4. Markers of Muscle Damage
4.5. Perceived Well-Being
4.6. Moderating Factors to Post-Soccer Match-Play Response Dynamics
5. Conclusions
Supplementary Materials
Author Contributions
Funding
Institutional Review Board Statement
Informed Consent Statement
Data Availability Statement
Acknowledgments
Conflicts of Interest
References
- Thorlund, J.B.; Aagaard, P.; Madsen, K. Rapid muscle force capacity changes after soccer match play. Int. J. Sports Med. 2009, 30, 273–278. [Google Scholar] [CrossRef]
- Ellis, M.; Myers, T.; Taylor, R.; Morris, R.; Akubat, I. The Dose–Response Relationship Between Training-Load Measures and Changes in Force–Time Components During a Countermovement Jump in Male Academy Soccer Players. Int. J. Sports Physiol. Perform. 2022, 17, 1634–1641. [Google Scholar] [CrossRef]
- Oliver, J.; Armstrong, N.; Williams, C. Changes in jump performance and muscle activity following soccer-specific exercise. J. Sports Sci. 2008, 26, 141–148. [Google Scholar] [CrossRef] [PubMed]
- Salter, J.; De Ste Croix, M.B.; Hughes, J.D. The moderating impact of maturation on acute neuromuscular and psycho-physiological responses to simulated soccer activity in academy soccer players. Eur. J. Sport Sci. 2021, 21, 1637–1647. [Google Scholar] [CrossRef]
- Martin-Garetxana, I.; Hughes, J.; De Ste Croix, M.; Larruskain, J.; Ayala, F. Acute pre- and post-competitive soccer match-play changes in neuromuscular injury risk factors, physical performance, and muscle integrity in youth male players. Sci. Med. Footb. 2024, 1–11. [Google Scholar] [CrossRef]
- Hughes, J.D.; Denton, K.; Lloyd, R.S.; Oliver, J.L.; De Ste Croix, M. The impact of soccer match play on the muscle damage response in youth female athletes. Int. J. Sports Med. 2018, 39, 343–348. [Google Scholar] [CrossRef]
- Croix, M.D.S.; Lehnert, M.; Maixnerova, E.; Zaatar, A.; Svoboda, Z.; Botek, M.; Varekova, R.; Stastny, P. Does maturation influence neuromuscular performance and muscle damage after competitive match-play in youth male soccer players? Eur. J. Sport Sci. 2019, 19, 1130–1139. [Google Scholar] [CrossRef] [PubMed]
- De Hoyo, M.; Cohen, D.D.; Sañudo, B.; Carrasco, L.; Álvarez-Mesa, A.; Del Ojo, J.J.; Domínguez-Cobo, S.; Mañas, V.; Otero-Esquina, C. Influence of football match time–motion parameters on recovery time course of muscle damage and jump ability. J. Sports Sci. 2016, 34, 1363–1370. [Google Scholar] [CrossRef] [PubMed]
- Lehnert, M.; Croix, M.D.S.; Zaatar, A.; Lipinska, P.; Stastny, P. Effect of a Simulated Match on Lower Limb Neuromuscular Performance in Youth Footballers—A Two Year Longitudinal Study. Int. J. Environ. Res. Public Health 2020, 17, 8579. [Google Scholar] [CrossRef]
- Hader, K.; Rumpf, M.C.; Hertzog, M.; Kilduff, L.P.; Girard, O.; Silva, J.R. Monitoring the athlete match response: Can external load variables predict post-match acute and residual fatigue in soccer? A systematic review with meta-analysis. Sports Med.-Open 2019, 5, 48. [Google Scholar] [CrossRef]
