Abstract
The treatment of diabetes in the modern era, with its growing patient population, represents a significant challenge due to the wide range of adverse effects associated with medications that target complex biochemical processes. Consequently, researchers are investigating the hypoglycemic potential of existing drugs. Nonsteroidal anti-inflammatory drugs (NSAIDs) are commonly used to treat pain, fever, and various inflammatory conditions. Recent studies have shown that NSAIDs, particularly salicylates, can influence glycemia through multiple mechanisms, including inhibition of gastrointestinal enzymes, blockade of KATP channels, activation of AMP-activated protein kinase (AMPK), and inhibition of NF-κB signaling, among others. Accordingly, this review explores the hypoglycemic potential of NSAIDs as well as their derivatives, and the diverse mechanisms through which these molecules may influence glucose homeostasis.
1. Introduction
Diabetes represents a metabolic disorder of diverse etiology, characterized by chronic hyperglycemia and multi-organ involvement [1,2]. Chronic hyperglycemia results from insufficient insulin production by the pancreas or impaired insulin function [3]. Approximately 10.5% of the global population is affected by diabetes, and the rising incidence among younger individuals is particularly concerning [4,5,6]. People living with diabetes experience a reduced quality of life, largely due to the development of microvascular complications resulting from poorly controlled, chronic hyperglycemia [7].
Nonsteroidal anti-inflammatory drugs (NSAIDs) are a group of medications commonly used for treating mild to moderate pain, inflammation, and fever, while aspirin has also found a role in the secondary prevention of cardiovascular disorder [8,9]. They are among the most commonly used groups of medications, with available data indicating that approximately 30 million people use them daily. Their mechanism of action is based on the inhibition of cyclooxygenase-1 (COX-1) and cyclooxygenase-2 (COX-2), key enzymes in the arachidonic acid metabolism, which influence the production of prostaglandins and thromboxane [10]. A typical NSAID molecule consists of a carboxyl or enol group attached to a planar aromatic ring [11,12]. In recent years, numerous NSAID derivatives have been synthesized, demonstrating a broad spectrum of biological activities, including cytotoxic, antioxidant, anti-inflammatory, and hypolipidemic effects, among others [13,14,15].
Given that the drugs used in the treatment of diabetes are associated with the development of a wide spectrum of side effects due to their involvement in complex biochemical processes, inhibition of alpha-glucosidase (α-glucosidase) is considered a therapeutic approach that does not cause systemic side effects due to its localization in the gut [16]. α-glucosidase is a key enzyme in carbohydrate metabolism because it leads to the hydrolysis of non-reducing ends of the substrate, and its inhibition leads to a reduced release of D-glucose in the intestines, which has a positive effect on postprandial hyperglycemia [17]. Certainly, the inhibition of α-glucosidase represents a more modern therapeutic approach in controlling hyperglycemia, especially in patients with Type 2 Diabetes Mellitus (T2DM) (Figure 1). Commercially available drugs that have an inhibitory effect on α-glucosidase are acarbose, voglibose, emiglitate and miglitol [18]. Another therapeutic approach in the treatment of T2DM is the inhibition of the enzyme α-amylase, a key enzyme in the absorption and digestion of starch [19]. Natural products provide a rich source of α-glucosidase inhibitors, while synthetic agents with monosaccharide or sugar-mimicking structures tend to show the highest potency due to the enzyme’s preference for binding disaccharide and oligosaccharide substrates [20,21]. Numerous studies have shown that nitrogen-containing heterocyclic systems frequently demonstrate notable inhibitory activity against α-glucosidase [22,23].
Figure 1.
Proposed mechanisms of NSAIDs’ hypoglycemic effects.
Structure-activity relationship (SAR) analyses of α-glucosidase inhibitors have identified several structural features important for enzyme inhibition. Besides sugar-mimetic moieties, these include ionic interactions with nucleophilic enzyme residues, hydrogen bonds within the catalytic site, as well as ionic and hydrophobic interactions outside the active site. The presence of an aromatic ring is essential for inhibitory activity. Hydroxyl groups enhance inhibitory activity, with trihydroxy substituents exhibiting the strongest activity. Although alkoxy groups are electron-donating, they weaken the activity. Furthermore, introducing chlorine substituents present in the ortho or meta positions dramatically enhances the activity. Comparing these structural motifs with NSAID structural features—namely, an aromatic ring and a carboxyl group—as well as enhancement of activity which is observed upon hydroxylation or halogenation, structural overlap becomes evident. Notably, this indicates that NSAIDs and their derivatives are capable of inhibiting both cyclooxygenase and α-glucosidase activity [24].
As early as the beginning of the 20th century, it was shown that high doses of salicylates exerted a beneficial effect on hyperglycemia in patients with milder forms of T2DM, reducing glycosuria and improving the patient’s overall clinical condition [25]. Later research confirmed their effect on hyperinsulinemia, hyperlipidemia and dyslipidemia in obese rats by increasing tissue sensitivity to insulin [26,27]. Although incompletely understood, the hypoglycemic action of NSAIDs involves multiple mechanisms acting at different cellular levels.
The hypoglycemic effect of NSAIDs has also been attributed to their modulatory effects on ion channels of pancreatic islet cells. Specifically, Li J. et al. demonstrated that mefenamic acid exerts its effect by blocking KATP channels, thereby inducing depolarization and excitation of pancreatic β-cells, which in turn promotes insulin secretion. Notably, this mechanism becomes evident only under conditions of low glucose concentrations [28]. The stimulation of IL-1β induces the expression of COX-2 mRNA, which in the presence of arachidonic acid leads to increased synthesis of PGE2. PGE2 subsequently binds to its EP3 receptors, activating the Gi/o signaling pathway and resulting in reduced intracellular cAMP levels, thereby suppressing glucose-stimulated insulin secretion (GSIS). By inhibiting PGE2 synthesis, NSAIDs prevent this effect and thus preserve glucose-mediated insulin secretion [29].
High doses of salicylates can also activate AMP-activated protein kinase (AMPK). Upon activation, AMPK inhibits ATP-consuming anabolic pathways while stimulating ATP-generating catabolic processes (e.g., fatty acid oxidation and glucose uptake), thereby enhancing cellular energy homeostasis and increasing insulin sensitivity. Besides salicylates, this mechanism has also been observed with ibuprofen and other acidic NSAIDs, but it is not specific for COX-2 inhibitors [30,31,32]. At high doses, salicylates and their prodrug—salsalate—inhibit the nuclear factor kappa-B (NF-κB), which is normally activated by various pro-inflammatory cytokines. Once activated, NF-κB triggers the production of several key pro-inflammatory mediators, including interleukin-1 (IL-1), interleukin-6 (IL-6), interferon-β (IFN-β), and tumor necrosis factor-α (TNF-α). Under physiological conditions, NF-κB remains inactive by its inhibitor, IκB (inhibitor of nuclear factor kappa B). When pro-inflammatory cytokines stimulate the cell, a kinase complex called IKK (inhibitor of nuclear factor kappa-B kinase) is formed. This complex phosphorylates IκB, leading to NF-κB activation. Several studies have shown that one of the kinases in the IKK complex, IKKβ, is a direct molecular target of salicylates [33,34].
Based on these findings, Tian et al. investigated the effects of celecoxib, a selective COX-2 inhibitor, on the progression of nonalcoholic steatohepatitis (NASH). The results indicate that celecoxib protects against hepatic steatosis and inflammation in T2DM-related NASH through inhibition of COX-2 and NF-κB activity, as well as suppression of Wnt5a and its downstream target JNK1, suggesting cross-talk between the COX-2/NF-κB and Wnt5a/JNK1 pathways. Increased non-canonical Wnt5a/JNK1 pathway expression is associated with insulin resistance and fatty acid synthesis [35]. Recent research has also shown that ibuprofen reduces sweet taste perception and calcium signaling in TAS1R2 (Taste receptor type 1 member 2)-TAS1R3 (Taste receptor type 2 member 3)-expressing cells in response to sucrose and sucralose. This modulation is observed at clinically relevant concentrations [36].
T2DM is increasingly recognized as a chronic inflammatory disorder, characterized by persistent elevation of cytokines and acute-phase mediators. This inflammatory milieu contributes not only to metabolic dysregulation but also to the progression of diabetes-associated comorbidities. Beyond their well-established anti-inflammatory properties, emerging evidence indicates that NSAIDs may influence glucose metabolism and lipid homeostasis through multiple molecular mechanisms. These observations raise the question of whether NSAID-based scaffolds may offer additional metabolic benefits beyond inflammation control. Notably, this suggests a dual benefit for patients, combining glycemic control with anti-inflammatory and their analgesic actions. However, these beneficial effects remain secondary as their prolonged use carries a risk of adverse effects [37,38].
Accordingly, the central objective of this review is to examine whether structural modification of NSAIDs, particularly through the introduction of new substituents, can enhance their antihyperglycemic potential at the molecular level. A secondary objective is to discuss the activity of modified NSAIDs in relation to established antihyperglycemic therapies, focusing on underlying molecular mechanisms.
2. Inhibition of Diabetes Mellitus-Associated Enzymes
α-glucosidase is a widely distributed exosaccharidase enzyme belonging to the hydrolase family. It is primarily localized in the brush border of intestinal epithelial cells and plays a crucial role in hydrolyzing alpha-glycosidic bonds in starch and disaccharides. Structurally, the enzyme consists of a polypeptide chain with two distinct domains: the N-terminal domain contains the catalytic center responsible for substrate hydrolysis, while the C-terminal domain facilitates substrate binding to the active site. α-glucosidase plays a crucial role in carbohydrate digestion by hydrolyzing complex polysaccharides into absorbable monosaccharides, thereby regulating postprandial glucose availability [39]. Therefore, this enzyme is considered a key therapeutic target for the discovery and development of new, more effective antidiabetic drugs with reduced toxicity. α-glucosidase inhibitors act through competitive and reversible inhibition of the enzyme, thereby preventing the hydrolysis of non-reducing oligosaccharides and decreasing the release of α-glucose from dietary carbohydrates (Figure 2). This action disrupts digestion and absorption of carbohydrates in the small intestine, ultimately lowering the body’s insulin demand. To overcome the side effects associated with current treatments, recent research has focused on developing novel NSAID derivatives that could serve as innovative therapies for diabetes management [40,41].
Figure 2.
Mechanism of action of α-glucosidase inhibitors.
Aldose reductase (AR) is a cytosolic, monomeric, NADPH-dependent enzyme belonging to the aldo-keto reductase superfamily. It catalyzes the reduction of a various carbonyl substrates to their corresponding alcohols, including the conversion of glucose to sorbitol in the polyol pathway. This enzyme also plays a role in detoxifying aldehydes generated during lipid peroxidation and is significantly involved in inflammatory processes. NADPH, an essential cofactor, is required for regenerating intracellular antioxidants, including the reduction of oxidized glutathione back to its active form, glutathione [42,43]. The produced sorbitol is subsequently oxidized to fructose by the enzyme sorbitol dehydrogenase (SDH), with NAD+ acting as a cofactor. Due to its highly hydrophilic nature, sorbitol cannot easily diffuse across cell membrane and is poorly metabolized, which can lead to osmotic damage. Increased activity of sorbitol dehydrogenase can elevate the NADH/NAD+ ratio. A shift in the NADH/NADP+ balance can impair the regeneration of glutathione, contributing to increased oxidative stress. This, in turn, reduces the activity of catalase, an enzyme responsible for converting reactive oxygen species (ROS), such as hydrogen peroxide, into water, thereby exacerbating cellular oxidative damage (Figure 3) [44,45].
Figure 3.
Polyol pathway.
Alpha-amylases (α-amylases) are intracellular enzymes that catalyze the hydrolysis of α-1,4-glycosidic bonds into shorter oligosaccharides, in amylose and amylopectin chains (Figure 4). Structurally, α-amylase consists of a single polypeptide chain which include three distinct domains, A, B, and C. These enzymes are calcium-dependent metalloenzymes, typically possessing at least one catalytic calcium-binding site. The calcium ion stabilizes the active site by linking β-sheet regions in domains A and B, and in most cases, a single calcium ion is sufficient to maintain enzyme stability. Glutamic and aspartic acid serve as the key catalytic residues in the active site. Glutamic acid functions as an acid/base catalyst, stabilizing the transition state during hydrolysis, while aspartic acid acts as a nucleophile in the formation of the reaction intermediate. Inhibitors of α-amylase slow the final stages of carbohydrate digestion, acting as carbohydrate blockers that reduce the digestibility and absorption of carbohydrates in the gastrointestinal tract, thereby preventing excessive glucose entry into the bloodstream [46,47,48].
Figure 4.
Mechanism of action of α-amylases.
