Effectiveness of Eco-Engineering Structures in Salt Marsh Restoration: Using Benthic Macroinvertebrates as Indicators of Success
Abstract
1. Introduction
2. Materials and Methods
2.1. Study Site and Experimental Design
2.2. Sampling and Laboratory Procedures
2.3. Data Analysis
3. Results
3.1. Environmental Variables
3.2. Macroinvertebrate Communities’ Structure
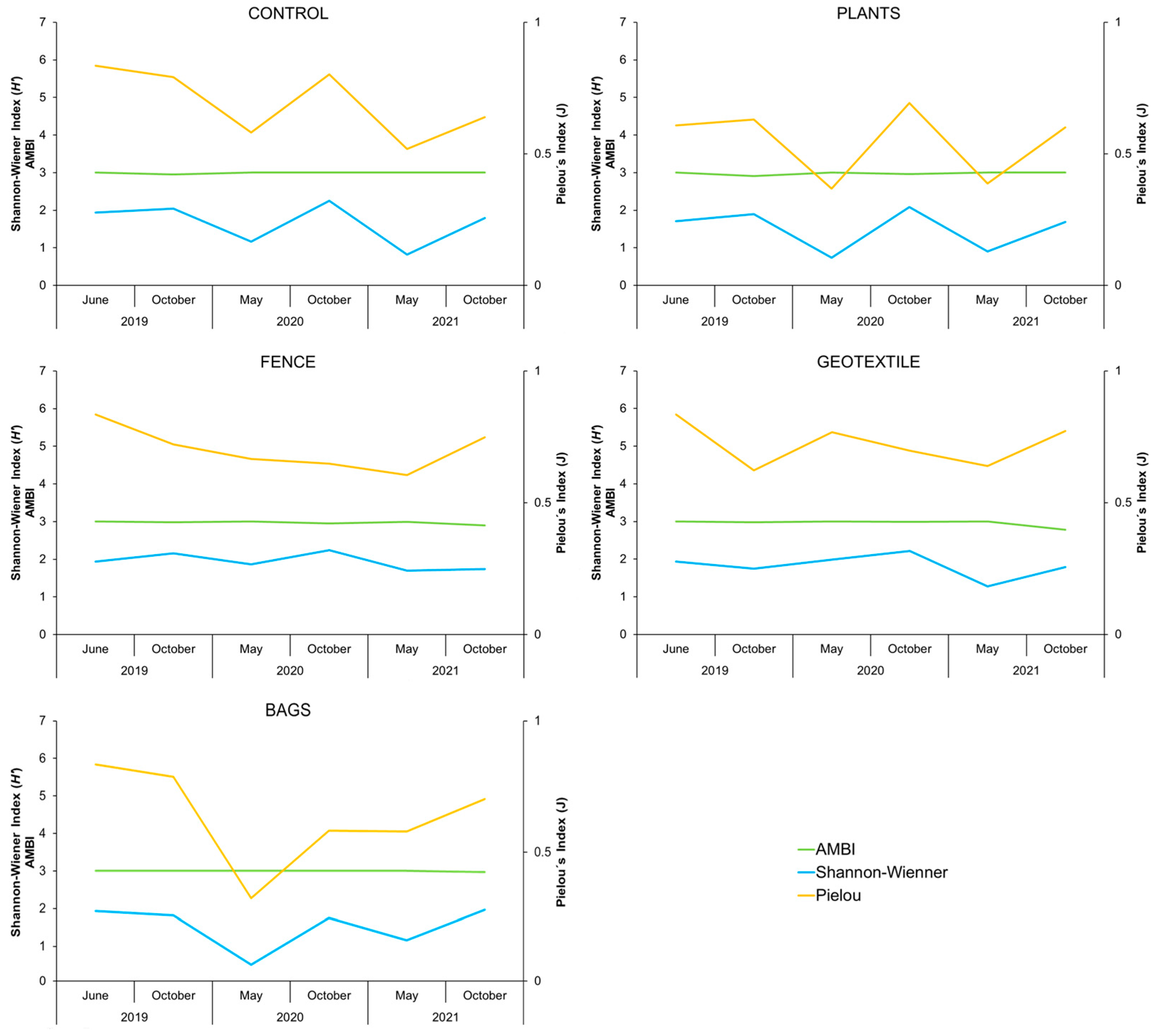
3.3. Ecological Indices
4. Discussion
4.1. Macroinvertebrates Responses to Eco-Engineering Structures
4.2. Practical Recommendations for Designing and Implementing Eco-Engineering Interventions
4.3. Integration into Sustainable Coastal Management Practices
5. Conclusions
Author Contributions
Funding
Institutional Review Board Statement
Informed Consent Statement
Data Availability Statement
Conflicts of Interest
References
- Barbier, E.B.; Hacker, S.D.; Kennedy, C.; Koch, E.W.; Stier, A.C.; Silliman, B.R. The value of estuarine and coastal ecosystem services. Ecol. Monogr. 2011, 81, 169–193. [Google Scholar] [CrossRef]
- Beaumont, N.J.; Jones, L.; Garbutt, A.; Hansom, J.D.; Toberman, M. The value of carbon sequestration and storage in coastal habitats. Estuar. Coast. Shelf Sci. 2014, 137, 32–40. [Google Scholar] [CrossRef]
- Teixeira, A.; Duarte, B.; Caçador, I. Salt Marshes and Biodiversity. In Sabkha Ecosystems; Springer: Dordrecht, The Netherlands, 2014; pp. 283–298. [Google Scholar] [CrossRef]
- Marin-Diaz, B.; van der Wal, D.; Kaptein, L.; Martinez-Garcia, P.; Lashley, C.H.; de Jong, K.; Nieuwenhuis, J.W.; Govers, L.L.; Olff, H.; Bouma, T.J. Using salt marshes for coastal protection: Effective but hard to get where needed most. J. Appl. Ecol. 2023, 60, 1286–1301. [Google Scholar] [CrossRef]
- Temmerman, S.; Horstman, E.M.; Krauss, K.W.; Mullarney, J.C.; Pelckmans, I.; Schoutens, K. Marshes and Mangroves as Nature-Based Coastal Storm Buffers. Annu. Rev. Mar. Sci. 2023, 15, 95–118. [Google Scholar] [CrossRef]
- Ketabchi, H.; Mahmoodzadeh, D.; Ataie-Ashtiani, B.; Simmons, C.T. Sea-level rise impacts on seawater intrusion in coastal aquifers: Review and integration. J. Hydrol. 2016, 535, 235–255. [Google Scholar] [CrossRef]