- Enright, K.; Morton, J.; Iga, J.; Lothian, D.; Roberts, S.; Drust, B. Reliability of “in-season” fitness assessments in youth elite soccer players: A working model for practitioners and coaches. Sci. Med. Footb. 2018, 2, 177–183. [Google Scholar] [CrossRef]
- Carling, C.; Lacome, M.; McCall, A.; Dupont, G.; Le Gall, F.; Simpson, B.; Buchheit, M. Monitoring of post-match fatigue in professional soccer: Welcome to the real world. Sports Med. 2018, 48, 2695–2702. [Google Scholar] [CrossRef] [PubMed]
- Cohen, J. Statistical Power Analysis for the Behavioral Sciences, 2nd ed.; Erlbaum: Hillsdale, NJ, USA, 1988. [Google Scholar]
- Dugdale, J.H.; Arthur, C.A.; Sanders, D.; Hunter, A.M. Reliability and validity of field-based fitness tests in youth soccer players. Eur. J. Sport Sci. 2019, 19, 745–756. [Google Scholar] [CrossRef] [PubMed]
- Lloyd, R.S.; Oliver, J.L.; Hughes, M.G.; Williams, C.A. Reliability and validity of field-based measures of leg stiffness and reactive strength index in youths. J. Sports Sci. 2009, 27, 1565–1573. [Google Scholar] [CrossRef] [PubMed]
- Akenhead, R.; Hayes, P.R.; Thompson, K.G.; French, D. Diminutions of acceleration and deceleration output during professional football match play. J. Sci. Med. Sport 2013, 16, 556–561. [Google Scholar] [CrossRef]
- Mirwald, R.L.; Baxter-Jones, A.D.; Bailey, D.A.; Beunen, G.P. An assessment of maturity from anthropometric measurements. Med. Sci. Sports Exerc. 2002, 34, 689–694. [Google Scholar] [CrossRef] [PubMed]
- Lee, M.D.; Wagenmakers, E.J. Bayesian Cognitive Modeling: A Practical Course; Cambridge University Press: Cambridge, UK, 2014. [Google Scholar]
- Batterham, A.M.; Hopkins, W.G. Making meaningful inferences about magnitudes. Int. J. Sports Physiol. Perform. 2006, 1, 50–57. [Google Scholar] [CrossRef]
- Hopkins, W.G. A spreadsheet for deriving a confidence interval, mechanistic inference and clinical inference from a p-value. Sportscience 2019, 11, 11–16. [Google Scholar]
- Hopkins, W.G. Magnitude-Based Decisions. 2019. Available online: http://sportsci.org/2019/index.html (accessed on 17 June 2023).
- Hopkins, W.G. Measures of reliability in sports medicine and science. Sports Med. 2000, 30, 1–15. [Google Scholar] [CrossRef]
- Wagner, H.; Sperl, B.; Bell, J.W.; Von Duvillard, S.P. Testing specific physical performance in male team handball players and the relationship to general tests in team sports. J. Strength Cond. Res. 2019, 33, 1056–1064. [Google Scholar] [CrossRef]
- Munro, A.G.; Herrington, L.C. Between-session reliability of four hop tests and the agility T-test. J. Strength Cond. Res. 2011, 25, 1470–1477. [Google Scholar] [CrossRef] [PubMed]
- Becker, M.; Sperlich, B.; Zinner, C.; Achtzehn, S. Intra-individual and seasonal variation of selected biomarkers for internal load monitoring in U-19 soccer players. Front. Physiol. 2020, 11, 88. [Google Scholar] [CrossRef]
- Roe, G.; Darrall-Jones, J.; Till, K.; Phibbs, P.; Read, D.; Weakley, J.; Jones, B. Between-days reliability and sensitivity of common fatigue measures in rugby players. Int. J. Sports Physiol. Perform. 2016, 11, 581–586. [Google Scholar] [CrossRef]
