Abstract
This investigation evaluated two fundamental assumptions of wetland inundation models designed to emulate landscape evolution and resiliency under conditions of sea level rise: that they can (1) migrate landward at the same rate as the transgressing shoreline and (2) immediately replace the plant community into which they are onlapping. Rates of wetland (e.g., marsh, mangrove) migration were culled from 11 study areas located in five regions of focus: Delaware Bay, Chesapeake Bay, Pamlico Sound, South Florida, and Northwest Florida. The average rate of marsh migration (n = 14) was 3.7 m yr−1. The average rate of South Florida mangrove migration (n = 4) was 38.0 m yr−1. The average rate of upland forest retreat (n = 4) was 3.4 m yr−1. Theoretical rates of shoreline transgression were calculated using site-specific landscape slope and scenario-based NOAA sea level rise elevations in 2050. Rates of shoreline transgression over the marsh landscape averaged 94 m yr−1. The average rate of shoreline transgression in the mangrove-dominated areas of South Florida was 153.2 m yr−1. The calculated rates of shoreline transgression were much faster than the observed horizontal marsh migration, and by 2050, the offset or gap between them averaged 2700 m and ranged between 292 and 5531 m. In South Florida, the gap average was 3516 m and ranged between 2766 m and 4563 m. At sites where both horizontal marsh migration and forest retreat rates were available, the distance or gap between them in 2050 averaged 47 m. Therefore, the results of this study are inconsistent with the two fundamental assumptions of many wetland inundation models and suggest that they may overestimate their resilience under conditions of 21st century accelerating sea level rise.
1. Introduction
The capacity of coastal wetlands to sustain their position within the tidal envelope is key to resiliency under conditions of climate change [1,2]. As these environments provide substantial habitat value and ecosystem function [3,4,5], myriad investigations have been conducted over the years to quantify ongoing and future risks to their resiliency under conditions of a changing climate and, in particular, accelerating sea level rise. Initially, these investigations focused on observations of ecosystem migration [6,7] and vertical sediment accumulation [8,9,10]. These relatively simple conceptual models were succeeded by the development of ever more sophisticated inundation models. Common model parameters included the rate of sea level rise, land slope [11] and use [12], rates of autochthonous and allochthonous (both presses and pulses [13,14]) sedimentation, and rates of shoreline or edge erosion [15]. The fundamental goal or output of these models is the emulation of future landscape-level conditions likely to develop as coastal wetland ecosystems migrate upland and into the expanding horizontal accommodation space created by rising seas [16,17,18,19]. The model outputs have substantially improved our understanding of the scale and pace of emerging threats to these ecosystems and the services they provide. For a more thorough summary of the evolution of wetland inundation models, see the reviews by [20,21]. As the importance of available horizontal accommodation space became ever more apparent with respect to long term resiliency prospects, an additional suite of studies emerged that focused on documenting potential migration pathways or corridors based upon the topography, infrastructure, and land use of adjacent upland areas [12,13,18,22,23,24,25,26].
Two fundamental assumptions of most inundation models are that coastal wetlands (1) can migrate landward at the same rate as the transgressing shoreline [27,28,29] and (2) immediately replace the plant community into which they are onlapping [24,30,31,32,33,34]. Neither assumption has been fully vetted and, as noted by Kirwan et al. [35], rates of horizontal migration have rarely been quantified. This investigation was designed to evaluate the validity of these assumptions by comparing published rates of horizontal wetland and upland plant-community migration along the mid-Atlantic and southeastern U.S.A. seaboard (Figure 1) to theoretical rates of shoreline transgression that were based upon the regional sea level rise scenarios provided by [36]. Are the two equal, and will they remain so under conditions of accelerating sea level rise (c.f., [16])? Is there any evidence to support the one-to-one [32] or immediate replacement [34] paradigms used in wetland inundation models?
Figure 1.
Google Earth image showing location of regions of focus and related data-source study areas (Table 1). Also indicated are the locations of NOAA tide gauge stations considered in this analysis.
2. Materials & Methods
2.1. Wetland Horizontal Migration
In this paper, horizontal migration refers to the movement of a coastal plant community upslope and towards the interior or uplands. The rate of horizontal migration is defined as the distance (m) traveled along the leading edge or advancing ecotone in one year. Horizontal rates (m yr−1) of wetland migration were harvested from the published literature. If the author(s) also reported the rate of contemporaneous sea level rise, that value was also recorded so that correlations between the two could be conducted. If no rate of sea level rise was reported, a value was obtained from a geographically and temporally appropriate source.
2.2. Shoreline Transgression
Marine transgression describes the landward migration or onlap of coastal marine conditions onto and over areas formally above sea level (e.g., freshwater marsh, uplands). The boundary between the two environments is generally described as the shoreline and the average elevation as mean sea level. The rate of shoreline transgression refers to the horizontal distance or onlap (m) traveled by the shoreline in one year. The rate of shoreline transgression (m yr−1) was calculated for each of the 11 study areas using (1) the average slope of the topography (landscape) and (2) NOAA scenario-based sea level elevations in 2050. Topographic slopes (m km−1) were either obtained during the literature review or calculated using the appropriate USGS 7.5′ topographic map(s). The calculated slopes were based upon the average distance between the shoreline and first elevation contour (1.524 m or 5 ft). This method may have overestimated the actual value in areas where the first contour delineated an abrupt elevation assent of antecedent topography adjacent to an otherwise nearly flat coastal plain. At those locations, the distance of shoreline transgression in 2050 would have been underestimated. The complete data set used to calculate slope is available in the Supplementary Materials (Table S1). The correlation between the published rates of horizontal marsh migration and slope was tested.
Sea level elevations in 2050 (m above 2020 mean sea level) and average rate of rise were calculated using NOAA’s Interagency Sea Level Rise Scenario Tool [36,49] (Supplementary Materials: Table S2). The elevations were obtained from tide stations located proximal to each of the five regions of focus (Figure 1). Given that 21st-century rates of sea level rise along the mid-Atlantic and southeast US coast are currently tracking with the Intermediate High and High trajectories of NOAA [47,48], this study used the median High value to derive elevations and rates of rise. The correlation between the rates of horizontal marsh migration and sea level rise was tested.