2.1. Inhibitory Activity of Conventional NSAIDs Against Diabetes-Associated Enzymes
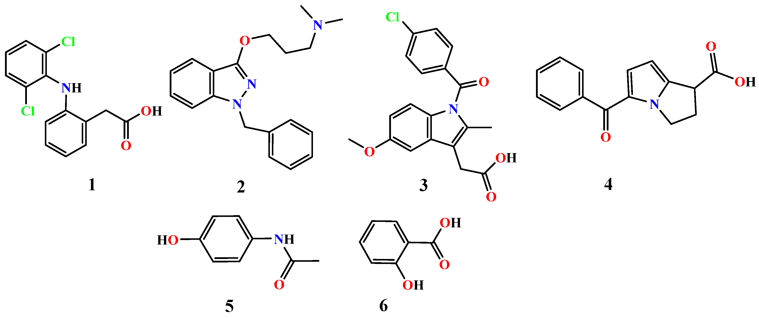
In this study, we initially evaluated the inhibitory effects of conventional NSAIDs on α-glucosidase activity in vitro. The obtained IC50 values revealed a broad spectrum of inhibitory potency among the tested compounds (1–6) (Figure 5). Indomethacin (3) exhibited no detectable inhibition of α-glucosidase. Among the tested NSAIDs, paracetamol proved to be the most potent α-glucosidase inhibitor, showing a markedly stronger effect than acarbose (Table 1) [49].
Figure 5.
Chemical structures of NSAIDs 1–6 investigated for α-glucosidase inhibition.
Table 1.
In vitro inhibitory activity of diabetes mellitus-associated enzymes by conventional NSAIDs.
Demir and colleagues investigated the inhibitory effects of tenoxicam (7), diclofenac (8), etofenamate (9), and meloxicam (10) (Figure 6) on enzymes associated with diabetes mellitus. Among the tested drugs, meloxicam demonstrated the strongest inhibition of α-glucosidase. The inhibitory potency decreased in the following order: etofenamate > tenoxicam > diclofenac. Regarding SDH inhibition, the lowest IC50 values, were obtained for meloxicam and diclofenac. In contrast, etofenamate exhibited an IC50 value above 1000 μM, while tenoxicam showed no detectable activity. Meloxicam also displayed the strongest affinity for AR, followed by tenoxicam, diclofenac, and etofenamate (Table 1). Based on these results, the authors concluded that the tested NSAIDs, owing to their inhibitory potential toward diabetes-related enzymes, may be regarded as promising candidates for selective antidiabetic agents [50].
Figure 6.
Structures of NSAIDs 7–10 tested against α-glucosidase, AR, and SDH.
2.2. Inhibitory Activity of NSAID Derivatives Against Diabetes-Associated Enzymes
Given that several conventional NSAIDs exhibit inhibitory activity against enzymes associated with diabetes mellitus, multiple series of derivatives based on their core scaffolds have been developed and investigated.
A series of biguanide-NSAID hybrids (11a–h) (Figure 7) was synthesized by linking NSAID moieties through a hydrazide bond. With regard to α-glucosidase inhibition, the IC50 values of the synthesized compounds ranged from 182.64 μg/mL to 405.43 μg/mL, indicating moderate to good inhibitory activity compared to the standard inhibitor acarbose. In contrast, α-amylase inhibition was more pronounced, with IC50 values ranging from 65.41 μg/mL to 184.75 μg/mL. Among the tested compounds, the ibuprofen-biguanide hybrid (11a) exhibited the most potent α-amylase inhibition (Table 2). Molecular docking revealed that compound 11c forms stabilizing hydrogen bonds within the active site of α-amylase (binding affinity of 11c is −9.2 kcal/mol compared to −5.6 kcal/mol for acarbose), while hydrophobic contacts further enhance its binding affinity. Moreover, a notable π-π stacking interaction with the Trp74 residue contributes to the stabilization of the compound’s aromatic rings within the enzyme’s binding pocket (Figure 8). Overall, the results suggest that α-amylase inhibition is influenced by the lipophilicity of the substituent attached to the nitrogen atom of the hydroxytriazene moiety [51].
Figure 7.
General structure of the biguanide-NSAID hybrid (11) and its derivatives (11a–h) evaluated for α-glucosidase and α-amylase inhibitory activity.
Table 2.
In vitro α-glucosidase and α-amylase inhibitory activity of biguanide-NSAID hybrids and salicylic acid derivatives.
Figure 8.
Predicted binding interactions of compound 11c within the α-amylase active site.
A series of salicylic acid derivatives (12) (Figure 9) was synthesized by Chen and colleagues to identify potential non-saccharide α-glucosidase inhibitors. Among the synthesized compounds, derivatives 12a–c displayed the strongest inhibitory activity, demonstrating superior potency compared with the reference inhibitor acarbose (Table 2). Kinetic analysis indicated a mixed, non-competitive mode of α-glucosidase inhibition. The results further revealed that ester derivatives exhibited greater inhibitory potency than their amide counterparts, while elongation of the alkyl chain and the introduction of an aryl group in the side chain enhanced enzyme inhibition. Moreover, the presence of a tosyl group attached to the secondary amine increased activity relative to the aceto substituent, owing to its stronger electron-withdrawing effect [52].
Figure 9.
General structure of salicylic acid derivatives (12) and the most active inhibitors (12a, 12b, and 12c).
Compounds 12a–c are predicted to form hydrogen bonds and π-π interactions mediated by their catechol benzene rings, with the aromatic residues of Trp406 and Trp441 within the enzyme’s active site. An extended carbon linker between the catechol and salicylic acid moieties further strengthened hydrophobic contacts, contributing to enhanced inhibitory activity. The predicted binding interactions of compound 12a within the α-glucosidase active site are illustrated in Figure 10 [52].
Figure 10.
Predicted binding interactions of compound 12a within the α-glucosidase active site.
Among the tested thiosemicarbazide and azole derivatives of ibuprofen (1,3,4-oxadiazoles, 1,3,4-thiadiazoles, and 1,2,4-triazoles), the 1,3,4-oxadiazole derivatives (13) (Figure 11) exhibited the highest inhibitory potential against α-glucosidase, with 13a and 13b being the most potent inhibitors (Table 3). In contrast, the other azole derivatives and alkylated triazole analogs displayed only moderate to weak inhibitory activity compared to the reference inhibitor, acarbose [23].
Figure 11.
General structure of 1,3,4-oxadiazole derivatives of ibuprofen (13) and their most active inhibitors, 13a and 13b.
Table 3.
In vitro α-glucosidase inhibitory activity of ibuprofen derivatives.
Molecular docking analysis revealed that compound 13a formed a hydrogen bond between the amino group of its oxadiazole ring and the Glu411 residue, whereas compound 13b established a hydrogen bond between its oxadiazole ring and Asp352. In addition, a π-π T-shaped interaction was observed between the isobutyl-benzene moiety of 13a and Phe303, as well as between that of 13b and Tyr158 (Figure 12). These compounds displayed binding energies of −36.91 and −36.71 kJ/mol, substantially more favorable than that of acarbose (−6.93 kJ/mol). The SAR analysis emphasized the crucial role of both the position and nature of substituents in modulating inhibitory activity, indicating that substitution at the 2,4-position on the aromatic ring was associated with enhanced α-glucosidase inhibition [23].
Figure 12.
Predicted binding interactions of (A) compound 13a and (B) compound 13b within the α-glucosidase active site.
Daud S. et al. reported that among the investigated Schiff bases of ibuprofen derivatives (14) (Figure 13), synthesized from acylated 1,3,4-oxadiazole derivatives, compound 14a exhibited the most potent inhibitory activity against α-glucosidase, followed by compound 14b. These synthesized derivatives demonstrated significantly stronger inhibitory activity compared to the reference standard, acarbose (Table 3) [53].
Figure 13.
General structure of Schiff bases of ibuprofen derivatives (14) and their most active inhibitors, 14a and 14b.
Molecular docking studies revealed that interactions between compounds 14a and 14b and residues Glu276, His348, Asp349, and Phe177 were critical for α-glucosidase inhibition (Figure 14) These compounds displayed binding energies of −14.98 and −13.70 kJ/mol. The enhanced inhibitory potential of these compounds was attributed to the presence of electron-donating groups such as methyl group and sulfur atoms, as well as the overall electron density of the molecule. SAR analysis indicated that substitution at the R1 position with a biphenyl ring and at the R2 position with a 4-phenylthiazole moiety markedly enhanced inhibitory activity, as most evident in compound 14a [53].
Figure 14.
Predicted binding interactions of (A) compound 14a and (B) compound 14b within the active site of α-glucosidase.
Furthermore, several isatin-substituted Schiff base derivatives of ibuprofen (15) (Figure 15) also exhibited promising inhibitory activity against α-glucosidase, with IC50 values ranging from 28.2 μM to 131.1 μM, again outperforming acarbose (Table 3). Among all tested compounds, compound 15a showed the most potent activity and represents a simple isatin derivative featuring an ibuprofen moiety and a butyl substituent at the R1 position. The presence of electron-donating groups was found to significantly contribute to the inhibitory potential of the ibuprofen derivatives. Molecular docking analysis revealed that the high inhibitory activity of compound 15a (docking score −8.5426) is primarily due to the formation of a conventional hydrogen bond with Arg315 via the carbonyl group of the ibuprofen segment. Additional interactions contributing to activity included hydrophobic contacts, notably a π-π stacked interaction with Phe303 and π-alkyl interactions with Arg315 and Tyr72 (Figure 16) [54].
Figure 15.
General structure of isatin-substituted Schiff base derivatives of ibuprofen (15) and their most active inhibitor 15a.
Figure 16.
The predicted binding interactions of compound 15a within the α-glucosidase active site.
SAR analysis of the considered ibuprofen derivatives revealed that the 1,3,4-oxadiazole derivative 13a exhibited the most potent α-glucosidase inhibition (Table 3). The inhibitory activity was markedly influenced by both the nature and the position of aromatic substituents. In particular, 3,4-dichloro substitution enhanced potency relative to fluoro-substituted analogs, suggesting that electron-withdrawing effects and steric orientation play critical roles in modulating binding affinity.
Among fourteen tested amide derivatives of flurbiprofen (16) (Figure 17), seven compounds (16a–g) exhibited superior α-glucosidase inhibitory activity, compared to the standard, acarbose. Among them, compound 16d demonstrated the most potent inhibitory effect (Table 4). SAR analysis revealed that derivatives containing short-chain alkyl groups are effective α-glucosidase inhibitors, while for aromatic derivatives, the presence of electron-donating substituents enhanced the inhibitory activity. The strong activity of the most potent inhibitor, is presumed to result from the presence of a cyclohexyl group. Molecular docking studies demonstrated that all flurbiprofen amide derivatives interact with key amino acid residues within the α-glucosidase active site. Compound 16a exhibited the highest binding affinity, forming strong hydrogen bonds with Asp69, Asp352, and His351, along with a π-π stacking interaction with the hydrophobic residue Phe178. Compound 16d showed the second-highest binding affinity, forming hydrogen bonds with Glu277, Arg315, and Arg442 (Figure 18). In addition to favorable interactions, their strong enzyme affinity is reflected in binding free energies of −7.44 kcal/mol and −7.51 kcal/mol, respectively. For comparison, the reference inhibitor demonstrated a binding free energy of −7.13 kcal/mol [55].
Figure 17.
General structure of tested amide derivatives of flurbiprofen (16) and seven compounds (16a–g) which exhibited superior α-glucosidase inhibitory activity.
Table 4.
In vitro α-glucosidase and α-amylase inhibitory activity of flurbiprofen derivatives.
Figure 18.
The predicted binding interactions of (A) compound 16a and (B) compound 16d within the α-glucosidase active site.
