Characterization of the Solution Properties of Sodium Dodecylsulphate Containing Alkaline–Surfactant–Polymer Flooding Media
Abstract
1. Introduction
2. Materials and Methods
2.1. Preparation of the Samples
2.2. Characterization of SDS in Alkaline–Polymer Mixtures
2.3. Determination the Acid Value of Rapeseed Oil
2.4. Infrared Spectroscopic Measurements
3. Results and Discussion
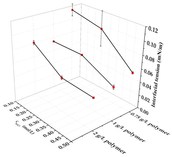
3.1. Measurement of Interfacial Tension (IFT) Values of the Surfactant–, Polymer–, and Alkaline–Surfactant–Polymer Mixtures
3.2. Measurement of Micelle Size of the SDS Solutions
3.3. Rheological Properties of the Samples
4. Conclusions
Author Contributions
Funding
Data Availability Statement
Conflicts of Interest
Nomenclature
| ASP | flooding–Alkaline–surfactant–polymer flooding |
| CMC | critical micelle concentration |
| DLS | dynamic light scattering |
| EOR | enanced oil recovery |
| IFT | interfacial tension |
| SDS | sodium dodecylsulphate |
| σ | interfacial tension |
| ω | angular velocity |
| ρ | density |
| τ | shear stress |
| τ0 | yield stress |
| γ* | shear rate |
| k | consistency index |
| n | flow number |
| η0 | zero shear viscosity |
References
- Lu, S.; Li, R.F.; Miller, C.A.; Hirasaki, G.J. Alkaline/surfactant/polymer processes: Wide range of conditions for good recovery. Soc. Pet. Eng. J. 2010, 15, 282–293. [Google Scholar] [CrossRef]
- Sheng, J.J. Status of surfactant EOR technology. Petroleum 2015, 1, 97–105. [Google Scholar] [CrossRef]
- Wang, B.; Wu, T.; Li, Y.; Sun, D.; Yang, M.; Gao, Y.; Lu, F.; Li, X. The effects of oil displacement agents on the stability of water produced from ASP (alkaline surfactant/polymer) flooding. Colloids. Surf. A 2011, 79, 121–126. [Google Scholar] [CrossRef]
- Johnson, C.E., Jr. Status of caustic and emulsion methods. J. Pet. Technol. 1976, 28, 85–92. [Google Scholar] [CrossRef]
- Ehrlich, R.; Wygal, R.J. Interaction of crude oil and rock properties with the recovery of oil by caustic waterflooding. Soc. Pet. Eng. J. 1977, 17, 263–279. [Google Scholar] [CrossRef]
- Al-Sahhaf, T.; Ahmed, A.S.; Elkamel, A. Producing ultralow interfacial tension at the oil/water interface. J. Pet. Sci. Technol. 2002, 20, 773–788. [Google Scholar] [CrossRef]
- Gao, S.; Li, H.; Li, H. Laboratory investigation of combination of alkali/surfactant/ polymer technology for Daqing EOR. SPE Reserv. Eng. 1995, 10, 194–197. [Google Scholar]
- Rudin, J.; Bernard, C.; Wasan, D.T. Effect of added surfactant on interfacial tension and spontaneous emulsification in alkali/acidic oil systems. Ind. Eng. Chem. Res. 1994, 33, 1150–1158. [Google Scholar] [CrossRef]
- Ehrlich, R.; Hasiba, H.H.; Raimondi, P. Alkaline waterflooding for wettability alteration-evaluating a potential field application. J. Pet. Technol. 1974, 26, 1335–1343. [Google Scholar] [CrossRef]
- Hirasaki, G.J.; Miller, C.A.; Puerto, M. Recent advances in surfactant EOR. Soc. Pet. Eng. J. 2011, 16, 889–907. [Google Scholar] [CrossRef]
- Sheng, J.J. A comprehensive review of alkaline–surfactant–polymer (ASP) flooding. Asia-Pac. J. Chem. Eng. 2014, 9, 471–489. [Google Scholar] [CrossRef]
- Sydansk, R.D. Elevated-temperature caustic/sandstone interaction: Implications for improving oil recovery. Soc. Pet. Eng. J. 1982, 22, 453–462. [Google Scholar] [CrossRef]