- Leatherman, S.P.; Zhang, K.; Douglas, B.C. Sea level rise shown to drive coastal erosion. Eos Trans. Am. Geophys. Union 2000, 81, 55–57. [Google Scholar] [CrossRef]
- Grieger, R.; Capon, S.; Hadwen, W. Resilience of coastal freshwater wetland vegetation of subtropical Australia to rising sea levels and altered hydrology. Reg. Environ. Chang. 2019, 19, 279–292. [Google Scholar] [CrossRef]
- Crosby, S.C.; Sax, D.F.; Palmer, M.E.; Booth, H.S.; Deegan, L.A.; Bertness, M.D.; Leslie, H.M. Salt marsh persistence is threatened by predicted sea-level rise. Estuar. Coast. Shelf Sci. 2016, 181, 93–99. [Google Scholar] [CrossRef]
- Fagherazzi, S.; Mariotti, G.; Leonardi, N.; Canestrelli, A.; Nardin, W.; Kearney, W.S. Salt Marsh Dynamics in a Period of Accelerated Sea Level Rise. J. Geophys. Res. Earth Surf. 2020, 125, e2019JF005200. [Google Scholar] [CrossRef]
- Von Holle, B.; Irish, J.L.; Spivy, A.; Weishampel, J.F.; Meylan, A.; Godfrey, M.H.; Dodd, M.; Schweitzer, S.H.; Keyes, T.; Sanders, F.; et al. Effects of future sea level rise on coastal habitat. J. Wildl. Manag. 2019, 83, 694–704. [Google Scholar] [CrossRef]
- Bauer, D.M.; Cyr, N.E.; Swallow, S.K. Public Preferences for Compensatory Mitigation of Salt Marsh Losses: A Contingent Choice of AlternativesPreferencias del Público para Mitigación Compensatoria de Pérdidas de Marismas: Una Elección Contingente de Alternativas. Conserv. Biol. 2004, 18, 401–411. [Google Scholar] [CrossRef]
- Broome, S.W.; Craft, C.B. Tidal salt marsh restoration, creation, and mitigation. Reclam. Drastically Disturb. Lands 2015, 41, 939–959. [Google Scholar] [CrossRef]
- Powell, E.J.; Tyrrell, M.C.; Milliken, A.; Tirpak, J.M.; Staudinger, M.D. A review of coastal management approaches to support the integration of ecological and human community planning for climate change. J. Coast. Conserv. 2019, 23, 1–18. [Google Scholar] [CrossRef]
- Moosavi, S. Ecological Coastal Protection: Pathways to Living Shorelines. Procedia Eng. 2017, 196, 930–938. [Google Scholar] [CrossRef]
