Relationship Between Heart Rate, Muscle, and Peripheral Oxygen Saturation During Dry Static Apnea
Abstract
1. Introduction
2. Materials and Methods
2.1. Experimental Design
2.2. Anthropometric and Spirometry Indices
2.3. Peripheral Arterial Oxygen Saturation and Local Muscle Oxygenation Procedure
2.4. Data Acquisition and Statistical Analysis
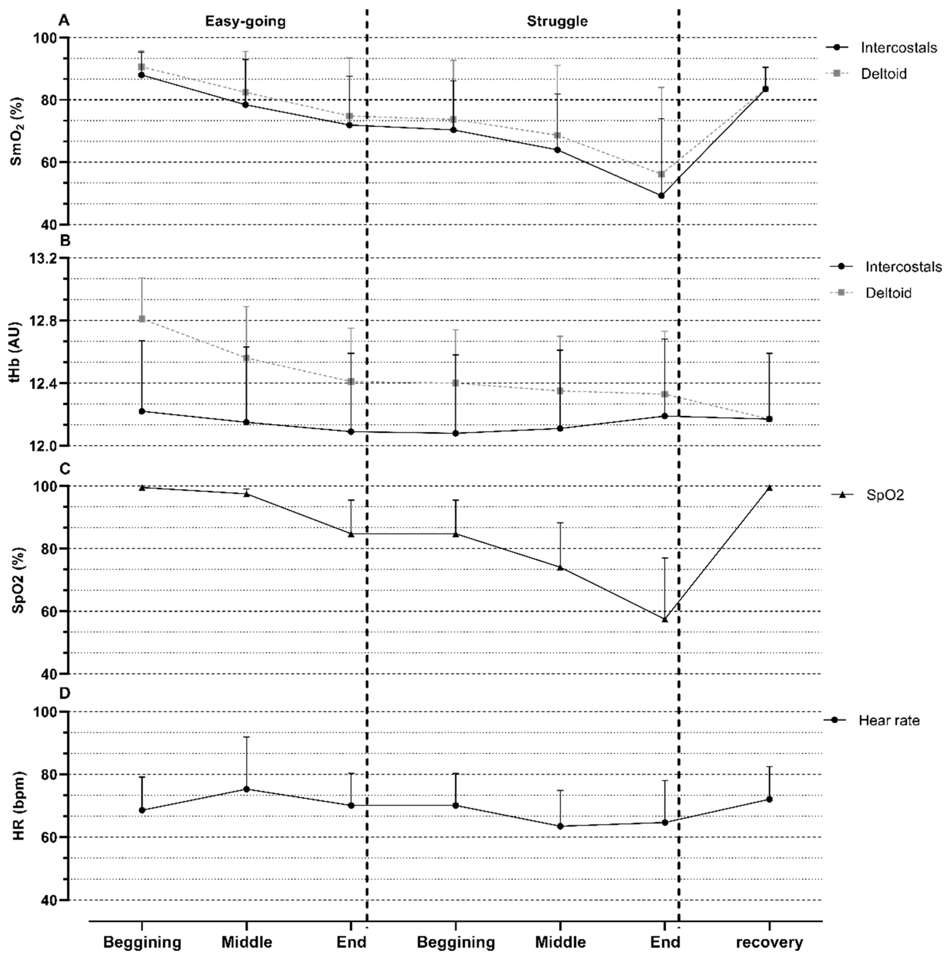
3. Results
Participant Characteristics
4. Discussion
4.1. Local Muscle Oxygen Saturation and Apnea Duration
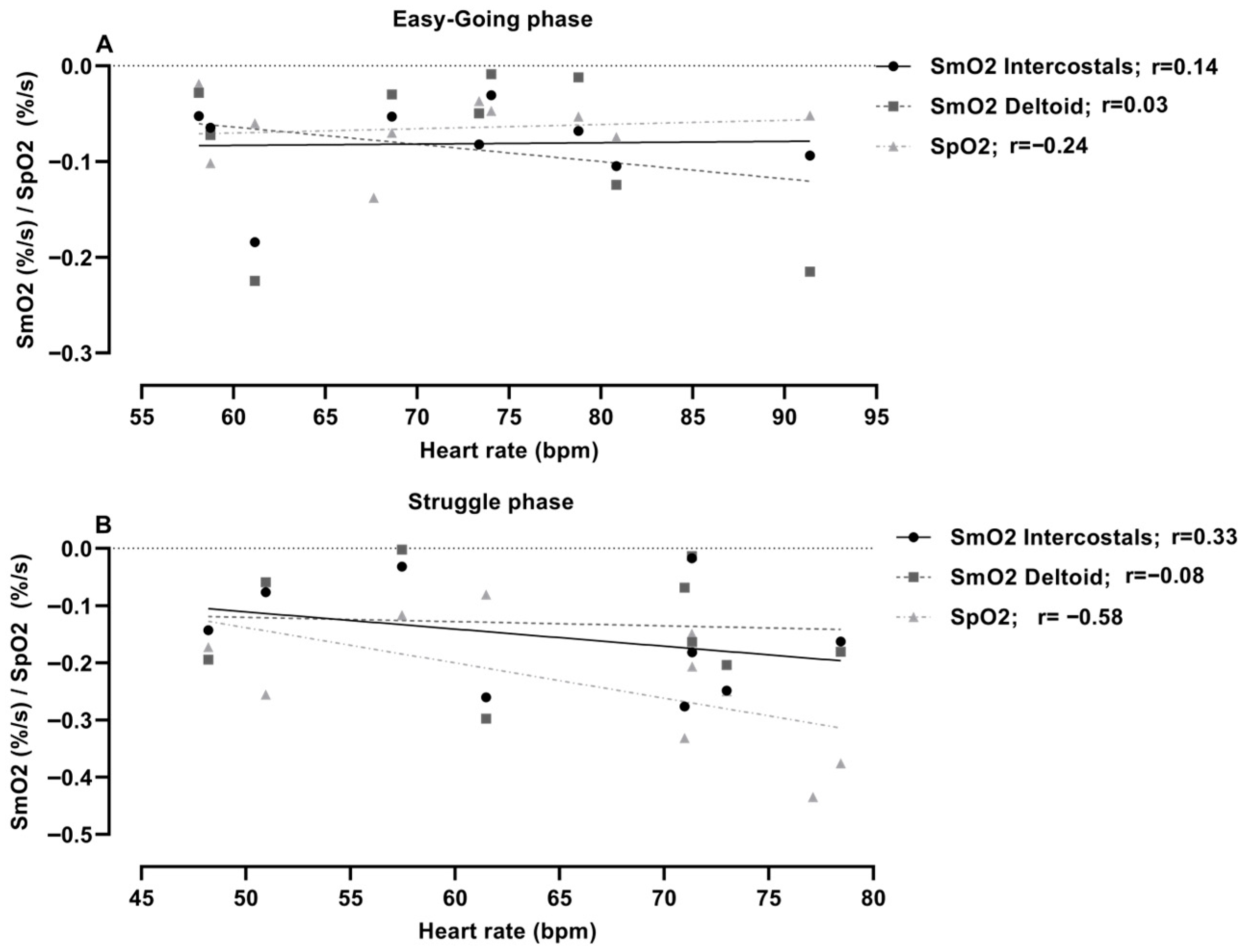
4.2. Heart Rate and Oxygen Saturation
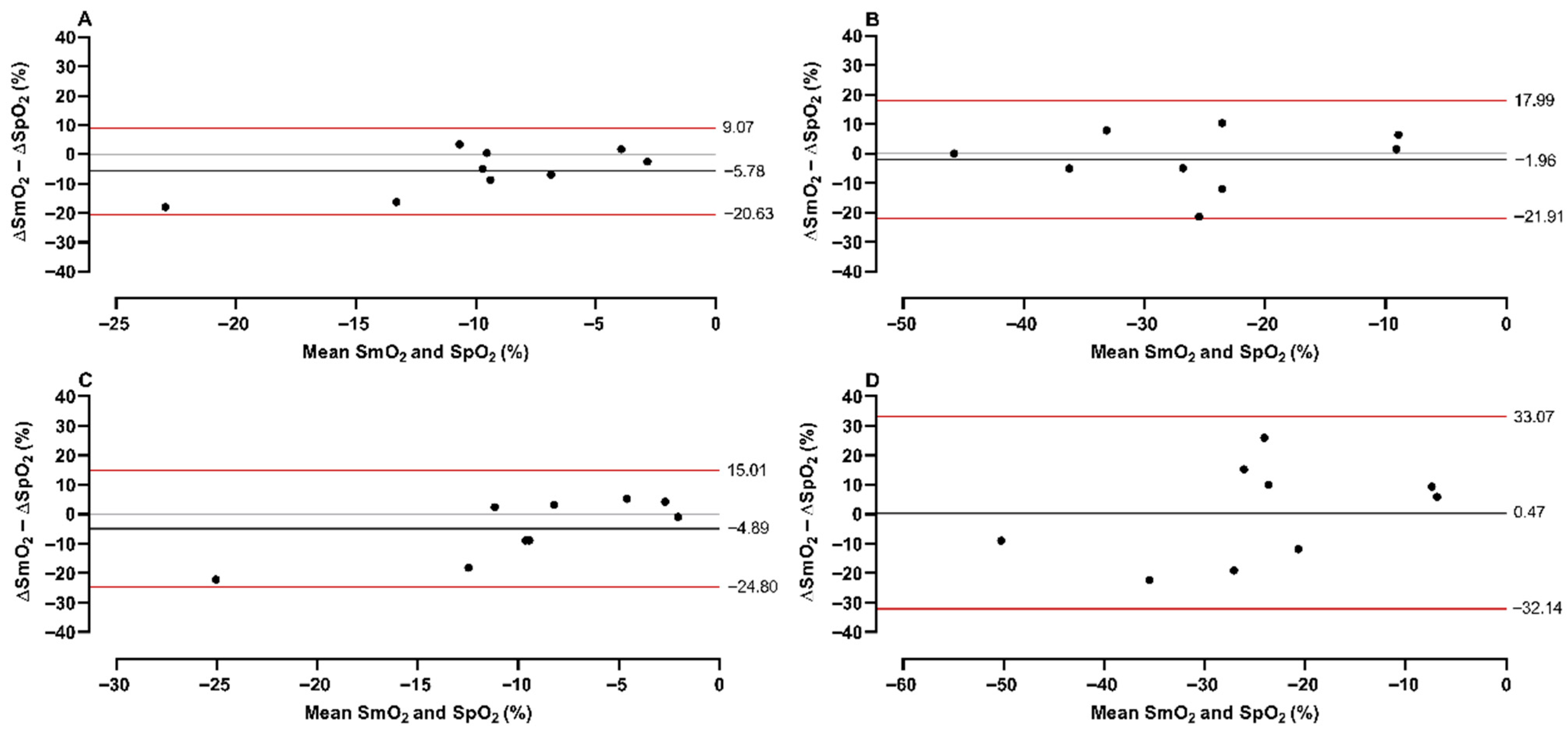
4.3. Peripheral and Local Muscle Oxygen Saturation
4.4. Limitations and Strengths
5. Conclusions
Author Contributions
Funding
Institutional Review Board Statement
Informed Consent Statement
Data Availability Statement
Conflicts of Interest
Abbreviations
| DR | Diving response |
| BHD | Breath-hold divers |
| IBM | Involuntary breathing movements |
| CO2 | Carbon dioxide |
| O2 | Oxygen |
| VO2 | Oxygen volume |
| SmO2 | Muscle oxygen saturation |
| SpO2 | Peripheral estimation of oxygen saturation |
| HR | Heart rate |
| FVC | Forced vital capacity |
| FEV1 | Forced expiratory volume in 1st second |
| FEV1/FVC | Tiffeneau index |
| CBF | Cerebral blood flow |
References
- Andersson, J.P.; Evaggelidis, L. Arterial oxygen saturation and diving response during dynamic apneas in breath-hold divers. Scand. J. Med. Sci. Sports 2009, 19, 87–91. [Google Scholar] [CrossRef]
- Andersson, J.P.; Linér, M.H.; Rünow, E.; Schagatay, E.K. Diving response and arterial oxygen saturation during apnea and exercise in breath-hold divers. J. Appl. Physiol. (1985) 2002, 93, 882–886. [Google Scholar] [CrossRef]
- Patrician, A.; Dujić, Ž.; Spajić, B.; Drviš, I.; Ainslie, P.N. Breath-Hold Diving—The Physiology of Diving Deep and Returning. Front. Physiol. 2021, 12, 639377. [Google Scholar] [CrossRef]