- Hirasaki, G.; Zhang, D.L. Surface chemistry of oil recovery from fractured, oilwet, carbonate formations. Soc. Pet. Eng. J. 2004, 9, 151–162. [Google Scholar]
- Khayet, M. Solar desalination by membrane distillation: Dispersion in energy consumption analysis and water production costs (a review). Desalination 2013, 308, 89–101. [Google Scholar] [CrossRef]
- Riley, B.N.; Doe, P.H. Polymer flooding review. J. Pet. Technol. 1987, 39, 1503–1507. [Google Scholar]
- Abidin, A.Z.; Puspasari, T.; Nugroho, W.A. Polymers for enhanced oil recovery technology. Procedia Chem. 2012, 4, 11–16. [Google Scholar] [CrossRef]
- Weiss, W.W.; Baldwin, R.W. Planning and implementing a large-scale polymer flood. J. Pet. Technol. 1985, 37, 720–730. [Google Scholar] [CrossRef]
- Abass, A.O. Review of ASP EOR (alkaline surfactant polymer enhanced oil recovery) technology in the petroleum industry: Prospects and challenges. Energy 2014, 77, 963–982. [Google Scholar]
- Sheng, J.J. Critical review of alkaline–polymer flooding. J. Petrol. Explor. Prod. Technol. 2017, 7, 147–153. [Google Scholar] [CrossRef]
- Sheng, D.C.; Yang, P.H.; Liu, Y.L. Effect of alkali-polymerinteraction on the solution properties. Petrol. Explor. Develop. 1994, 21, 81–85. [Google Scholar]
- Kazempour, M.; Sundstrom, E.A.; Alvarado, V. Effect of alkalinity on oil recovery during polymer floods in Sandstone. SPE Reserv. Eval. Eng. 2012, 15, 195–209. [Google Scholar] [CrossRef]
- Edinga, K.J.; McCaffery, F.G.; Wytrychowski, I.M. Cessford basal Colorado A reservoir caustic flood evaluation. J. Pet. Technol. 1980, 32, 2103–2110. [Google Scholar] [CrossRef]
- Manji, K.H.; Stasiuk, B.W. Design considerations for Dome’s David alkali/polymer flood. J. Can. Pet. Technol. 1988, 27, 48–54. [Google Scholar] [CrossRef]
- Chen, Z.Y. Experimental study of AP flooding in Yangshamu Guan II upper group. Oil Gas Recover. Technol. 1994, 1, 33–38. [Google Scholar]
- Xu, W.D.; Sun, L.; Pu, W.F.; Zhao, J.Z.; Xin, J. Effect of GH on AP solution flooding. J. S. Petrol. Univ. Sci. Technol. Ed. 2008, 30, 151–153. [Google Scholar]
- Mayer, E.H.; Berg, R.L.; Carmichael, J.D.; Weinbrandt, R.M. Alkaline injection for enhanced oil recovery-a status report. J. Petrol. Technol. 1983, 35, 209–221. [Google Scholar] [CrossRef]
- Leonard, J. Annual Production report: Steam dominates enhanced oil recovery. Oil Gas J. 1982, 80, 152–159. [Google Scholar]
- Chang, L.; Zhang, Z.Q.; Wang, Q.M.; Xu, Z.S.; Guo, Z.D.; Sun, G.Q. Advances in polymer flooding and alkaline/surfactant/polymer processes as developed and applied in the People’s Republic of China. J. Pet. Technol. 2006, 58, 84–89. [Google Scholar] [CrossRef]
- Yongge, W.; Mingzhe, D.; Ezeddin, S. Study of Alkaline/Polymer Flooding for Heavy-Oil Recovery Using Channeled Sandpacks. SPE Res. Eval. Eng. 2011, 14, 310–319. [Google Scholar]
- Srivastava, A.; Qiao, W.; Wu, Y.; Li, X.; Bao, L.; Liu, C. Effects of silica nanoparticles and polymers on foam stability with sodium dodecylbenzene sulfonate in water–liquid paraffin oil emulsions at high temperatures. J. Mol. Liq. 2017, 241, 1069–1078. [Google Scholar] [CrossRef]
- Princen, H.M.; Zia, Y.Z.; Mason, S.G. Measurement of Interfacial Tension from the Shape of a Rotating Drop. J. Colloid. Interface Sci. 1967, 23, 99–107. [Google Scholar] [CrossRef]