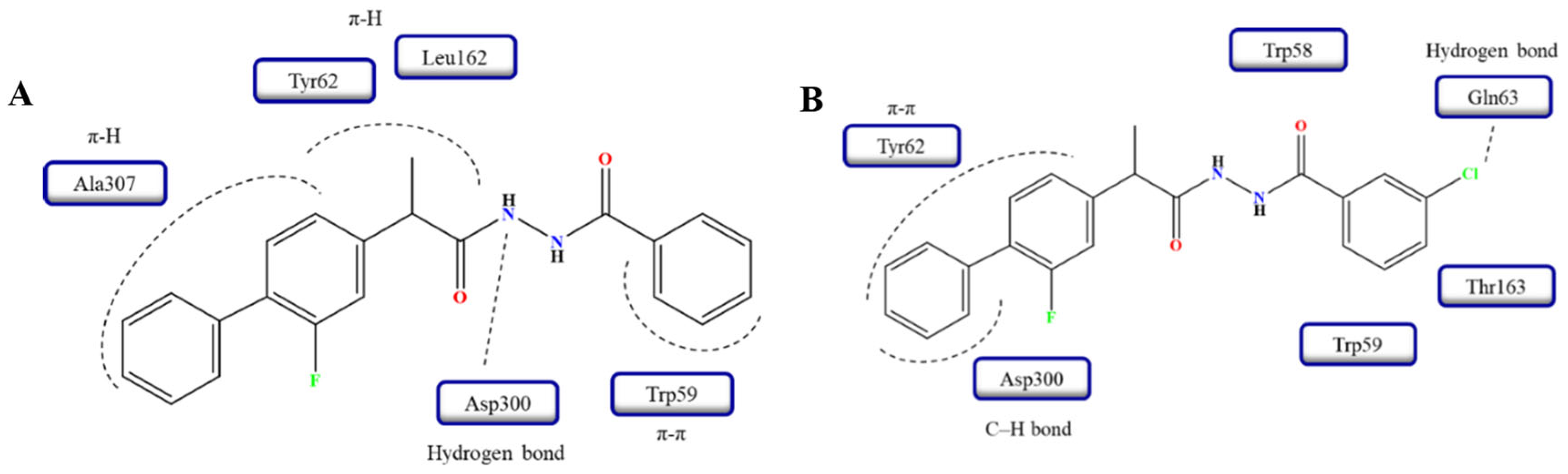
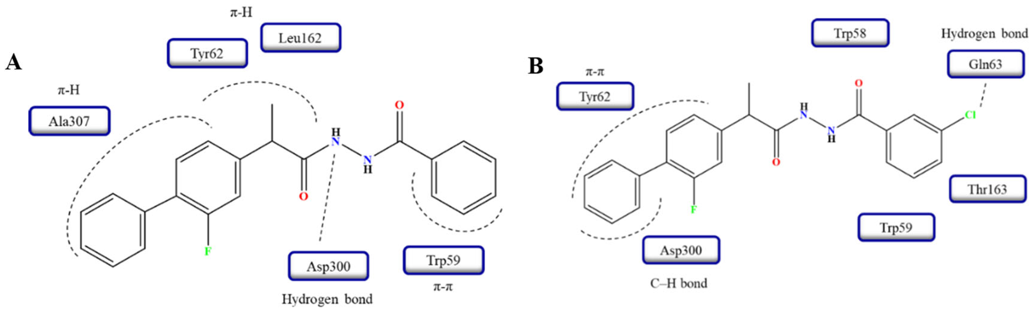
Evaluation of the α-amylase inhibitory potential of eighteen flurbiprofen derivatives revealed that the most pronounced inhibition was exhibited by compounds belonging to the class of substituted aroyl hydrazides (17), specifically compounds 17a–c. Additionally, compound 18a from the series of phenacyl substituted 2-mercapto oxadiazoles (18) also demonstrated significant inhibitory activity (Figure 19). Acarbose was used as the standard α-amylase inhibitor (Table 4). SAR analysis of compounds 17a–c indicated that the presence of the aroyl group significantly enhances to α-amylase inhibition, as evidenced by the superior activity of aroyl-substituted flurbiprofen hydrazides compared to the unsubstituted hydrazide. Furthermore, the meta-chloro substituent was identified as playing a key role in interactions with the enzyme’s active site, which correlates with the potent inhibitory effect observed for compound 17b. In the case of compound 18a, the enhanced inhibitory activity was attributed to the presence of ortho-bromo and para-methyl substituents on the phenacyl ring. Molecular docking analysis revealed that compound 17a binds deeply into the α-amylase binding pocket, establishing essential interactions with Ala307, Trp59, and Asp300 while compound 17b formed three prominent interactions with key residues within the enzyme’s binding site including Tyr62, Gln63, and Asp300 (Figure 20) [56].
Figure 19.
General structure of substituted aroyl hydrazides (17) and phenacyl substituted 2-mercapto oxadiazoles (18) based on flurbiprofen and their most active inhibitors 17a–c and 18a.
Figure 20.
The predicted binding interactions of (A) compound 17a and (B) compound 17b within the α-amylase active site.
In the study by Alam et al., a series of (S)-flurbiprofen derivatives (19) (Figure 21) was synthesized, among which compounds 19a–f exhibited notable α-glucosidase inhibitory activity. In comparison, acarbose showed considerably lower potency (Table 4). Compound 19a, bearing a propyl substituent, displayed the strongest inhibition, indicating that this group represents an optimal substituent compared to isopropyl (19c) and butyl (19f) analogs. These findings suggest that steric and hydrophobic factors play key roles in modulating binding affinity. Furthermore, bromine substitution at the meta-position of the phenyl ring (compound 19b) markedly enhanced inhibitory potency, emphasizing the importance of halogen positioning for effective enzyme inhibition [57].
Figure 21.
General structure of (S)-flurbiprofen derivatives (19) and compounds 19a–f which exhibited notable α-glucosidase inhibitory activity.
Molecular docking analysis supported these observations, revealing crucial interactions of the ligands with the Glu277 and His351 residues, which stabilize the ligand-enzyme complex. In compound 19a, the hydrazide moiety forms hydrogen bonds with the side chains of Glu277 and His351, while the propyl substituent participates in hydrophobic interactions with Trp58 and Phe301. Additionally, the biphenyl ring contributes to the overall inhibitory effect through π-π and hydrophobic interactions with Phe178, located near the entrance of the α-glucosidase active site (Figure 22). The docking result of −7.51 kcal/mol obtained for compound 19a indicates a strong binding affinity, supporting the fact that it is a promising α-glucosidase inhibitor [57].
Figure 22.
The predicted binding interactions of compound 19a within the α-glucosidase active site.
Among the tested flurbiprofen derivatives, compound 19a displayed the strongest α-glucosidase inhibition (Table 4). The propyl substituent provides an alkyl chain of optimal length for improved binding, while a bromine atom at the meta-position of the phenyl ring further enhances inhibitory potency. The SAR analysis also indicated that the presence of an aroyl moiety substantially improves α-amylase inhibition. In particular, a meta-chloro substituent plays a crucial role in establishing key interactions within the enzyme’s active site, effect that parallels the enhanced activity observed towards α-glucosidase.
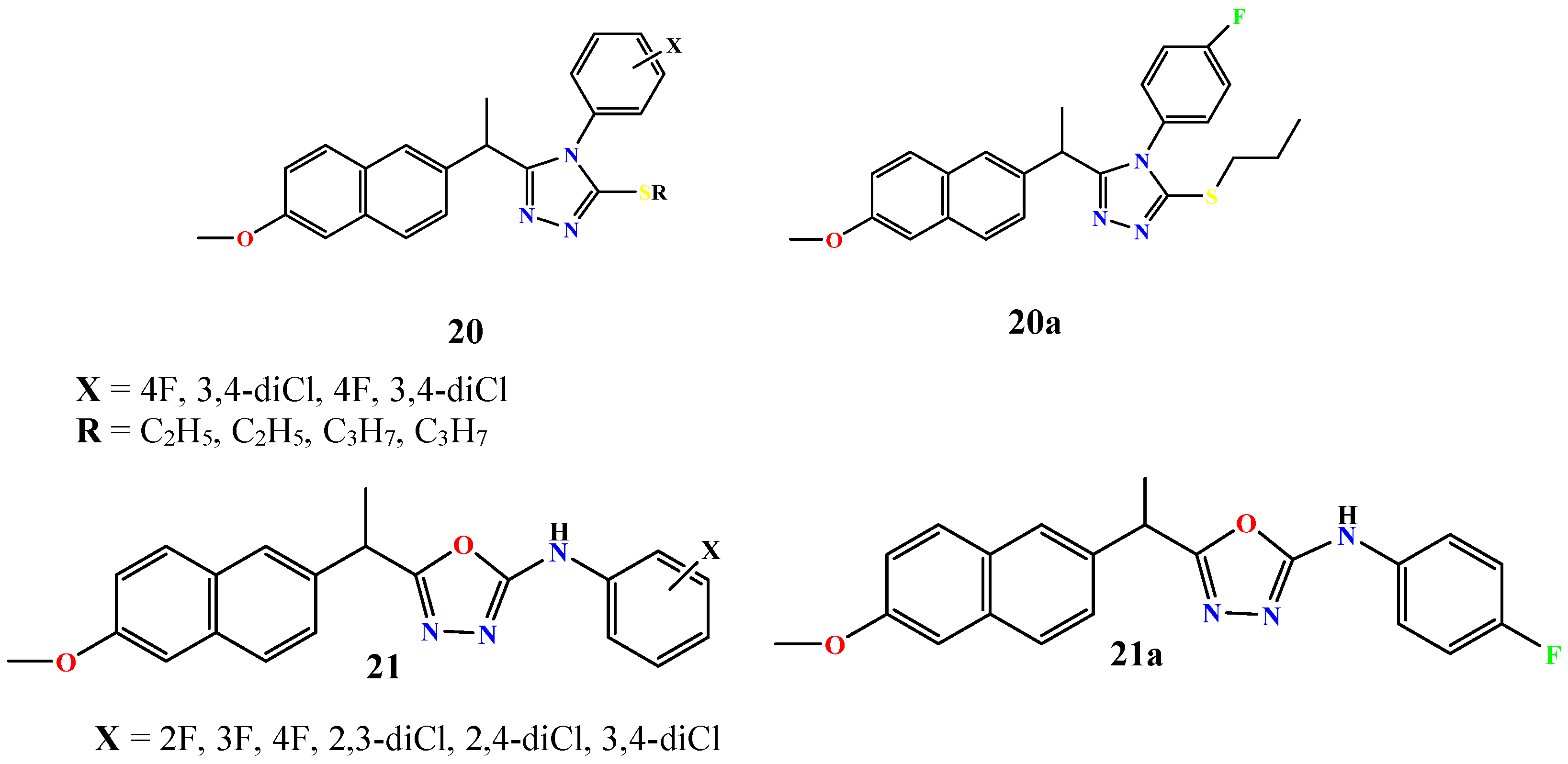
Sardar et al. synthesized and characterized a series of novel naproxen derivatives that exhibited remarkable α-glucosidase inhibitory activity, surpassing that of the standard drug. The synthesized compounds displayed IC50 values ranging from 1.0 μM to 367.2 μM, with the most potent inhibitors identified among the S-alkylated 1,2,4-triazoles (20) and 2-arylamino-5-substituted 1,3,4-oxadiazoles (21) (Figure 23). In particular, compounds 20a and 21a exhibited the strongest inhibition of α-glucosidase (binding score of −31.48 and −27.08 kJ/mol). SAR analysis highlighted the importance of the oxadiazole ring and the presence of a para-fluoro and ortho-/para-dichloro substitutions on the phenyl ring, in enhancing the inhibitory potency. Molecular docking studies further revealed that the strong inhibitory activity of compound 20a arises from multiple hydrogen bonds, alkyl, and π-alkyl interactions, and stabilized with van der Waals forces within the enzyme’s active site (Figure 24) [58].
Figure 23.
General structure of novel naproxen derivatives (20 and 21), and their most active inhibitors 20a and 21a.
Figure 24.
The predicted binding interactions of (A) compound 20a and (B) compound 21a within the α-glucosidase active site.
Significant α-glucosidase inhibitory activity was also achieved with the Schiff base derivatives of naproxen (22) (Figure 25), exhibiting IC50 values ranging from 6.14 μM to 83.01 μM, notably superior to that of the standard. Among this series, the most potent α-glucosidase inhibitors were identified as compounds 22a–e. SAR analysis indicated that both the position and the nature of the substituents, such as phenyl group, contribute to increased electron density and the number of hydrophobic interactions within the enzyme’s active site, ultimately resulting in enhanced α-glucosidase inhibition. Molecular docking analysis revealed that compound 22a (docking score of −8.62 kcal/mol) exerts strong inhibitory activity through the formation of hydrogen bonds with Gly116 and Ser198, along with a variety of additional stabilizing interactions, including π-π T-shaped, π-π stacking, and π-alkyl interactions. In contrast, acarbose was shown to engage in only hydrogen bonding and carbon-hydrogen interactions within the active site of the enzyme (Figure 26) [59].
Figure 25.
General structure of Schiff base derivatives of naproxen (22) and their most active inhibitors 22a–e.
Figure 26.
The predicted binding interactions of compound 22a within the α-glucosidase active site.
Among the tested naproxen derivatives, compound 20a showed the strongest α-glucosidase inhibition, followed by compound 21a, suggesting that heterocycles such as 1,2,4-triazole and 1,3,4-oxadiazole significantly contribute to the enhancement of inhibitory activity (Table 5).
Table 5.
In vitro α-glucosidase inhibitory activity of naproxen derivatives.
In a study that involved synthesis of 28 novel heterocyclic compounds (Figure 27) derived from mefenamic acid, nearly all compounds, except for three inactive derivatives, exhibited potent α-glucosidase inhibitory activity, showing IC50 values ranging from 9.7 μM to 347.1 μM. The most active derivatives belonged to the 1,3,4-oxadiazole (23), thiosemicarbazide (24), and alkylated triazole (25) classes. Acarbose was used as the reference standard. Among all tested compounds, 23a exhibited the most pronounced inhibition, with docking score of −11.0147, followed by decreasing inhibitory activity in the following order 24a > 24b > 25a. The enhanced inhibitory activity of derivatives 24a and 24b was attributed to the presence of two chloro substituents on the phenyl ring. Moreover, it was suggested that increasing the spatial distance between these substituents and the thiosemicarbazone linkage improves the compounds’ α-glucosidase inhibitory potential. Docking analysis of compound 23a revealed several relevant interactions, including the formation of hydrogen bonds between the oxadiazole ring and Gln279, as well as between the –NH group and Glu277. Additionally, a π-alkyl interaction with Val216 was observed, while the presence of a fluorobenzene ring further contributed to the stabilization of the ligand within the active site of α-glucosidase (Figure 28) [60].
Figure 27.
General structures of novel heterocyclic compounds derived from mefenamic acid (23–25), and their most active inhibitors 23–25a and 24b.
Figure 28.
The predicted binding interactions of compound 23a within the α-glucosidase active site.
