Dyes from the Southern Lands: An Alternative or a Dream?
Abstract
1. Introduction
2. Materials and Methods
2.1. Dyes Obtaining
2.2. Photoanode Sensitization
2.3. Statistical Considerations
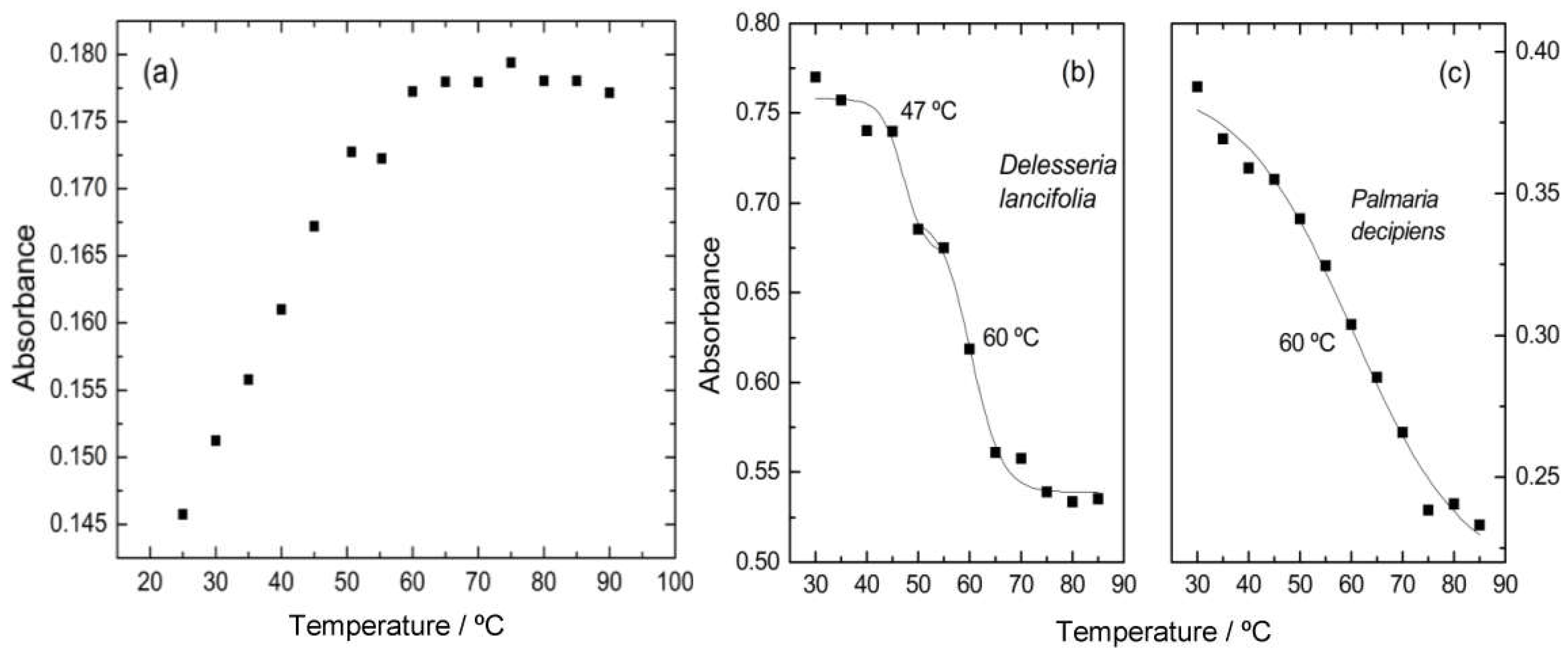
3. Results and Discussion
3.1. Spectroscopy Evaluation
3.2. FTIR
3.3. Redox Behaviour
3.4. QCM and EQCM Evaluation
3.5. Energy Balance
3.6. Thermal Stability
3.7. Electrochemical Characterization of the Assembled DSSC
3.7.1. Efficiencies from J vs. E Profiles
3.7.2. Electrochemical Impedance Measurements
4. Conclusions
Funding
Institutional Review Board Statement
Informed Consent Statement
Data Availability Statement
Acknowledgments
Conflicts of Interest
References
- Barraud, E. Stained Glass Solar Windows for the Swiss Tech Convention Center. Chimia 2013, 67, 181–182. [Google Scholar] [CrossRef] [PubMed]
- Muñoz-Garcia, A.B.; Benesperi, I.; Boschloo, G.; Concepcion, J.J.; Delcamp, J.H.; Gibson, E.A.; Meyer, G.J.; Pavone, M.; Pettersson, H.; Hagfeldt, A.; et al. Dye-sensitized solar cells strike back. Chem. Soc. Rev. 2021, 50, 12450–12550. [Google Scholar] [CrossRef] [PubMed]
- Roy, A.; Ghosh, A.; Bhandari, S.; Selvaraj, P.; Sundaram, S.; Mallick, T.K. Color Comfort Evaluation of Dye-Sensitized Solar Cell (DSSC) Based Building-Integrated Photovoltaic (BIPV) Glazing after 2 Years of Ambient Exposure. J. Phys. Chem. C 2019, 123, 23834–23837. [Google Scholar] [CrossRef]
- Roslan, N.; Ya’acob, M.E.; Jamaludin, D.; Hashimoto, Y.; Othman, M.H.; Noor Iskandar, A.; Ariffin, M.R.; Ibrahim, M.H.; Mailan, J.; Jamaluddin, A.H.; et al. Dye-Sensitized Solar Cell (DSSC): Effects on Light Quality, Microclimate, and Growth of Orthosiphon stamineus in Tropical Climatic Condition. Agronomy 2021, 11, 631. [Google Scholar] [CrossRef]
- Lu, L.; Ya’acob, M.E.; Anuar, M.S.; Chen, G.; Othman, M.H.; Noor Iskandar, A.; Roslan, N. Thermal analysis of a portable DSSC mini greenhouse for botanical drugs cultivation. Energy Rep. 2020, 6, 238–253. [Google Scholar] [CrossRef]
- Mariotti, N.; Bonomo, M.; Fagiolari, L.; Barbero, N.; Gerbaldi, C.; Bella, F.; Barolo, C. Recent advances in eco-friendly and cost-effective materials towards sustainable dye-sensitized solar cells. Green Chem. 2020, 22, 7168–7218. [Google Scholar] [CrossRef]
- Parisi, M.L.; Maranghi, S.; Basosi, R. The evolution of the dye sensitized solar cells from Grätzel prototype to up-scaled solar applications: A life cycle assessment approach. Renew. Sustain. Energy Rev. 2014, 39, 124–138. [Google Scholar] [CrossRef]
- Cannavale, A.; Martellotta, F.; Fiorito, F.; Ayr, U. The Challenge for Building Integration of Highly Transparent Photovoltaics and Photoelectrochromic Devices. Energies 2020, 13, 1929. [Google Scholar] [CrossRef]
- Ursu, D.; Vajda, M.; Miclau, M. Highly efficient dye-sensitized solar cells for wavelength-selective greenhouse: A promising agrivoltaic system. Int. J. Energy Res. 2022, 46, 18550–18561. [Google Scholar] [CrossRef]