- Schagatay, E.; Andersson, J. Diving response and apneic time in humans. Undersea Hyperb. Med. 1998, 25, 13–19. [Google Scholar]
- Ferrigno, M.; Hickey, D.D.; Liner, M.H.; Lundgren, C.E. Cardiac performance in humans during breath holding. J. Appl. Physiol. 1986, 60, 1871–1877. [Google Scholar] [CrossRef]
- Fagius, J.; Sundlöf, G. The diving response in man: Effects on sympathetic activity in muscle and skin nerve fascicles. J. Physiol. 1986, 377, 429–443. [Google Scholar] [CrossRef] [PubMed]
- Costalat, G.; Godin, B.; Balmain, B.N.; Moreau, C.; Brotherton, E.; Billaut, F.; Lemaitre, F. Autonomic regulation of the heart and arrhythmogenesis in trained breath-hold divers. Eur. J. Sport Sci. 2021, 21, 439–449. [Google Scholar] [CrossRef] [PubMed]
- Lemaître, F.; Buchheit, M.; Joulia, F.; Fontanari, P.; Tourny-Chollet, C. Static apnea effect on heart rate and its variability in elite breath-hold divers. Aviat. Space Environ. Med. 2008, 79, 99–104. [Google Scholar] [CrossRef] [PubMed]
- Alboni, P.; Alboni, M.; Gianfranchi, L. Diving bradycardia: A mechanism of defence against hypoxic damage. J. Cardiovasc. Med. 2011, 12. [Google Scholar] [CrossRef]
- Shamsuzzaman, A.; Ackerman, M.J.; Kuniyoshi, F.S.; Accurso, V.; Davison, D.; Amin, R.S.; Somers, V.K. Sympathetic nerve activity and simulated diving in healthy humans. Auton. Neurosci. 2014, 181, 74–78. [Google Scholar] [CrossRef]
- Palada, I.; Obad, A.; Bakovic, D.; Valic, Z.; Ivancev, V.; Dujic, Z. Cerebral and peripheral hemodynamics and oxygenation during maximal dry breath-holds. Respir. Physiol. Neurobiol. 2007, 157, 374–381. [Google Scholar] [CrossRef]
- Bain, A.R.; Drvis, I.; Dujic, Z.; MacLeod, D.B.; Ainslie, P.N. Physiology of static breath holding in elite apneists. Exp. Physiol. 2018, 103, 635–651. [Google Scholar] [CrossRef]