Based upon the published rates of horizontal wetland migration and topographic slope, the distance (m) of wetland migration into the emerging accommodation space created by rising seas was calculated in 2050 relative to its present (2020) location for each of the study areas. The distance (m) of shoreline transgression in 2050, relative to its present (2020) location, was calculated using the average rate of sea level rise during the 30-year interval and topographic slope calculated for each of the study areas.
3. Results
3.1. Wetland Horizontal Migration
Twenty-six rates of wetland horizontal migration were obtained from 11 study areas located in five regions of focus (Figure 1 and Table 1). These included both marsh and mangrove habitats. Several studies reported more than one migration rate, each distinguished by the time interval over which the estimate was calculated: millennia or geological (mangrove only), centuries or historical, and decades or recent. For the purposes of this study, the historical and recent wetland values were combined and are hereafter referred to as modern. Only the modern marsh migration rate values (n = 14) were considered in an analysis of correlation with the rate of sea level rise and topographic slope. All the modern wetland migration rate data (e.g., marsh + mangrove; n = 18) were used to evaluate the capacity of wetlands to keep pace with shoreline transgression. In addition to the wetland migration rates, three studies were identified that reported rates of upland forest retreat or dieback (n = 4, Table 1). These values were used as a means of evaluating the one-to-one or immediate replacement assumption.
Table 1.
Summary of the rates of horizontal wetland migration or forest dieback and contemporaneous sea level rise organized by location (Figure 1) and data source (i.e., Reference {Ref.} column). Rates of migration and dieback were calculated over a range of time intervals characterized as recent (decades), historic (centuries), and geologic (millennia). The time intervals are recent unless otherwise indicated as historical (h) or geological (g). Rate of sea level rise contemporaneous with wetland migration or forest dieback obtained from the same reference, unless otherwise specified in the Source column. SM = salt marsh. F = forest. M = mangrove. nd = no data.
The average rate of modern marsh migration was 3.7 m yr−1 and ranged between 0.4 m yr−1 (Pamlico Sound area 3A) and 8.6 m yr−1 (Pamlico Sound area 3B3). The average rate of South Florida modern mangrove migration was 38.0 m yr−1 and ranged between 3.1 m yr−1 (area 4A1) and 63.0 m yr−1 (area 4C). Forest retreat rates averaged 3.4 m yr−1 and ranged between 1.8 m yr−1 (Delaware Bay area 1A) and 4.7 m yr−1 (Chesapeake Bay area 2A3).
Contemporaneous rates of sea level rise corresponding to modern rates of wetland migration were reported in all studies considered except those conducted in Florida (Table 1). Modern rates of contemporaneous sea level rise corresponding the two Florida regions of focus were obtained from [48]. The rates within the study domain ranged between 2.3 mm yr−1 (Northwest Florida area 5) and 3.5 mm yr−1 (Delaware Bay areas 1B and 1C) and averaged 2.8 mm yr−1. The rate of sea level rise commensurate with all geological wetland migration rates was obtained from the western Atlantic submergence curve of [46] as reported in [47]. This value (0.8 mm yr−1) is similar to the late-Holocene rates published for North Carolina [50] and northeastern Florida [51].
Landscape slopes (Table 2) ranged between 0.1 m km−1 (all areas in Chesapeake Bay and South Florida) and 1.5 m km−1 (Pamlico Sound area 3B1). The theoretical distance of upslope horizontal marsh migration (Table 2) between 2020 and 2050 ranged from 16 m (Delaware Bay area 1A) to 259 m (Pamlico Sound area 3B3) and averaged 119 m. The theoretical distance of South Florida upslope mangrove migration to 2050 ranged from 93 m (area 4A1) to 1890 m (area 4C) and averaged 1141 m. The theoretical retreat distance of the three forested sites ranged between 54 m (Delaware Bay area 1A) and 140 m (Chesapeake Bay area 2A3) and averaged 103 m. A graphical summary depicting landscape slope, 2050 sea level elevation, shoreline location (i.e., intersection of sea level and land slope), and the distance of upslope wetland migration in 2050 relative to the year 2020 in each of the areas of focus is shown in Figure 2. The correlation between rates of modern marsh horizontal migration and contemporaneous sea level rise (Figure 3A) was significant (r2 = 0.4485, p < 0.05). The correlation between rates of modern marsh horizontal migration and landscape slope (Figure 3B) was not significant (r2 = 0.0064, p < 0.05). That being noted, the trend lines of both were intuitive as one would expect the rate of horizontal marsh migration to vary proportionally with the rate of sea level rise and inversely with landscape slope. Correlations were not performed using the mangrove data because they were limited to four modern values.
Table 2.
Average slope of land between the shoreline and first elevation contour (1.524 m or 5 ft) was derived from USGS 7.5′ topographic maps corresponding to each study area (Figure 1). Slope and sea level elevation in 2050 were used to derive distance and corresponding average rate of shoreline transgression between 2020 and 2050. Also shown is the theoretical distance of wetland migration (onlap) or forest retreat (dieback) between 2020 and 2050. These values were calculated using land slope and published rates of habitat movement (column 4 of Table 1). The distance or gap between the transgressing shoreline and landward edge of the advancing wetland plant community in 2050 is also indicated. Habitat types include SM = salt marsh, F = forest, and M = mangrove. na = not applicable.