- Bilkovic, D.M.; Mitchell, M.M. Ecological tradeoffs of stabilized salt marshes as a shoreline protection strategy: Effects of artificial structures on macrobenthic assemblages. Ecol. Eng. 2013, 61, 469–481. [Google Scholar] [CrossRef]
- Wang, S.; Sheng, Q.; Zhao, F.; Zhang, T.; Zhuang, P. Variable Effects on Benthic Community From Diking to Eradicate Invasive Plants in the Yangtze Estuary Salt Marsh. Front. Mar. Sci. 2021, 8, 706353. [Google Scholar] [CrossRef]
- McAtee, K.J.; Thorne, K.M.; Whitcraft, C.R. Short-term impact of sediment addition on plants and invertebrates in a southern California salt marsh. PLoS ONE 2020, 15, e0240597. [Google Scholar] [CrossRef]
- Teixeira, H.; Salas, F.; Neto, J.M.; Patrício, J.; Pinto, R.; Veríssimo, H.; García-Charton, J.A.; Marcos, C.; Pérez-Ruzafa, A.; Marques, J.C. Ecological indices tracking distinct impacts along disturbance-recovery gradients in a temperate NE Atlantic Estuary–Guidance on reference values. Estuar. Coast. Shelf Sci. 2008, 80, 130–140. [Google Scholar] [CrossRef]
- Veríssimo, H.; Neto, J.M.; Teixeira, H.; Franco, J.N.; Fath, B.D.; Marques, J.C.; Patrício, J. Ability of benthic indicators to assess ecological quality in estuaries following management. Ecol. Indic. 2012, 19, 130–143. [Google Scholar] [CrossRef]
- Friberg, N.; Harrison, L.; O’Hare, M.; Tullos, D. Restoring rivers and floodplains: Hydrology and sediments as drivers of change. Ecohydrology 2017, 10, e1884. [Google Scholar] [CrossRef]
- Lorenz, A.W. Continuous riverine biodiversity changes in a 10-years-post-restoration-study—Impacts and pitfalls. River Res. Appl. 2021, 37, 270–282. [Google Scholar] [CrossRef]
- Folk, R.L.; Ward, W.C. Brazos River bar [Texas]; a study in the significance of grain size parameters. J. Sediment. Res. 1957, 27, 3–26. [Google Scholar] [CrossRef]
- Clarke, K.R.; Gorley, R.N. PRIMER v7: User Manual/Tutorial; PRIMER-E: Plymouth, UK, 2015; Available online: https://learninghub.primer-e.com/books/primer-v7-user-manual-tutorial-CN7 (accessed on 15 July 2024).