- Dujic, Z.; Uglesic, L.; Breskovic, T.; Valic, Z.; Heusser, K.; Marinovic, J.; Ljubkovic, M.; Palada, I. Involuntary breathing movements improve cerebral oxygenation during apnea struggle phase in elite divers. J. Appl. Physiol. (1985) 2009, 107, 1840–1846. [Google Scholar] [CrossRef]
- Godfrey, S.; Campbell, E.J. The control of breath holding. Respir. Physiol. 1968, 5, 385–400. [Google Scholar] [CrossRef] [PubMed]
- Vrdoljak, D.; Dujić, Ž.; Hubbard, C.D.; Coombs, G.B.; Lovering, A.T.; Drvis, I.; Foretic, N.; Duke, J.W. Muscle oxygenation and local blood volume difference between intercostal and deltoid during dry static apnea in breath-hold divers. Respir. Physiol. Neurobiol. 2025, 335, 104402. [Google Scholar] [CrossRef] [PubMed]
- Hoiland, R.L.; Ainslie, P.N.; Bain, A.R.; MacLeod, D.B.; Stembridge, M.; Drvis, I.; Madden, D.; Barak, O.; MacLeod, D.M.; Dujic, Z. β1-Blockade increases maximal apnea duration in elite breath-hold divers. J. Appl. Physiol. 2016, 122, 899–906. [Google Scholar] [CrossRef]
- Bouten, J.; Bourgois, J.G.; Boone, J. Hold your breath: Peripheral and cerebral oxygenation during dry static apnea. Eur. J. Appl. Physiol. 2020, 120, 2213–2222. [Google Scholar] [CrossRef]
- Eichhorn, L.; Erdfelder, F.; Kessler, F.; Doerner, J.; Thudium, M.O.; Meyer, R.; Ellerkmann, R.K. Evaluation of near-infrared spectroscopy under apnea-dependent hypoxia in humans. J. Clin. Monit. Comput. 2015, 29, 749–757. [Google Scholar] [CrossRef] [PubMed]
- Duke, J.W.; Hubbard, C.D.; Vrdoljak, D.; Coombs, G.B.; Lovering, A.T.; Drvis, I.; Dujić, Ž.; Foretic, N. Respiratory muscle strength pre- and post-maximal apneas in a world champion breath-hold diver. J. Appl. Physiol. 2024, 138, 66–72. [Google Scholar] [CrossRef]