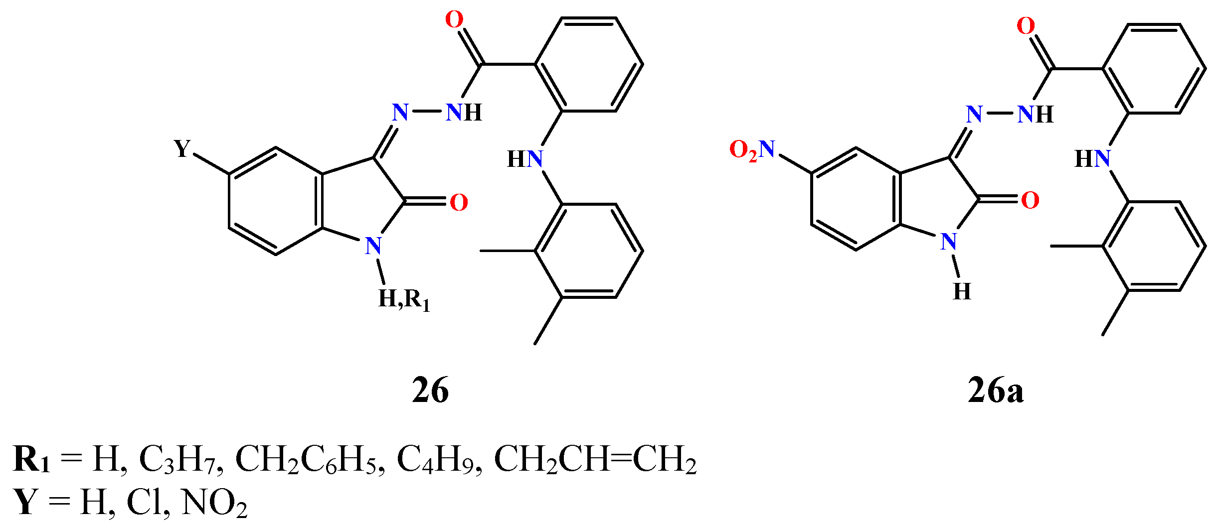
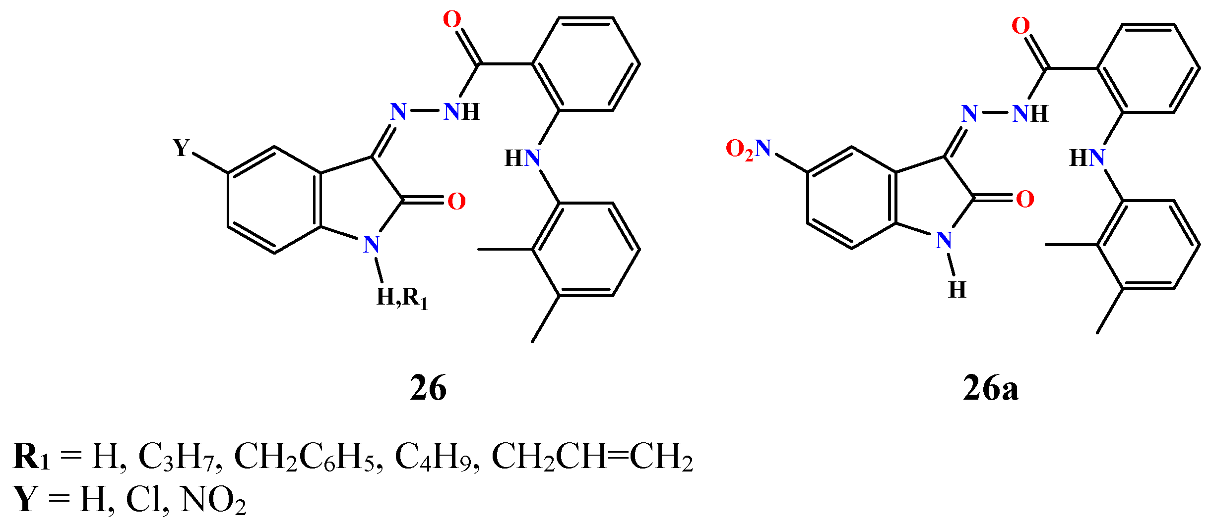
On the other hand, isatin-substituted Schiff base derivatives of mefenamic acid (26) (Figure 29) exhibited superior α-glucosidase inhibitory activity compared to acarbose, except for one inactive compound. Among the tested derivatives, compound 26a has been identified as the most potent derivative of α-glucosidase enzyme with a docking score of −8.5426. SAR analysis revealed that the general trend of inhibitory activity, with respect to the Y substituent on the isatin ring, followed the order NO2 > H > Cl. It was proposed that the electron-withdrawing nature of the -NO2 substituent in compound 26a may facilitate stronger interactions between the phenyl ring and the α-glucosidase active site. The key interactions observed for compound 26a included multiple hydrogen bonds, π-alkyl, alkyl-alkyl, and π-π interactions within the enzyme’s active site (Figure 30) [54].
Figure 29.
General structure of isatin-substituted Schiff base derivatives of mefenamic acid (26), and their most active inhibitor 26a.
Figure 30.
The predicted binding interactions of compound 26a within the α-glucosidase active site.
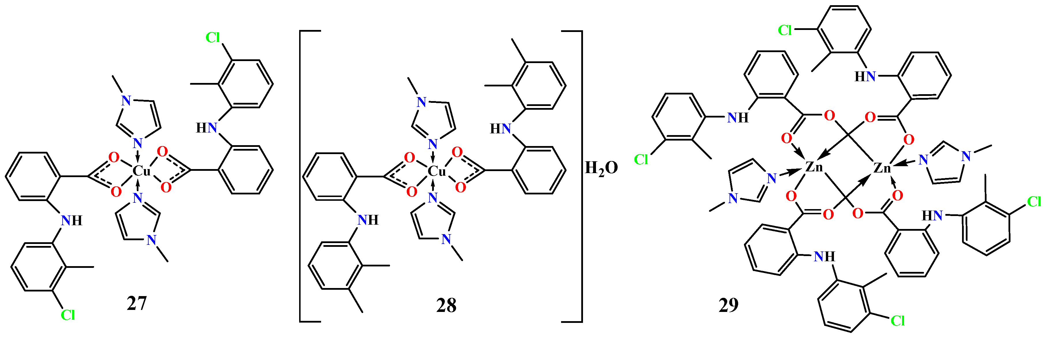
Furthermore, the synthesized Cu(II) and Zn(II) complexes of tolfenamic and mefenamic acid with 1-methylimidazole (27–29) (Figure 31) exhibited significant α-amylase inhibitory activity. Among these, compound 28 demonstrated the highest level of inhibition against the enzyme. In contrast, regarding α-glucosidase inhibition, the standard inhibitor acarbose exhibited stronger inhibitory activity compared to the tested metal complexes. Although significant α-amylase inhibition was observed, the limited α-glucosidase inhibitory capacity of the synthesized complexes negatively affects their potential as antidiabetic agents. This limitation may be overcome by introducing ligands with higher chelating ability and incorporating nitrate ions, which have been suggested to enhance the hypoglycemic effect of such complexes [61].
Figure 31.
Structure of the synthesized Cu(II) and Zn(II) complexes of tolfenamic and mefenamic acid with 1-methylimidazole (27–29).
The 1,3,4-oxadiazole derivative of mefenamic acid exhibited markedly superior α-glucosidase inhibitory activity, far outperforming the corresponding thiosemicarbazide, triazole, and isatin-based Schiff base derivatives. In contrast, the tested metal complexes showed very weak inhibition, substantially limiting their potential as antidiabetic agents (Table 6).
Table 6.
In vitro α-glucosidase and α-amylase inhibitory activity of mefenamic and tolfenamic acid derivatives.
Sardar et al. synthesized a series of diclofenac derivatives that exhibited potent α-glucosidase inhibitory activity. The most active derivatives were found among the 1,3,4-oxadiazoles (30), thiosemicarbazides (31), and 1,3,4-thiadiazoles (32) (Figure 32). Compound 30a exhibited the highest inhibitory activity followed by compounds 31a, 30b, and 32a in descending order of potency. Additionally, compounds containing a 1,3,4-oxadiazole ring and fluoro substituents showed stronger enzyme inhibition than those containing triazole or thiadiazole rings. Molecular docking analysis revealed that compound 30a formed strong interactions with the enzyme (docking score of −13.6921 compared to acarbose with docking score of −4.8720), establishing seven hydrogen bonds, two π-H interactions, and one arene-cation interaction within the α-glucosidase binding pocket. The hydrogen bonds involved Phe157, Glu276, Asp349, Asp408, and Arg439 residues, interacting with the fluorobenzene moiety, oxadiazole ring, and aniline groups of the ligand (Figure 33) [62].
Figure 32.
General structure of 1,3,4-oxadiazoles (30), thiosemicarbazides (31), and 1,3,4-thiadiazoles (32) derivatives of diclofenac and their most potent inhibitors 30–32a and 30b.
Figure 33.
The predicted binding interactions of compound 30a within the α-glucosidase active site.
The IC50 values of the nimesulide acyl thiourea conjugates (33) (Figure 34) demonstrate markedly stronger inhibitory activity than acarbose. Among them, compound 33a exhibited the greatest potency against α-glucosidase, while compound 33b showed the strongest α-amylase inhibition, both significantly outperforming acarbose, used as the positive control. Compound 33a exhibited the highest binding affinity toward α-glucosidase (−10.39 kcal/mol) through the formation of hydrogen bonds, electrostatic interactions, π-sulfur interactions, and hydrophobic contacts within the enzyme’s active site. The establishment of a hydrogen bond with Asn241, common to both compound 33a and acarbose, was considered crucial for the inhibitory effect of this nimesulide derivative. Compound 33b (−8.40 kcal/mol) in the active site of α-amylase formed hydrogen bonds, electrostatic interactions, π-sulfur, and π-π interactions, as well as several van der Waals contacts (Figure 35) [63].
Figure 34.
General structure of nimesulide acyl thiourea conjugates (33), and their most potent inhibitors 33a against α-glucosidase and 33b against α-amylase.
Figure 35.
The predicted binding interactions of (A) compound 33a within the α-glucosidase active site and (B) compound 33b within the α-amylase active site.
Regarding the inhibitory potential of the amide derivatives of celecoxib (34) (Figure 36), with the exception of the derivative bearing a fluoro substituent in the para position and celecoxib itself, most of the tested derivatives exhibited significant inhibitory activity. Compound 34a demonstrated the lowest IC50 value. Kinetic studies indicated that compound 34a exhibits a competitive mode of inhibition, while docking analysis showed that it engages in multiple significant interactions within the α-glucosidase active site. These interactions included π-π stacking contacts of the phenyl ring, a hydrogen bond with Arg315, an aromatic hydrogen bond with Ser311, as well as the formation of salt bridges between the nitro group and residues Glu411 and Asp352 (Figure 37) [22].
Figure 36.
General structure of the amide derivatives of celecoxib (34), and their most potent inhibitor 34a against α-glucosidase.
Figure 37.
The predicted binding interactions of compound 34a within the α-glucosidase active site.
Fadaly et al. synthesized a series of thiazole derivatives with a pyrazole core representing hybrid molecules of rosiglitazone and celecoxib (35) (Figure 38). The most potent inhibitors of both enzymes were compounds 35a–d. Compound 35d exhibited the highest potency against α-glucosidase inhibition, whereas compound 35c showed the greatest inhibition against α-amylase. It was proposed that the increased inhibitory activity against both enzymes, observed in the most potent compounds, was due to a greater number of π-π interactions with amino acid residues in the enzyme active site, resulting from the moderate π-electron delocalization effect of the chloro substituent and the strong π-electron delocalization effect of the methoxy group. The thiazole ring in the structure of compounds 35a–d enabled the formation of hydrogen bonds within the α-glucosidase active site via the sulfur atom, specifically with the Asp282 residue for compounds 35a–c, and with both Asp282 and Asp616 residues for compound 35d. Additionally, the phenyl ring substituted at position 4 of the thiazole moiety engaged in hydrophobic interactions with Phe525 within the α-glucosidase active site in compounds 35a–d [64].
Figure 38.
General structure of thiazole derivatives with a pyrazole core representing hybrid molecules of rosiglitazone and celecoxib (35) and their most potent inhibitors 35a–d against both α-glucosidase and α-amylase.
SAR analysis of diclofenac derivatives revealed that mono-fluoro substitution at the ortho or meta position of the phenyl ring generally produced stronger inhibitory activity than dichloro substitution, except within the thiosemicarbazide series. A similar pattern was observed for nimesulide derivatives, where potent inhibition correlated with electron-withdrawing bromo and fluoro substituents at the ortho and para positions. In contrast, electron-donating methyl or methoxy groups consistently reduced inhibitory activity. For celecoxib derivatives, SAR analysis indicated that halogen substitution enhances interactions within the active and/or allosteric sites of the enzyme, while introducing a methyl group adjacent to the nitro substituent further increases inhibitory potency (Table 7).
Table 7.
In vitro α-glucosidase and α-amylase inhibitory activity of diclofenac, nimesulide and celexocib derivatives.