- Hyun, J.Y.; Park, B.R.; Kim, N.H.; Moon, J.W. Building energy performance of DSSC BIPV windows in accordance with the lighting control methods and climate zones. Sol. Energy 2022, 244, 279–288. [Google Scholar] [CrossRef]
- Su, X.; Zhang, L.; Luo, Y.; Liu, Z. Energy performance of a reversible window integrated with photovoltaic blinds in Harbin. Build. Environ. 2022, 213, 108861–108876. [Google Scholar] [CrossRef]
- Vesce, L.; Mariani, P.; Calamante, M.; Dessì, A.; Mordini, A.; Zani, L.; Di Carlo, A. Process Engineering of Semitransparent DSSC Modules and Panel Incorporating an Organic Sensitizer. Sol. RRL 2022, 6, 2200403. [Google Scholar] [CrossRef]
- Venkatesan, S.; Chien, T.Y.; Teng, H.; Lee, Y.L. High performance photoelectrodes prepared using Au@P3HT composite nanoparticles for dye-sensitized solar cells. J. Alloys Compd. 2022, 926, 166822–166833. [Google Scholar] [CrossRef]
- Laxmi, T.; Piyush, B.; Rahul, D.; Bishwajit, C. Enhanced Efficiency of Dye Sensitized Solar Cell Using Eu Doped TiO2-ZrO2 Nanocomposite. Recent Pat. Nanotechnol. 2022, 16, 333–338. [Google Scholar]
- Uğur, A.; Imer, A.G.; Gülcan, M. Enhancement in the photovoltaic efficiency of dye-sensitized solar cell by doping TiO2 with MIL-101 MOF structure. Mater. Sci. Semicond. Process 2022, 150, 106951–106960. [Google Scholar] [CrossRef]
- Ramakrishnan, V.M.; Rajesh, G.; Selvakumar, P.; Flores, M.; Muthukumarasamy, N.; Velauthapillai, D.; Lan Chi, N.T.; Pugazhendhi, A. TiO2/AgO composites by one step photo reduction technique as electron transport layers (ETL) for dye-sensitized solar cells. Chemosphere 2022, 305, 134953–134963. [Google Scholar] [CrossRef]
- Yang, A.N.; Lin, J.T.; Li, C.T. Electroactive and Sustainable Cu-MOF/PEDOT Composite Electrocatalysts for Multiple Redox Mediators and for High-Performance Dye-Sensitized Solar Cells. ACS Appl. Mater. Interfaces 2021, 13, 8435–8444. [Google Scholar] [CrossRef]
- Fagiolari, L.; Varaia, E.; Mariotti, N.; Bonomo, M.; Barolo, C.; Bella, F. Poly(3,4-ethylenedioxythiophene) in Dye-Sensitized Solar Cells: Toward Solid-State and Platinum-Free Photovoltaics. Adv. Sustain. Syst. 2021, 5, 2100025–2100057. [Google Scholar] [CrossRef]
- Bandara, T.; Hansadi, J.; Bella, F. A review of textile dye-sensitized solar cells for wearable electronics. Ionics 2022, 28, 2563–2583. [Google Scholar] [CrossRef]
- Pirrone, N.; Bella, F.; Hernández, S. Solar H2 production systems: Current status and prospective applications. Green Chem. 2022, 24, 5379–5402. [Google Scholar] [CrossRef]
- Fagiolari, L.; Sampò, M.; Lamberti, A.; Amici, J.; Francia, C.; Bodoardo, S.; Bella, F. Integrated energy conversion and storage devices: Interfacing solar cells, batteries and supercapacitors. Energy Storage Mater. 2022, 51, 400–434. [Google Scholar] [CrossRef]
- Li, D.; Huang, Y.; Chen, Z. Performance investigation of a system hybridizing dye-sensitized solar cell with thermoelectric devices for power and cooling. Int. J. Energy Res. 2022, 46, 16679–16692. [Google Scholar] [CrossRef]
