Adherence to the Mediterranean Diet and Metabolic Health in Older Adults: Insights from a Feasibility Study
Abstract
1. Introduction
2. Materials and Methods
2.1. Study Design and Participants
2.2. Data Collection Procedure and Instruments
2.3. Statistical Analysis
2.4. Ethics
3. Results
3.1. Population Characterisation
3.2. Mediterranean Diet Adherence
3.3. Metabolic Syndrome
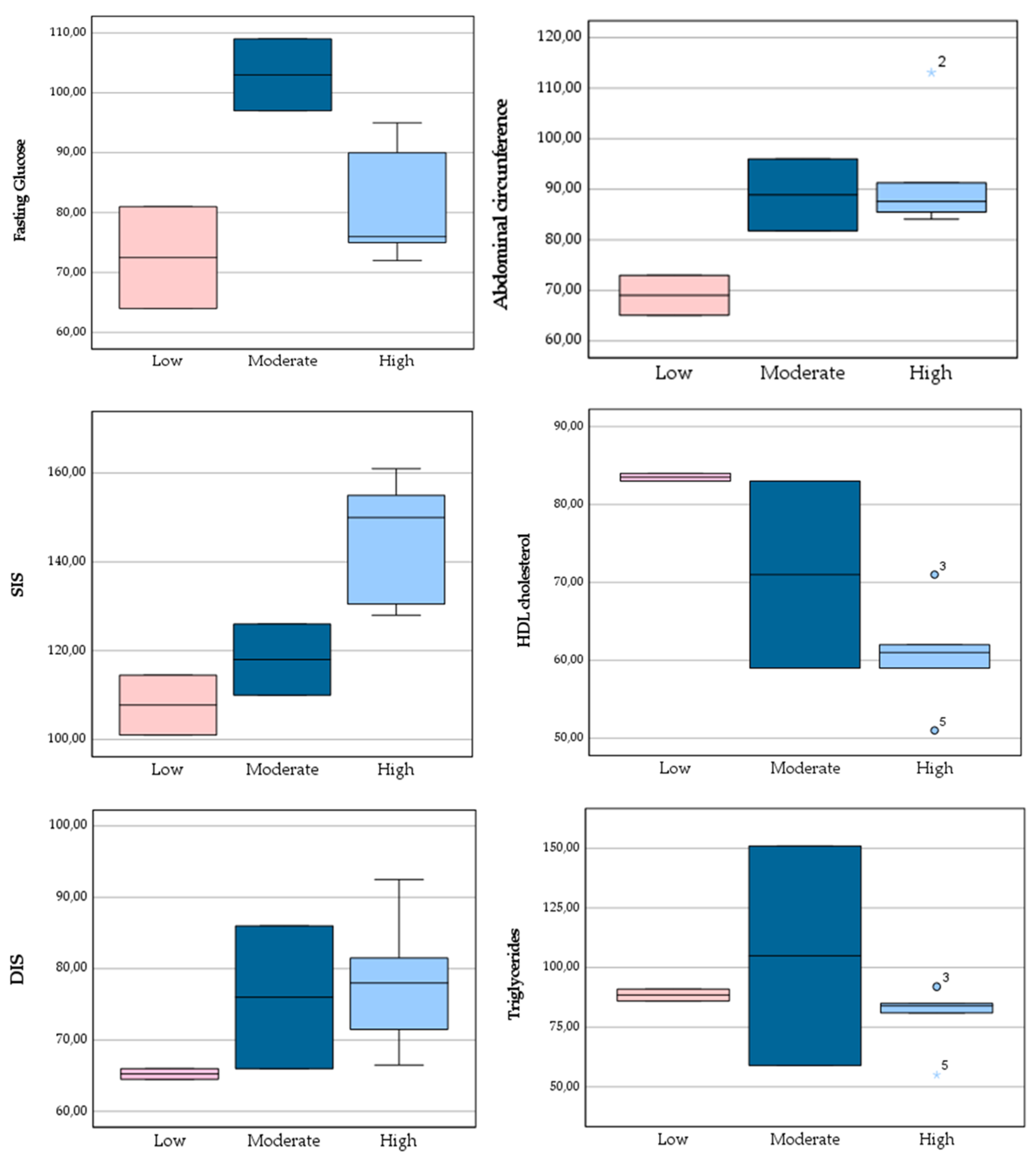
3.4. The Association Between Adherence and the Development of Metabolic Syndrome
4. Discussion
5. Conclusions
Supplementary Materials
Author Contributions
Funding
Institutional Review Board Statement
Informed Consent Statement
Data Availability Statement
Conflicts of Interest
Abbreviations
| EU | European Union |
| WHO | World Health Organization |
| MetS | Metabolic Syndrome |
| NCEP | National Cholesterol Education Program |
| ATP III | Adult Treatment Panel III |
| IDF | International Diabetes Federation |
| MedDiet | Mediterranean Diet |
| EPIC | European Prospective Investigation into Cancer and Nutrition |
| DIABEPIC-2 | Diabetes Prevention with a Mediterranean-based Intervention Program |
| PREDIMED | Prevención con Dieta Mediterránea |
| ILSA | Italian Longitudinal Study on Ageing |
| SD | Standard Deviation |
References
- Population Structure and Ageing—Statistics Explained—Eurostat. Available online: https://ec.europa.eu/eurostat/statistics-explained/index.php?title=Population_structure_and_ageing (accessed on 17 September 2025).
