Next Article in Journal / Special Issue
Crosstalk of Endothelial and Mesenchymal Stromal Cells under Tissue-Related O2
Previous Article in Journal
Regional Differences in Gene Expression of Proliferating Human Choroidal Endothelial Cells
 
 
Font Type:
Arial Georgia Verdana
Font Size:
Aa Aa Aa
Line Spacing:
Column Width:
Background:
Article

Heparin–Avastin Complexes Show Enhanced VEGF Binding and Inhibition of VEGF-Mediated Cell Migration

by
Divyabharathy Tsiros
,
Casey E. Sheehy
and
Matthew A. Nugent
*
Department of Biological Sciences, University of Massachusetts Lowell, Lowell, MA 01854, USA
*
Author to whom correspondence should be addressed.
Int. J. Transl. Med. 2021, 1(2), 101-115; https://doi.org/10.3390/ijtm1020008
Submission received: 25 May 2021 / Revised: 20 July 2021 / Accepted: 5 August 2021 / Published: 10 August 2021
(This article belongs to the Special Issue Advances in the Angiogenic Field)

Abstract

Bevacizumab (known by the tradename Avastin) is an antibody that binds VEGF and blocks its binding to VEGF receptors on endothelial cells, and is used to treat cancers and other diseases associated with excessive vascular growth. Our previous findings showed enhanced VEGF binding to Avastin in the presence of heparin, indicating that colocalizing heparin with Avastin could enhance VEGF inhibitory activity. Thus, the aim of the present study was to determine if conjugating Avastin and heparin to one another would lead to enhanced anti-VEGF activity. Avastin was conjugated to either biotin or streptavidin, and biotin–heparin was used to bring the two molecules into close proximity via biotin–streptavidin binding. Radioligand binding assays with 125 I-VEGF and cell migration assays using human umbilical vein endothelial cells were used to evaluate the impact of heparin on Avastin binding and activity. We found that bringing Avastin and heparin together, either on a surface or through streptavidin conjugation of Avastin, led to increased VEGF binding compared to that with each molecule alone. The heparin-mediated increase in VEGF binding was also noted at acidic pH where Avastin showed decreased VEGF binding. Conditions where Avastin and heparin showed enhanced VEGF binding also showed reduced VEGF-induced migration of human umbilical vein endothelial cells. These findings suggest design principles for a modified Avastin-based inhibitor of angiogenesis.