3. Inhibition of Dipeptidyl Peptidase-4 (DPP-4)
The dipeptidyl peptidase-4 (DPP-4) is a ubiquitous enzyme found in many tissues, such as the gastrointestinal tract, as well as in the kidneys, liver, lungs, lymphocytes, and endothelial cells. It is an aminopeptidase located on the cell surface and belongs to a family of enzymes that also includes DPP-2, DPP-8, and DPP-9. There are several substrates for this enzyme, among which are gastrointestinal hormones known as incretins. DPP-4 is involved in the degradation of incretins, glucagon-like peptide 1 (GLP-1) and glucose-dependent insulinotropic polypeptide (GIP), which regulate glycemia and control the secretion of insulin and glucagon (Figure 39). The DPP-4 enzyme contains three amino acid residues that are essential for its activity: serine (Ser), aspartic acid (Asp), and histidine (His). These amino acids are located within a specific structural region called the α/β-hydrolase fold. There are five distinct subsites within DPP-4 that serve as key targets for inhibition: S1, S2, S1′, S2′, and S2 extensive. Interactions with the S1 and S2 subsites are essential for achieving effective inhibition, whereas additional interactions with the remaining subsites can enhance the overall binding affinity by approximately four- to five fold. Oral antidiabetic agents that inhibit DPP-4, commonly known as gliptins, exert their antihyperglycemic effect by preventing the enzymatic degradation of the incretin hormones GLP-1 and GIP. Increased levels of these incretins enhance glucose-dependent insulin secretion from pancreatic β-cells and simultaneously suppress glucagon secretion from pancreatic α-cells. This coordinated action results in improved regulation of both fasting and postprandial glycemia [65,66,67].
Figure 39.
Mechanism of action of DPP-4 inhibitors.
Among the 20 NSAIDs analyzed, piroxicam (36) (Figure 40) emerged as the most potent inhibitor of the DPP-4 enzyme. Under in vitro conditions, at concentrations of 135 µM, 27.2 µM, 4 µM, and 1.8 µM, piroxicam achieved concentration-dependent inhibition of 74.5%, 65.5%, 36.5%, and 29.6%, respectively. The IC50 value of piroxicam was 9.9 µM, compared to the positive control, sitagliptin, exhibiting an IC50 value of 0.018 µM. Binding analysis of piroxicam within the active site of the DPP-4 enzyme revealed the formation of multiple hydrogen bonds, π-cation interactions, and van der Waals forces within key binding regions of the enzyme, including the hydrophobic S1 and S2 pockets, the N-terminal recognition region, and the druggable domain containing the catalytic site. Based on the study’s findings, piroxicam appears to offer considerable potential as a core structural framework for developing novel inhibitors targeting the DPP-4 enzyme [68].
Figure 40.
Structure of piroxicam.
4. Other Hypoglycemic Mechanisms of NSAIDs and Their Derivatives
Zhang et al. reported that, among the synthesized derivatives of indomethacin and diclofenac (37) (Figure 41), compounds 37a–e exhibited the highest insulin-sensitizing activity, showing EC30 values of 9.51 × 10−9, 6.56 × 10−9, 3.31 × 10−8, 1.23 × 10−8, and 2.51 × 10−7, respectively, which was superior to rosiglitazone (EC30 = 1.05 × 10−7). Conversely, compound 37d showed the greatest efficacy as a PPARγ agonist, with 41% higher activity compared to rosiglitazone, expressed as a percentage of the maximal activation achieved by the reference compound. The second-highest activity, with a 34% increase compared to rosiglitazone, was observed for compound 37c. Compound 37e demonstrated weak PPARγ agonist activity, while compounds 37a and 37b were inactive in the transactivation assay, suggesting that the improvement in insulin resistance mediated by these compounds occurs independently of PPARγ agonism. It was shown that elongation of the lipophilic chain on the phenyl ring enhances insulin-sensitizing activity, while the presence of para electron-donating substituents on the phenyl ring contributes to increased activity, which is consistent with previously published data. Considering the observed potential, the authors propose that these compounds should be utilized in future studies as lead structures or undergo to further pharmacological evaluation to more comprehensively assess their biological activity [69].
Figure 41.
General structure of synthesized derivatives of indomethacin and diclofenac (37) with compounds 37a–e showing the highest insulin-sensitizing activity.
In another study, the insulin-sensitizing activity of 28 diclofenac derivatives (38) (Figure 42) was evaluated at concentrations ranging from 10−9 to 10−5 mol/L by measuring triglyceride accumulation during insulin-induced differentiation of 3T3-L1 cells. Rosiglitazone was used as the positive control. At a concentration of 10−5 mol/L, compounds 38a and 38b exhibited the highest differentiation-promoting activity, showing increases in intracellular triglyceride content of 92.1% and 92.3%, respectively, which was comparable to the reference compound (93.7% at the same concentration). The results did not reveal a clear activity pattern when comparing diclofenac derivatives substituted at the 4- or 5-position of the phenyl ring, whereas compounds containing a free carboxyl group demonstrated greater insulin-sensitizing activity compared to the corresponding methyl ester derivatives [70].
Figure 42.
General structure of diclofenac derivatives (38) with compounds 38a and 38b showing the highest differentiation-promoting activity.
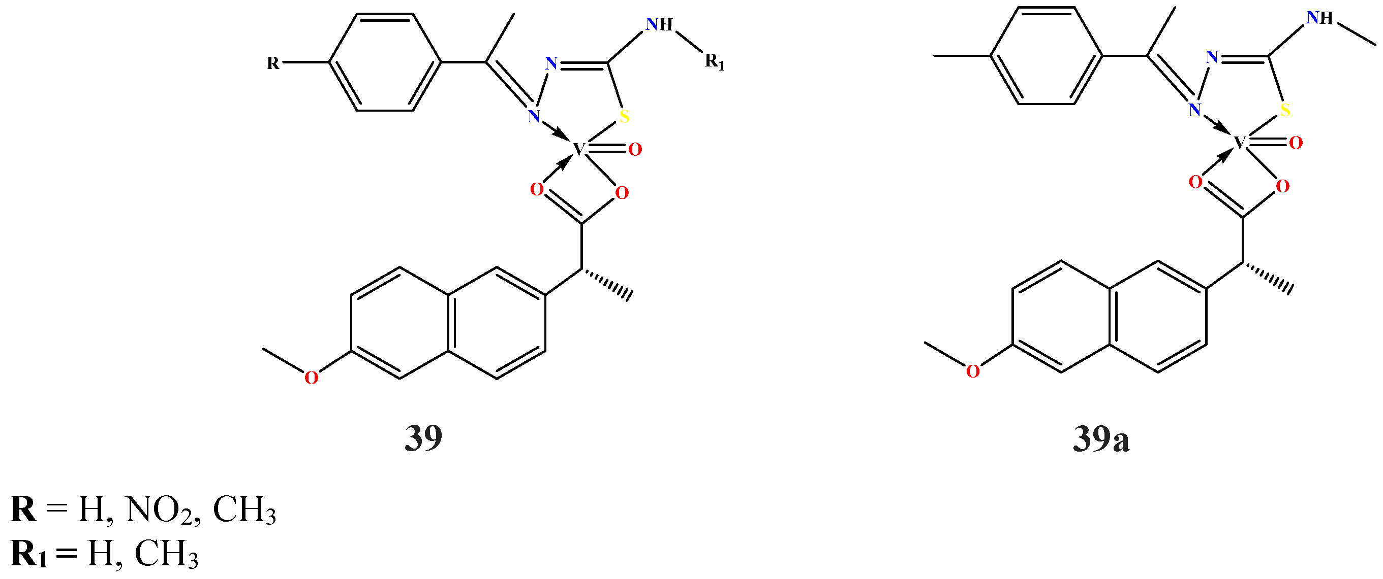
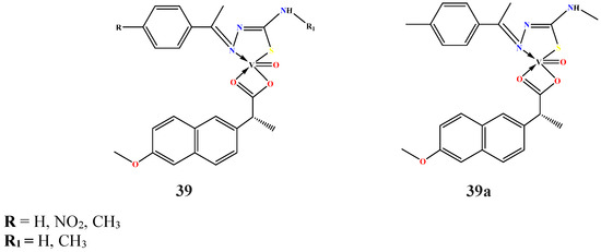
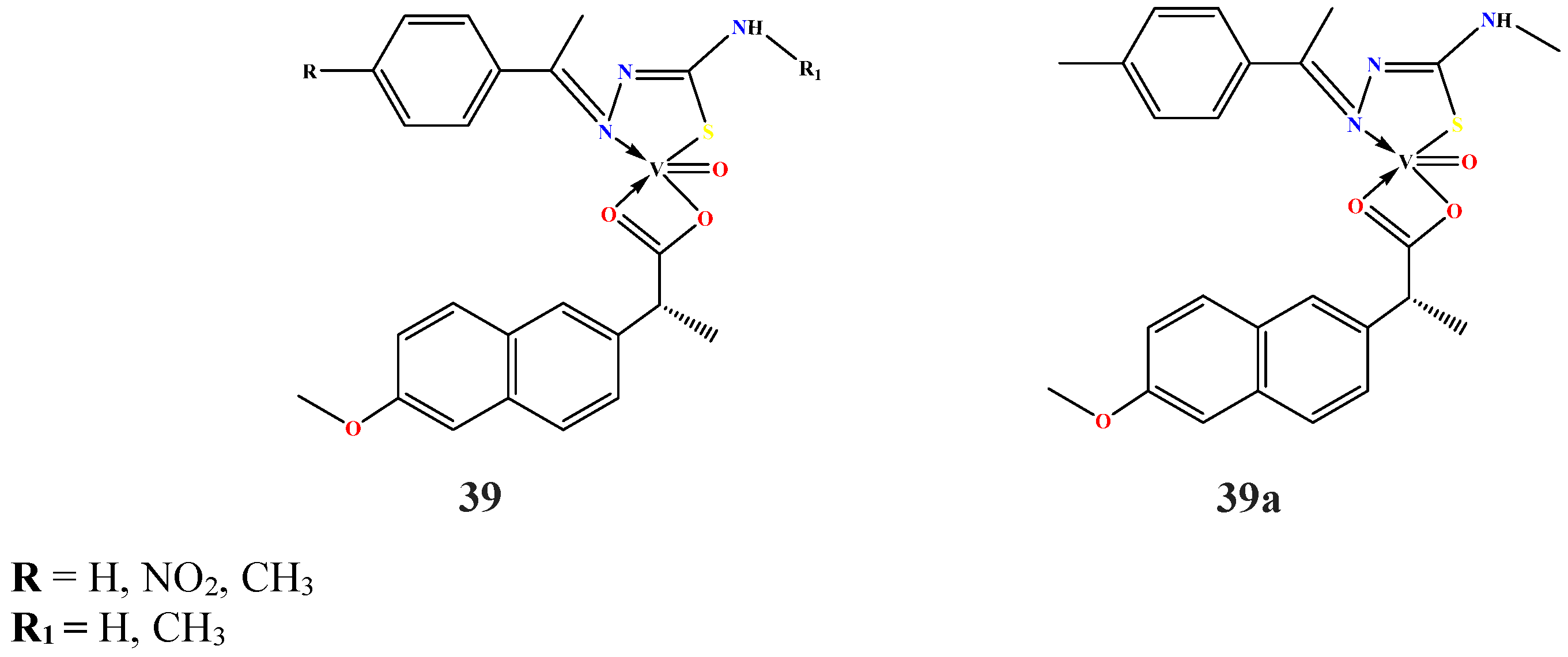
Six heteroleptic oxovanadium(IV) complexes containing naproxen (39) (Figure 43) exhibited dose-dependent inhibition of α-amylase, α-glucosidase, and glucose-6-phosphatase, with complex 39a showing activity comparable to the corresponding standards (acarbose and metformin). In addition, their effect on glucose uptake in 3T3-L1 adipocyte cells was also evaluated. The highest efficiency in stimulating glucose uptake was observed for complex 39a, which can be attributed to the presence of electron-donating substituents [71].
Figure 43.
General structure of oxovanadium(IV) complexes containing naproxen (39) and compound 39a showing highest efficiency in stimulating glucose uptake.
Xin et al. synthesized diosgenin-ibuprofen derivatives and reported notable activity of derivative 40 (Figure 44), obtained by coupling diosgenin with 2-(4-isobutyl-phenyl)-propionyl chloride. In the NOD mice model, groups treated with derivative 40 exhibited a significantly lower incidence of type 1 diabetes compared to the control group. By the 20th week of age, diabetes had developed in 50% of mice in the control group, whereas only 25% of mice treated with 50 mg/kg of compound 40 for eight weeks exhibited the disease. An even greater protective effect was observed at a higher dose, with only 18% of NOD mice developing type 1 diabetes. These results demonstrate that derivative 40 significantly reduces the risk of disease onset in NOD mice [72].
Figure 44.
Structure of diosgenin-ibuprofen derivative that significantly reduces the risk of type 1 diabetes in NOD mice.
Navas et al. synthesized a novel cobalt coordination compound containing indomethacin, [Co(ind)2(EtOH)2] (41) (Figure 45), whose antidiabetic properties were evaluated using the Caenorhabditis elegans nematode model. At a non-toxic dose of 100 µM, the glucose level in treated specimens was 24% lower compared to the control group, indicating the potential antidiabetic activity of this complex [73]. In another study, Hasan investigated the hypoglycemic effect of five naproxen complexes with metal ions (Cu, Co, Fe, Ag, and Zn) in vivo, using a mouse model. Following administration of a 25 mg/kg body weight dose, blood glucose levels were measured at 1, 2, and 3 h. Naproxen complexes with copper, cobalt, and zinc exhibited a significant hypoglycemic effect, with blood glucose levels after three hours being significantly lower compared to the control group, measuring 4.72 mmol/L, 4.60 mmol/L, and 4.17 mmol/L, respectively [74].