- Hubbard, C.D.; Vrdoljak, D.; Coombs, G.B.; Cross, T.J.; Taylor, B.J.; Lovering, A.T.; Drvis, I.; Dujic, Ž.; Foretić, N.; Duke, J.W. Reduction in respiratory muscle strength following a series of preparatory and maximal static, dry breath-holds. J. Appl. Physiol. 2025, 139, 1335–1345. [Google Scholar] [CrossRef]
- Quanjer, P.H.; Stanojevic, S.; Cole, T.J.; Baur, X.; Hall, G.L.; Culver, B.H.; Enright, P.L.; Hankinson, J.L.; Ip, M.S.; Zheng, J.; et al. Multi-ethnic reference values for spirometry for the 3-95-yr age range: The global lung function 2012 equations. Eur. Respir. J. 2012, 40, 1324–1343. [Google Scholar] [CrossRef] [PubMed]
- Laurie, S.S.; Yang, X.; Elliott, J.E.; Beasley, K.M.; Lovering, A.T. Hypoxia-induced intrapulmonary arteriovenous shunting at rest in healthy humans. J. Appl. Physiol. (1985) 2010, 109, 1072–1079. [Google Scholar] [CrossRef]
- Feldmann, A.; Schmitz, R.; Erlacher, D. Near-infrared spectroscopy-derived muscle oxygen saturation on a 0% to 100% scale: Reliability and validity of the Moxy Monitor. J. Biomed. Opt. 2019, 24, 1–11. [Google Scholar] [CrossRef] [PubMed]
- Barstow, T.J. Understanding near infrared spectroscopy and its application to skeletal muscle research. J. Appl. Physiol. (1985) 2019, 126, 1360–1376. [Google Scholar] [CrossRef]
- Doğan, N. Bland-Altman analysis: A paradigm to understand correlation and agreement. Turk. J. Emerg. Med. 2018, 18, 139–141. [Google Scholar] [CrossRef]
- Schagatay, E. Predicting performance in competitive apnoea diving. Part I: Static apnoea. Diving Hyperb. Med. 2009, 39, 88–99. [Google Scholar] [PubMed]
- Willie, C.K.; Ainslie, P.N.; Drvis, I.; MacLeod, D.B.; Bain, A.R.; Madden, D.; Maslov, P.Z.; Dujic, Z. Regulation of brain blood flow and oxygen delivery in elite breath-hold divers. J. Cereb. Blood Flow Metab. 2015, 35, 66–73. [Google Scholar] [CrossRef] [PubMed]
