Hydrodynamic Model Tests for Seaweed as a Source of Energy Reduction during Extreme Events
Abstract
1. Introduction
Seaweed as a Source of High Wave Energy Reduction
2. Physical Modelling
Seaweed Models
3. Result
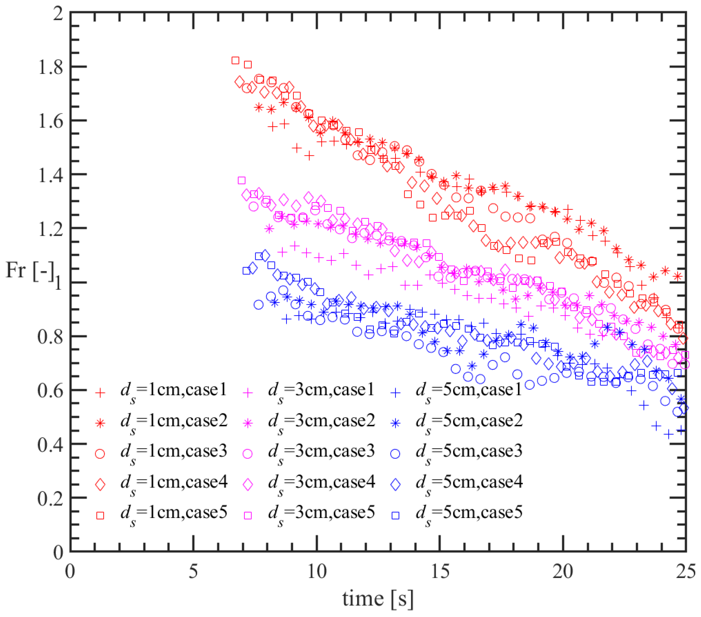
3.1. Bore Characteristics in the Absence of Seaweed and the Structure
3.2. Forces on the Building in the Absence of Seaweed
3.3. Experiments with a Single Row of Seaweed
3.4. Experiments with Two Rows of Seaweed
4. Discussion
4.1. Bore Characteristics in the Absence of Seaweed and the Structure
4.2. Forces on the Building in the Absence of Seaweed
4.3. Experiments with a Single Row of Seaweed
4.4. Experiments with Two Rows of Seaweed
4.5. Application of the Obtained Result
5. Conclusions and Limitations
Funding
Institutional Review Board Statement
Informed Consent Statement
Data Availability Statement
Acknowledgments
Conflicts of Interest
Appendix A. Prediction Equation
References
- EASAC. Trends in Extreme Weather Events in Europe: Implications for National and European Union Adaptation Strategies. Policy Report 22. 2013. Available online: https://www.preventionweb.net/publication/trends-extreme-weather-events-europe-implications-national-and-european-union (accessed on 12 June 2023).
- Felder, S.; Chanson, H. Air–water flow patterns of hydraulic jumps on uniform beds macroroughness. J. Hydraul. Eng. 2018, 144, 04017068. [Google Scholar] [CrossRef]
- IPBES. The Assessment Report on Land Degradation and Restoration of the Intergovernmental Science-Policy Platform on Biodiversity and Ecosystem Services. Summary for Policymakers; Scholes, R., Montanarella, L., Brainich, A., Barger, N., Brink, B.T., Cantele, M., Erasmus, B., Fisher, J., Gardner, T., Holland, T.G., et al., Eds.; IPBES Secretariat: Bonn, Germany, 2018. [Google Scholar]
- Schoonees, T.; Mancheño, A.G.; Scheres, B.; Bouma, T.J.; Silva, R.; Schlurmann, T.; Schüttrumpf, H. Hard structures for coastal protection, towards greener designs. Estuaries Coasts 2019, 42, 1709–1729. [Google Scholar] [CrossRef]
- Hofmann, J.; Schüttrumpf, H. Risk-Based and Hydrodynamic Pluvial Flood Forecasts in Real Time. Water 2016, 12, 1895. [Google Scholar] [CrossRef]
- Olaodokun, S.O.; Tommonaro, G.; Guerriero, G.; Fogliano, C.; Iodice, C.; Velotto, G.; Tramice, A. New insight in marine, biotechnology: Carrageenans chemical features and acetylcholinesterase (AChE) inhibition activity of two edible seaweeds of the genus Kappaphycus. In Proceedings of the 2nd Euro Mediterranean Journal for Environmental Integration (EMCEI), Adisa Baba, Ethiopia, 10–13 October 2019; p. 213. [Google Scholar]
- IUCN. IUCN Global Standard for Nature-Based Solutions: A User-Friendly Framework for the Verification, Design, and Scaling up of NbS, 1st ed.; International Union for Conservation of Nature (IUCN): Gland, Switzerland, 2020. [Google Scholar] [CrossRef]
- EurOtop. Manual on Wave Overtopping of Sea Defenses and Related Structures. An Overtopping Manual Largely Based on European Research, but for Worldwide Application; van der Meer, J.W., Allsop, N.W.H., Bruce, T., de Rouck, J., Kortenhaus, A., Pullen, T., Schüttrumpf, H., Troch, P., Zanuttigh, B., Eds.; 2018; Available online: http://www.overtopping-manual.com/assets/downloads/EurOtop_II_2018_Final_version.pdf (accessed on 12 June 2023).