Figure 45.
Structure of novel cobalt coordination compound containing indomethacin.
5. Structure-Activity Relationships
To gain deeper insight into the structural determinants responsible for inhibitory activity towards diabetes mellitus-associated enzymes, a SAR analysis was performed on the synthesized NSAID derivatives. The aim was to determine how specific structural modifications influence their potential hypoglycemic effects and to identify the key functional groups responsible for activity.
Based on the structural features of the salicylic acid derivatives, variations in the side chain-particularly the presence of an ester, or amide group had a significant impact on the α-glucosidase inhibitory activity. Moreover, the activity is increased with the elongation of the carbon chain, while the introduction of an aryl group into the side chain further enhanced the inhibitory effect. In addition, the presence of a tosyl group on the amino moiety conferred greater activity than the acetyl group, most likely due to its stronger electron-withdrawing properties.
The SAR analysis of ibuprofen-derived thiosemicarbazides and their azole analogs indicated that 1,3,4-oxadiazole derivatives exhibited the strongest α-glucosidase inhibitory activity. This potency was largely determined by the nature and position of aromatic substituents, with electron-withdrawing groups playing a central role in enhancing binding affinity. In the ibuprofen-isatin series, the most active compounds contained a simple isatin core bearing a butyl substituent, suggesting that moderately sized alkyl groups support productive enzyme interactions, while additional electron-donating groups further enhance activity. Similarly, in ibuprofen-oxadiazole derivatives, methyl and phenyl substituents at positions 3 and 4 enhanced the inhibitory effects, indicating the importance of balanced steric and electronic contributions. Finally, the incorporation of Schiff bases and heteroaromatic rings generally increased potency, indicating that extended conjugation and optimized electronic distribution favor stronger α-glucosidase binding (Figure 46).
Figure 46.
SAR of ibuprofen derivatives.
The α-glucosidase inhibitory activity of flurbiprofen-based Schiff bases was predominantly governed by the nature and position of aromatic substituents. Meta-bromo, hydroxyl, and methoxy groups enhanced potency, as did longer alkyl chains, para-carboxyl, and propyl groups, whereas additional halogens or hydroxyl groups at ortho/para positions and electron-withdrawing substituents diminished activity. For flurbiprofen-based amides, short alkyl chains and electron-donating aromatic substituents produced the most favorable effects. The α-amylase SAR profile showed that aroyl-substituted hydrazides exhibited superior activity, further improved by a meta-chloro substituent, while para-methyl enhanced and methoxy reduced inhibitory potency (Figure 47).
Figure 47.
SAR of flurbiprofen derivatives.
SAR analysis showed that S-alkylated triazoles and oxadiazole naproxen derivatives displayed the strongest α-glucosidase inhibition. The oxadiazole ring, together with carbonyl, imine, and aromatic groups, was crucial for activity. Para-fluoro and ortho/para-dichloro substituents further enhanced potency, as did incorporation of biphenyl or ortho-toluidine moieties. In contrast, electron-donating methyl groups on the phenyl ring produced only moderate effects, while phenyl-thiazole derivatives retained notable inhibitory activity.
The simple isatin derivative with the N-propyl substitution shows that the mefenamic acid derivative is more active than the ibuprofen derivative which was found to be inactive for α-glucosidase enzyme. The N-allyl derivatives in both cases were active towards α-glucosidase. It was also observed that the electron-withdrawing groups favored the inhibition by mefenamic acid derivatives. SAR analysis showed that dichloro substitution on the phenyl ring enhanced α-glucosidase inhibition in thiosemicarbazide derivatives, especially when positioned distal to the thiourea moiety. In azole derivatives, monofluoro analogs were more potent than their dichloro counterparts. Additionally, S-alkylation of triazoles, especially with a propyl group, markedly increased activity, highlighting the combined contribution of alkyl modification and electron-withdrawing substituents to improved enzyme binding.
SAR analysis of nimesulide-based acyl thioureas demonstrated that electron-withdrawing bromo and fluoro substituents at the ortho and para positions of the aromatic core markedly enhance inhibitory activity, while their replacement with electron-donating methyl or methoxy groups leads to a pronounced loss of potency. A similar halogen-dependent trend was observed for the acyl analogs of celecoxib. For the rosiglitazone/celecoxib hybrid analogs, SAR analysis indicated that 4-methyl and 4-methoxy substituents improved dual antidiabetic and anti-inflammatory activity by increasing PPAR-γ activation and lipophilicity. In contrast, the 4-chloro derivative exerted the strongest α-glucosidase inhibition and glucose-lowering effect, likely due to enhanced lipophilicity and favorable enzyme binding.
6. Safety and Pharmacokinetic Profiles of NSAID Derivatives
As is well known, COX-1 inhibition reduces the production of gastroprotective mediators, contributing to the development of gastritis, erosions, and ulcerations. These effects form and represents the basis of the gastrointestinal (GI) adverse effects of traditional NSAIDs that inhibit both COX-1 and COX-2. The carboxyl group of NSAIDs is considered a major contributor to GI toxicity, as it promotes local mucosal irritation. Therefore, “masking” the carboxyl group through the formation of esters, amides, thioesters, or carbamates has been recognized as an effective strategy for reducing GI adverse effects. Several studies reviewed in this work focused on modifying the NSAID carboxyl group by introducing less acidic heterocycles or by forming amide derivatives. For example, replacement of the carboxyl group of ibuprofen with a 1,3,4-oxadiazole ring (compounds 14a, 14b, 23), as well as the formation of flurbiprofen amides (compound 16d), yielded derivatives with significant α-glucosidase inhibitory activity. These structural modifications may contribute to a lower incidence of GI side effects, an aspect not experimentally evaluated and therefore requiring confirmation in future studies [53,55,60].
Given that the ulcerogenic effects of classical NSAIDs are often exacerbated by Helicobacter pylori, derivatives exhibiting urease inhibition, an enzyme central to the pathogenesis of H. pylori-induced gastric damage, may potentially mitigate GI adverse effects. Derivative 15a showed strong α-glucosidase inhibition and moderate urease inhibition, derivative 22a exhibited favorable interactions with both enzymes, while compound 26a showed particularly potent urease inhibition. These properties suggest possible GI protective benefits, which could be further validated in future investigations [54,59].
Although selective COX-2 inhibition may disrupt the physiological balance between prostacyclin and thromboxane A2 and increase cardiovascular risk, derivatives 35d and 35c, despite their high COX-2 selectivity, did not exhibit cardiotoxicity in pkCSM or ProTox-II analyses. In contrast, both compounds showed low maximum tolerated doses and higher acute toxicity compared with acarbose, along with predicted hepatotoxicity. Additionally, 35d was classified as immunotoxic, whereas 35c demonstrated a comparatively more favorable, though still hepatically concerning, profile [64].
Regarding pharmacokinetic characteristics, derivatives 11a and 11c displayed high gastrointestinal absorption, moderate lipophilicity, and no inhibitory interactions with major CYP enzymes, and neither compound was predicted to cross the blood–brain barrier [51]. Although these properties are generally favorable, α-glucosidase and α-amylase inhibitors should ideally exhibit limited systemic absorption, as their primary mechanisms of action occur in the intestinal lumen, and excessive systemic exposure may reduce efficacy while increasing the risk of off-target effects. Flurbiprofen derivative 16d demonstrated bioavailability similar to acarbose [55]; however, its pronounced inhibition of multiple CYP450 isoforms (CYP3, CYP4, CYP5) may slow elimination, increasing the risk of drug–drug interactions, and negatively affecting the overall safety profile.
The oxovanadium complex 39a exhibited increased lipophilicity, which is associated with enhanced receptor binding affinity and potentially greater biological activity [71]. Nevertheless, caution is warranted, as high lipophilicity may influence distribution, accumulation, and toxicity, all of which require further investigation. ADME analysis of compounds 20a and 21a also indicated full compliance with Lipinski’s and Veber’s rules, making these derivatives pharmacokinetically acceptable candidates for additional studies [58].
NSAID derivatives subjected to cytotoxicity assays demonstrated favorable safety profiles, which is essential for their potential use as antidiabetic agents. In several studies, derivatives were tested on peripheral blood mononuclear cells at 0.25 mM, where some molecules exhibited significantly higher cell viability compared with standard cytotoxic agents such as cyclophosphamide, cisplatin, and curcumin. The most active α-glucosidase inhibitors, 13a and 13b, showed minimal toxicity (97.8 ± 1.3% and 95.5 ± 1.7% viability), while derivatives 6c and 7c also demonstrated high viability (87.6 ± 1.3% and 98.5 ± 1.8%) [23,58]. Compound 30a exhibited lower but still acceptable viability (72 ± 1%), whereas celecoxib derivatives showed complete non-toxicity in the 3T3 cell model compared with reference controls [22,62].
Literature data further indicate that copper and zinc complexes display encouraging in vivo safety profiles. In particular, Cu-NSAID complexes show significantly lower toxicity and reduced incidence of side effects in vivo compared with uncoordinated drugs, while preserving or enhancing anti-inflammatory activity. Both Cu and Zn complexes demonstrated antioxidant effects, supporting their potential for further in vivo pharmacological evaluation [61].
Important strategies for mitigating safety limitations, relevant to repositioning NSAIDs for antidiabetic applications, include structural modifications aimed at reducing GI toxicity (masking the carboxyl group, introducing less acidic heterocycles), pharmacokinetic optimization to achieve limited systemic absorption and avoid CYP-mediated interactions, and early in silico evaluation of hepato-, cardio- and cytotoxicity. Additionally, selecting derivatives with low cytotoxicity supports their justification for continued pharmacological investigation.
Although many studies reviewed here focus on in vitro inhibitory activity of NSAID derivatives, it is evident that such data offer limited predictive value for in vivo performance, as efficacy in living organisms is influenced by factors (gastrointestinal stability, absorption, metabolic degradation, systemic toxicity) not accounted for in vitro. Therefore, in vivo studies are essential to reliably assess the bioavailability and safety profiles of these compounds.
7. Conclusions
Considering the various mechanisms by which NSAIDs can produce hypoglycemic effects, this review summarizes the structural analogs with demonstrated activity and outlines prospects for designing new, more effective antidiabetic agents. The discussed studies reveal that various NSAID-derived scaffolds exhibit notable hypoglycemic potential through the inhibition of key carbohydrate-metabolizing enzymes. Several structurally diverse derivatives, including 1,3,4-oxadiazole derivatives of ibuprofen, diclofenac and naproxen, flurbiprofen-based hydrazone Schiff’s bases and nimesulide-acyl thiourea conjugates, consistently showed superior inhibitory profiles compared with standard reference drugs. SAR analysis of numerous NSAID derivatives indicates that the introduction of heterocycles, such as S-alkylated triazoles and oxadiazoles markedly enhances inhibition of diabetes-related enzymes. Additionally, para-fluoro and ortho/para-dichloro substituents further increase potency, whereas substitution with electron-donating groups such as methyl or methoxy results in reduced activity and only moderate inhibitory effects. According to the analyzed results, the acyl thiourea derivatives of nimesulide exhibit nanomolar IC50 values and demonstrate a markedly stronger inhibitory effect than the standard drugs against both digestive enzymes (α-glucosidase and α-amylase). These findings suggest that they may serve as promising candidates and valuable scaffolds for the development of new metabolic enzyme inhibitors for the treatment of T2DM.
The methodological variability across the in vitro assays and docking studies represents a key limitation of this review, particularly given that the proposed antidiabetic effects of NSAIDs are closely intertwined with their primary anti-inflammatory activity. Taken together, these findings suggest a dual mode of action compared with standard antidiabetic therapy. However, the potential benefits of NSAIDs use in diabetes treatment should be interpreted with caution, since the lack of clinically based evidence. Many of their beneficial effects have been observed in vitro. Furthermore, the potential concomitant or long-term use of NSAIDs along with the standard hypoglycemic agents may be limited due to adverse effects associated with their chronic administration. Taking these considerations into account, the structure of NSAIDs and their derivatives should be regarded as promising scaffolds, rather than antidiabetic alternatives.
Author Contributions
Conceptualization, A.G. and M.V.; Methodology, A.G., A.Ž. and N.N.; Software, M.N. and N.N.; Validation, N.Z., M.V. and A.G.; Formal Analysis, M.N., N.N. and A.Ž.; Investigation, M.V., A.G. and A.Ž.; Resources, N.Z., M.N. and N.N.; Data Curation, A.Ž. and N.N.; Writing—Original Draft Preparation, A.G., M.V. and A.Ž.; Writing—Review and Editing, N.N., N.Z. and M.N.; Visualization, M.V., A.G. and A.Ž.; Supervision, M.N., N.Z. and N.N.; Project Administration, M.V., M.N. and A.Ž.; Funding Acquisition, A.G., N.Z. and M.V. All authors have read and agreed to the published version of the manuscript.