- Anderson, M.; Gorley, R.N.; Clarke, K.R. PERMANOVA+ for PRIMER: Guide to Software and Statistical Methods; PRIMER-E Ltd.: Plymouth, UK, 2008; Available online: https://learninghub.primer-e.com/books/permanova-for-primer-guide-to-software-and-statistical-methods (accessed on 15 July 2024).
- Borja, A.; Franco, J.; Pérez, V. A Marine Biotic Index to Establish the Ecological Quality of Soft-Bottom Benthos Within European Estuarine and Coastal Environments. Mar. Pollut. Bull. 2000, 40, 1100–1114. [Google Scholar] [CrossRef]
- Borja, A.; Mader, J.; Muxika, I.; Instructions for the Use of the AMBI Index Software (version 6.0). AZTI, 2020, 17p. Available online: http://ambi.azti.es (accessed on 16 July 2024).
- Herman, P.M.J.; Middelburg, J.J.; van de Koppel, J.; Heip, C.H.R. Ecology of Estuarine Macrobenthos. Adv. Ecol. Res. 1999, 29, 195–240. [Google Scholar] [CrossRef]
- Rubin, S.P.; Davis, M.J.; Grossman, E.E.; Woo, I.; De La Cruz, S.E.W.; Nakai, G.; Takekawa, J.Y. Benthic macroinvertebrate response to estuarine emergent marsh restoration across a delta-wide environmental gradient. Front. Ecol. Evol. 2024, 12, 1356679. [Google Scholar] [CrossRef]
- Brown, S.C.; Smith, K.; Batzer, D. Macroinvertebrate Responses to Wetland Restoration in Northern New York. Environ. Entomol. 1997, 26, 1016–1024. [Google Scholar] [CrossRef]
- Gascón, S.; Boix, D.; Sala, J.; Quintana, X.D. Relation between macroinvertebrate life strategies and habitat traits in Mediterranean salt marsh ponds (Empordà wetlands, NE Iberian Peninsula). Pond Conserv. Eur. 2007, 210, 71–83. [Google Scholar] [CrossRef]
- Gascón, S.; Boix, D.; Sala, J.; Quintana, X.D. Patterns in size and species diversity of benthic macroinvertebrates in Mediterranean salt marshes. Mar. Ecol. Prog. Ser. 2009, 391, 21–32. [Google Scholar] [CrossRef]
- Mely, S.S.; Hossain, M.B.; Rahman, M.; Albeshr, M.F.; Arai, T. Changes of Macrobenthic Diversity and Functional Groups in Saltmarsh Habitat under Different Seasons and Climatic Variables from a Subtropical Coast. Sustainability 2023, 15, 7075. [Google Scholar] [CrossRef]
- Teixeira, H.; Salas, F.; Borja, Á.; Neto, J.M.; Marques, J.C. A benthic perspective in assessing the ecological status of estuaries: The case of the Mondego estuary (Portugal). Ecol. Indic. 2008, 8, 404–416. [Google Scholar] [CrossRef]
- O’Connor, N.E.; Crowe, T.P. Biodiversity loss and ecosystem functioning: Distinguishing between number and identity of species. Ecology 2005, 86, 1783–1796. [Google Scholar] [CrossRef]
- Beauchard, O.; Veríssimo, H.; Queirós, A.M.; Herman, P.M.J. The use of multiple biological traits in marine community ecology and its potential in ecological indicator development. Ecol. Indic. 2017, 76, 81–96. [Google Scholar] [CrossRef]
- Able, K.W.; Grothues, T.M.; Hagan, S.M.; Kimball, M.E.; Nemerson, D.M.; Taghon, G.L. Long-term response of fishes and other fauna to restoration of former salt hay farms: Multiple measures of restoration success. Rev. Fish Biol. Fish. 2008, 18, 65–97. [Google Scholar] [CrossRef]