- Higo, M.; Khan, H.T.A. Global Population Aging: Unequal Distribution of Risks in Later Life between Developed and Developing Countries. Glob. Soc. Policy 2015, 15, 146–166. [Google Scholar] [CrossRef]
- World Health Organization (WHO). Good Health Adds Life to Years: Global Brief for World Health Day 2012; World Health Organization: Geneva, Switzerland, 2012.
- Khan, H.T.A.; Addo, K.M.; Findlay, H. Public Health Challenges and Responses to the Growing Ageing Populations. Public Health Chall. 2024, 3, e213. [Google Scholar] [CrossRef] [PubMed]
- Khan, H.T.A. Population Ageing in a Globalized World: Risks and Dilemmas? J. Eval. Clin. Pract. 2019, 25, 754–760. [Google Scholar] [CrossRef] [PubMed]
- World Health Organization. New Data: Noncommunicable Diseases Cause 1.8 Million Avoidable Deaths and Cost US$ 514 Billion Every Year, Reveals New WHO/Europe Report. Available online: https://www.who.int/europe/news/item/27-06-2025-new-data--noncommunicable-diseases-cause-1-8-million-avoidable-deaths-and-cost-us-514-billion-USD-every-year--reveals-new-who-europe-report (accessed on 22 September 2025).
- Neeland, I.J.; Lim, S.; Tchernof, A.; Gastaldelli, A.; Rangaswami, J.; Ndumele, C.E.; Powell-Wiley, T.M.; Després, J.P. Metabolic Syndrome. Nat. Rev. Dis. Primers 2024, 10, 77. [Google Scholar] [CrossRef] [PubMed]
- Bonomini, F.; Rodella, L.F.; Rezzani, R. Metabolic Syndrome, Aging and Involvement of Oxidative Stress. Aging Dis. 2015, 6, 109. [Google Scholar] [CrossRef]
- Zhang, K.; Ma, Y.; Luo, Y.; Song, Y.; Xiong, G.; Ma, Y.; Sun, X.; Kan, C. Metabolic Diseases and Healthy Aging: Identifying Environmental and Behavioral Risk Factors and Promoting Public Health. Front. Public Health 2023, 11, 1253506. [Google Scholar] [CrossRef]
- Saklayen, M.G. The Global Epidemic of the Metabolic Syndrome. Curr. Hypertens. Rep. 2018, 20, 12. [Google Scholar] [CrossRef]
- Noubiap, J.J.; Nansseu, J.R.; Lontchi-Yimagou, E.; Nkeck, J.R.; Nyaga, U.F.; Ngouo, A.T.; Tounouga, D.N.; Tianyi, F.L.; Foka, A.J.; Ndoadoumgue, A.L.; et al. Geographic Distribution of Metabolic Syndrome and Its Components in the General Adult Population: A Meta-Analysis of Global Data from 28 Million Individuals. Diabetes Res. Clin. Pract. 2022, 188, 109924. [Google Scholar] [CrossRef]
- Scuteri, A.; Laurent, S.; Cucca, F.; Cockcroft, J.; Cunha, P.G.; Mañas, L.R.; Raso, F.U.M.; Muiesan, M.L.; Ryliškyte, L.; Rietzschel, E.; et al. Metabolic Syndrome across Europe: Different Clusters of Risk Factors. Eur. J. Prev. Cardiol. 2015, 22, 486–491. [Google Scholar] [CrossRef]
- Alves, R.; Santos, A.J.; Kislaya, I.; Nunes, B.; Freire, A.C. Metabolic Syndrome in Portugal: Prevalence and Associated Factors. Acta Med. Port. 2022, 35, 633–643. [Google Scholar] [CrossRef]
- Duarte Junior, M.A.; Cabanas-Sánchez, V.; Pintos-Carrillo, S.; Ortolá, R.; Rodríguez-Artalejo, F.; Sotos-Prieto, M.; Martinez-Gomez, D. Association of Adherence to Mediterranean Diet and Changes over Time with All-Cause Mortality in Older Adults: The Seniors-ENRICA Cohorts. Am. J. Clin. Nutr. 2025, 122, 255–262. [Google Scholar] [CrossRef] [PubMed]
- Petkoska, A.T.; Ognenoska, V.; Trajkovska-Broach, A. Mediterranean Diet: From Ancient Traditions to Modern Science—A Sustainable Way Towards Better Health, Wellness, Longevity, and Personalized Nutrition. Sustainability 2025, 17, 4187. [Google Scholar] [CrossRef]