- Ismail, H.; Abd Wahab, A.K.; Alias, N.E. Determination of mangrove forest performance in reducing tsunami run-up using physical models. Nat. Hazards 2012, 63, 939–963. [Google Scholar] [CrossRef]
- Morris, R.L.; Konlechner, T.M.; Ghisalberti, M.; Swearer, S.E. From grey to green: Efficacy of eco-engineering solutions for nature-based coastal defense. Glob. Chang. Biol. 2017, 24, 1827–1842. [Google Scholar] [CrossRef] [PubMed]
- Iverson, L.R.; Prasad, A.M. Modeling tsunami damage in Aceh: A reply. Landsc. Ecol. 2008, 23, 7–10. [Google Scholar] [CrossRef]
- Olaodokun, S.O. Model Test for Determination of Hydrodynamic Ocean Coefficient for Design of Aquaculture Mooring System for Oceanic Macroalgae Farming. Biosci. Biotechnol. Res. Asia 2017, 14, 1227. [Google Scholar]
- Guiry, M.D.; Blunden, G. Seaweed Resources in Europe: Uses and Potential; John Wiley & Sons: Chichester, UK, 1991; p. 432. [Google Scholar]
- Olaodokun, S.O.; Abdelaziz, A.; Guerriero, G. Risk Analysis of Aquaculture Farming System: Towards Reliable Sea Farming; Lambert Academy Publishing: Berlin, Germany, 2016; p. 116. ISBN 978-3-8473-2198-9. [Google Scholar]
- Buck, B.H.; Nevejan, N.; Wille, M.; Chambers, M.D.; Chopin, T. Offshore and Multi-Use Aquaculture with Extractive Species: Seaweeds and Bivalves. In Aquaculture Perspective of Multi-Use Sites in the Open Ocean; Buck, B., Langan, R., Eds.; Springer: Cham, The Netherlands, 2017. [Google Scholar] [CrossRef]
- Müller, R.; Laepple, T.; Bartsch, I.; Wiencke, C. Impact of oceanic warming on the distribution of seaweeds in polar and cold-temperate waters. Bot. Mar. 2009, 52, 617–638. [Google Scholar] [CrossRef]
- Olaodokun, S.O. Modelling of Offshore Aquaculture Floating Structure for Macro Algae Oceanic Cultivation, Marine Technology, and Sustainable Development; Green Innovations; IGI Publisher: Hershey, PA, USA, 2014; p. 20. [Google Scholar]
- Guerriero, G.; Rabbito, D.; Alwany, M.A.; Madonna, A.; Temraz, T.A.; Sulaiman, O.O.; Bassem, S.M.; Trocchia, S.; Abdel-Gawad, F.K.; Ciarcia, G. Fisheries and biodiversity along the Mediterranean Sea: Italian and Egyptian coast overview. Euro-Mediterr. J. Environ. Integr. 2017, 2, 16. [Google Scholar] [CrossRef]
- Mortensen, L.M. Remediation of nutrient-rich, brackish fjord water through the production of protein-rich kelp S. latissima and L. digitata. J. Appl. Phycol. 2017, 29, 3089–3096. [Google Scholar] [CrossRef]
- Moreno-Mateos, D.; Power, M.E.; Comín, F.A.; Yockteng, R. Structural and functional loss in restored wetland ecosystems. PLoS Biol. 2012, 10, e1001247. [Google Scholar] [CrossRef]
- Duarte, C.M.; Wu, J.; Xiao, X.; Bruhn, A.; Krause-Jensen, D. Can seaweed farming play a role in climate change mitigation and adaptation? Front. Mar. Sci. 2017, 4, 100. [Google Scholar] [CrossRef]
- Olaodokun, S.O.; Magee, A.; Kader, A.S.A.; Tee, K.F. Simulation of offshore aquaculture system for macroalgae (seaweed) oceanic farming. Ships Offshore Struct. 2017, 12, 553–562. [Google Scholar]