Funding
This research was supported by the Ministry of Science, Technological Development and Innovation, Republic of Serbia, through Grant Agreements with the University of Kragujevac—Faculty of Medical Sciences No 451-03-137/2025-03/200111 and No 451-03-136/2025-03/200111.
Institutional Review Board Statement
Not applicable.
Informed Consent Statement
Not applicable.
Data Availability Statement
All relevant data supporting the present study are included in this article.
Conflicts of Interest
The authors have no conflicts of interest to declare.
References
- Suryasa, I.W.; Rodríguez-Gámez, M.; Koldoris, T. Health and treatment of diabetes mellitus. Int. J. Health Sci. 2021, 5, 572192. [Google Scholar] [CrossRef]
- Abel, E.D.; Gloyn, A.L.; Evans-Molina, C.; Joseph, J.J.; Misra, S.; Pajvani, U.B.; Simcox, J.; Susztak, K.; Drucker, D.J. Diabetes mellitus—Progress and opportunities in the evolving epidemic. Cell 2024, 187, 3789–3820. [Google Scholar] [CrossRef]
- Sugandh, F.; Chandio, M.; Raveena, F.; Kumar, L.; Karishma, F.; Khuwaja, S.; Memon, U.A.; Bai, K.; Kashif, M.; Varrassi, G.; et al. Advances in the Management of Diabetes Mellitus: A Focus on Personalized Medicine. Cureus 2023, 15, e43697. [Google Scholar] [CrossRef]
- Ruze, R.; Liu, T.; Zou, X.; Song, J.; Chen, Y.; Xu, R.; Yin, X.; Xu, Q. Obesity and type 2 diabetes mellitus: Connections in epidemiology, pathogenesis, and treatments. Front. Endocrinol. 2023, 14, 1161521. [Google Scholar] [CrossRef]
- World Health Organization. Diabetes; WHO: Geneva, Switzerland, 2019. [Google Scholar]
- Antar, S.A.; Ashour, N.A.; Sharaky, M.; Khattab, M.; Ashour, N.A.; Zaid, R.T.; Roh, E.J.; Elkamhawy, A.; Al-Karmalawy, A.A. Diabetes mellitus: Classification, mediators, and complications; a gate to identify potential targets for the development of new effective treatments. Biomed. Pharmacother. 2023, 168, 115734. [Google Scholar] [CrossRef] [PubMed]
- Dilworth, L.; Facey, A.; Omoruyi, F. Diabetes Mellitus and Its Metabolic Complications: The Role of Adipose Tissues. Int. J. Mol. Sci. 2021, 22, 7644. [Google Scholar] [CrossRef]
- McEvoy, L.; Carr, D.F.; Pirmohamed, M. Pharmacogenomics of NSAID-Induced Upper Gastrointestinal Toxicity. Front. Pharmacol. 2021, 12, 684162. [Google Scholar] [CrossRef]
- Amaechi, O.; Human, M.M.; Featherstone, K. Pharmacologic therapy for acute pain. Am. Fam. Physician 2021, 104, 63–72. [Google Scholar]
- Ribeiro, H.; Rodrigues, I.; Napoleão, L.; Lira, L.; Marques, D.; Veríssimo, M.; Andrade, J.P.; Dourado, M. Non-steroidal anti-inflammatory drugs (NSAIDs), pain and aging: Adjusting prescription to patient features. Biomed. Pharmacother. 2022, 150, 112958. [Google Scholar] [CrossRef]
- Bindu, S.; Mazumder, S.; Bandyopadhyay, U. Non-steroidal anti-inflammatory drugs (NSAIDs) and organ damage: A current perspective. Biochem. Pharmacol. 2020, 180, 114147. [Google Scholar] [CrossRef]
- Kowalski, M.L.; Makowska, J.S. Seven Steps to the Diagnosis of NSAIDs Hypersensitivity: How to Apply a New Classification in Real Practice? Allergy Asthma Immunol. Res. 2015, 7, 312–320. [Google Scholar] [CrossRef]
- Han, M.İ.; Tunç, C.Ü.; Atalay, P.; Erdoğan, Ö.; Ünal, G.; Bozkurt, M.; Aydın, Ö.; Çevik, Ö.; Küçükgüzel, Ş.G. Design, synthesis, and in vitro and in vivo anticancer activity studies of new (S)-Naproxen thiosemicarbazide/1,2,4-triazole derivatives†. New J. Chem. 2022, 46, 6046–6059. [Google Scholar] [CrossRef]
- Theodosis-Nobelos, P.; Marc, G.; Rekka, E.A. Design, Synthesis and Evaluation of Antioxidant and NSAID Derivatives with Antioxidant, Anti-Inflammatory and Plasma Lipid Lowering Effects. Molecules 2024, 29, 1016. [Google Scholar] [CrossRef] [PubMed]
- Ivanov, I.; Manolov, S.; Bojilov, D.; Marc, G.; Dimitrova, D.; Oniga, S.; Oniga, O.; Nedialkov, P.; Stoyanova, M. Novel Flurbiprofen Derivatives as Antioxidant and Anti-Inflammatory Agents: Synthesis, In Silico, and In Vitro Biological Evaluation. Molecules 2024, 29, 385. [Google Scholar] [CrossRef]
- Aguila-Muñoz, D.G.; Jiménez-Montejo, F.E.; López-López, V.E.; Mendieta-Moctezuma, A.; Rodríguez-Antolín, J.; Cornejo-Garrido, J.; Cruz-López, M.C. Evaluation of α-Glucosidase Inhibition and Antihyperglycemic Activity of Extracts Obtained from Leaves and Flowers of Rumex crispus L. Molecules 2023, 28, 5760. [Google Scholar] [CrossRef] [PubMed]
- Han, L.; Wang, H.; Cao, J.; Li, Y.; Jin, X.; He, C.; Wang, M. Inhibition mechanism of α-glucosidase inhibitors screened from Tartary buckwheat and synergistic effect with acarbose. Food Chem. 2023, 420, 136102. [Google Scholar] [CrossRef] [PubMed]
- Hossain, U.; Das, A.K.; Ghosh, S.; Sil, P.C. An overview on the role of bioactive α-glucosidase inhibitors in ameliorating diabetic complications. Food Chem. Toxicol. 2020, 145, 111738. [Google Scholar] [CrossRef]
- Yonemoto, R.; Shimada, M.; Gunawan-Puteri, M.D.; Kato, E.; Kawabata, J. α-Amylase Inhibitory Triterpene from Abrus precatorius Leaves. J. Agric. Food Chem. 2014, 62, 8411–8414. [Google Scholar] [CrossRef]
- Yin, Z.; Zhang, W.; Feng, F.; Zhang, Y.; Kang, W. α-Glucosidase inhibitors isolated from medicinal plants. Food Sci. Hum. Wellness 2014, 3, 136–174. [Google Scholar] [CrossRef]
- Liu, Z.; Ma, S. Recent Advances in Synthetic α-Glucosidase Inhibitors. ChemMedChem 2017, 12, 819–829. [Google Scholar] [CrossRef]
- Kausar, N.; Ullah, S.; Khan, M.A.; Zafar, H.; Atia-Tul-Wahab; Choudhary, M.I.; Yousuf, S. Celebrex derivatives: Synthesis, α-glucosidase inhibition, crystal structures and molecular docking studies. Bioorg. Chem. 2021, 106, 104499. [Google Scholar] [CrossRef]
- Daud, S.; Abid, O.U.; Sardar, A.; Abdullah, S.; Shahid, W.; Ashraf, M.; Ejaz, S.A.; Saeed, A.; Shah, B.A.; Niaz, B. Exploring ibuprofen derivatives as α-glucosidase and lipoxygenase inhibitors: Cytotoxicity and in silico studies. Arch. Pharm. 2022, 355, e2200013. [Google Scholar] [CrossRef] [PubMed]
- Moorthy, N.S.; Ramos, M.J.; Fernandes, P.A. Studies on α-glucosidase inhibitors development: Magic molecules for the treatment of carbohydrate mediated diseases. Mini Rev. Med. Chem. 2012, 12, 713–720. [Google Scholar] [CrossRef]
- Williamson, R.T. On the Treatment of Glycosuria and Diabetes Mellitus with Sodium Salicylate. Br. Med. J. 1901, 1, 760–762. [Google Scholar] [CrossRef]
- Yuan, M.; Konstantopoulos, N.; Lee, J.; Hansen, L.; Li, Z.W.; Karin, M.; Shoelson, S.E. Reversal of Obesity- and Diet-Induced Insulin Resistance with Salicylates or Targeted Disruption of Ikkβ. Science 2001, 293, 1673–1677. [Google Scholar] [CrossRef]
- Hundal, R.S.; Petersen, K.F.; Mayerson, A.B.; Randhawa, P.S.; Inzucchi, S.; Shoelson, S.E.; Shulman, G.I. Mechanism by which high-dose aspirin improves glucose metabolism in type 2 diabetes. J. Clin. Investig. 2002, 109, 1321–1326. [Google Scholar] [CrossRef]
- Li, J.; Zhang, N.; Ye, B.; Ju, W.; Orser, B.; Fox, J.E.; Wheeler, M.B.; Wang, Q.; Lu, W.Y. Non-steroidal anti-inflammatory drugs increase insulin release from beta cells by inhibiting ATP-sensitive potassium channels. Br. J. Pharmacol. 2007, 151, 483–493. [Google Scholar] [CrossRef]
- Robertson, R.P. The COX-2/PGE2/EP3/Gi/o/cAMP/GSIS Pathway in the Islet: The Beat Goes On. Diabetes 2017, 66, 1464–1466. [Google Scholar] [CrossRef] [PubMed]
- Steinberg, G.R.; Dandapani, M.; Hardie, D.G. AMPK: Mediating the metabolic effects of salicylate-based drugs? Trends Endocrinol. Metab. 2013, 24, 481–487. [Google Scholar] [CrossRef]
- Hawley, S.A.; Fullerton, M.D.; Ross, F.A.; Schertzer, J.D.; Chevtzoff, C.; Walker, K.J.; Peggie, M.W.; Zibrova, D.; Green, K.A.; Mustard, K.J.; et al. The Ancient Drug Salicylate Directly Activates AMP-Activated Protein Kinase. Science 2012, 336, 918–922. [Google Scholar] [CrossRef] [PubMed]
- King, T.S.; Russe, O.Q.; Möser, C.V.; Ferreirós, N.; Kynast, K.L.; Knothe, C.; Olbrich, K.; Geisslinger, G.; Niederberger, E. AMP-activated protein kinase is activated by non-steroidal anti-inflammatory drugs. Eur. J. Pharmacol. 2015, 762, 299–305. [Google Scholar] [CrossRef]
- Shoelson, S.E.; Lee, J.; Yuan, M. Inflammation and the IKKβ/IκB/NF-κB axis in obesity- and diet-induced insulin resistance. Int. J. Obes. Relat. Metab. Disord. 2003, 27, S49–S52. [Google Scholar] [CrossRef]
- Li, D.; Zhong, J.; Zhang, Q.; Zhang, J. Effects of anti-inflammatory therapies on glycemic control in type 2 diabetes mellitus. Front. Immunol. 2023, 14, 1125116. [Google Scholar] [CrossRef]
- Tian, F.; Zhang, Y.J.; Li, Y.; Xie, Y. Celecoxib Ameliorates Non-Alcoholic Steatohepatitis in Type 2 Diabetic Rats via Suppression of the Non-Canonical Wnt Signaling Pathway Expression. PLoS ONE 2014, 9, e83819. [Google Scholar] [CrossRef]
- Hanselman, E.C.; Harmon, C.P.; Deng, D.; Sywanycz, S.M.; Caronia, L.; Jiang, P.; Breslin, P.A.S. Ibuprofen inhibits human sweet taste and glucose detection implicating an additional mechanism of metabolic disease risk reduction. Br. J. Pharmacol. 2025, 182, 2682–2693. [Google Scholar] [CrossRef] [PubMed]
- Kaduševičius, E. Novel Applications of NSAIDs: Insight and Future Perspectives in Cardiovascular, Neurodegenerative, Diabetes and Cancer Disease Therapy. Int. J. Mol. Sci. 2021, 22, 6637. [Google Scholar] [CrossRef]
- Donath, M.Y.; Shoelson, S.E. Type 2 diabetes as an inflammatory disease. Nat. Rev. Immunol. 2011, 11, 98–107. [Google Scholar] [CrossRef]
- Pan, G.; Lu, Y.; Wei, Z.; Li, Y.; Li, L.; Pan, X. A Review on the in vitro and in vivo screening of α-glucosidase Inhibitors. Heliyon 2024, 10, e37467. [Google Scholar] [CrossRef] [PubMed]
- Lu, H.; Xie, T.; Wu, Q.; Hu, Z.; Luo, Y.; Luo, F. Alpha-Glucosidase Inhibitory Peptides: Sources, Preparations, Identifications, and Action Mechanisms. Nutrients 2023, 15, 4267. [Google Scholar] [CrossRef] [PubMed]
- Agrawal, N.; Sharma, M.; Singh, S.; Goyal, A. Recent Advances of α-Glucosidase Inhibitors: A Comprehensive Review. Curr. Top. Med. Chem. 2022, 22, 2069–2086. [Google Scholar] [CrossRef]