- Giugliano, D.; Esposito, K. Mediterranean Diet and Metabolic Diseases. Curr. Opin. Lipidol. 2008, 19, 63–68. [Google Scholar] [CrossRef] [PubMed]
- Davis, C.; Bryan, J.; Hodgson, J.; Murphy, K. Definition of the Mediterranean Diet: A Literature Review. Nutrients 2015, 7, 9139. [Google Scholar] [CrossRef]
- Sofi, F.; Cesari, F.; Abbate, R.; Gensini, G.F.; Casini, A. Adherence to Mediterranean Diet and Health Status: Meta-Analysis. BMJ 2008, 337, 673–675. [Google Scholar] [CrossRef]
- Riboli, E.; Hunt, K.; Slimani, N.; Ferrari, P.; Norat, T.; Fahey, M.; Charrondière, U.; Hémon, B.; Casagrande, C.; Vignat, J.; et al. European Prospective Investigation into Cancer and Nutrition (EPIC): Study Populations and Data Collection. Public Health Nutr. 2002, 5, 1113–1124. [Google Scholar] [CrossRef]
- Dione, V.; Iglesies-Grau, J.; Latour, E.; Besnier, F.; Gagnon, C.; Gayda, M.; Pelletier, V.; Selcer, S.; Vrinceanu, T.; Debray, A.; et al. Optimizing Cardiovascular Health with a Type 2 Diabetes Remission Program: Ultraprocessed Food-Intake Reduction, Mediterranean Diet, Chrononutrition and Physical Training—The DIABEPIC-2 Pilot Study. Diabetes Obes. Metab. 2025, 27, 7374–7384. [Google Scholar] [CrossRef]
- López-Laguna, N.; Toledo, E.; Hershey, M.S.; Babio, N.; Sorlí, J.V.; Ros, E.; Muñoz, M.Á.; Estruch, R.; Lapetra, J.; Muñoz-Bravo, C.; et al. Life’s Simple 7 and Risk of Peripheral Artery Disease: Results from the PREDIMED Study and an Updated Meta-Analysis. Nutrients 2025, 17, 2058. [Google Scholar] [CrossRef]
- Furbatto, M.; Lelli, D.; Antonelli Incalzi, R.; Pedone, C. Mediterranean Diet in Older Adults: Cardiovascular Outcomes and Mortality from Observational and Interventional Studies—A Systematic Review and Meta-Analysis. Nutrients 2024, 16, 3947. [Google Scholar] [CrossRef]
- Salas-Salvadó, J.; Guasch-Ferré, M.; Lee, C.H.; Estruch, R.; Clish, C.B.; Ros, E. Protective Effects of the Mediterranean Diet on Type 2 Diabetes and Metabolic Syndrome. J. Nutr. 2016, 146, 920S–927S. [Google Scholar] [CrossRef]
- Salas-Salvadó, J.; Fernández-Ballart, J.; Ros, E.; Martínez-González, M.A.; Fitó, M.; Estruch, R.; Corella, D.; Fiol, M.; Gómez-Gracia, E.; Arós, F.; et al. Effect of a Mediterranean Diet Supplemented with Nuts on Metabolic Syndrome Status: One-Year Results of the PREDIMED Randomized Trial. Arch. Intern. Med. 2008, 168, 2449–2458. [Google Scholar] [CrossRef] [PubMed]
- Godos, J.; Zappalà, G.; Bernardini, S.; Giambini, I.; Bes-Rastrollo, M.; Martinez-Gonzalez, M. Adherence to the Mediterranean Diet Is Inversely Associated with Metabolic Syndrome Occurrence: A Meta-Analysis of Observational Studies. Int. J. Food Sci. Nutr. 2017, 68, 138–148. [Google Scholar] [CrossRef] [PubMed]
- Cubas-Basterrechea, G.; Elío, I.; Alonso, G.; Otero, L.; Gutiérrez-Bardeci, L.; Puente, J.; Muñoz-Cacho, P. Adherence to the Mediterranean Diet Is Inversely Associated with the Prevalence of Metabolic Syndrome in Older People from the North of Spain. Nutrients 2022, 14, 4536. [Google Scholar] [CrossRef] [PubMed]
- Angelis, A.; Chrysohoou, C.; Tzorovili, E.; Laina, A.; Xydis, P.; Terzis, I.; Ioakeimidis, N.; Aznaouridis, K.; Vlachopoulos, C.; Tsioufis, K. The Mediterranean Diet Benefit on Cardiovascular Hemodynamics and Erectile Function in Chronic Heart Failure Male Patients by Decoding Central and Peripheral Vessel Rheology. Nutrients 2021, 13, 108. [Google Scholar] [CrossRef]