- Hinkle, D.E.; Wiersma, W.; Jurs, S.G. Applied Statistics for the Behavioral Sciences, 5th ed.; Houghton Mifflin: Boston, MA, USA, 2003. [Google Scholar]
- Silva, J.R.; Rumpf, M.C.; Hertzog, M.; Castagna, C.; Farooq, A.; Girard, O.; Hader, K. Acute and residual soccer match-related fatigue: A systematic review and meta-analysis. Sports Med. 2018, 48, 539–583. [Google Scholar] [CrossRef] [PubMed]
- Palucci Vieira, L.H.; Carling, C.; Barbieri, F.A.; Aquino, R.; Santiago, P.R.P. Match running performance in young soccer players: A systematic review. Sports Med. 2019, 49, 289–318. [Google Scholar] [CrossRef]
- Reynolds, J.; Connor, M.; Jamil, M.; Beato, M. Quantifying and comparing the match demands of U18, U23, and 1st team English professional soccer players. Front. Physiol. 2021, 12, 706451. [Google Scholar] [CrossRef]
- Meyers, R.W.; Moeskops, S.; Oliver, J.L.; Hughes, M.G.; Cronin, J.B.; Lloyd, R.S. Lower-limb stiffness and maximal sprint speed in 11–16-year-old boys. J. Strength Cond. Res. 2019, 33, 1987–1995. [Google Scholar] [CrossRef]
- Smeets, A.; Vanrenterghem, J.; Staes, F.; Verschueren, S. Match play induced changes in landing biomechanics with special focus on fatigability. Med. Sci. Sports Exerc. 2019, 51, 1884–1894. [Google Scholar] [CrossRef]
- Wright, M.; Chesterton, P.; O’Rouke, A.; Wijnbergen, M.; Macpherson, T. The effect of a simulated soccer match on anterior cruciate ligament injury risk factors. Int. J. Sports Med. 2017, 38, 620–626. [Google Scholar] [CrossRef] [PubMed][Green Version]
- Chou, T.Y.; Nosaka, K.; Chen, T.C. Muscle damage and performance after single and multiple simulated matches in university elite female soccer players. Int. J. Environ. Res. Public Health 2021, 18, 4134. [Google Scholar] [CrossRef]
- Johnson, A.; Doherty, P.J.; Freemont, A. Investigation of growth, development, and factors associated with injury in elite schoolboy footballers: Prospective study. BMJ 2009, 338, b490. [Google Scholar] [CrossRef] [PubMed]
- Metaxas, T.I.; Mandroukas, A.; Vamvakoudis, E.; Kotoglou, K.; Ekblom, B.; Mandroukas, K. Muscle fiber characteristics, satellite cells and soccer performance in young athletes. J. Sports Sci. Med. 2014, 13, 493–501. [Google Scholar] [PubMed]
- Metaxas, T.; Mandroukas, A.; Michailidis, Y.; Koutlianos, N.; Christoulas, K.; Ekblom, B. Correlation of fiber-type composition and sprint performance in youth soccer players. J. Strength Cond. Res. 2019, 33, 2629–2634. [Google Scholar] [CrossRef]
- Draganidis, D.; Chatzinikolaou, A.; Avloniti, A.; Barbero-Álvarez, J.C.; Mohr, M.; Malliou, P.; Gourgoulis, V.; Deli, C.K.; Douroudos, I.I.; Margonis, K.; et al. Recovery kinetics of knee flexor and extensor strength after a football match. PLoS ONE 2015, 10, e0128072. [Google Scholar]