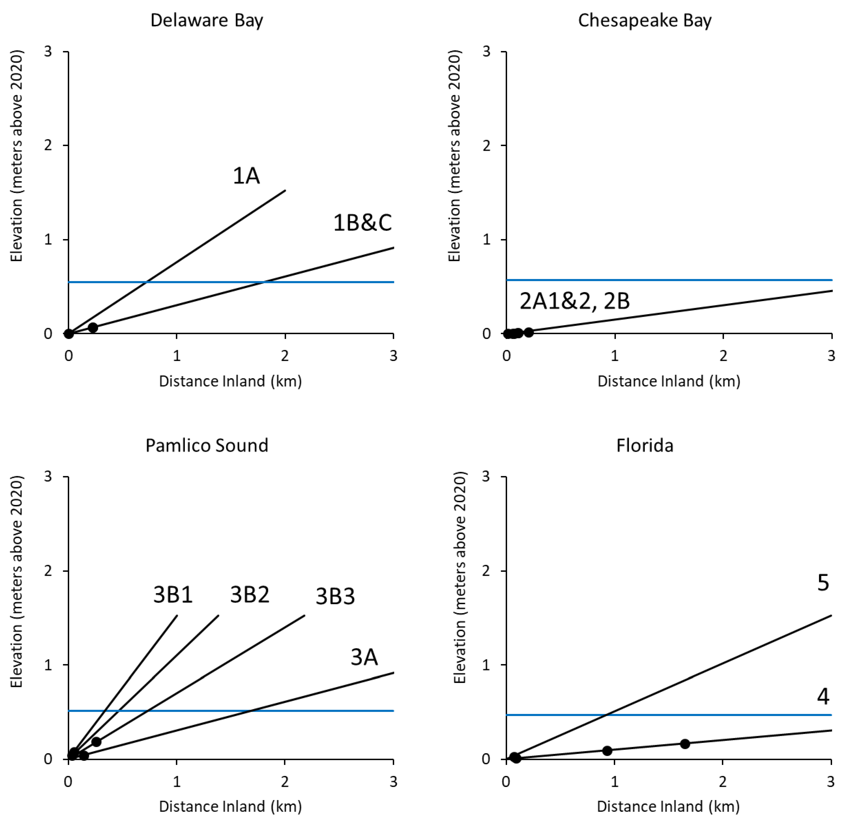
Figure 2.
Average slope of landscape (black lines) calculated between present shoreline (0, 0) and first elevation contour (1.524 m or 5 ft) of study area-specific USGS 7.5′ topographic map, unless defined previously in a reference, considered during this investigation (see Supplementary Materials, Table S1). Slope locations (i.e., alphanumeric labels) shown in Figure 1. Landscape slope is truncated if the threshold elevation (i.e., 1.524 m) was not reached at 3 km inland. Also shown are sea level elevation (horizontal blue line) and the theoretical distance of wetland upslope (e.g., inland) migration (black circles) in 2050 relative to 2020. The intersection of landscape slope and sea level elevation represents location of shoreline in 2050. Wetland migration distances vary within and between focus regions and study areas as a function of the magnitude of the rate of migration (Table 1) and slope of the landscape (Table 2). Note that focus regions 4 (South Florida) and 5 (Northwest Florida) have been combined into a Florida summary.
Figure 3.
Correlation between rates of horizontal marsh migration and (A) contemporaneous rate of sea level rise or (B) topographic slope. Also shown are trendlines and associated coefficients of determination. Rate of sea level rise and slope values were obtained from Table 1 and Table 2, respectively.
3.2. Shoreline Transgression
The focus-area specific NOAA scenario-based sea level elevations above present (2020) in 2050 ranged between 0.46 m (Northwest Florida area 5) and 0.57 m (all areas in Chesapeake Bay) and averaged 0.52 m (Table 2). Calculated rates of shoreline transgression to 2050 (Table 2) averaged 107.9 m yr−1 and ranged from 11.4 m yr−1 (Pamlico Sound area 3B1) to 186.2 m yr−1 (all areas in Chesapeake Bay). The theoretical distance of shoreline transgression in 2050 (Table 2) relative to 2020 averaged 3251 m and ranged between 342 m (Pamlico Sound area 3B1) and 5587 m (all areas in Chesapeake Bay).
3.3. Assessing Wetland Resilience during the 21st Century
Wetland resilience, either as modeled or conceptually envisioned under future conditions of accelerating sea level rise, is largely predicated on the capacity of plant communities to successfully migrate into the horizontal accommodation space created during shoreline transgression. The data collated during this investigation (Figure 2) indicate that an offset or gap between the leading edge of the onlapping wetland and theoretical location of the transgressing shoreline will develop in all regions of focus over the 30-year time interval considered (Figure 4). In the study, by 2050, the calculated gap in marsh areas ranged from 292 m (Pamlico Sound area 3B1) to 5531 m (Chesapeake Bay area 2A1b) and averaged 2700 m. In the mangroves of South Florida, the gap ranged between 2766 m (area 4C) and 4515 m (area 4A1), averaging 3516 m. These observations are novel because the presence of an offset or gap between the location of the advancing wetland and transgressing shoreline has not been previously described as a potential landscape feature that may emerge under conditions of 21st-century sea level rise.
Figure 4.
Average distance (m) of modern horizontal wetland migration and shoreline transgression calculated to occur between 2020 (x-axis value = 0) and 2050 plotted as a function of focus area. In all examples, the distance of shoreline transgression exceeds that of wetland migration.
4. Discussion
The relationships between reported rates of modern horizontal wetland migration and scenario-based shoreline transgression (Figure 2, Figure 4) indicate that the marsh and mangrove plant communities considered in this analysis will not advance inland at the same rate at which the coastal zone is being inundated by 21st-century rising seas. This finding is contrary to the fundamental assumption of numerous, if not all, inundation models currently in use. It could be argued the modest correlation between rates of horizontal marsh migration and sea level rise (Figure 3) is evidence of their capacity to keep pace with rising seas (c.f., [24,28]). However, this would require a 25-fold increase in the observed average rate of modern marsh horizontal migration (i.e., 3.7 m yr−1) to keep pace with the predicted, average rate of shoreline transgression (i.e., 94 m yr−1) expected in these areas over the next 30 yrs. Although limited in number, the rates of modern mangrove onlap are typically larger than their marsh counterparts, but a 4-fold increase in the average rate of horizontal migration would still be required to keep up with the average rate of South Florida shoreline transgression (i.e., 153 m yr−1) expected over the next 30 years. Furthermore, even if these wetlands could keep pace with shoreline transgression, there are no data demonstrating they can vertically accumulate sediments at the rates of sea level rise anticipated through 2050 (average = 12.8 mm yr−1), and certainly not during the latter half of this century (average = 32.1 mm yr−1) (Supplementary Materials, Table S2). Hence, the older, more seaward habitat will experience a growing sediment deficit (i.e., rate of vertical sediment accumulation—rate of relative sea level rise) and ultimately convert to open water.