- Viades-Trejo, J.; Gracia-Fadrique, J. Spinning drop method From Young–Laplace to Vonnegut. Colloids Surf. A Physicochem. Eng. Asp. 2007, 302, 549–552. [Google Scholar] [CrossRef]
- Behzadfar, E.; Hatzikiriakos, S.G. Rheology of bitumen: Effects of temperature, pressure, CO2 concentration and shear rate. Fuel 2014, 116, 78–87. [Google Scholar]
- Aho, J.; Syrjälä, S. On the measurement and modeling of viscosity of polymers at low temperatures. Polym. Test 2008, 27, 35–40. [Google Scholar] [CrossRef]
- Burgos, G.R.; Alexandrou, A.N. On the determination of yield surfaces in Herschel–Bulkley fluids. J. Rheol. 1999, 43, 463–483. [Google Scholar] [CrossRef]
- Kardash, E.; Tur’yan, Y.I. Acid value determination in vegetable oils by indirect titration in aqueous-alcohol media. Croat. Chem. Acta 2005, 78, 99–103. [Google Scholar]
- Dickhout, J.M.; Virga, E.; Lammertnink, R.G.H.; de Vos, W.M. Surfactant specific ionic strength effects on membrane fouling during produced water treatment. J. Colloid Interface Sci. 2019, 556, 12–23. [Google Scholar] [CrossRef] [PubMed]
- Fluksman, A.; Benny, O. A robust method for critical micelle concentration determination using coumarin-6 as a fluorescent probe. Anal. Methods 2019, 11, 3810–3818. [Google Scholar] [CrossRef]
- Yoshimura, T.; Ohno, A.; Esumi, K. Mixed micellar properties of cationic trimeric-type quaternary ammonium salts and anionic sodium n-octyl sulfate surfactants. J. Colloid Interface Sci. 2004, 272, 191–196. [Google Scholar] [CrossRef]
- Kaushik, P.; Vaidya, S.; Ahmad, T.; Ganguli, A.K. Optimizing the hydrodynamic radii and polydispersity of reverse micelles in the Triton X-100/water/cyclohexane system using dynamic light scattering and other studies. Colloids Surf. A Physicochem. Eng. Asp. 2007, 293, 162–166. [Google Scholar] [CrossRef]
- Chun, B.J.; Choi, J.I.; Jang, S.S. Molecular dynamics simulation study of sodium dodecyl sulfate micelle: Water penetration and sodium dodecyl sulfate dissociation. Colloids Surf. A Physicochem. Eng. Asp. 2015, 474, 36–43. [Google Scholar] [CrossRef]
- Mirgorod, Y.; Chekadanov, A.; Dolenko, T. Structure of micelles of sodium dodecyl sulphate in water: X-ray and dynamic light scattering study. Chem. J. Mold. 2019, 14, 107–119. [Google Scholar] [CrossRef]
- Nillson, S.; Thuresson, K.; Hansson, P.; Lindman, B. Mixed solutions of surfactant and hydrophobically modified Polymer. Controlling viscosity with micellar size. J. Phys. Chem. B 1998, 102, 7099–7105. [Google Scholar] [CrossRef]









| Sample Composition | IFT/mN/m | Standard Deviation | Sample Density/g/cm3 | ||||
|---|---|---|---|---|---|---|---|
| c (Flopaam AN125SH)/g/L | wt.% (Na2CO3) | wt.% (NaOH) | c (NaCl)/mol/L | ||||
| Panel#1 | 0 | 0.2 | 0.4 | 0.1 | 0.1287 | 0.02141 | 1.00625 |
| 0 | 0.2 | 0.4 | 0.3 | 0.0443 | 0.0061 | 1.01164 | |
| 0 | 0.2 | 0.4 | 0.5 | 0.0972 | 0.0158 | 1.01147 | |
| Panel#2 | 0.75 | - | - | - | 10.867 | 0.244 | 0.99742 |
| 1.0 | - | - | - | 11.926 | 0.045 | 0.99749 | |
| 2.0 | - | - | - | 12.678 | 0.209 | 0.99778 | |
| Panel#3 | 0.75 | 0.2 | 0.4 | 0.1 | 0.0291 | 0.001 | 1.00511 |
| 1.0 | 0.2 | 0.4 | 0.1 | 0.0247 | 0.002 | 1.00618 | |
| 2.0 | 0.2 | 0.4 | 0.1 | 0.0484 | 0.002 | 1.0038 | |
| Panel#4 | 0.75 | 0.2 | 0.4 | 0.3 | 0.0357 | 0.001 | 1.01199 |
| 1.0 | 0.2 | 0.4 | 0.3 | 0.0449 | 0.002 | 1.01659 | |
| 2.0 | 0.2 | 0.4 | 0.3 | 0.0408 | 0.0002 | 1.02335 | |
| Panel#5 | 0.75 | 0.2 | 0.4 | 0.5 | 0.0408 | 0.0002 | 1.02335 |