- Pinto, A.L.; Cruz, H.; Oliveira, J.; Araújo, P.; Cruz, L.; Gomes, V.; Silva, C.P.; Silva, G.T.M.; Mateus, T.; Calogero, G.; et al. Dye-sensitized solar cells based on dimethylamino-π-bridgepyrano anthocyanin dyes. Sol. Energy 2020, 206, 188–199. [Google Scholar] [CrossRef]
- Barichello, J.; Mariani, P.; Matteocci, F.; Vesce, L.; Reale, A.; Di Carlo, A.; Lanza, M.; Di Marco, G.; Polizzi, S.; Calogero, G. The Golden Fig: A Plasmonic Effect Study of Organic-Based Solar Cells. Nanomaterials 2022, 12, 267. [Google Scholar] [CrossRef]
- Golshan, M.; Osfouri, S.; Azin, R.; Jalali, T.; Moheimani, N.R. Co-sensitization of natural and low-cost dyes for efficient panchromatic light-harvesting using dye-sensitized solar cells. J. Photochem. Photobiol. A Chem. 2021, 417, 113345–113356. [Google Scholar] [CrossRef]
- Orona-Navar, A.; Aguilar-Hernandez, I.; Nigam, K.D.P.; Cerdan-Pasar, A.; Ornelas-Soto, N. Alternative sources of natural pigments for dye-sensitized solar cells: Algae, cyanobacteria, bacteria, archaea and fungi. J. Biotechnol. 2021, 332, 29–53. [Google Scholar] [CrossRef]
- Amogne, N.Y.; Ayele, D.W.; Tsigie, Y.A. Recent advances in anthocyanin dyes extracted from plants for dye sensitized solar cell. Mater. Renew. Sustain. Energy 2020, 9, 23–39. [Google Scholar] [CrossRef]
- Leite, A.M.B.; da Cunha, H.O.; Rodrigues, J.A.F.C.R.R.; Babu, S.; de Barros, A.L.F. Construction and characterization of organic photovoltaic cells sensitized by Chrysanthemum based natural dye. Spectrochim. Acta A Mol. Biomol. Spectrosc. 2023, 284, 121780–121788. [Google Scholar] [CrossRef]
- Prakash, P.; Balasundaram, J.; Al-Enizi, A.M.; Ubaidullah, M.; Pandit, B. Effect of photovoltaic performance of plant-based cocktail DSSCs and adsorption of nano TiO2 onto the solvent-influenced dye sensitizers. Opt. Mater. 2022, 133, 113031–113040. [Google Scholar] [CrossRef]
- Bist, A.; Chatterjee, S. Review on Efficiency Enhancement Using Natural Extract Mediated Dye-Sensitized Solar Cell for Sustainable Photovoltaics. Energy Technol. 2021, 9, 2001058–2001077. [Google Scholar] [CrossRef]
- Zhou, H.; Wu, L.; Gao, Y.; Ma, T. Dye-sensitized solar cells using 20 natural dyes as sensitizers. J. Photochem. Photobiol. A Chem. 2011, 219, 188–194. [Google Scholar] [CrossRef]
- Hao, S.; Wu, S.; Huang, Y.; Lin, Y. Natural dyes as photosensitizers for dye-sensitized solar cell. Sol. Energy 2006, 80, 209–214. [Google Scholar] [CrossRef]
- Marcati, A.; Ursu, A.V.; Laroche, C.; Soanen, N.; Marchal, L.; Jubeau, S.; Djelveh, G.; Michaud, P. Extraction and fractionation of polysaccharides and B-phycoerythrin from the microalga Porphyridium cruentum by membrane technology. Algal Res. 2014, 5, 258–263. [Google Scholar] [CrossRef]
- Cerdá, M.F. A small-sized DSSC panel based on the Uruguayan national flower dye tested at the Antarctic Artigas Base. EPJ Photovolt. 2022, 13, 2–11. [Google Scholar] [CrossRef]