- Hubbard, C.D.; Cross, T.J.; Merdich, G.Z.; Vrdoljak, D.; Foretic, N.; Dujić, Ž.; Duke, J.W. Respiratory system responses to a maximal apnoea. Exp. Physiol. 2025, 110, 382–390. [Google Scholar] [CrossRef] [PubMed]
- Bailey, D.M.; Willie, C.K.; Hoiland, R.L.; Bain, A.R.; MacLeod, D.B.; Santoro, M.A.; DeMasi, D.K.; Andrijanic, A.; Mijacika, T.; Barak, O.F.; et al. Surviving Without Oxygen: How Low Can the Human Brain Go? High. Alt. Med. Biol. 2017, 18, 73–79. [Google Scholar] [CrossRef] [PubMed]
- Moir, M.E.; Klassen, S.A.; Al-Khazraji, B.K.; Woehrle, E.; Smith, S.O.; Matushewski, B.J.; Kozić, D.; Dujić, Ž.; Barak, O.F.; Shoemaker, J.K. Impaired dynamic cerebral autoregulation in trained breath-hold divers. J. Appl. Physiol. 2019, 126, 1694–1700. [Google Scholar] [CrossRef]
- Heusser, K.; Dzamonja, G.; Tank, J.; Palada, I.; Valic, Z.; Bakovic, D.; Obad, A.; Ivancev, V.; Breskovic, T.; Diedrich, A.; et al. Cardiovascular Regulation During Apnea in Elite Divers. Hypertension 2009, 53, 719–724. [Google Scholar] [CrossRef] [PubMed]
- Lima, A.; Bakker, J. Noninvasive monitoring of peripheral perfusion. In Applied Physiology in Intensive Care Medicine 2: Physiological Reviews and Editorials; Pinsky, M.R., Brochard, L., Mancebo, J., Antonelli, M., Eds.; Springer: Berlin/Heidelberg, Germany, 2012; pp. 39–49. [Google Scholar]




| Variables | Mean ± SD | Range |
|---|---|---|
| Age (years) | 39 ± 10 | (22–55) |
| Body fat (%) | 14.4 ± 4.4 | (8.2–23.4) |
| Body height (cm) | 184.3 ± 3.5 | (180.0–190.0) |
| Body mass (kg) | 84.0 ± 9.2 | (69.8–101.1) |
| Training experience (years) | 16.2 ± 9.7 | (1–35) |
| Best static apnea (min) | 6.4 ± 1.6 | (4.3–10.0) |
| Apnea duration in study (min) | 5.4 ± 1.2 | (3.4–7.4) |
| FEV1, %predicted | 106.4 ± 10.2 | (91–121) |