- England, J.; Angelopoulos, N.; Cooksley, S.; Dodd, J.; Gill, A.; Gilvear, D.; Johnson, M.; Naura, M.; O’hare, M.; Tree, A.; et al. Best Practices for Monitoring and Assessing the Ecological Response to River Restoration. Water 2021, 13, 3352. [Google Scholar] [CrossRef]
- Muotka, T.; Paavola, R.; Haapala, A.; Novikmec, M.; Laasonen, P. Long-term recovery of stream habitat structure and benthic invertebrate communities from in-stream restoration. Biol. Conserv. 2002, 105, 243–253. [Google Scholar] [CrossRef]
- Fujii, T. Spatial patterns of benthic macrofauna in relation to environmental variables in an intertidal habitat in the Humber estuary, UK: Developing a tool for estuarine shoreline management. Estuar. Coast. Shelf Sci. 2007, 75, 101–119. [Google Scholar] [CrossRef]
- Warren, R.S.; Fell, P.E.; Rozsa, R.; Brawley, A.H.; Orsted, A.C.; Olson, E.T.; Swamy, V.; Niering, W.A. Salt Marsh Restoration in Connecticut: 20 Years of Science and Management. Restor. Ecol. 2002, 10, 497–513. [Google Scholar] [CrossRef]
- Stephenson, P.J.; Londoño-Murcia, M.C.; Borges, P.A.V.; Claassens, L.; Frisch-Nwakanma, H.; Ling, N.; McMullan-Fisher, S.; Meeuwig, J.J.; Unter, K.M.M.; Walls, J.L.; et al. Measuring the Impact of Conservation: The Growing Importance of Monitoring Fauna, Flora and Funga. Diversity 2022, 14, 824. [Google Scholar] [CrossRef]
- Gonçalves, C.; Fernandes, J.; Neto, J.M.; Veríssimo, H.; Caçador, I.; Verdelhos, T. Evolution and Effectiveness of Salt Marsh Restoration: A Bibliometric Analysis. Water 2024, 16, 1175. [Google Scholar] [CrossRef]
- Loke, L.H.L.; Ladle, R.J.; Bouma, T.J.; Todd, P.A. Creating complex habitats for restoration and reconciliation. Ecol. Eng. 2015, 77, 307–313. [Google Scholar] [CrossRef]
- Toumi, C.; De Cáceres, M.; Grall, J.; Boyé, A.; Thiébaut, É.; Maguer, M.; Le Garrec, V.; Broudin, C.; Houbin, C.; Gauthier, O. Long-term coastal macrobenthic Community Trajectory Analysis reveals habitat-dependent stability patterns. Ecography 2023, 2023, e06489. [Google Scholar] [CrossRef]
- Gwak, S.J.; Kim, S.L.; Lee, H.G.; Park, C.H.; Yu, O.H. Long-Term Monitoring of Macroinvertebrate Community Assemblages and Species Composition on the Coast of Dokdo, East Sea of Korea. Diversity 2024, 16, 432. [Google Scholar] [CrossRef]
- Crupi, V.; Epasto, G.; Napolitano, F.; Palomba, G.; Papa, I.; Russo, P. Green Composites for Maritime Engineering: A Review. J. Mar. Sci. Eng. 2023, 11, 599. [Google Scholar] [CrossRef]
- O’Leary, B.C.; Wood, L.E.; Cornet, C.; Roberts, C.M.; Fonseca, C. Practitioner insights on challenges and options for advancing blue Nature-based Solutions. Mar. Policy 2024, 163, 106104. [Google Scholar] [CrossRef]