| 1.0 | 0.2 | 0.4 | 0.5 | 0.0293 | 0.0084 | 1.02145 | |
| 2.0 | 0.2 | 0.4 | 0.5 | 0.0460 | 0.0035 | 1.02473 | |
| c (NaCl)/M | τ0/Pa | n | k/mPas | η0/mPas |
|---|---|---|---|---|
| 0.1 | 0 | 0.99 | 1.0 | 1.01 |
| 0.3 | 0 | 0.98 | 1.2 | 1.07 |
| 0.5 | 0 | 0.99 | 1.1 | 1.11 |
| Sample Composition | ||||||||
|---|---|---|---|---|---|---|---|---|
| c (Flopaam AN125SH)/g/L | wt% (NaOH) | wt% (Na2CO3) | c (NaCl)/mol/L | τ0/Pa | k/mPas | η0/mPas | n | |
| Panel#1 | 0.75 | - | - | - | 0 | 235.45 | 9.59 | 0.43 |
| 1.0 | - | - | - | 0 | 389.98 | 14.33 | 0.41 | |
| 2.0 | - | - | - | 0 | 847.57 | 22.55 | 0.35 | |
| Panel#2 | 0.75 | 0.4 | 0.2 | 0.1 | 0 | 5.93 | 2.88 | 0.87 |
| 1.0 | 0.4 | 0.2 | 0.1 | 0 | 11.9 | 4.47 | 0.89 | |
| 2.0 | 0.4 | 0.2 | 0.1 | 0 | 36.9 | 8.14 | 0.73 | |
| Panel#3 | 0.75 | 0.4 | 0.2 | 0.3 | 0 | 5.57 | 2.9 | 0.88 |
| 1.0 | 0.4 | 0.2 | 0.3 | 0 | 8.3 | 3.64 | 0.85 | |
| 2.0 | 0.4 | 0.2 | 0.3 | 0 | 27.3 | 7.18 | 0.76 | |
| Panel#4 | 0.75 | 0.4 | 0.2 | 0.5 | 0 | 4.94 | 2.77 | 0.90 |
| 1.0 | 0.4 | 0.2 | 0.5 | 0 | 6.9 | 3.35 | 0.87 | |
| 2.0 | 0.4 | 0.2 | 0.5 | 0 | 24.44 | 6.96 | 0.77 | |
| Sample Composition | ||||||
|---|---|---|---|---|---|---|
| c (Flopaam AN125SH)/g/L | c (NaCl)/mol/L | τ0/Pa | n | k/mPas | η0/mPas | |
| Panel#1 | 0.75 | 0.1 | 0 | 0.86 | 7.0 | 3.02 |
| 1.0 | 0.1 | 0 | 0.83 | 9.6 | 3.82 | |
| 2.0 | 0.1 | 0 | 0.73 | 36.3 | 7.96 | |
| Panel#2 | 0.75 | 0.3 | 0 | 0.88 | 5.2 | 2.77 |
| 1.0 | 0.3 | 0 | 0.85 | 7.8 | 3.48 | |
| 2.0 | 0.3 | 0 | 0.74 | 30.9 | 7.58 | |
| Panel#3 | 0.75 | 0.5 | 0 | 0.90 | 5.2 | 2.97 |
| 1.0 | 0.5 | 0 | 0.86 | 7.6 | 3.63 | |
| 2.0 | 0.5 | 0 | 0.77 | 25.1 | 7.21 | |
Disclaimer/Publisher’s Note: The statements, opinions and data contained in all publications are solely those of the individual author(s) and contributor(s) and not of MDPI and/or the editor(s). MDPI and/or the editor(s) disclaim responsibility for any injury to people or property resulting from any ideas, methods, instructions or products referred to in the content. |
© 2024 by the authors. Licensee MDPI, Basel, Switzerland. This article is an open access article distributed under the terms and conditions of the Creative Commons Attribution (CC BY) license (https://creativecommons.org/licenses/by/4.0/).
Share and Cite
Bús, C.; Kutus, B.; Ágoston, Á.; Janovák, L.; Sipos, P. Characterization of the Solution Properties of Sodium Dodecylsulphate Containing Alkaline–Surfactant–Polymer Flooding Media. Foundations 2024, 4, 273-287. https://doi.org/10.3390/foundations4020018
Bús C, Kutus B, Ágoston Á, Janovák L, Sipos P. Characterization of the Solution Properties of Sodium Dodecylsulphate Containing Alkaline–Surfactant–Polymer Flooding Media. Foundations. 2024; 4(2):273-287. https://doi.org/10.3390/foundations4020018
Chicago/Turabian StyleBús, Csaba, Bence Kutus, Áron Ágoston, László Janovák, and Pál Sipos. 2024. "Characterization of the Solution Properties of Sodium Dodecylsulphate Containing Alkaline–Surfactant–Polymer Flooding Media" Foundations 4, no. 2: 273-287. https://doi.org/10.3390/foundations4020018
APA StyleBús, C., Kutus, B., Ágoston, Á., Janovák, L., & Sipos, P. (2024). Characterization of the Solution Properties of Sodium Dodecylsulphate Containing Alkaline–Surfactant–Polymer Flooding Media. Foundations, 4(2), 273-287. https://doi.org/10.3390/foundations4020018