- Akgüllü, Ç.; Siriken, F.; Eryilmaz, U.; Akdeniz, M.; Ömürlü, I.K.; Pekcan, G.; Güngör, H.; Kurtoʇlu, T. The Relation between Compliance to the Mediterranean Diet and the Extensiveness of Coronary Artery Disease. Turk. Kardiyol. Dern. Ars. 2015, 43, 340–349. [Google Scholar] [CrossRef]
- Papadaki, A.; Nolen-Doerr, E.; Mantzoros, C.S. The Effect of the Mediterranean Diet on Metabolic Health: A Systematic Review and Meta-Analysis of Controlled Trials in Adults. Nutrients 2020, 12, 3342. [Google Scholar] [CrossRef]
- Richardson, L.A.; Izuora, K.; Basu, A. Mediterranean Diet and Its Association with Cardiovascular Disease Risk Factors: A Scoping Review. Int. J. Environ. Res. Public. Health 2022, 19, 12762. [Google Scholar] [CrossRef]
- Pignanelli, M.; Just, C.; Bogiatzi, C.; Dinculescu, V.; Gloor, G.B.; Allen-Vercoe, E.; Reid, G.; Urquhart, B.L.; Ruetz, K.N.; Velenosi, T.J.; et al. Mediterranean Diet Score: Associations with Metabolic Products of the Intestinal Microbiome, Carotid Plaque Burden, and Renal Function. Nutrients 2018, 10, 779. [Google Scholar] [CrossRef]
- Limongi, F.; Noale, M.; Gesmundo, A.; Crepaldi, G.; Maggi, S. Adherence to the Mediterranean Diet and All-Cause Mortality Risk in an Elderly Italian Population: Data from the ILSA Study. J. Nutr. Health Aging 2017, 21, 505–513. [Google Scholar] [CrossRef]
- Obeid, C.A.; Gubbels, J.S.; Jaalouk, D.; Kremers, S.P.J.; Oenema, A. Adherence to the Mediterranean Diet among Adults in Mediterranean Countries: A Systematic Literature Review. Eur. J. Nutr. 2022, 61, 3327. [Google Scholar] [CrossRef]
- Boujelbane, M.A.; Ammar, A.; Salem, A.; Kerkeni, M.; Trabelsi, K.; Bouaziz, B.; Masmoudi, L.; Heydenreich, J.; Schallhorn, C.; Müller, G.; et al. Regional Variations in Mediterranean Diet Adherence: A Sociodemographic and Lifestyle Analysis across Mediterranean and Non-Mediterranean Regions within the MEDIET4ALL Project. Front. Public Health 2025, 13, 1596681. [Google Scholar] [CrossRef] [PubMed]
- Alwan, A.; McColl, K.; Al-Jawaldeh, A. Proposed Policy Priorities for Preventing Obesity and Diabetes in the Eastern Mediterranean Region; World Health Organization, Regional Office for the Eastern Mediterranean: Cairo, Egypt, 2017. [Google Scholar]
- Da Silva, R.; Bach-Faig, A.; Raidó Quintana, B.; Buckland, G.; Vaz De Almeida, M.D.; Serra-Majem, L. Worldwide Variation of Adherence to the Mediterranean Diet, in 1961–1965 and 2000–2003. Public Health Nutr. 2009, 12, 1676–1684. [Google Scholar] [CrossRef] [PubMed]
- Teixeira, J.E.; Bragada, J.; Bragada, J.; Coelho, J.; Pinto, I.; Reis, L.; Magalhães, P. The Prevalence of Metabolic Syndrome and Its Components in Bragança District, North-Eastern Portugal: A Retrospective Observational Cross-Sectional Study. Rev. Port. Endocrinol. Diabetes Metab. 2022, 17, 51–57. [Google Scholar] [CrossRef]
- Gómez-Sánchez, L.; Gómez-Sánchez, M.; Tamayo-Morales, O.; Lugones-Sánchez, C.; González-Sánchez, S.; Martí-Lluch, R.; Rodríguez-Sánchez, E.; García-Ortiz, L.; Gómez-Marcos, M.A. Relationship between the Mediterranean Diet and Metabolic Syndrome and Each of the Components That Form It in Caucasian Subjects: A Cross-Sectional Trial. Nutrients 2024, 16, 1948. [Google Scholar] [CrossRef]
- Whitehead, A.L.; Sully, B.G.O.; Campbell, M.J. Pilot and Feasibility Studies: Is There a Difference from Each Other and from a Randomised Controlled Trial? Contemp. Clin. Trials 2014, 38, 130–133. [Google Scholar] [CrossRef]