1. Introduction

Vascular endothelial growth factor A (VEGF) belongs to a superfamily of homodimeric proteins that modulate cell function from the extracellular environment through activation of cell surface receptors. VEGF, in particular, has been identified as a critical factor that drives vasculogenesis and angiogenesis [1]. Angiogenesis, the growth of new blood vessels from existing ones, has been identified as a key step in the transition of cancer to malignancy and in promoting metastasis. Consequently, considerable effort has been directed at developing approaches to inhibit VEGF-mediated angiogenesis for the treatment of cancers and other diseases associated with excessive vascular growth [2,3]. VEGF receptor 2 has been identified as the key signaling receptor on endothelial cells responsible for VEGF-mediated angiogenesis. Thus, most therapeutic approaches have focused on blocking VEGF receptor 2 activation and/or signaling through the use of monoclonal antibodies, fusion protein ligand traps, tyrosine kinase inhibitors, and inhibitors of downstream signaling [1]. However, VEGF also binds to and is modulated by other components present on the cell surface and within the extracellular matrix of endothelial cells where these interactions may alter the efficacy of anti-VEGF therapies [4,5]. Indeed, we have previously found that binding of VEGF to heparin and fibronectin can have dramatic effects on the binding of VEGF to a therapeutic anti-VEGF antibody, bevacizumab (known by the tradename Avastin) [6].
Avastin was approved in 2004 by the FDA for treatment of colorectal cancer and has since been widely used to treat a variety of other cancers and ocular disorders [7]. Avastin, also known as bevacizumab, is a recombinant humanized monoclonal antibody that binds to VEGF and inhibits its interaction with VEGF receptor 2 (VEGFR-2). While Avastin has proven to be an effective anti-angiogenic drug, factors such as its relatively short half-life, long adsorption time, and low bioavailability results in the need for repetitive administration of high doses. Moreover, a number of adverse side effects have also been noted including hemorrhage, retinal detachment, venous thrombosis, hypertension, proteinuria, stroke, and heart failure [7,8,9]. Consequently, considerable effort has been directed at improving Avastin efficacy while reducing its negative side effects. Approaches have included incorporation of Avastin within various hydrogels and co-therapy with other drugs and proteins [10,11,12,13,14]. These new approaches have shown promising results, but have not yet led to changes in the current state of Avastin therapy. Thus, the wide clinical use of Avastin continues to highlight the need for improvements that amplify the beneficial actions of this valuable pharmaceutical agent.
We have previously observed that the VEGF–Avastin interaction is dramatically destabilized at low pH [6]. Reduced VEGF–Avastin binding may limit the effectiveness of Avastin within tumors and other undervascularized tissues that are characterized by low extracellular pH as a consequence of the local hypoxia. Heparin, a well-known binding partner of VEGF, has also been shown to modulate VEGF binding to VEGFR-2 [4,15,16,17,18]. The effect of heparin on VEGF binding is complex. Heparin can both increase and decrease the binding of VEGF to VEGFR-2 and to the extracellular matrix protein fibronectin based on concentration and the specific experimental conditions [4,15,19,20,21,22,23,24]. We previously showed that heparin does not interfere with the binding of Avastin to VEGF, but instead it enhances this interaction [6]. Importantly, heparin is also able to rescue the reduced binding of Avastin to VEGF at acidic pH. These results suggest that heparin might be used to enhance Avastin efficacy. Thus, here, we propose to conjugate Avastin and heparin to improve the VEGF binding properties of Avastin. Conjugation, rather than intravenous injections of the two drug mixtures, would ensure that both drugs are present within the same molecular space at the same time in order to form a high affinity ternary complex with VEGF. While Avastin has a half-life of 19.9 days [25], heparin only has a half-life of 1.5 h [26]; thus, conjugating the two molecules has the potential to coordinate the pharmacokinetics and pharmacodynamics of the two agents.
To establish the proof of concept of the proposed drug conjugate, biotin–heparin and biotin–Avastin were linked to streptavidin surfaces to bring the two molecules into close proximity. Immobilized heparin and Avastin were shown to have enhanced ability to bind VEGF. Increased VEGF binding was also noted at acidic pH, where Avastin alone showed decreased VEGF binding. Under conditions where Avastin and heparin showed enhanced VEGF binding, we observed reduced VEGF-induced migration of endothelial cells. These findings indicate design principles for a modified Avastin-based inhibitor of angiogenesis.

2. Materials and Methods

2.1. Materials

Streptavidin-coated 96-well plates (#15500) and protein A-coated plates (#15130) were from Pierce (Rockford, IL, USA). Avastin (bevacizumab) (#A2006) was from Selleck Chemicals (Houston, TX, USA). Heparin, from porcine intestinal mucosa (#H3393), human plasma fibronectin (FN) (#FC010), and biotin-heparin (#B9806) were from Millipore Sigma (Burlington, MA, USA). Cell Culture reagents: Dulbecco’s modified Eagle’s medium (DMEM) (#10014CV), penicillin–streptomycin solution, 50X (#30-001-CI), and L-glutamine (#25005CI) were purchased from Corning (Tewkesbury, MA, USA). Fetal bovine serum (FBS) (#S11550) and newborn calf serum (CS) (#S11250) were from Atlanta Biologics (Atlanta, GA, USA). Recombinant human vascular endothelial growth factor 165 (VEGF) (#293-VE) was purchased from R&D Systems (Minneapolis, MN, USA). 125 I-Bolton-Hunter’s Reagent was purchased from Perkin Elmer Life Science (Boston, MA, USA) and was used to label the VEGF as previously described [19]. Casein (#37528) in phosphate buffered saline (PBS), the BCA assay kit (#23227), and the EZ-Link Sulfo-NHS-LC Biotinylation kit (#21935) were obtained from ThermoFisher Scientific (Waltham, MA, USA). The Streptavidin Conjuagation Kit (#ab102921) was obtained from Abcam Inc (Cambridge, MA, USA). Peroxidase-AffiniPure Donkey Anti-Human IgG, Fc (gamma) Fragment Specific (#709-035-098), and anti-rabbit horseradish peroxidase (HRP)-linked secondary antibody (#111-035-144), and streptavidin (#016-000-113) were obtained from Jackson Immunoresearch (West Grove, PA, USA).