- Barea, E.M.; Bisquert, J. Properties of chromophores determining recombination at TiO2-dye-electrolyte interface. Langmuir 2013, 29, 8773–8781. [Google Scholar] [CrossRef]
- Narayan, M.R. Review: Dye sensitized solar cells based on natural photosensitizers. Renew. Sustain. Energy Rev. 2012, 16, 208–215. [Google Scholar] [CrossRef]
- Al-Alwani, M.A.M.; Mohamad, A.B.; Ludin, N.A.; Kadhum, A.A.H.; Sopian, K. Dye-sensitised solar cells: Development, structure, operation principles, electron kinetics, characterisation, synthesis materials and natural photosensitisers. Renew. Sustain. Energy Rev. 2016, 65, 183–213. [Google Scholar] [CrossRef]
- Calogero, G.; Bartolotta, A.; Di Marco, G.; Di Carlo, A.; Bonaccorso, F. Vegetable-based dye-sensitized solar cells. Chem. Soc. Rev. 2015, 44, 3244–3495. [Google Scholar] [CrossRef] [PubMed]
- Enciso, P.; Decoppet, J.D.; Grätzel, M.; Wörner, M.; Cabrerizo, F.M.; Cerdá, M.F. A cockspur for the DSS cells: Erythrina crista-galli sensitizers. Spectrochim. Acta A Mol. Biomol. Spectrosc. 2017, 176, 91–98. [Google Scholar] [CrossRef]
- González Steffano, M.; Alvarez, E.; Sosa, P.; Vázquez, C.; Cerdá, M.F. Pitanga anthocyanins as sensitizers for DSSC. INNOTEC 2022, 23, e584. [Google Scholar] [CrossRef]
- De Bon, M.; Rodríguez Chialanza, M.; Cerdá, M.F. Fucoxanthin from the Antarctic Himantothallus grandifollius as a sensitizer in DSSC. J. Iran. Chem. Soc. 2022, 19, 3627–3636. [Google Scholar] [CrossRef]
- Wang, L.J.; Fan, Y.; Parsons, R.L.; Hu, J.R.; Zhang, P.Y.; Li, F.L. A Rapid Method for the Determination of Fucoxanthin in Diatom. Mar. Drugs 2018, 16, 33. [Google Scholar] [CrossRef]
- Montagni, M.; Enciso, P.; Marizcurrena, J.J.; Castro-Sowinski, S.; Fontana, C.; Davyt, D.; Cerdá, M.F. Dye sensitized solar cells based on Antarctic Hymenobacter sp. UV11 dyes. Environ. Sustain. 2018, 1, 89–97. [Google Scholar] [CrossRef]
- Marizcurrena, J.J.; Castro-Sowinski, S.; Cerdá, M.F. Improving the performance of dye-sensitized solar cells using nanoparticles and a dye produced by an Antarctic bacterium. Environ. Sustain. 2021, 4, 881–882. [Google Scholar] [CrossRef]
- Enciso, P.; Decoppet, J.J.; Moehl, T.; Grätzel, M.; Wörner, M.; Cerdá, M.F. Influence of the Adsorption of Phycocyanin on the Performance in DSS Cells: And Electrochemical and QCM Evaluation. Int. J. Electrochem. Sci. 2016, 11, 3604–3614. [Google Scholar] [CrossRef]
- Cerdá, M.F.; Botasini, S. Co-sensitized cells from Antarctic resources using Ag nanoparticles. Surf. Interface Anal. 2020, 52, 980–984. [Google Scholar] [CrossRef]
- Yañuk, J.G.; Cabrerizo, F.M.; Dellatorre, F.G.; Cerdá, M.F. Photosensitizing role of R-phycoerythrin red protein and β-carboline alkaloids in Dye sensitized solar cell. Electrochemical and spectroscopic characterization. Energy Rep. 2020, 6, 25–36. [Google Scholar] [CrossRef]