- Tzatzakis, T.; Papanikolaou, K.; Draganidis, D.; Tsimeas, P.; Kritikos, S.; Poulios, A.; Laschou, V.C.; Deli, C.K.; Chatzinikolaou, A.; Batrakoulis, A.; et al. Recovery kinetics after speed-endurance training in male soccer players. Int. J. Sports Physiol. Perform. 2020, 15, 395–408. [Google Scholar] [CrossRef]
- Armstrong, N.; Van Mechelen, W. Oxford Textbook of Children’s Sport and Exercise Medicine, 4th ed.; Oxford University Press: Oxford, UK, 2023. [Google Scholar]
- Lee, E.C.; Fragala, M.S.; Kavouras, S.A.; Queen, R.M.; Pryor, J.L.; Casa, D.J. Biomarkers in sports and exercise: Tracking health, performance, and recovery in athletes. J. Strength Cond. Res. 2017, 31, 2920. [Google Scholar] [CrossRef] [PubMed]
- Roe, T.K.; Darrall-Jones, J.; Phibbs, P.; Weakley, J.; Read, D.; Jones, B. Changes in markers of fatigue following a competitive match in elite academy rugby union players. S. Afr. J. Sports Med. 2016, 28, 2–5. [Google Scholar] [CrossRef]
- Saw, A.E.; Main, L.C.; Gastin, P.B. Monitoring the athlete training response: Subjective self-reported measures trump commonly used objective measures: A systematic review. Br. J. Sports Med. 2016, 50, 281–291. [Google Scholar] [CrossRef]
- McHugh, M.P.; Connolly, D.A.; Eston, R.G.; Gleim, G.W. Exercise-induced muscle damage and potential mechanisms for the repeated bout effect. Sports Med. 1999, 27, 157–170. [Google Scholar] [CrossRef]
- Peake, J.M.; Neubauer, O.; Della Gatta, P.A.; Nosaka, K. Muscle damage and inflammation during recovery from exercise. J. Appl. Physiol. 2017, 122, 559–570. [Google Scholar] [CrossRef]






| Baseline (pre M1) | 0 h Post M1 | 48 h Post M1 | 72 h Post M1 | 96 h Post M1 | 120 h Post M1 | 168 h Post M1 | Post M2 | |
|---|---|---|---|---|---|---|---|---|
| Muscle damage | ||||||||
| Creatine kinase (I·Ul−1) | ||||||||
| 241.2 ± 192.4 | 388.9 ± 343.4 | 249.9 ± 210.1 | 350.6 ± 195.9 | 285 ± 179.7 | 319.5 ± 157.3 | 188.9 ± 76.4 | 336.2 ± 202.3 |
| 327.3 ± 304.1 | 580.5 ± 403.5 | 427.9 ± 480.5 | 453.3 ± 445.2 | 464.5 ± 507.1 | 433.4 ± 278.8 | 260.2 ± 206.4 | 548.5 ± 352.8 |
| Urea (mmol/L) | ||||||||
| 4.92 ± 0.95 | 5.93 ± 2.21 | 5.16 ± 1.63 | 5.57 ± 1.46 | 6.23 ± 1.95 | 6.58 ± 1.43 | 5.25 ± 1.07 | 6.14 ± 1.37 |
| 4.95 ± 1.26 | 5.2 ± 1.7 | 6.01 ± 1.65 | 6.23 ± 0.93 | 6.09 ± 1.19 | 5.91 ± 1.67 | 5.27 ± 1.59 | 5.93 ± 1.44 |
| Physical performance | ||||||||
| CMJ–Abalakov height (cm) | ||||||||
| 36.9 ± 3.3 | 35.1 ± 4.8 | 36.9 ± 3.9 | 36.4 ± 3.9 | 36.4 ± 3.4 | 36.4 ± 3.9 | 38.3 ± 4 | 36.3 ± 4.2 |
| 42.9 ± 3.5 | 40.6 ± 3.3 | 41.7 ± 4 | 41.6 ± 3.6 | 41.4 ± 3.7 | 42.7 ± 3.6 | 43.1 ± 3.7 | 43 ± 3.6 |
| 20 m Sprint time (s) | ||||||||
| 3.27 ± 0.11 | 3.38 ± 0.16 | 3.24 ± 0.09 | 3.22 ± 0.11 | 3.19 ± 0.08 | 3.21 ± 0.08 | 3.23 ± 0.1 | 3.3 ± 0.1 |
| 3.11 ± 0.11 | 3.21 ± 0.18 | 3.09 ± 0.12 | 3.12 ± 0.09 | 3.06 ± 0.09 | 3.04 ± 0.09 | 3.13 ± 0.1 | 3.14 ± 0.08 |
| SCC capability | ||||||||
| Leg stiffness (kN∙m−1) | ||||||||
| 29.6 ± 3.3 | 27.2 ± 2.7 | 27.9 ± 3.8 | 27.4 ± 3.8 | 26.2 ± 1.9 | 26.2 ± 3.1 | 26.4 ± 2.7 | 26.7 ± 4.7 |
| 28.8 ± 4.5 | 24.7 ± 4.8 | 29.5 ± 8.4 | 26 ± 3.9 | 26.7 ± 3.6 | 27.2 ± 5.8 | 26.3 ± 4.7 | 26.7 ± 3.9 |