To test the rigor of these findings, a re-analysis was performed using only the historical data (i.e., interval of observation past ~150 years; Supplementary Materials, Table S3) since the outcome of the interaction between historical rising seas and horizontal wetland migration was known. The hindcasts (n = 8) were conducted using data collected in Chesapeake Bay and Pamlico Sound. The analysis could not be performed in the other regions of focus because the available historical migration data were limited or absent. The results (Supplementary Materials, Figure S1 and Table S3) indicate that marsh in the Chesapeake Bay region was overstepped by historical sea level rise, resulting in an average gap of 1831 m. In Pamlico Sound, the results yielded an average gap of 295 m. These values are much lower than the average gap predicted for 2050 (i.e., Chesapeake Bay 5481 m, Pamlico Sound 692 m, Table 2) because the average rate of sea level rise during historical times was slower than that projected between 2020 and 2050. However, in both regions, a gap did not develop. This contradiction is reconciled by the fact that during historical times, the rate of vertical sediment accumulation was equal to or greater than the rate of sea level rise [28,52,53] (Supplementary Materials, Table S3). Hence, the accommodation space created by rising seas was infilled by a thickening soil profile and expanding wetland footprint. It follows that the conceptual model utilized in this study is a more effective means of forecasting future conditions in areas wherein a sediment deficit exists. This caveat is not considered to be a significant impediment to the general application and related relevance of this investigation’s findings to existing inundation models given that the proportion of extant wetlands experiencing a sediment deficit is growing and that this trend can be expected to accelerate in tandem with the rate of sea level rise over the duration of this century.
It would be logical to expect the rate of horizontal wetland migration to increase proportionally to the rate of sea level rise and inversely with landscape slope. However, only a modest correlation was demonstrated with the former and no correlation with the latter. There are a variety of reasons for this outcome, including but not limited to the following: (1) in many of the studies considered herein, (a) the time intervals corresponding to the various rates of recent, historical, and geological horizontal migration calculated by the authors varied between and within the regions of focus and (b) those intervals were not generally the same as the time intervals corresponding to the rates of contemporaneous sea level rise they cited; (2) when no recent rate of sea level rise was provided by the original authors, a value was obtained from the nearest NOAA tidal station, but these stations were not usually located within the same study area in which the original work was conducted; and (3) when no historical or geological rate of sea level rise was provided by the original authors, a published value for the late-Holocene western Atlantic Ocean was utilized. Beyond these sources of error in the calculations, the variability observed between the measured rates of horizontal migration and sea level rise or topographic slope is likely to have been enhanced by environmental factors specific to each area of study. Examples include differences in the (1) structure (e.g., age) and function (e.g., productivity) of the plant communities, (2) soils and sediments, (3) micro-topography, (4) tidal range and extent of saltwater encroachment, (5) surface water flow, and (6) groundwater flux. However, these limitations did not compromise the fundamental observations and outcomes of this investigation; rates of horizontal wetland migration are unlikely to keep pace with shoreline transgression in the decades ahead.
The results of this investigation also suggest that the one-to-one replacement of habitat or ecogeomorphologic cross-shore profile translation [31,33] is unlikely under conditions of 21st century accelerating sea level rise within the study domain, as has recently been reported in the Delaware and Chesapeake Bay regions [54]. The data assembled during this investigation—albeit limited—suggest that the transition will not simply progress inland over time as a well-defined ecotone (see also [33,54,55]). This can be demonstrated through an inspection of the paired rates of marsh migration and forest retreat measured in the studies conducted in Delaware Bay and Northwest Florida (Table 1). In Delaware Bay (area 1A), the historical rate of marsh migration is reported as 0.5 m yr−1 while the rate of forest dieback is 1.8 m yr−1. The rate of historical marsh migration reported from Northwest Florida (area 5) is 2.3 m yr−1 while the landward retreat of upland forest is 4.2 m yr−1. Furthermore, it seems likely that the transition zone will expand over time as the (1) trailing edge of the retreating habitat is overstepped by the rapidly transgressing shoreline and (2) leading edge of the onlapping wetland is left ever further behind. It is also unlikely that the vertical sediment accumulation rates of the onlapping wetlands will keep up with sea level rise, as previously demonstrated. Therefore, it is probable that in time, these areas will convert to open water (also known as pond widening or runaway expansion [56]) and wherein the transgressing shoreline will ultimately abut directly onto retreating upland habitats.
As the rate of sea level rise continues to accelerate, so too will the rate and extent of tidal inundation and saltwater encroachment into freshwater wetlands and forests. This can be expected to further accelerate the expansion of transitional zones, mangrove inundation ponds [42], and salt marsh pools or ponds [34,56] by catalyzing decomposition, reducing rates of sediment accumulation and tree regeneration, and increasing rates of plant mortality [11,17,20,26,57,58,59,60]. Furthermore, the immediate replacement assumption seems unlikely to counter this trend because it takes decades to centuries to create a functional wetland [23,28,37,61,62,63]. Given the pace of sea level rise and shoreline transgression, this seems unlikely.
Further compounding the deleterious effects of the sea level press on wetland resilience are the (1) presence of upland structures [12,14,24,41,42], (2) historical diversion of freshwater by surface water management infrastructure [41], (3) anthropogenically induced reductions in the delivery of allochthonous sediments to the coastal zone [64,65], and (4) periodic or haphazard pulses of drought, storm surge (i.e., mechanical damage, flooding), and extreme precipitation events, which are expected to intensify under the conditions of a changing climate [20,40,57,66,67,68,69,70].
All of these observations further highlight the need to greatly expand our understanding of the ecogeomorphic processes occurring along the landward migrating boundary between onlapping wetlands and retreating habitats. These data can then be incorporated in wetland inundation models to improve their capacity to project probable outcomes. Furthermore, it is evident that the acquisition of land to create migration corridors, removal of anthropogenic barriers, and rehydration of areas historically dewatered are all vital and necessary to optimize the resilience of coastal wetlands under conditions of 21st century accelerating sea level rise.