- Lim, A.; Ekanayake, P.; Lim, L.B.L.; Bandara, J.M.R.S. Co-dominant effect of selected natural dye sensitizers in DSSC performance. Spectrochim. Acta A Mol. Biomol. Spectrosc. 2016, 167, 26–31. [Google Scholar] [CrossRef]
- Shanmugam, V.; Manoharan, S.; Anandan, S.; Murugan, R. Performance of dye-sensitized solar cells fabricated with extracts from fruits of ivy gourd and flowers of red frangipani as sensitizers. Spectrochim. Acta A Mol. Biomol. Spectrosc. 2013, 104, 35–40. [Google Scholar] [CrossRef]
- Cole, J.M.; Pepe, G.; Al Bahri, O.K.; Cooper, C.B. Cosensitization in Dye-Sensitized Solar Cells. Chem. Rev. 2019, 119, 7279–7327. [Google Scholar] [CrossRef]
- Miller, N.J.; Sampson, J.; Candeias, L.P.; Bramley, P.M.; Rice-Evans, C.A. Antioxidant activities of carotenes and xanthophylls. FEBS Lett. 1996, 384, 240–242. [Google Scholar] [CrossRef]
- Pinto, A.L.; Oliveira, J.; Araújo, P.; Calogero, G.; de Freitas, V.; Pina, F.; Parola, A.J.; Lima, J.C. Study of the multi-equilibria of red wine colorants pyranoanthocyanins and evaluation of their potential in dye-sensitized solar cells. Sol. Energy 2019, 191, 100–108. [Google Scholar] [CrossRef]
- Gadioli Tarone, A.; Betim Cazarin, C.B.; Marostica Junior, M.R. Anthocyanins: New techniques and challenges in microencapsulation. Food Res. Int. 2020, 133, 109092–109105. [Google Scholar] [CrossRef] [PubMed]
- Bastús, N.G.; Merkoçi, F.; Piella, J.; Puntes, V. Synthesis of Highly Monodisperse Citrate-Stabilized Silver Nanoparticles of up to 200 nm: Kinetic Control and Catalytic Properties. Chem. Mater. 2014, 26, 2836–2846. [Google Scholar] [CrossRef]
- Ghareaghajlou, N.; Hallaj-Nezhadi, S.; Ghasempour, Z. Nano-liposomal system based on lyophilization of monophase solution technique for encapsulating anthocyanin-rich extract from red cabbage. Dyes Pigm. 2022, 202, 110263–110272. [Google Scholar] [CrossRef]
- Stuart, B.H. Infrared Spectroscopy: Fundamentals and Applications, 1st ed.; John Wiley & Sons Ltd.: Chichester, UK, 2004; p. 224. [Google Scholar]
- Noviendri, D.; Jaswir, I.; Taher, M.; Mohamed, F.; Salleh, H.M.; Noorbatcha, I.A.; Octaviant, F.; Lestari, W.; Hendri, R.; Ahmad, H.; et al. Fabrication of Fucoxanthin-Loaded Microsphere(F-LM) By Two Steps Double-Emulsion Solvent Evaporation Method and Characterization of Fucoxanthin before and after Microencapsulation. J. Oleo Sci. 2016, 65, 641–653. [Google Scholar] [CrossRef]
- Solehah Din, N.A.; Mohd Alayudin, A.S.; Sofian-Seng, N.S.; Abdul Rahman, H.; Mohd Razali, N.S.; Joe Lim, S.; Wan Mustapha, W.A. Brown Algae as Functional Food Source of Fucoxanthin: A Review. Foods 2022, 11, 2235–2270. [Google Scholar]
- Harper, K.A.; Chandler, B.V. Structural changes of flavylium salts. Aust. J. Chem. 1967, 20, 731–744. [Google Scholar] [CrossRef]
- Harper, K.A.; Chandler, B.V. Structural changes of flavylium salts. Part II. Aust. J. Chem. 1967, 20, 745–756. [Google Scholar] [CrossRef]