- Afonso, L.; Moreira, T.; Oliveira, A. Índices de Adesão Ao Padrão Alimentar Mediterrânico—A Base Metodológica Para Estudar a Sua Relação Com a Saúde. Rev. Factores Risco 2014, 31, 48–55. [Google Scholar]
- Estruch, R.; Ros, E.; Salas-Salvadó, J.; Covas, M.-I.; Corella, D.; Arós, F.; Gómez-Gracia, E.; Ruiz-Gutiérrez, V.; Fiol, M.; Lapetra, J.; et al. Primary Prevention of Cardiovascular Disease with a Mediterranean Diet Supplemented with Extra-Virgin Olive Oil or Nuts. New Engl. J. Med. 2018, 378, e34. [Google Scholar] [CrossRef]
- Cleeman, J.I. Executive Summary of The Third Report of The National Cholesterol Education Program (NCEP) Expert Panel on Detection, Evaluation, And Treatment of High Blood Cholesterol In Adults (Adult Treatment Panel III). JAMA 2001, 285, 2486–2497. [Google Scholar] [CrossRef]
- WHO. Capillary Sampling. In WHO Guidelines on Drawing Blood: Best Practices in Phlebotomy; World Health Organization: Geneva, Switzerland, 2010. [Google Scholar]
- WHO. The Blood Cold Chain; World Health Organization, Department of Blood Safety and Clinical Technology: Geneva, Switzerland, 2002; p. 74. [Google Scholar]
- Da Cunha, D.; Ramires, N.; Tibana, A.; Ferreira De Melo, G.; Prestes, J. Testes de Normalidade em Análises Estatísticas: Uma Orientação Para Praticantes em Ciências Da Saúde e Atividade Física. Rev. Mackenzie Educ. Física Esporte 2015, 14, 73–77. [Google Scholar]
- Jennings, A.; Berendsen, A.M.; De Groot, L.C.P.G.M.; Feskens, E.J.M.; Brzozowska, A.; Sicinska, E.; Pietruszka, B.; Meunier, N.; Caumon, E.; Malpuech-Brugère, C.; et al. Mediterranean-Style Diet Improves Systolic Blood Pressure and Arterial Stiffness in Older Adults. Hypertension 2019, 73, 578–586. [Google Scholar] [CrossRef]
- Perez, V.; Chang, E.T. Sodium-to-Potassium Ratio and Blood Pressure, Hypertension, and Related Factors. Adv. Nutr. 2014, 5, 712–741. [Google Scholar] [CrossRef] [PubMed]
- Merra, G.; Noce, A.; Marrone, G.; Cintoni, M.; Tarsitano, M.G.; Capacci, A.; De Lorenzo, A. Influence of Mediterranean Diet on Human Gut Microbiota. Nutrients 2020, 13, 7. [Google Scholar] [CrossRef] [PubMed]
- Avery, E.G.; Bartolomaeus, H.; Maifeld, A.; Marko, L.; Wiig, H.; Wilck, N.; Rosshart, S.P.; Forslund, S.K.; Müller, D.N. The Gut Microbiome in Hypertension: Recent Advances and Future Perspectives. Circ. Res. 2021, 128, 934–950. [Google Scholar] [CrossRef] [PubMed]
- Torres-Peña, J.D.; Rangel-Zuñiga, O.A.; Alcala-Diaz, J.F.; Lopez-Miranda, J.; Delgado-Lista, J. Mediterranean Diet and Endothelial Function: A Review of Its Effects at Different Vascular Bed Levels. Nutrients 2020, 12, 2212. [Google Scholar] [CrossRef]
- Luiking, Y.C.; Engelen, M.P.K.J.; Deutz, N.E.P. Regulation of Nitric Oxide Production in Health and Disease. Curr. Opin. Clin. Nutr. Metab. Care 2010, 13, 97. [Google Scholar] [CrossRef]
- Mena, P.; Bresciani, L. Dietary Fibre Modifies Gut Microbiota: What’s the Role of (Poly)Phenols? Int. J. Food Sci. Nutr. 2020, 71, 783–784. [Google Scholar] [CrossRef]
- Serino, A.; Salazar, G. Protective Role of Polyphenols against Vascular Inflammation, Aging and Cardiovascular Disease. Nutrients 2018, 11, 53. [Google Scholar] [CrossRef]
- Estruch, R.; Camafort, M. The Mediterranean Diet and Plasma Lipid Profile. Rev. Española Cardiol. 2015, 68, 279–281. [Google Scholar] [CrossRef]