5. Conclusions
The results of this study demonstrate that horizontal rates of wetland migration into the accommodation space created by 21st-century accelerating sea level rise are not likely to keep pace with shoreline transgression or the adjacent retreating habitat. These findings are inconsistent with the fundamental assumptions of most wetland inundation models. Hence, those models overestimate resilience. The reconciliation of this disparity will require novel investigations that focus on ecogeomorphic processes occurring within the wetland–upland transition zone. In addition to closing this knowledge gap, it is imperative that coastal practitioners formulate and implement land management programs to acquire and/or create migration corridors and remove anthropogenic barriers, perhaps complimented by surface water management mitigation designed to restore freshwater flux towards the coastal zone in areas that have historically been dewatered.
Supplementary Materials
The following supporting information can be downloaded at: https://www.mdpi.com/article/10.3390/coasts4010012/s1, Figure S1: Hindcast results of historical marsh migration and contemporaneous sea level rise using data provided in Supplementary Materials Table S3.; Table S1: Slope values utilized in the investigation. All sources are USGS 7.5’ topographic maps unless otherwise noted; Table S2: Median sea level elevation, relative to 2020, and associated average rate of rise (2020–2050) corresponding to NOAA’s high scenario-based trajectory in 2050; Table S3: Summary of data used to hindcast interaction of historical (i.e., extending back 150 yrs) rates of horizontal marsh migration and shoreline transgression organized by geographic location.
Funding
This research was supported by the United States Environmental Protection Agency Region 4 Wetland Development Grant Program (#02D16822).
Institutional Review Board Statement
Not applicable.
Informed Consent Statement
Not applicable.
Data Availability Statement
All relevant data is contained in this document and Supplementary Materials.
Acknowledgments
Eugene Turner is acknowledged for providing especially insightful references. This is contribution #1691 from the Institute of Environment at Florida International University.
Conflicts of Interest
The author declares no conflict of interest.
References
- Lal, K.K.; Woodroffe, C.D.; Zawadzki, A.; Rogers, K. Coastal Wetland Elevation Dynamics, Sedimentation, and Accommodation Space Across Timescales. Estuaries Coasts 2023. [Google Scholar] [CrossRef]
- Nyman, J.A.; DeLaune, R.D. Four Potential Impacts of Global Sea Level Rise on Coastal Marsh Stability. Curr. Top. Wetl. Biogeochem. 1999, 3, 112–117. [Google Scholar]
- Craft, C.; Clough, J.; Ehman, J.; Joye, S.; Park, R.; Pennings, S.; Guo, H.; Machmuller, M. Forecasting the Effects of Accelerated Sea-Level Rise on Tidal Marsh Ecosystem Services. Front. Ecol. Environ. 2009, 7, 73–78. [Google Scholar] [CrossRef]
- Elsey-Quirk, T.; Watson, E.B.; Raper, K.; Kreeger, D.; Paudel, B.; Haaf, L.; Maxwell-Doyle, M.; Padeletti, A.; Reilly, E.; Velinsky, D.J. Relationships between Ecosystem Properties and Sea-Level Rise Vulnerability of Tidal Wetlands of the U.S. Mid-Atlantic. Env. Monit Assess 2022, 194, 292. [Google Scholar] [CrossRef] [PubMed]
- Seitz, C.; Kenney, W.F.; Patterson-Boyarski, B.; Curtis, J.H.; Vélez, M.I.; Glodzik, K.; Escobar, J.; Brenner, M. Sea-Level Changes and Paleoenvironmental Responses in a Coastal Florida Salt Marsh over the Last Three Centuries. J. Paleolimnol. 2023, 69, 327–343. [Google Scholar] [CrossRef]
- Brinson, M.M.; Christian, R.R.; Blum, L.K. Multiple States in the Sea-Level Induced Transition from Terrestrial Forest to Estuary. Estuaries 1995, 18, 648. [Google Scholar] [CrossRef]
- Williams, K.; Ewel, K.C.; Stumpf, R.P.; Putz, F.E.; Workman, T.W. Sea Level Rise and Coastal Forest Retreat on the West Coast of Florida, USA. Ecology 1999, 80, 2045–2063. [Google Scholar] [CrossRef]
- Lynch, J.C.; Meriwether, J.R.; McKee, B.A.; Vera-Herrera, F.; Twilley, R.R. Recent Accretion in Mangrove Ecosystems Based on 137Cs and 210Pb. Estuaries 1989, 12, 284–299. [Google Scholar] [CrossRef]
- Parkinson, R.W.; DeLaune, R.D.; White, J.R. Holocene Sea-Level Rise and the Fate of Mangrove Forests within the Wider Caribbean Region. J. Coast. Res. 1994, 10, 1077–1086. [Google Scholar]
- Craft, C.B. Tidal Freshwater Forest Accretion Does Not Keep Pace with Sea Level Rise. Glob. Chang. Biol. 2012, 18, 3615–3623. [Google Scholar] [CrossRef]
- Doyle, T.W.; Krauss, K.W.; Conner, W.H.; From, A.S. Predicting the Retreat and Migration of Tidal Forests along the Northern Gulf of Mexico under Sea-Level Rise. For. Ecol. Manag. 2010, 259, 770–777. [Google Scholar] [CrossRef]
- Enwright, N.M.; Griffith, K.T.; Osland, M.J. Barriers to and Opportunities for Landward Migration of Coastal Wetlands with Sea-Level Rise. Front. Ecol. Environ. 2016, 14, 307–316. [Google Scholar] [CrossRef]
- Schile, L.M.; Callaway, J.C.; Morris, J.T.; Stralberg, D.; Parker, V.T.; Kelly, M. Modeling Tidal Marsh Distribution with Sea-Level Rise: Evaluating the Role of Vegetation, Sediment, and Upland Habitat in Marsh Resiliency. PLoS ONE 2014, 9, e88760. [Google Scholar] [CrossRef]