- Whelchel, A.W.; Reguero, B.G.; van Wesenbeeck, B.; Renaud, F.G. Advancing disaster risk reduction through the integration of science, design, and policy into eco-engineering and several global resource management processes. Int. J. Disaster Risk Reduct. 2018, 32, 29–41. [Google Scholar] [CrossRef]
- Reed, M.S.; Graves, A.; Dandy, N.; Posthumus, H.; Hubacek, K.; Morris, J.; Prell, C.; Quinn, C.H.; Stringer, L.C. Who’s in and why? A typology of stakeholder analysis methods for natural resource management. J. Environ. Manag. 2009, 90, 1933–1949. [Google Scholar] [CrossRef]
- Cohen, P.J.; Evans, L.S.; Mills, M. Social networks supporting governance of coastal ecosystems in Solomon Islands. Conserv. Lett. 2012, 5, 376–386. [Google Scholar] [CrossRef]
- Narayan, S.; Beck, M.W.; Reguero, B.G.; Losada, I.J.; Van Wesenbeeck, B.; Pontee, N.; Sanchirico, J.N.; Ingram, J.C.; Lange, G.M.; Burks-Copes, K.A. The Effectiveness, Costs and Coastal Protection Benefits of Natural and Nature-Based Defences. PLoS ONE 2016, 11, e0154735. [Google Scholar] [CrossRef]








| Ecological Indicator | Algorithm | Classification | |
|---|---|---|---|
| Species as indicator | |||
| AZTI’S Marine Biotic Index | G I: Species very sensitive to organic enrichment and present under unpolluted conditions. G II: Species indifferent to enrichment, always present in low densities with non-significant variations with time. G III: Species tolerant to excess organic matter enrichment. These species may occur under normal conditions; however their populations are stimulated by organic enrichment. G IV: Second-order opportunistic species, adapted to slight to pronounced unbalanced conditions. G V: First-order opportunistic species, adapted to pronounced unbalanced situations | Normal Slightly polluted Moderately polluted Highly Polluted Azoic | 0–1.2 1.2–3.2 3.2–5.0 5.0–6.0 6.0–7.0 |
| Diversity | |||
| Shannon-Wiener Index (Shannon and Weaver, 1963) | H′ = −∑ pi log2pi pi: proportion of abundance of species i in a community were species proportions are pi, p2, p3...pn | Low diversity High diversity | 0 ≥ 5 |
| Pielou Evenness Index (Pielou, 1969) | J′ = H′/H′max=H′/log S H’max: maximum possible value of the Shannon diversity | Low diversity High diversity | 0 1 |
| Taxa | JUN 2019 | OCT 2019 | MAY 2020 | OCT 2020 | MAY 2021 | OCT 2021 | ||||||||||||||||||||||||
|---|---|---|---|---|---|---|---|---|---|---|---|---|---|---|---|---|---|---|---|---|---|---|---|---|---|---|---|---|---|---|
| C | P | F | G | B | C | P | F | G | B | C | P | F | G | B | C | P | F | G | B | C | P | F | G | B | C | P | F | G | B | |
| Alkmaria romijni (Horst, 1919) | 7 | 3 | 7 | 7 | 7 | 3 | 1 | 4 | 11 | 6 | 6 | 8 | 4 | 3 | 2 | 2 | 3 | |||||||||||||
| Carcinus maenas (Linnaeus, 1758) | 1 | 1 | 1 | 1 | 3 | 1 | 4 | 7 | 1 | 2 | 1 | 1 | 2 | 7 | 11 | 2 | ||||||||||||||
| Cerastoderma edule (Linnaeus, 1758) | 1 | |||||||||||||||||||||||||||||
| Chironomidae | 6 | 2 | 4 | 3 | 1 | 13 | 1 | 6 | 4 | 19 | 2 | 1 | 32 | 1 | 7 | 8 | 2 | 15 | 2 | 2 | 9 | |||||||||