| Reactive strength index | ||||||||
| 1.07 ± 0.26 | 0.96 ± 0.28 | 1.06 ± 0.29 | 1.04 ± 0.26 | 0.99 ± 0.32 | 1.01 ± 0.32 | 1.05 ± 0.31 | 0.92 ± 0.29 |
| 0.95 ± 0.22 | 0.89 ± 0.26 | 1.05 ± 0.23 | 1.01 ± 0.31 | 1.08 ± 0.27 | 1.11 ± 0.37 | 1.15 ± 0.31 | 1.05 ± 0.27 |
| Landing mechanics | ||||||||
| FPPA (right) (°) | ||||||||
| 22.7 ± 16.6 | 28.8 ± 25.5 | 18.3 ± 12.7 | 10.6 ± 13.4 | 9.9 ± 15.9 | 16.3 ± 12.1 | 12.9 ± 15.9 | 20.9 ± 15.7 |
| 11.6 ± 10.4 | 17.2 ± 7.6 | 17.6 ± 12.1 | 15.3 ± 12.3 | 13.2 ± 16.9 | 14.1 ± 16.9 | 11.7 ± 12.9 | 15.5 ± 16.8 |
| FPPA (left) (°) | ||||||||
| 12.9 ± 11.4 | 18.6 ± 15.8 | 14.1 ± 12.2 | 14.7 ± 12.8 | 12.9 ± 14.9 | 10.2 ± 10.6 | 17.1 ± 13.2 | 17.7 ± 14.6 |
| 12.9 ± 10 | 11.9 ± 12 | 11.4 ± 12.8 | 7.9 ± 11.2 | 13.9 ± 8.2 | 10 ± 12.7 | 12.7 ± 9.7 | 13.8 ± 12.7 |
| Perceived well-being | ||||||||
| 78 ± 6.2 | 74.6 ± 6.6 | 78.9 ± 6.7 | 79.4 ± 10.6 | 76 ± 8.1 | 78.3 ± 8.8 | 80 ± 6.5 | 70.3 ± 8.5 |
| 77.1 ± 6.9 | 68.7 ± 5.6 | 78.5 ± 4.8 | 78.5 ± 7.2 | 74.9 ± 5.1 | 75.6 ± 6 | 74.2 ± 5.8 | 71.3 ± 6.1 |
| Match 1 | 48 h Post-Match 1 | 72 h Post-Match 1 | 96 h Post-Match 1 | 120 h Post-Match 1 | Match 2 | |
|---|---|---|---|---|---|---|
| Total distance covered (m) *†‡ | ||||||
| 5913.3 ± 1653.8 48H,72H,96H | 4523.5 ± 569.2 M1,72H,M2 | 3217.3 ± 473.9 M1,48H,96H,120H,M2 | 4590 ± 447.2 M1,72H,M2 | 4859.9 ± 646.2 72H | 6355.5 ± 2256.4 48H,72H,96H |
| 8558.1 ± 1369.2 48H,72H,96H,120H | 4517.8 ± 473.7 M1,72H,M2 | 3476.5 ± 258.3 M1,48H,96H,M2 | 4256.8 ± 495.8 M1,72H,M2 | 3629.6 ± 849.6 M1,M2 | 6738.3 ± 1932.3 48H,72H,96H,120H |
| Distance covered at low-speed running (<13 km/h) (m) *† | ||||||
| 4606.6 ± 1357.7 72H | 3691.9 ± 407.6 72H | 2852.9 ± 331.9 M1,48H,96H,120H,M2 | 3925.6 ± 351.1 72H | 3825.5 ± 451.4 72H | 5053.5 ± 1815.1 72H |
| 6237.8 ± 2091 48H,72H,96H,120H | 3648.5 ± 320.1 M1,72H,M2 | 3120.0 ± 213.4 M1,48H,96H,M2 | 3592.5 ± 380.4 M1,72H,M2 | 2977.5 ± 734.7 M1,M2 | 5535.2 ± 1603.5 48H,72H,96H,M2 |
| Distance covered at moderate-speed running (13–16 km/h) (m) *†‡ | ||||||
| 706.3 ± 199 72H,96H | 508.5 ± 186.3 72H | 244.2 ± 120.4 M1,48H,96H,120H,M2 | 390.6 ± 96.0 M1,72H,120H,M2 | 548.6 ± 156.3 72H,96H | 741.5 ± 265.1 72H,96H |
| 939.5 ± 259.9 M1,48H,72H,96H,120H,M2 | 481.9 ± 115.7 M1,72H | 201.6 ± 62.5 M1,48H,96H,120H,M2 | 355.2 ± 86.5 M1,72H,M2 | 347.5 ± 111 M1,72H,M2 | 609.9 ± 179.8 M1,72H,96H,120H |
| Distance covered at high-speed running (16–19 km/h) (m) *† | ||||||
| 368.5 ± 106.3 72H,96H | 248.6 ± 119.9 72H | 98.1 ± 47.1 M1,48H,96H,120H,M2 | 199.6 ± 49.6 M1,72H,120H,M2 | 335.0 ± 105.1 72H,96H | 354.1 ± 162.6 72H,96H |
| 488.6 ± 149.8 48H,72H,96H,120H | 274.3 ± 76.2 M1,72H | 109.9 ± 46.5 M1,48H,96H,120H,M2 | 206.8 ± 58.6 M1,72H | 193.7 ± 55.3 M1,72H | 320.3 ± 125.9 M1,72H |
| Distance covered sprinting (>19 km/h) (m) *†‡ | ||||||
| 232.0 ± 76.4 48H,72H,96H,120H | 91.6 ± 57.8 M1,72H,M2 | 22.1 ± 24.9 M1,48H,96H,120H,M2 | 74.5 ± 26.3 M1,72H,120H,M2 | 150.9 ± 70.8 M1,72H,96H,M2 | 263.7 ± 116.4 48H,72H,96H,120H |