- Breda, A.; Saco, P.M.; Sandi, S.G.; Saintilan, N.; Riccardi, G.; Rodríguez, J.F. Accretion, Retreat and Transgression of Coastal Wetlands Experiencing Sea-Level Rise. Hydrol. Earth Syst. Sci. 2021, 25, 769–786. [Google Scholar] [CrossRef]
- Mariotti, G.; Carr, J. Dual Role of Salt Marsh Retreat: Long-term Loss and Short-term Resilience. Water Resour. Res. 2014, 50, 2963–2974. [Google Scholar] [CrossRef]
- Linhoss, A.C.; Kiker, G.; Shirley, M.; Frank, K. Sea-Level Rise, Inundation, and Marsh Migration: Simulating Impacts on Developed Lands and Environmental Systems. J. Coast. Res. 2015, 31, 36. [Google Scholar] [CrossRef]
- Mcleod, E.; Poulter, B.; Hinkel, J.; Reyes, E.; Salm, R. Sea-Level Rise Impact Models and Environmental Conservation: A Review of Models and Their Applications. Ocean Coast. Manag. 2010, 53, 507–517. [Google Scholar] [CrossRef]
- Wen, L.; Glasby, T.M.; Hughes, M.G. The Race for Space: Modelling the Landward Migration of Coastal Wetlands under Sea Level Rise at Regional Scale. Sci. Total Environ. 2023, 859, 160483. [Google Scholar] [CrossRef] [PubMed]
- Enwright, N.M.; Osland, M.J.; Thorne, K.M.; Guntenspergen, G.R.; Grace, J.B.; Steyer, G.D.; Herold, N.; Chivoiu, B.; Han, M. Observing Coastal Wetland Transitions Using National Land Cover Products. Prog. Phys. Geogr. Earth Environ. 2023, 48, 113–135. [Google Scholar] [CrossRef]
- Fagherazzi, S.; Anisfeld, S.C.; Blum, L.K.; Long, E.V.; Feagin, R.A.; Fernandes, A.; Kearney, W.S.; Williams, K. Sea Level Rise and the Dynamics of the Marsh-Upland Boundary. Front. Environ. Sci. 2019, 7, 25. [Google Scholar] [CrossRef]
- Moorhead, K.K.; Brinson, M.M. Response of Wetlands to Rising Sea Level in the Lower Coastal Plain of North Carolina. Ecol. Appl. 1995, 5, 261–271. [Google Scholar] [CrossRef]
- Borchert, S.M.; Osland, M.J.; Enwright, N.M.; Griffith, K.T. Coastal Wetland Adaptation to Sea Level Rise: Quantifying Potential for Landward Migration and Coastal Squeeze. J. Appl. Ecol. 2018, 55, 2876–2887. [Google Scholar] [CrossRef]
- Geselbracht, L.; Freeman, K.; Kelly, E.; Gordon, D.R.; Putz, F.E. Retrospective and Prospective Model Simulations of Sea Level Rise Impacts on Gulf of Mexico Coastal Marshes and Forests in Waccasassa Bay, Florida. Clim. Chang. 2011, 107, 35–57. [Google Scholar] [CrossRef][Green Version]
- Kirwan, M.L.; Walters, D.C.; Reay, W.G.; Carr, J.A. Sea Level Driven Marsh Expansion in a Coupled Model of Marsh Erosion and Migration: Sea Level Driven Marsh Expansion. Geophys. Res. Lett. 2016, 43, 4366–4373. [Google Scholar] [CrossRef]
- Morris, J.T.; Drexler, J.Z.; Vaughn, L.J.S.; Robinson, A.H. An Assessment of Future Tidal Marsh Resilience in the San Francisco Estuary through Modeling and Quantifiable Metrics of Sustainability. Front. Environ. Sci. 2022, 10, 1039143. [Google Scholar] [CrossRef]
- Osland, M.J.; Chivoiu, B.; Enwright, N.M.; Thorne, K.M.; Guntenspergen, G.R.; Grace, J.B.; Dale, L.L.; Brooks, W.; Herold, N.; Day, J.W.; et al. Migration and Transformation of Coastal Wetlands in Response to Rising Seas. Sci. Adv. 2022, 8, eabo5174. [Google Scholar] [CrossRef]
- Familkhalili, R.; Davis, J.; Currin, C.A.; Heppe, M.E.; Cohen, S. Quantifying the Benefits of Wetland Restoration under Projected Sea Level Rise. Front. Mar. Sci. 2023, 10, 1187276. [Google Scholar] [CrossRef]
- Hussein, A.H. Modeling of Sea-Level Rise and Deforestation in Submerging Coastal Ultisols of Chesapeake Bay. Soil Sci. Soc. Am. J. 2007, 73, 185. [Google Scholar] [CrossRef]
- Warnell, K.; Olander, L.; Currin, C. Sea Level Rise Drives Carbon and Habitat Loss in the U.S. Mid-Atlantic Coastal Zone. PLoS Clim. 2022, 1, e0000044. [Google Scholar] [CrossRef]
- Passeri, D.L.; Hagen, S.C.; Medeiros, S.C.; Bilskie, M.V.; Alizad, K.; Wang, D. The Dynamic Effects of Sea Level Rise on Low-Gradient Coastal Landscapes: A Review. Earth’s Future 2015, 3, 159–181. [Google Scholar] [CrossRef]
- Tabak, N.M.; Laba, M.; Spector, S. Simulating the Effects of Sea Level Rise on the Resilience and Migration of Tidal Wetlands along the Hudson River. PLoS ONE 2016, 11, e0152437. [Google Scholar] [CrossRef] [PubMed]
- Holmquist, J.R.; Brown, L.N.; MacDonald, G.M. Localized Scenarios and Latitudinal Patterns of Vertical and Lateral Resilience of Tidal Marshes to Sea-Level Rise in the Contiguous United States. Earth’s Future 2021, 9, e2020EF001804. [Google Scholar] [CrossRef]
- Elsey-Quirk, T.; Mariotti, G.; Valentine, K.; Raper, K. Retreating Marsh Shoreline Creates Hotspots of High-Marsh Plant Diversity. Sci. Rep. 2019, 9, 5795. [Google Scholar] [CrossRef] [PubMed]
- Farron, S.J.; Hughes, Z.J.; FitzGerald, D.M. Assessing the Response of the Great Marsh to Sea-Level Rise: Migration, Submersion or Survival. Mar. Geol. 2020, 425, 106195. [Google Scholar] [CrossRef]
- Kirwan, M.L.; Temmerman, S.; Skeehan, E.E.; Guntenspergen, G.R.; Fagherazzi, S. Overestimation of Marsh Vulnerability to Sea Level Rise. Nat. Clim. Chang. 2016, 6, 253–260. [Google Scholar] [CrossRef]
- Sweet, W.V.; Hamlington, B.D.; Kopp, R.E.; Weaver, C.P.; Barnard, P.L.; Bekaert, D.; Brooks, W.; Craghan, M.; Dusek, G.; Frederikse, T.; et al. Global and Regional Sea Level Rise Scenarios for the United States: Updated Mean Projections and Extreme Water Level Probabilities along U.S. Coastlines; NOAA: Silver Spring, MD, USA, 2022; pp. 1–111.