- Lendering, K.T.; Jonkman, S.N.; van Gelder, P.H.A.J.M.; Peters, D.J. Risk-based optimization of land reclamation. Reliab. Eng. Syst. Saf. 2015, 144, 193–203. [Google Scholar] [CrossRef]
- Yang, Y.; Chai, Z.; Wang, Q.; Chen, W.; He, Z.; Jiang, S. Cultivation of seaweed Gracilaria in Chinese coastal waters and its contribution to environmental improvements. Algal Res. 2015, 9, 236–244. [Google Scholar] [CrossRef]
- Van Rooijen, A.A.; McCall, R.T.; van Thiel de Vries, J.S.M.; van Dongeren, A.R.; Reniers, A.J.H.M.; Roelvink, J.A. Modeling the effect of wave-vegetation interaction on wave setup. J. Geophys. Res. Ocean. 2016, 121, 4341–4359. [Google Scholar] [CrossRef]
- Olaodokun, S.O.; Magee, A.; Bahrain, Z.; Kader, A.S.A.; Maimun, A.; Pauzi, A.G.; Wan Nick, W.B.; Othman, K. Mooring analysis for very large offshore aquaculture ocean plantation floating structure. Ocean Coast. Manag. 2013, 80, 80–88. [Google Scholar]
- Wüthrich, D.; Pfister, M.; Schleiss, A.J. Effect of bed roughness on tsunami-like waves and induced loads on buildings. Coast. Eng. 2019, 152, 103508. [Google Scholar] [CrossRef]
- Harish, S.; Sriram, V.; Schüttrumpf, H.; Sannasiraj, S.A. Tsunami-like flow-induced force on the structure: Prediction formulae for the horizontal force in quasi-steady flow phase. Coast. Eng. 2021, 168, 103938. [Google Scholar] [CrossRef]
- Oetjen, J.; Engel, M.; Pudasaini, S.P.; Schüttrumpf, H. Significance of boulder shape, shoreline configuration, and pre-transport setting for the transport of boulders by tsunamis. Earth Surf. Process. Landforms 2020, 45, 2118–2133. [Google Scholar] [CrossRef]
- Martín-Antón, M.; Negro, V.; del Campo, J.M.; López-Gutiérrez, J.S.; Esteban, M.D. Review of coastal land reclamation situation in the world. J. Coastal Res. 2016, 75, 667–671. [Google Scholar] [CrossRef]
- Harish, S.; Sriram, V.; Schüttrumpf, H.; Sannasiraj, S.A. Flow-structure interference effects with the surrounding structure in the choked quasi-steady condition of tsunami: Comparison with traditional obstruction approach. Appl. Ocean Res. 2022, 126, 103255. [Google Scholar] [CrossRef]
- Matsutomi, H.; Shuto, N.; Imamura, F.; Takahashi, T. Field survey of the 1996 Irian Jaya earthquake tsunami in Biak Island. Nat. Hazards 2001, 24, 199–212. [Google Scholar] [CrossRef]
- Matsutomi, H.; Okamoto, K. Inundation flow velocity of tsunami on land. Island Arc 2010, 19, 443–457. [Google Scholar] [CrossRef]
- Fritz, H.M.; Borrero, J.C.; Synolakis, C.E.; Yoo, J. 2004 Indian Ocean tsunami flow velocity measurements from survivor videos. Geophys. Res. Lett. 2006, 33. [Google Scholar] [CrossRef]
- Jaffe, B.E.; Goto, K.; Sugawara, D.; Richmond, B.M.; Fujino, S.; Nishimura, Y. Flow speed estimated by inverse modeling of sandy tsunami deposits: Results from the 11 March 2011 tsunami on the coastal plain near the Sendai Airport, Honshu, Japan. Sedimentary Geology. Sediment. Geol. 2012, 282, 90–109. [Google Scholar] [CrossRef]
- NOAA. Designing for Tsunamis. National Tsunami Hazard Mitigation Program, USGS, FEMA, NSF, Alaska, California, 2001, Hawaii, Oregon, and Washington; NOAA: Silver Spring, MD, USA, 2001.