| Corophium multisetosum (Stock, 1952) | 6 | 1 | 2 | 3 | 86 | 3 | ||||||||||||||||||||||||
| Crangon crangon (Linnaeus, 1758) | 4 | 1 | ||||||||||||||||||||||||||||
| Cyathura carinata (Krøyer, 1847) | 22 | 44 | 22 | 22 | 22 | 44 | 34 | 46 | 32 | 16 | 11 | 11 | 12 | 11 | 2 | 68 | 29 | 39 | 26 | 6 | 8 | 7 | 19 | 15 | 12 | 66 | 37 | 37 | 31 | 12 |
| Echinogammarus sp. | 10 | 2 | 12 | 4 | ||||||||||||||||||||||||||
| Hediste diversicolor (O.F. Müller, 1776) | 70 | 165 | 70 | 70 | 70 | 95 | 120 | 81 | 70 | 47 | 63 | 159 | 73 | 64 | 52 | 30 | 86 | 84 | 48 | 26 | 36 | 111 | 72 | 64 | 76 | 57 | 113 | 84 | 104 | 53 |
| Lekanesphaera levii (Argano & Ponticelli, 1981) | 1 | |||||||||||||||||||||||||||||
| Melita palmata (Montagu, 1804) | 1 | 6 | 16 | 1 | ||||||||||||||||||||||||||
| Nephtys caeca (Fabricius, 1780) | 1 | |||||||||||||||||||||||||||||
| Peringia ulvae (Pennant, 1777) | 108 | 4 | 309 | 206 | 358 | |||||||||||||||||||||||||
| Scrobicularia plana (da Costa, 1778) | 59 | 55 | 59 | 59 | 59 | 105 | 147 | 56 | 72 | 19 | 11 | 23 | 47 | 3 | 80 | 60 | 102 | 80 | 34 | 11 | 11 | 31 | 18 | 37 | 19 | 24 | ||||
| Streblospio shrubsolii (Buchanan, 1890) | 16 | 322 | 16 | 16 | 16 | 54 | 24 | 46 | 1 | 7 | 24 | 31 | 88 | 53 | 16 | 1 | 5 | |||||||||||||
Disclaimer/Publisher’s Note: The statements, opinions and data contained in all publications are solely those of the individual author(s) and contributor(s) and not of MDPI and/or the editor(s). MDPI and/or the editor(s) disclaim responsibility for any injury to people or property resulting from any ideas, methods, instructions or products referred to in the content. |
© 2024 by the authors. Licensee MDPI, Basel, Switzerland. This article is an open access article distributed under the terms and conditions of the Creative Commons Attribution (CC BY) license (https://creativecommons.org/licenses/by/4.0/).
Share and Cite
Gonçalves, C.; Verdelhos, T.; Caçador, I.; Veríssimo, H. Effectiveness of Eco-Engineering Structures in Salt Marsh Restoration: Using Benthic Macroinvertebrates as Indicators of Success. Coasts 2024, 4, 740-757. https://doi.org/10.3390/coasts4040039
Gonçalves C, Verdelhos T, Caçador I, Veríssimo H. Effectiveness of Eco-Engineering Structures in Salt Marsh Restoration: Using Benthic Macroinvertebrates as Indicators of Success. Coasts. 2024; 4(4):740-757. https://doi.org/10.3390/coasts4040039
Chicago/Turabian StyleGonçalves, Carlos, Tiago Verdelhos, Isabel Caçador, and Helena Veríssimo. 2024. "Effectiveness of Eco-Engineering Structures in Salt Marsh Restoration: Using Benthic Macroinvertebrates as Indicators of Success" Coasts 4, no. 4: 740-757. https://doi.org/10.3390/coasts4040039
APA StyleGonçalves, C., Verdelhos, T., Caçador, I., & Veríssimo, H. (2024). Effectiveness of Eco-Engineering Structures in Salt Marsh Restoration: Using Benthic Macroinvertebrates as Indicators of Success. Coasts, 4(4), 740-757. https://doi.org/10.3390/coasts4040039