- Smith, J.A.M. The Role of Phragmites Australis in Mediating Inland Salt Marsh Migration in a Mid-Atlantic Estuary. PLoS ONE 2013, 8, e65091. [Google Scholar] [CrossRef] [PubMed]
- Schieder, N.W.; Kirwan, M.L. Sea-Level Driven Acceleration in Coastal Forest Retreat. Geology 2019, 47, 1151–1155. [Google Scholar] [CrossRef]
- Chen, Y.; Kirwan, M.L. Climate-Driven Decoupling of Wetland and Upland Biomass Trends on the Mid-Atlantic Coast. Nat. Geosci. 2022, 15, 913–918. [Google Scholar] [CrossRef]
- Miller, C.B.; Rodriguez, A.B.; Bost, M.C. Sea-Level Rise, Localized Subsidence, and Increased Storminess Promote Saltmarsh Transgression across Low-Gradient Upland Areas. Quat. Sci. Rev. 2021, 265, 107000. [Google Scholar] [CrossRef]
- Gaiser, E.E.; Zafiris, A.; Ruiz, P.L.; Tobias, F.A.C.; Ross, M.S. Tracking Rates of Ecotone Migration Due to Salt-Water Encroachment Using Fossil Mollusks in Coastal South Florida. Hydrobiologia 2006, 569, 237–257. [Google Scholar] [CrossRef]
- Meeder, J.F.; Parkinson, R.W. SE Saline Everglades Transgressive Sedimentation in Response to Historic Acceleration in Sea-Level Rise: A Viable Marker for the Base of the Anthropocene? J. Coast. Res. 2018, 342, 490–497. [Google Scholar] [CrossRef]
- Ross, M.S.; Meeder, J.F.; Sah, J.P.; Ruiz, P.L.; Telesnicki, G.J. The Southeast Saline Everglades Revisited: 50 Years of Coastal Vegetation Change. J. Veg. Sci. 2000, 11, 101–112. [Google Scholar] [CrossRef]
- Krauss, K.W.; From, A.S.; Doyle, T.W.; Doyle, T.J.; Barry, M.J. Sea-Level Rise and Landscape Change Influence Mangrove Encroachment onto Marsh in the Ten Thousand Islands Region of Florida, USA. J. Coast. Conserv. 2011, 15, 629–638. [Google Scholar] [CrossRef]
- Raabe, E.A.; Stumpf, R.P. Expansion of Tidal Marsh in Response to Sea-Level Rise: Gulf Coast of Florida, USA. Estuaries Coasts 2016, 39, 145–157. [Google Scholar] [CrossRef]
- Toscano, M.A.; Macintyre, I.G. Corrected Western Atlantic Sea-Level Curve for the Last 11,000 Years Based on Calibrated 14C Dates from Acropora Palmata Framework and Intertidal Mangrove Peat. Coral Reefs 2003, 22, 257–270. [Google Scholar] [CrossRef]
- Parkinson, R.W.; Wdowinski, S. Geomorphic Response of the Georgia Bight Coastal Zone to Accelerating Sea Level Rise, Southeastern USA. Coasts 2024, 4, 1–20. [Google Scholar] [CrossRef]
- Parkinson, R.W.; Wdowinski, S. A Unified Conceptual Model of Coastal Response to Accelerating Sea Level Rise, Florida, U.S.A. Sci. Total Environ. 2023, 892, 164448. [Google Scholar] [CrossRef]
- NOAA National Ocean Service 2022 Sea Level Rise Technical Report: Data and Tools. Available online: https://oceanservice.noaa.gov/hazards/sealevelrise/sealevelrise-data.html (accessed on 11 December 2023).