- Tosti, V.; Bertozzi, B.; Fontana, L. Health Benefits of the Mediterranean Diet: Metabolic and Molecular Mechanisms. J. Gerontol. A Biol. Sci. Med. Sci. 2017, 73, 318. [Google Scholar] [CrossRef]
- Del Bo’, C.; Perna, S.; Allehdan, S.; Rafique, A.; Saad, S.; AlGhareeb, F.; Rondanelli, M.; Tayyem, R.F.; Marino, M.; Martini, D.; et al. Does the Mediterranean Diet Have Any Effect on Lipid Profile, Central Obesity and Liver Enzymes in Non-Alcoholic Fatty Liver Disease (NAFLD) Subjects? A Systematic Review and Meta-Analysis of Randomized Control Trials. Nutrients 2023, 15, 2250. [Google Scholar] [CrossRef]
- Galli, C.; Marangoni, F. N-3 Fatty Acids in the Mediterranean Diet. Prostaglandins Leukot. Essent. Fatty Acids 2006, 75, 129–133. [Google Scholar] [CrossRef] [PubMed]
- Román, G.C.; Jackson, R.E.; Gadhia, R.; Román, A.N.; Reis, J. Mediterranean Diet: The Role of Long-Chain ω-3 Fatty Acids in Fish; Polyphenols in Fruits, Vegetables, Cereals, Coffee, Tea, Cacao and Wine; Probiotics and Vitamins in Prevention of Stroke, Age-Related Cognitive Decline, and Alzheimer Disease. Rev. Neurol. 2019, 175, 724–741. [Google Scholar] [CrossRef] [PubMed]
- Jump, D.B. Fatty Acid Regulation of Hepatic Lipid Metabolism. Curr. Opin. Clin. Nutr. Metab. Care 2011, 14, 115. [Google Scholar] [CrossRef] [PubMed]
- Ferramosca, A.; Zara, V. Modulation of Hepatic Steatosis by Dietary Fatty Acids. World J. Gastroenterol. 2014, 20, 1746. [Google Scholar] [CrossRef]
- Pérez-Vega, K.A.; Castañer, O.; Sanllorente, A.; Lassale, C.; Ros, E.; Pintó, X.; Estruch, R.; Salas-Salvadó, J.; Corella, D.; Alonso-Gómez, Á.M.; et al. Mediterranean Diet, Energy Restriction, Physical Activity, and Atherogenicity of Very-Low Density Lipoproteins: Findings from Two Randomized Controlled Trials. Mol. Nutr. Food Res. 2023, 67, 2200338. [Google Scholar] [CrossRef]
- Campanella, A.; Iacovazzi, P.A.; Misciagna, G.; Bonfiglio, C.; Mirizzi, A.; Franco, I.; Bianco, A.; Sorino, P.; Caruso, M.G.; Cisternino, A.M.; et al. The Effect of Three Mediterranean Diets on Remnant Cholesterol and Non-Alcoholic Fatty Liver Disease: A Secondary Analysis. Nutrients 2020, 12, 1674. [Google Scholar] [CrossRef]
- Koivuniemi, A.; Vuorela, T.; Kovanen, P.T.; Vattulainen, I.; Hyvönen, M.T. Lipid Exchange Mechanism of the Cholesteryl Ester Transfer Protein Clarified by Atomistic and Coarse-Grained Simulations. PLoS Comput. Biol. 2012, 8, e1002299. [Google Scholar] [CrossRef]
- Barter, P.J.; Brewer, H.B.; Chapman, M.J.; Hennekens, C.H.; Rader, D.J.; Tall, A.R. Cholesteryl Ester Transfer Protein. Arterioscler. Thromb. Vasc. Biol. 2003, 23, 160–167. [Google Scholar] [CrossRef]
- Abumweis, S.S.; Barake, R.; Jones, P.J.H. Plant Sterols/Stanols as Cholesterol Lowering Agents: A Meta-Analysis of Randomized Controlled Trials. Food Nutr. Res. 2008, 52, 1811. [Google Scholar] [CrossRef]
- Zambrano, A.K.; Cadena-Ullauri, S.; Ruiz-Pozo, V.A.; Tamayo-Trujillo, R.; Paz-Cruz, E.; Guevara-Ramírez, P.; Frias-Toral, E.; Simancas-Racines, D. Impact of Fundamental Components of the Mediterranean Diet on the Microbiota Composition in Blood Pressure Regulation. J. Transl. Med. 2024, 22, 417. [Google Scholar] [CrossRef]
- Atawia, R.T.; Bunch, K.L.; Toque, H.A.; Caldwell, R.B.; Caldwell, R.W. Mechanisms of Obesity-Induced Metabolic and Vascular Dysfunctions. Front. Biosci. 2019, 24, 890. [Google Scholar] [CrossRef]