| 439.3 ± 132.5 48H,72H,96H,120H | 113 ± 45.4 M1,72H,M2 | 44.9 ± 28.6 M1,48H,96H,120H,M2 | 102.2 ± 41.5 M1,72H,M2 | 110.7 ± 57.7 M1,72H,M2 | 273 ± 134 48H,72H,96H,120H |
| Accelerations (number) † | ||||||
| 32.3 ± 13 | 35.3 ± 10.6 | 32.1 ± 10.8 | 34.5 ± 8.7 | 33.4 ± 8 | 31.7 ± 15.5 |
| 49 ± 10.5 120H | 38.8 ± 12 | 39.9 ± 15.2 | 42.8 ± 12.8 | 27.8 ± 13.1 M1 | 46.3 ± 16.2 |
| Decelerations (number) | ||||||
| 43.3 ± 12.6 | 39.1 ± 11.3 | 35.6 ± 15.1 | 46.6 ± 14.9 | 51.3 ± 15.5 | 50.5 ± 21.6 |
| 56 ± 22.2 | 38.3 ± 11.4 | 38.1 ± 11.7 | 46 ± 18.1 | 37.2 ± 11 | 53.6 ± 14.7 |
| Sprints (number) *†‡ | ||||||
| 20.2 ± 6.8 48H,72H,96H | 9.6 ± 5.1 M1,72H,120H,M2 | 2.2 ± 2.3 M1,48H,96H,120H,M2 | 8.2 ± 3 M1,72H,120H,M2 | 16.9 ± 7.2 48H,72H,96H | 20.7 ± 7.8 48H,72H,96H |
| 35.6 ± 11.9 48H,72H,96H,120H | 14.3 ± 6 M1,72H | 6.1 ± 2.9 M1,48H,96H,M2 | 12.5 ± 4.5 M1,72H | 11.1 ± 4.7 M1,M2 | 22.8 ± 10.3 72H,120H |
Disclaimer/Publisher’s Note: The statements, opinions and data contained in all publications are solely those of the individual author(s) and contributor(s) and not of MDPI and/or the editor(s). MDPI and/or the editor(s) disclaim responsibility for any injury to people or property resulting from any ideas, methods, instructions or products referred to in the content. |
© 2024 by the authors. Licensee MDPI, Basel, Switzerland. This article is an open access article distributed under the terms and conditions of the Creative Commons Attribution (CC BY) license (https://creativecommons.org/licenses/by/4.0/).
Share and Cite
Martin-Garetxana, I.; Ayala, F.; De Ste Croix, M.; Larruskain, J.; Lekue, J.; Hughes, J. Unlocking Male Youth Soccer Players’ Peak Performance Potential: Exploring the Impact of Maturation, Age, and Physical Demands on Neuromuscular Injury Risk and Recovery Following Competitive Matchplay. Youth 2024, 4, 1287-1304. https://doi.org/10.3390/youth4030081
Martin-Garetxana I, Ayala F, De Ste Croix M, Larruskain J, Lekue J, Hughes J. Unlocking Male Youth Soccer Players’ Peak Performance Potential: Exploring the Impact of Maturation, Age, and Physical Demands on Neuromuscular Injury Risk and Recovery Following Competitive Matchplay. Youth. 2024; 4(3):1287-1304. https://doi.org/10.3390/youth4030081
Chicago/Turabian StyleMartin-Garetxana, Imanol, Francisco Ayala, Mark De Ste Croix, Jon Larruskain, Josean Lekue, and Jonathan Hughes. 2024. "Unlocking Male Youth Soccer Players’ Peak Performance Potential: Exploring the Impact of Maturation, Age, and Physical Demands on Neuromuscular Injury Risk and Recovery Following Competitive Matchplay" Youth 4, no. 3: 1287-1304. https://doi.org/10.3390/youth4030081
APA StyleMartin-Garetxana, I., Ayala, F., De Ste Croix, M., Larruskain, J., Lekue, J., & Hughes, J. (2024). Unlocking Male Youth Soccer Players’ Peak Performance Potential: Exploring the Impact of Maturation, Age, and Physical Demands on Neuromuscular Injury Risk and Recovery Following Competitive Matchplay. Youth, 4(3), 1287-1304. https://doi.org/10.3390/youth4030081