- Kopp, R.E.; Horton, B.P.; Kemp, A.C.; Tebaldi, C. Past and Future Sea-Level Rise along the Coast of North Carolina, USA. Clim. Chang. 2015, 132, 693–707. [Google Scholar] [CrossRef]
- Hawkes, A.D.; Kemp, A.C.; Donnelly, J.P.; Horton, B.P.; Peltier, W.R.; Cahill, N.; Hill, D.F.; Ashe, E.; Alexander, C.R. Relative Sea-Level Change in Northeastern Florida (USA) during the Last ∼8.0 Ka. Quat. Sci. Rev. 2016, 142, 90–101. [Google Scholar] [CrossRef]
- Boyd, B.M.; Sommerfield, C.K. Marsh Accretion and Sediment Accumulation in a Managed Tidal Wetland Complex of Delaware Bay. Ecol. Eng. 2016, 92, 37–46. [Google Scholar] [CrossRef]
- Corbett, D.R.; Vance, D.; Letrick, E.; Mallinson, D.; Culver, S. Decadal-Scale Sediment Dynamics and Environmental Change in the Albemarle Estuarine System, North Carolina. Estuar. Coast. Shelf Sci. 2007, 71, 717–729. [Google Scholar] [CrossRef]
- Chen, Y.; Kirwan, M.L. Upland Forest Retreat Lags behind Sea-Level Rise in the Mid-Atlantic Coast. Glob. Chang. Biol. 2024, 30, e17081. [Google Scholar] [CrossRef] [PubMed]
- Molino, G.D.; Carr, J.A.; Ganju, N.K.; Kirwan, M.L. Biophysical Drivers of Coastal Treeline Elevation. JGR Biogeosci. 2023, 128, e2023JG007525. [Google Scholar] [CrossRef]
- Ganju, N.K.; Defne, Z.; Schwab, C.; Moorman, M. Horizontal Integrity a Prerequisite for Vertical Stability: Comparison of Elevation Change and the Unvegetated-Vegetated Marsh Ratio Across Southeastern USA Coastal Wetlands. Estuaries Coasts 2023. [Google Scholar] [CrossRef]
- Desantis, L.R.G.; Bhotika, S.; Williams, K.; Putz, F.E. Sea-Level Rise and Drought Interactions Accelerate Forest Decline on the Gulf Coast of Florida, USA. Glob. Chang. Biol. 2007, 13, 2349–2360. [Google Scholar] [CrossRef]
- Herbert, E.R.; Boon, P.; Burgin, A.J.; Neubauer, S.C.; Franklin, R.B.; Ardón, M.; Hopfensperger, K.N.; Lamers, L.P.M.; Gell, P. A Global Perspective on Wetland Salinization: Ecological Consequences of a Growing Threat to Freshwater Wetlands. Ecosphere 2015, 6, art206. [Google Scholar] [CrossRef]
- Meeder, J.F.; Parkinson, R.W.; Ruiz, P.L.; Ross, M.S. Saltwater Encroachment and Prediction of Future Ecosystem Response to the Anthropocene Marine Transgression, Southeast Saline Everglades, Florida. Hydrobiologia 2017, 803, 29–48. [Google Scholar] [CrossRef]
- Parkinson, R.W.; Wdowinski, S. Accelerating Sea-Level Rise and the Fate of Mangrove Plant Communities in South Florida, USA. Geomorphology 2022, 412, 108329. [Google Scholar] [CrossRef]
- Di Nitto, D.; Neukermans, G.; Koedam, N.; Defever, H.; Pattyn, F.; Kairo, J.G.; Dahdouh-Guebas, F. Mangroves Facing Climate Change: Landward Migration Potential in Response to Projected Scenarios of Sea Level Rise. Biogeosciences 2014, 11, 857–871. [Google Scholar] [CrossRef]
- Langston, A.K.; Coleman, D.J.; Jung, N.W.; Shawler, J.L.; Smith, A.J.; Williams, B.L.; Wittyngham, S.S.; Chambers, R.M.; Perry, J.E.; Kirwan, M.L. The Effect of Marsh Age on Ecosystem Function in a Rapidly Transgressing Marsh. Ecosystems 2021, 25, 252–264. [Google Scholar] [CrossRef]
- Morris, J.T.; Sundareshwar, P.V.; Nietch, C.T.; Kjerfve, B.; Cahoon, D.R. Responses of Coastal Wetlands to Rising Sea Level. Ecology 2002, 83, 2869–2877. [Google Scholar] [CrossRef]
- Kirwan, M.L.; Gedan, K.B. Sea-Level Driven Land Conversion and the Formation of Ghost Forests. Nat. Clim. Chang. 2019, 9, 450–457. [Google Scholar] [CrossRef]
- Syvitski, J.P.M. Impact of Humans on the Flux of Terrestrial Sediment to the Global Coastal Ocean. Science 2005, 308, 376–380. [Google Scholar] [CrossRef]
- Osland, M.J.; Day, R.H.; Michot, T.C. Frequency of Extreme Freeze Events Controls the Distribution and Structure of Black Mangroves (Avicennia germinans) near Their Northern Range Limit in Coastal Louisiana. Divers. Distrib. 2020, 26, 1366–1382. [Google Scholar] [CrossRef]
- Sippo, J.Z.; Maher, D.T.; Tait, D.R.; Holloway, C.; Santos, I.R. Are Mangroves Drivers or Buffers of Coastal Acidification? Insights from Alkalinity and Dissolved Inorganic Carbon Export Estimates across a Latitudinal Transect: Mangroves Buffer Coastal Acidification. Glob. Biogeochem. Cycles 2016, 30, 753–766. [Google Scholar] [CrossRef]
- Stagg, C.L.; Osland, M.J.; Moon, J.A.; Feher, L.C.; Laurenzano, C.; Lane, T.C.; Jones, W.R.; Hartley, S.B. Extreme Precipitation and Flooding Contribute to Sudden Vegetation Dieback in a Coastal Salt Marsh. Plants 2021, 10, 1841. [Google Scholar] [CrossRef]
- Tully, K.; Gedan, K.; Epanchin-Niell, R.; Strong, A.; Bernhardt, E.S.; BenDor, T.; Mitchell, M.; Kominoski, J.; Jordan, T.E.; Neubauer, S.C.; et al. The Invisible Flood: The Chemistry, Ecology, and Social Implications of Coastal Saltwater Intrusion. BioScience 2019, 69, 368–378. [Google Scholar] [CrossRef]
- Webster, P.J.; Holland, G.J.; Curry, J.A.; Chang, H.-R. Changes in Tropical Cyclone Number, Duration, and Intensity in a Warming Environment. Science 2005, 309, 1844–1846. [Google Scholar] [CrossRef] [PubMed]
Disclaimer/Publisher’s Note: The statements, opinions and data contained in all publications are solely those of the individual author(s) and contributor(s) and not of MDPI and/or the editor(s). MDPI and/or the editor(s) disclaim responsibility for any injury to people or property resulting from any ideas, methods, instructions or products referred to in the content. |
© 2024 by the author. Licensee MDPI, Basel, Switzerland. This article is an open access article distributed under the terms and conditions of the Creative Commons Attribution (CC BY) license (https://creativecommons.org/licenses/by/4.0/).