- Bowie, W.T.; Feldman, M.R. Stabilities of Trivalent Carbon Species. 3. Reduction of Organic Cations by Chromous Ion. J. Am. Chem. Soc. 1977, 99, 4721–4726. [Google Scholar] [CrossRef]
- Freitas, A.A.; Shimizu, K.; Dias, L.G.; Quin, F.H. A Computational Study of Substituted Flavylium Salts and their Quinonoidal Conjugate Bases: S0→S1 Electronic Transition, Absolute pKa and Reduction Potential Calculations by DFT and Semiempirical Methods. J. Braz. Chem. Soc. 2007, 18, 1537–1546. [Google Scholar] [CrossRef]
- Liu, D.; Gao, Y.; Kispert, L.D. Electrochemical properties of natural carotenoids. J. Electroanal. Chem. 2000, 488, 140–150. [Google Scholar] [CrossRef]
- Niedzwiedzki, D.; Rusling, J.F.; Frank, H.A. Voltammetric redox potentials of carotenoids associated with the xanthophyll cycle in photosynthesis. Chem. Phys. Lett. 2005, 415, 308–312. [Google Scholar] [CrossRef]
- Gao, P.; Lin, C.L.; Shannon, C.; Salaita, G.N.; White, J.H.; Chaffins, S.A.; Hubbard, A.T. Studies of adsorbed saturated alcohols at platinum(111) electrodes by vibrational spectroscopy (EELS), Auger spectroscopy, and electrochemistry. Langmuir 1991, 7, 1515–1524. [Google Scholar] [CrossRef]
- Tremiliosi-Filho, G.; Gonzalez, E.R.; Motheo, A.J.; Belgsir, E.M.; Léger, J.M.; Lamy, C. Electro-oxidation of ethanol on gold: Analysis of the reaction products and mechanism. J. Electroanal. Chem. 1998, 444, 31–39. [Google Scholar] [CrossRef]
- Trasatti, S.; Petrii, O.A. Real surface area measurements in electrochemistry. J. Electroanal. Chem. 1992, 321, 353–376. [Google Scholar] [CrossRef]
- Adenier, A.; Chehimi, M.M.; Gallardo, I.; Pinson, J.; Vila, N. Electrochemical oxidation of aliphatic amines and their attachment to carbon and metal surfaces. Langmuir 2004, 20, 8243–8253. [Google Scholar] [CrossRef]
- Garrido, E.M.; Garrido, J.; Calheiros, R.; Marques, M.P.M.; Borges, F. Fluoxetine and norfluoxetine revisited: New insights into the electrochemical and spectroscopic properties. J. Phys. Chem. A 2009, 113, 9934–9944. [Google Scholar] [CrossRef]
- Enciso, P.; Woerner, M.; Cerdá, M.F. Photovoltaic cells based on the use of natural pigments: Phycoerythrin from red-antarctic algae as sensitizers for DSSC. MRS Adv. 2018, 3, 3557–3562. [Google Scholar] [CrossRef]
- Ficner, R.; Huber, R. Refined crystal structure of phycoerythrin from Porphyridium cruentum at 0.23-nm resolution and localization of the subunit. Eur. J. Biochem. 1993, 218, 103–106. [Google Scholar] [CrossRef]
- Isailovic, D.; Li, H.W.; Yeunget, E.S. Isolation and characterization of R-phycoerythrin subunits and enzymatic digests. J. Chromat. A 2004, 1051, 119–130. [Google Scholar] [CrossRef]
- Ogura, K.; Kobayashi, M.; Nakayama, M.; Miho, Y. In-situ FTIR studies on the electrochemical oxidation of histidine and tyrosine. J. Electroanal. Chem. 1999, 463, 218–223. [Google Scholar] [CrossRef]