| FVC, %predicted | 108.0 ± 11.9 | (84–125) |
| FEV1/FVC ratio, %predicted | 97.6 ± 7.2 | (87–107) |
Disclaimer/Publisher’s Note: The statements, opinions and data contained in all publications are solely those of the individual author(s) and contributor(s) and not of MDPI and/or the editor(s). MDPI and/or the editor(s) disclaim responsibility for any injury to people or property resulting from any ideas, methods, instructions or products referred to in the content. |
© 2025 by the authors. Licensee MDPI, Basel, Switzerland. This article is an open access article distributed under the terms and conditions of the Creative Commons Attribution (CC BY) license (https://creativecommons.org/licenses/by/4.0/).
Share and Cite
Vrdoljak, D.; Hubbard, C.D.; Coombs, G.B.; Lovering, A.T.; Drvis, I.; Foretic, N.; Duke, J.W.; Dujić, Ž. Relationship Between Heart Rate, Muscle, and Peripheral Oxygen Saturation During Dry Static Apnea. Oxygen 2025, 5, 27. https://doi.org/10.3390/oxygen5040027
Vrdoljak D, Hubbard CD, Coombs GB, Lovering AT, Drvis I, Foretic N, Duke JW, Dujić Ž. Relationship Between Heart Rate, Muscle, and Peripheral Oxygen Saturation During Dry Static Apnea. Oxygen. 2025; 5(4):27. https://doi.org/10.3390/oxygen5040027
Chicago/Turabian StyleVrdoljak, Dario, Colin D. Hubbard, Geoff B. Coombs, Andrew T. Lovering, Ivan Drvis, Nikola Foretic, Joseph W. Duke, and Željko Dujić. 2025. "Relationship Between Heart Rate, Muscle, and Peripheral Oxygen Saturation During Dry Static Apnea" Oxygen 5, no. 4: 27. https://doi.org/10.3390/oxygen5040027
APA StyleVrdoljak, D., Hubbard, C. D., Coombs, G. B., Lovering, A. T., Drvis, I., Foretic, N., Duke, J. W., & Dujić, Ž. (2025). Relationship Between Heart Rate, Muscle, and Peripheral Oxygen Saturation During Dry Static Apnea. Oxygen, 5(4), 27. https://doi.org/10.3390/oxygen5040027