- Harish, S.; Sriram, V.; Schüttrumpf, H.; Sannasiraj, S.A. Tsunami-like flow-induced forces on the structure: Dependence of the hydrodynamic force coefficients on Froude number and flow channel width in quasi-steady flow phase. Coast. Eng. 2022, 172, 104078. [Google Scholar] [CrossRef]
- Ahmed, A.; Ghumman, A.R. Experimental investigation of flood energy dissipation by single and hybrid defense system. Water 2019, 11, 1971. [Google Scholar] [CrossRef]
- Esteban, M.; Roubos, J.J.; Iimura, K.; Salet, J.T.; Hofland, B.; Bricker, J.; Ishii, H.; Hamano, G.; Takabatake, T.; Shibayama, T. Effect of bed roughness on tsunami bore propagation and overtopping. Coast. Eng. 2020, 157, 103539. [Google Scholar] [CrossRef]
- Cross III, R.H. Tsunami surge forces. J. Waterw. Harb. Div. 1967, 93, 201–231. [Google Scholar] [CrossRef]
- Wüthrich, D.; Pfister, M.; Nistor, I.; Schleiss, A.J. Experimental study on the hydrodynamic impact of tsunami-like waves against impervious free-standing buildings. Coast. Eng. J. 2018, 60, 180–199. [Google Scholar] [CrossRef]
- Anjum, N.; Tanaka, N. Experimental study on flow analysis and energy loss around discontinued vertically layered vegetation. Environ. Fluid Mech. 2020, 20, 791–817. [Google Scholar] [CrossRef]
- Pasha, G.A.; Tanaka, N. Undular hydraulic jump formation and energy loss in flow-through emergent vegetation of varying thickness and density. Ocean Eng. 2017, 141, 308–325. [Google Scholar] [CrossRef]
- Thomas, S.; Cox, D. Influence of finite-length seawalls for tsunami loading on coastal structures. J. Waterw. Port Coast. Ocean Eng. 2012, 138, 203–214. [Google Scholar] [CrossRef]
- Harish, S.; Sriram, V.; Schüttrumpf, H.; Sannasiraj, S.A. Tsunami-like Flow-Induced Forces on the Landward Structure behind a Vertical Seawall with and without Recurve Using Open FOAM. Water 2022, 14, 1986. [Google Scholar] [CrossRef]
- Rahman, M.A.; Tanaka, N.; Rashedunnabi, A.H.M.; Igarashi, Y. Energy reduction in tsunamis through a defense system comprising an embankment and vegetation on a mound. In Proceedings of the 22nd IAHR-APD Congress, Sapporo, Japan, 14–17 September 2020. [Google Scholar]
- Ahmed, A.; Valyrakis, M.; Ghumman, A.R.; Pasha, G.A.; Farooq, R. Experimental Investigation of Flood Energy Dissipation through Embankment Followed by Emergent Vegetation. Period. Polytech. Civ. Eng. 2021, 65, 1213–1226. [Google Scholar] [CrossRef]
- Zhang, M.; Dai, Z.; Tjeerd; Bouma, J.; Bricker, J.; Townend, I.; Wen, J.; Zhao, T.; Cai, H. Tidal-flat reclamation aggravates potential risk from storm impacts. Coastal Eng. 2021, 166, 103868. [Google Scholar] [CrossRef]
- Bellanova, P.; Frenken, M.; Reicherter, K.; Jaffe, B.; Szczuciński, W.; Schwarzbauer, J. Anthropogenic pollutants and biomarkers for the identification of 2011 Tohoku-Oki tsunami deposits (Japan). Mar. Geol. 2020, 422, 106117. [Google Scholar] [CrossRef]













| Test Case | ds = 1 cm | ds = 3 cm | ds = 5 cm | |||
|---|---|---|---|---|---|---|
| h (m) | u (m/s) | h (m) | u (m/s) | h (m) | u (m/s) | |
| Case 1 | 0.105 | 1.495 | 0.137 | 1.211 | 0.161 | 1.106 |
| Case 2 | 0.125 | 1.652 | 0.150 | 1.409 | 0.179 | 1.181 |
| Case 3 | 0.146 | 1.744 | 0.174 | 1.526 | 0.208 | 1.143 |
| Case 4 | 0.159 | 1.818 | 0.188 | 1.592 | 0.217 | 1.304 |
| Case 5 | 0.170 | 1.866 | 0.194 | 1.652 | 0.227 | 1.319 |
Disclaimer/Publisher’s Note: The statements, opinions and data contained in all publications are solely those of the individual author(s) and contributor(s) and not of MDPI and/or the editor(s). MDPI and/or the editor(s) disclaim responsibility for any injury to people or property resulting from any ideas, methods, instructions or products referred to in the content. |
© 2023 by the author. Licensee MDPI, Basel, Switzerland. This article is an open access article distributed under the terms and conditions of the Creative Commons Attribution (CC BY) license (https://creativecommons.org/licenses/by/4.0/).
Share and Cite
Oladokun, O.S. Hydrodynamic Model Tests for Seaweed as a Source of Energy Reduction during Extreme Events. Aquac. J. 2023, 3, 181-195. https://doi.org/10.3390/aquacj3030015
Oladokun OS. Hydrodynamic Model Tests for Seaweed as a Source of Energy Reduction during Extreme Events. Aquaculture Journal. 2023; 3(3):181-195. https://doi.org/10.3390/aquacj3030015
Chicago/Turabian StyleOladokun, Olanrewaju Sulaiman. 2023. "Hydrodynamic Model Tests for Seaweed as a Source of Energy Reduction during Extreme Events" Aquaculture Journal 3, no. 3: 181-195. https://doi.org/10.3390/aquacj3030015
APA StyleOladokun, O. S. (2023). Hydrodynamic Model Tests for Seaweed as a Source of Energy Reduction during Extreme Events. Aquaculture Journal, 3(3), 181-195. https://doi.org/10.3390/aquacj3030015