- Ogura, K.; Kobayashi, M.; Nakayama, M.; Miho, Y. Electrochemical and in situ FTIR studies on the adsorption and oxidation of glycine and lysine in alkaline medium. J. Electroanal. Chem. 1998, 449, 101–109. [Google Scholar] [CrossRef]
- Wieckowski, A.; Sobkowski, J.; Zelenay, P.; Franaszczuk, K. Adsorption of acetic acid on platinum, gold and rhodium electrodes. Electrochim. Acta 1981, 26, 1111–1119. [Google Scholar] [CrossRef]
- Xiao, X.Y.; Sun, S.G. Electrosorption of p-nitrobenzoic acid at a gold electrode in perchloric acid solutions studied by using cyclic voltammetry, EQCM, in situ FTIRS and Raman spectroscopy. Electrochim. Acta 2000, 45, 2897–2902. [Google Scholar] [CrossRef]
- Urbani, M.; Sarı, F.A.; Graetzel, M.; Nazeeruddin, M.; Torres, T.; Ince, M. Effect of Peripheral Substitution on the Performance of Subphthalocyanines in DSSCs. Chem. Asian J. 2016, 11, 1223–1231. [Google Scholar] [CrossRef]
- Kathiravan, A.; Chandramohan, M.; Renganathan, R.; Sekar, S. Cyanobacterial chlorophyll as a sensitizer for colloidal TiO2. Spectrochim. Acta A 2009, 71, 1783–1787. [Google Scholar] [CrossRef]
- Hagberg, D.P.; Marinado, T.; Karlsson, K.M.; Nonomura, K.; Qin, P.; Boschloo, G.; Brinck, T.; Hagfeldt, A.; Sun, L. Tuning the HOMO and LUMO Energy Levels of Organic Chromophores for Dye Sensitized Solar Cells. J. Org. Chem. 2007, 72, 9550–9556. [Google Scholar] [CrossRef]
- Daeneke, T.; Kwon, T.H.; Holmes, A.B.; Duffy, N.W.; Bach, U.; Spiccia, L. High-efficiency dye-sensitized solar cells with ferrocene-based electrolytes. Nat. Chem. 2011, 3, 211–215. [Google Scholar] [CrossRef]
- Boschloo, G.; Hagfeldt, A. Characteristics of the Iodide/Triiodide Redox Mediator in Dye-Sensitized Solar Cells. Acc. Chem. Res. 2009, 42, 1819–1826. [Google Scholar] [CrossRef]
- DeVries, M.J.; Pellin, M.; Hupp, J.T. Dye-Sensitized Solar Cells: Driving-Force Effects on Electron Recombination Dynamics with Cobalt-Based Shuttles. Langmuir 2010, 26, 9082–9087. [Google Scholar] [CrossRef] [PubMed]
- Ndiaye, A.; Dioum, A.; Oprea, C.I.; Dumbrava, A.; Lungu, J.; Georgescu, A.; Moscalu, F.; Gîrtu, M.A.; Beye, A.C.; Youm, I. A Combined Experimental and Computational Study of Chrysanthemin as a Pigment for Dye-Sensitized Solar Cells. Molecules 2021, 26, 225. [Google Scholar] [CrossRef] [PubMed]
- Guo, K.; Li, M.; Fang, X.; Liu, X.; Sebo, B.; Zhu, Y.; Hu, Z.; Zhao, X. Preparation and enhanced properties of dye-sensitized solar cells by surface plasmon resonance of Ag nanoparticles in nanocomposite photoanode. J. Power Sources 2013, 230, 155–160. [Google Scholar] [CrossRef]
- Bisquert, J. Theory of the impedance of electron diffusion and recombination in a thin layer. J. Phys. Chem. B 2002, 106, 325–333. [Google Scholar] [CrossRef]
- Hagfeldt, A.; Boschloo, G.; Sun, L.; Kloo, L.; Pettersson, H. Dye-sensitized solar cells. Chem. Rev. 2010, 110, 6595–6663. [Google Scholar] [CrossRef] [PubMed]
- Hardin, B.E.; Snaith, H.J.; McGehee, M.D. The renaissance of dye-sensitized solar cells. Nat. Photonics 2012, 6, 162–169. [Google Scholar] [CrossRef]