- Jin, X.; Qiu, T.; Li, L.; Yu, R.; Chen, X.; Li, C.; Proud, C.G.; Jiang, T. Pathophysiology of Obesity and Its Associated Diseases. Acta Pharm. Sin. B 2023, 13, 2403–2424. [Google Scholar] [CrossRef] [PubMed]
- Bergman, R.N.; Kim, S.P.; Catalano, K.J.; Hsu, I.R.; Chiu, J.D.; Kabir, M.; Hucking, K.; Ader, M. Why Visceral Fat Is Bad: Mechanisms of the Metabolic Syndrome. Obesity 2006, 14, 16S–19S. [Google Scholar] [CrossRef] [PubMed]
- Hocking, S.; Samocha-Bonet, D.; Milner, K.L.; Greenfield, J.R.; Chisholm, D.J. Adiposity and Insulin Resistance in Humans: The Role of the Different Tissue and Cellular Lipid Depots. Endocr. Rev. 2013, 34, 463–500. [Google Scholar] [CrossRef] [PubMed]
- Dominguez, L.J.; Veronese, N.; Di Bella, G.; Cusumano, C.; Parisi, A.; Tagliaferri, F.; Ciriminna, S.; Barbagallo, M. Mediterranean Diet in the Management and Prevention of Obesity. Exp. Gerontol. 2023, 174, 112121. [Google Scholar] [CrossRef]
- Paley, C.A.; Johnson, M.I. Abdominal Obesity and Metabolic Syndrome: Exercise as Medicine? BMC Sports Sci. Med. Rehabil. 2018, 10, 7. [Google Scholar] [CrossRef]
- Björntorp, P. Metabolic Implications of Body Fat Distribution. Diabetes Care 1991, 14, 1132–1143. [Google Scholar] [CrossRef]
- Pedersen, B.K.; Saltin, B. Exercise as Medicine—Evidence for Prescribing Exercise as Therapy in 26 Different Chronic Diseases. Scand. J. Med. Sci. Sports 2015, 25, 1–72. [Google Scholar] [CrossRef]
- Després, J.P. Abdominal Obesity: The Most Prevalent Cause of the Metabolic Syndrome and Related Cardiometabolic Risk. Eur. Heart J. Suppl. 2006, 8, B4–B12. [Google Scholar] [CrossRef]
- Després, J.P.; Lemieux, I. Abdominal Obesity and Metabolic Syndrome. Nature 2006, 444, 881–887. [Google Scholar] [CrossRef]
- Milenkovic, T.; Bozhinovska, N.; Macut, D.; Bjekic-Macut, J.; Rahelic, D.; Asimi, Z.V.; Burekovic, A. Mediterranean Diet and Type 2 Diabetes Mellitus: A Perpetual Inspiration for the Scientific World. A Review. Nutrients 2021, 13, 1307. [Google Scholar] [CrossRef] [PubMed]
- Martín-Peláez, S.; Fito, M.; Castaner, O. Mediterranean Diet Effects on Type 2 Diabetes Prevention, Disease Progression, and Related Mechanisms. A Review. Nutrients 2020, 12, 2236. [Google Scholar] [CrossRef] [PubMed]
- Alahmari, L.A. Dietary Fiber Influence on Overall Health, with an Emphasis on CVD, Diabetes, Obesity, Colon Cancer, and Inflammation. Front. Nutr. 2024, 11, 1510564. [Google Scholar] [CrossRef] [PubMed]
- Cassidy, Y.M.; McSorley, E.M.; Allsopp, P.J. Effect of Soluble Dietary Fibre on Postprandial Blood Glucose Response and Its Potential as a Functional Food Ingredient. J. Funct. Foods 2018, 46, 423–439. [Google Scholar] [CrossRef]
- Silva, F.M.; Kramer, C.K.; de Almeida, J.C.; Steemburgo, T.; Gross, J.L.; Azevedo, M.J. Fiber Intake and Glycemic Control in Patients with Type 2 Diabetes Mellitus: A Systematic Review with Meta-Analysis of Randomized Controlled Trials. Nutr. Rev. 2013, 71, 790–801. [Google Scholar] [CrossRef]
- Vitale, M.; Costabile, G.; Bergia, R.E.; Hjorth, T.; Campbell, W.W.; Landberg, R.; Riccardi, G.; Giacco, R. The Effects of Mediterranean Diets with Low or High Glycemic Index on Plasma Glucose and Insulin Profiles Are Different in Adult Men and Women: Data from MEDGI-Carb Randomized Clinical Trial. Clin. Nutr. 2023, 42, 2022–2028. [Google Scholar] [CrossRef]