- Balestri, F.; Moschini, R.; Mura, U.; Cappiello, M.; Del Corso, A. In Search of Differential Inhibitors of Aldose Reductase. Biomolecules 2022, 12, 485. [Google Scholar] [CrossRef]
- Singh, M.; Kapoor, A.; Bhatnagar, A. Physiological and Pathological Roles of Aldose Reductase. Metabolites 2021, 11, 655. [Google Scholar] [CrossRef]
- Mizukami, H.; Osonoi, S. Pathogenesis and Molecular Treatment Strategies of Diabetic Neuropathy: Collateral Glucose-Utilizing Pathways in Diabetic Polyneuropathy. Int. J. Mol. Sci. 2020, 22, 94. [Google Scholar] [CrossRef] [PubMed]
- Mathebula, S.D. Polyol pathway: A possible mechanism of diabetes complications in the eye. Afr. Vis. Eye Health 2015, 74, 5. [Google Scholar] [CrossRef]
- Kaur, N.; Kumar, V.; Nayak, S.K.; Wadhwa, P.; Kaur, P.; Sahu, S.K. Alpha-amylase as molecular target for treatment of diabetes mellitus: A comprehensive review. Chem. Biol. Drug Des. 2021, 98, 539–560. [Google Scholar] [CrossRef]
- Jha, R.; Goyal, K.; Mehan, S.; Singh, G. Dual α-amylase and α-glucosidase inhibitors: Recent progress from natural and synthetic resources. Bioorg. Chem. 2025, 163, 108762. [Google Scholar] [CrossRef] [PubMed]
- Mahmood, N. A review of α-amylase inhibitors on weight loss and glycemic control in pathological state such as obesity and diabetes. Comp. Clin. Pathol. 2016, 25, 1253–1264. [Google Scholar] [CrossRef]
- Boztaş, F.Y.; Tunalı, S. In vitro Inhibitory Effects of Some Antiviral, Antidiabetic, and Non-Steroidal Anti-Inflammatory Drug Active Compounds on α-Glucosidase and Myeloperoxidase Activities. J. Turk. Chem. Soc. Sect. A Chem. 2024, 11, 691–698. [Google Scholar] [CrossRef]
- Demir, Y.; Duran, H.E.; Durmaz, L.; Taslimi, P.; Beydemir, Ş.; Gulçin, İ. The Influence of Some Nonsteroidal Anti-Inflammatory Drugs on Metabolic Enzymes of Aldose Reductase, Sorbitol Dehydrogenase, and α-Glycosidase: A Perspective for Metabolic Disorders. Appl. Biochem. Biotechnol. 2020, 190, 437–447. [Google Scholar] [CrossRef]
- Rane, R.; Satpute, B.; Patil, R.; Kumar, D.; Suryawanshi, M.; Patil, T.; Pawar, A.; Gawade, B.; Sakat, S. Synthesis and molecular docking of novel biguanide-NSAIDs hybrid with dual anti-diabetic and anti-inflammatory activity. J. Mol. Struct. 2025, 1320, 139512. [Google Scholar] [CrossRef]
- Chen, J.; Lu, W.; Chen, H.; Bian, X.; Yang, G. A New Series of Salicylic Acid Derivatives as Non-Saccharide α-Glucosidase Inhibitors and Antioxidants. Biol. Pharm. Bull. 2019, 42, 231–246. [Google Scholar] [CrossRef]
- Daud, S.; Abid, O.U.R.; Sardar, A.; Shah, B.A.; Rafiq, M.; Wadood, A.; Ghufran, M.; Rehman, W.; Zain-ul-Wahab; Iftikhar, F.; et al. Design, synthesis, in vitro evaluation, and docking studies on ibuprofen-derived 1,3,4-oxadiazole derivatives as dual α-glucosidase and urease inhibitors. Med. Chem. Res. 2022, 31, 1–21. [Google Scholar] [CrossRef]
- Daud, S.; Saadullah, M.; Fakhar-e-Alam, M.; Carradori, S.; Sardar, A.; Niaz, B.; Atif, M.; Zara, S.; Rashad, M. Isatin-based ibuprofen and mefenamic acid Schiff base derivatives as dual inhibitors against urease and α-glucosidase: In vitro, in silico and cytotoxicity studies. J. Saudi Chem. Soc. 2024, 28, 101905. [Google Scholar] [CrossRef]
- Alam, A.; Zainab; Elhenawy, A.A.; Ur Rehman, M.; Shahidul Islam, M.; Dahlous, K.A.; Talab, F.; Syed; Shah, A.A.; Ali, M.; et al. Synthesis of Flurbiprofen-Based Amide Derivatives as Potential Leads for Diabetic Management: In Vitro α-Glucosidase Inhibition, Molecular Docking and DFT Simulation Approach. ChemistrySelect 2024, 9, e202401296. [Google Scholar] [CrossRef]
- Khan, M.; Alam, A.; Khan, K.M.; Salar, U.; Chigurupati, S.; Wadood, A.; Ali, F.; Mohammad, J.I.; Riaz, M.; Perveen, S. Flurbiprofen derivatives as novel α-amylase inhibitors: Biology-oriented drug synthesis (BIODS), in vitro, and in silico evaluation. Bioorg. Chem. 2018, 81, 157–167. [Google Scholar] [CrossRef]
- Alam, A.; Ali, M.; Rehman, N.U.; Ullah, S.; Halim, S.A.; Latif, A.; Zainab; Khan, A.; Ullah, O.; Ahmad, S.; et al. Bio-Oriented Synthesis of Novel (S)-Flurbiprofen Clubbed Hydrazone Schiff’s Bases for Diabetic Management: In Vitro and In Silico Studies. Pharmaceuticals 2022, 15, 672. [Google Scholar] [CrossRef] [PubMed]
- Sardar, A.; Abid, O.U.R.; Daud, S.; Fakhar-e-Alam, M.; Siddique, M.H.; Ashraf, M.; Shahid, W.; Ejaz, S.A.; Atif, M.; Ahmad, S.; et al. Design, synthesis, in vitro and in silico studies of naproxen derivatives as dual lipoxygenase and α-glucosidase inhibitors. J. Saudi Chem. Soc. 2022, 26, 101468. [Google Scholar] [CrossRef]
- Sardar, A.; Abid, O.U.R.; Khan, S.; Hussain, R.; Dawood, S.; Rehman, W.; Aziz, T.; Shah, B.; Alharbi, M.; Alasmari, A. Identification of in vitro α-glucosidase and urease inhibitory effect, and in silico studies of naproxen-derived 1,3,4-oxadiazole-based Schiff-base derivatives. J. Mol. Struct. 2024, 1305, 137712. [Google Scholar] [CrossRef]
- Daud, S.; Abid, O.U.R.; Rehman, W.; Sardar, A.; Alanazi, M.M.; Rasheed, L.; Ejaz, S.A.; Fayyaz, A.; Shah, B.; Maalik, A. Exploring the potential of new mefenamic acid derivatives as α-glucosidase inhibitors: Structure-activity relationship, in vitro and in silico studies. J. Mol. Struct. 2024, 1316, 138812. [Google Scholar] [CrossRef]
- Shamle, N.J.; Tella, A.C.; Obaleye, J.A.; Balogun, F.O.; Ashafa, A.O.; Ajibade, P.A. Synthesis, characterization, antioxidant and antidiabetic studies of Cu(II) and Zn(II) complexes of tolfenamic acid/mefenamic acid with 1-methylimidazole. Inorg. Chim. Acta 2020, 513, 119942. [Google Scholar] [CrossRef]
- Sardar, A.; Abid, O.U.; Rehman, W.; Rasheed, L.; Alanazi, M.M.; Daud, S.; Rafiq, M.; Wadood, A.; Shakeel, M. Synthesis and biological evaluation of diclofenac acid derivatives as potential lipoxygenase and α-glucosidase inhibitors. R. Soc. Open Sci. 2024, 11, 240543. [Google Scholar] [CrossRef]
- Ahmed, A.; Shafique, I.; Saeed, A.; Shabir, G.; Saleem, A.; Taslimi, P.; Taskin Tok, T.; Kirici, M.; Üç, E.M.; Hashmi, M.Z. Nimesulide linked acyl thioureas potent carbonic anhydrase I, II and α-glucosidase inhibitors: Design, synthesis and molecular docking studies. Eur. J. Med. Chem. Rep. 2022, 6, 100082. [Google Scholar] [CrossRef]
- Fadaly, W.A.A.; Elshewy, A.; Nemr, M.T.M.; Abdou, K.; Sayed, A.M.; Kahk, N.M. Discovery of novel thiazole derivatives containing pyrazole scaffold as PPAR-γ Agonists, α-Glucosidase, α-Amylase and COX-2 inhibitors; Design, synthesis and in silico study. Bioorg. Chem. 2024, 152, 107760. [Google Scholar] [CrossRef] [PubMed]
- Rahim, K.; Shan, M.; Ul Haq, I.; Nawaz, M.N.; Maryam, S.; Alturki, M.S.; Al Khzem, A.H.; Metwally, K.; Cavalu, S.; Alqifari, S.F.; et al. Revolutionizing Treatment Strategies for Autoimmune and Inflammatory Disorders: The Impact of Dipeptidyl-Peptidase 4 Inhibitors. J. Inflamm. Res. 2024, 17, 1897–1917. [Google Scholar] [CrossRef] [PubMed]
- Capuano, A.; Sportiello, L.; Maiorino, M.I.; Rossi, F.; Giugliano, D.; Esposito, K. Dipeptidyl peptidase-4 inhibitors in type 2 diabetes therapy: Focus on alogliptin. Drug Des. Devel. Ther. 2013, 7, 989–1001. [Google Scholar] [CrossRef]
- Mathur, V.; Alam, O.; Siddiqui, N.; Jha, M.; Manaithiya, A.; Bawa, S.; Sharma, N.; Alshehri, S.; Alam, P.; Shakeel, F. Insight into Structure Activity Relationship of DPP-4 Inhibitors for Development of Antidiabetic Agents. Molecules 2023, 28, 5860. [Google Scholar] [CrossRef]
- Chittepu, V.C.S.R.; Kalhotra, P.; Osorio-Gallardo, T.; Gallardo-Velázquez, T.; Osorio-Revilla, G. Repurposing of FDA-Approved NSAIDs for DPP-4 Inhibition as an Alternative for Diabetes Mellitus Treatment: Computational and in Vitro Study. Pharmaceutics 2019, 11, 238. [Google Scholar] [CrossRef]
- Zhang, J.; Wang, J.; Wu, H.; He, Y.; Zhu, G.; Cui, X.; Tang, L. Design, synthesis and insulin-sensitizing activity of indomethacin and diclofenac derivatives. Bioorg. Med. Chem. Lett. 2009, 19, 3324–3327. [Google Scholar] [CrossRef] [PubMed]
- Wang, J.T.; Wang, Y.; Zhang, J.Q.; Cui, X.; Zhang, Y.; Zhu, G.F.; Tang, L. Diclofenac derivatives with insulin-sensitizing activity. Chin. Chem. Lett. 2011, 22, 409–412. [Google Scholar] [CrossRef]
- Bharathi, S.; Mahendiran, D.; Senthil Kumar, R.; Kalilur Rahiman, A. In Vitro Antioxidant and Insulin Mimetic Activities of Heteroleptic Oxovanadium(IV) Complexes with Thiosemicarbazones and Naproxen. ChemistrySelect 2020, 5, 6245–6254. [Google Scholar] [CrossRef]
- Xin, G.; Wang, Y.; Guo, X.; Huang, B.; Du, D.; He, S.; Zhang, R.; Xing, Z.; Zhao, H.; Chen, Q.; et al. Synthesis of Diosgenin-Ibuprofen Derivatives and Their Activities against Insulin-Dependent Diabetes Mellitus. Chem. Pharm. Bull. 2013, 61, 532–538. [Google Scholar] [CrossRef] [PubMed]
- Navas, A.; Jannus, F.; Fernández, B.; Cepeda, J.; Medina O’Donnell, M.; Díaz-Ruiz, L.; Sánchez-González, C.; Llopis, J.; Seco, J.M.; Rufino-Palomares, E.; et al. Designing Single-Molecule Magnets as Drugs with Dual Anti-Inflammatory and Anti-Diabetic Effects. Int. J. Mol. Sci. 2020, 21, 3146. [Google Scholar] [CrossRef] [PubMed]
- Hasan, M.S.; Das, N.; Al Mahmud, Z.; Rahman, S.M.A. Pharmacological Evaluation of Naproxen Metal Complexes on Antinociceptive, Anxiolytic, CNS Depressant, and Hypoglycemic Properties. Adv. Pharmacol. Sci. 2016, 2016, 3040724. [Google Scholar] [CrossRef] [PubMed]
Disclaimer/Publisher’s Note: The statements, opinions and data contained in all publications are solely those of the individual author(s) and contributor(s) and not of MDPI and/or the editor(s). MDPI and/or the editor(s) disclaim responsibility for any injury to people or property resulting from any ideas, methods, instructions or products referred to in the content. |
© 2026 by the authors. Licensee MDPI, Basel, Switzerland. This article is an open access article distributed under the terms and conditions of the Creative Commons Attribution (CC BY) license.














