- Kharkwal, D.; Sharma, N.; Gupta, S.K.; Singh Negi, C.M. Enhanced performance of dye-sensitized solar cells by co-sensitization of metal-complex and organic dye. Sol. Energy 2021, 230, 1133–1140. [Google Scholar] [CrossRef]
- Koops, S.E.; O’Regan, B.C.; Barnes, P.R.F.; Durrant, J.R. Parameters Influencing the Efficiency of Electron Injection in Dye-Sensitized Solar Cells. J. Am. Chem. Soc. 2009, 131, 4808–4818. [Google Scholar] [CrossRef]








| Dye | Voc/V | Jsc/mA cm−2 | FF | η/% | |
|---|---|---|---|---|---|
| 1 | CYA3GLU purified Raw | 0.50 | 2.63 | 0.58 | 0.73 |
| 0.60 | 1.24 | 0.66 | 0.4 | ||
| +NPs | 0.58 | 1.35 | 0.62 | 0.43 | |
| 2 | DEL3GLU | 0.55 V | 1.11 | 0.61 | 0.19 |
| +Cr complex | 0.535 V | 1.39 | 0.64 | 0.24 | |
| +NPs | 0.51 | 0.71 | 0.66 | 0.24 | |
| 3 | FUCO | 0.53 | 0.38 | 0.60 | 0.12 |
| +NPs | 0.55 | 0.4 | 0.65 | 0.14 | |
| 4 | Xantophyll | 0.46 | 0.127 | 0.51 | 0.03 |
| 5 | Violacein | 0.55 | 0.52 | 0.57 | 0.17 |
| +NPs | 0.58 | 0.57 | 0.62 | 0.23 | |
| 6 | PE | 0.61 | 0.38 | 0.54 | 0.13 |
| +NPs | 0.59 | 0.39 | 0.58 | 0.14 | |
| 7 | PC pH 8.5 pH 7.5 | 0.57 | 0.21 | 0.36 | 0.044 |
| 0.49 | 0.13 | 0.53 | 0.033 |
| Dye | Rce/Ω | Ratio Rct/Rt | Γt/s | Γrec/s | η/% | |
|---|---|---|---|---|---|---|
| 1 | CYA3GLU purified raw | 32 | 35 | 0.0018 | 0.072 | 0.73 |
| 4 | 24 | 0.0007 | 0.0160 | 0.4 | ||
| +NPs | 2 | 25 | 0.0005 | 0.0125 | 0.43 | |
| 2 | DEL3GLU | 35 | 25 | 0.001 | 0.024 | 0.19 |
| +Cr complex | 161 | 105 | 0.0009 | 0.092 | 0.24 | |
| +NPs | 45 | 20 | 0.001 | 0.022 | 0.24 | |
| 3 | FUCO | 1.5 | 25 | 0.0014 | 0.037 | 0.12 |
| +NPs | 33 | 61 | 0.0008 | 0.049 | 0.14 | |
| 4 * | Xantophyll | 4 | 340 | 0.001 | 0.330 | 0.03 |
| 5 | violacein | 1.6 | 49 | 0.004 | 0.170 | 0.17 |
| +NPs | 6.3 | 6 | 0.011 | 0.071 | 0.23 | |
| 6 | PE | 42.0 | 32 | 0.003 | 0.09 | 0.13 |
| +NPs | 80.0 | 32 | 0.003 | 0.09 | 0.14 | |
| 7 * | PC pH 8.5 pH 7.5 | 22 | 3 | 0.010 | 0.032 | 0.044 |
| 45 | 17 | 0.017 | 0.287 | 0.033 |
Publisher’s Note: MDPI stays neutral with regard to jurisdictional claims in published maps and institutional affiliations. |
© 2022 by the author. Licensee MDPI, Basel, Switzerland. This article is an open access article distributed under the terms and conditions of the Creative Commons Attribution (CC BY) license (https://creativecommons.org/licenses/by/4.0/).
Share and Cite
Cerdá, M.F. Dyes from the Southern Lands: An Alternative or a Dream? Solar 2022, 2, 519-539. https://doi.org/10.3390/solar2040031
Cerdá MF. Dyes from the Southern Lands: An Alternative or a Dream? Solar. 2022; 2(4):519-539. https://doi.org/10.3390/solar2040031
Chicago/Turabian StyleCerdá, María Fernanda. 2022. "Dyes from the Southern Lands: An Alternative or a Dream?" Solar 2, no. 4: 519-539. https://doi.org/10.3390/solar2040031
APA StyleCerdá, M. F. (2022). Dyes from the Southern Lands: An Alternative or a Dream? Solar, 2(4), 519-539. https://doi.org/10.3390/solar2040031