- Bergia, R.E.; Giacco, R.; Hjorth, T.; Biskup, I.; Zhu, W.; Costabile, G.; Vitale, M.; Campbell, W.W.; Landberg, R.; Riccardi, G. Differential Glycemic Effects of Low-versus High-Glycemic Index Mediterranean-Style Eating Patterns in Adults at Risk for Type 2 Diabetes: The MEDGI-Carb Randomized Controlled Trial. Nutrients 2022, 14, 706. [Google Scholar] [CrossRef]
- Kastorini, C.M.; Milionis, H.J.; Esposito, K.; Giugliano, D.; Goudevenos, J.A.; Panagiotakos, D.B. The Effect of Mediterranean Diet on Metabolic Syndrome and Its Components: A Meta-Analysis of 50 Studies and 534,906 Individuals. J. Am. Coll. Cardiol. 2011, 57, 1299–1313. [Google Scholar] [CrossRef]
- Roman, B.; Carta, L.; Martínez-González, Á.M.; Serra-Majem, L. Effectiveness of the Mediterranean Diet in the Elderly. Clin. Interv. Aging 2008, 3, 97. [Google Scholar] [CrossRef]




| Variable | n (%) | Minimum | Maximum | Mean ± SD |
|---|---|---|---|---|
| Age | --- | 69.0 | 81.0 | 73.1 ± 3.7 |
| Sex | Female: 9 (90%) | --- | ---- | --- |
| Male: 1 (10%) | ||||
| Marital Status | Married: 4 (40%) | --- | --- | --- |
| Widowed: 5 (50%) | ||||
| Not reported: 1 (10%) | ||||
| BMI (kg/m2) | --- | 19.0 | 40.8 | 27.5 ± 5.8 |
| Abdominal circumference (cm) | --- | 65.1 | 113.1 | 86.9 ± 13.0 |
| Systolic blood pressure (mmHg) | --- | 101.0 | 161.0 | 129.8 ± 19.9 |
| Diastolic blood pressure (mmHg) | --- | 64.5 | 92.5 | 73.7 ± 10.2 |
| Fasting glucose (mg/dL) | --- | 64.0 | 109.0 | 83.4 ± 13.8 |
| HDL cholesterol (mg/dL) | --- | 51.0 | 84.0 | 68.7 ± 11.9 |
| Triglycerides (mg/dL) | --- | 55.0 | 151.0 | 84.8 ± 26.8 |
| Total cholesterol (mg/dL) | --- | 132.0 | 215.0 | 178.3 ± 25.2 |
Disclaimer/Publisher’s Note: The statements, opinions and data contained in all publications are solely those of the individual author(s) and contributor(s) and not of MDPI and/or the editor(s). MDPI and/or the editor(s) disclaim responsibility for any injury to people or property resulting from any ideas, methods, instructions or products referred to in the content. |
© 2025 by the authors. Licensee MDPI, Basel, Switzerland. This article is an open access article distributed under the terms and conditions of the Creative Commons Attribution (CC BY) license.
Share and Cite
Brás Alves, S.; de Sá, L.M.; Agradém, C.; Mendes, E.; Monteiro, A.M.; Fernandes, A.; Fernandes, H.; Vaz, J.; Pereira, A. Adherence to the Mediterranean Diet and Metabolic Health in Older Adults: Insights from a Feasibility Study. J. Ageing Longev. 2026, 6, 5. https://doi.org/10.3390/jal6010005
Brás Alves S, de Sá LM, Agradém C, Mendes E, Monteiro AM, Fernandes A, Fernandes H, Vaz J, Pereira A. Adherence to the Mediterranean Diet and Metabolic Health in Older Adults: Insights from a Feasibility Study. Journal of Ageing and Longevity. 2026; 6(1):5. https://doi.org/10.3390/jal6010005
Chicago/Turabian StyleBrás Alves, Sara, Leandro Moreira de Sá, Carla Agradém, Eugénia Mendes, António Miguel Monteiro, Adília Fernandes, Hélder Fernandes, Josiana Vaz, and Ana Pereira. 2026. "Adherence to the Mediterranean Diet and Metabolic Health in Older Adults: Insights from a Feasibility Study" Journal of Ageing and Longevity 6, no. 1: 5. https://doi.org/10.3390/jal6010005
APA StyleBrás Alves, S., de Sá, L. M., Agradém, C., Mendes, E., Monteiro, A. M., Fernandes, A., Fernandes, H., Vaz, J., & Pereira, A. (2026). Adherence to the Mediterranean Diet and Metabolic Health in Older Adults: Insights from a Feasibility Study. Journal of Ageing and Longevity, 6(1), 5. https://doi.org/10.3390/jal6010005