2.2. Cell Culture

Human umbilical vein endothelial cells (HUVECs) were purchased from Lonza (Walkersvile, MD, USA). Each preparation of cells was a batch of pooled cells from 4–6 individuals that were screened by the vendor for expression of PECAM-1, endoglin, and von Willebrand factor VIII. They were also shown to have acetylated low-density lipoprotein uptake. The cells were maintained in endothelial cell growth medium-2 containing 2% FBS, hydrocortisone, human fibroblast growth factor, 2 ng/mL vascular endothelial growth factor, insulin-like growth factor-1, ascorbic acid, human recombinant endothelial growth factor, GA-1000, and heparin in T-75 flasks that were coated with 0.1% porcine gelatin for 30 min at 37 °C, 5% CO2. The media was replaced every two days as per vendor’s instructions.

2.3. Avastin Biotinylation

Avastin was labeled with biotin in accordance with the manufacturer’s directions. The required volume for 200 µg Avastin (13.5 µL of 14.9 mg/mL) was diluted to a volume of 700 µL in PBS and mixed with 9 mM sulfo-NHS-LC-biotin (7.52 µL) to achieve a 50-fold molar excess of labeling reagent to the protein. The mixture was incubated for 1 h at RT. Zeba spin desalting columns were equilibrated by adding 1 mL of PBS and centrifuging at 1000× g for 2 min, and this was repeated 3 more times. The incubated biotin–Avastin labeling mixture was added to the column and allowed to absorb into the resin. The column was spun down at 1000× g for 2 min and the flow through containing the labeled protein was collected and saved for future experiments.

2.4. Streptavidin–Avastin Conjugation

Avastin was linked to streptavidin in accordance with the manufacturer’s instructions. A 100 µg quantity of Avastin (100 µL of 1 mg/mL) was mixed with a 1:10 volume of modifier and the mixture was used to reconstitute the lyophilized activated streptavidin mix. The mixture was allowed to incubate at RT for 3 h and then the quencher reagent was added at a ratio of 1:10 to the antibody volume. The mixture was incubated for 30 min at RT and then stored at 4 °C for future experiments. The concentration of streptavidin-conjugated Avastin was recalculated based on the additional volumes and the original Avastin quantity.

2.5. VEGF Binding Assays

VEGF binding assays were conducted with protein A-coated or streptavidin-coated 96-well plates as described in the legends to the figures. Protein A-coated plates were incubated with either Avastin or biotinylated-Avastin or streptavidin–Avastin in 0.1% BSA, 0.05% Tween-20 in PBS (PBS-B-T) for 2 h at RT on a shaker. The unbound protein was removed by washing each well three times with PBS-B-T, and then 125 I-VEGF was added to each well and incubated for 2 h on a shaker at RT. Biotinylated-Avastin, biotinylated-heparin, and heparin were incubated with streptavidin-coated plates in PBS overnight at 4 °C on a shaker (100 µL/well). Plates were washed to remove unbound molecules and 125 I-VEGF was added to each well in 100 µL PBS-B-T. The treatments were incubated for 2 h at 4 °C on a shaker, and then the unbound material was removed by washing each well three times with binding buffer. In both experimental conditions, bound 125 I-VEGF was extracted from the plate surface with 100 µL of 1 N NaOH for 5 min followed by an additional 100 µL of 1 N NaOH. The radioactivity in each sample was counted using a gamma counter.

2.6. Cell Migration

HUVEC migration was measured using a modified Boyden chamber assay system where cells were plated into the top chamber onto a porous membrane and VEGF was presented along with surface-immobilized Avastin, heparin, and both within the bottom chamber. HUVECs at 70–80% confluence (75 cm2 flasks) were washed twice with endothelial basal media (EBM) with 0.1% bovine serum albumin (BSA), then supplemented with EBM media (15 mL/flask) and placed in the incubator for 5 h at 37 °C, 5% CO2. The cells were then trypsinized and resuspended in trypsin neutralizing solution. The cells were collected by centrifugation (200× g, 5 min). The pellet was resuspended in EBM, containing 0.1% BSA. The cells were counted, and 50,000 cells were placed on the top compartment of 8 μM FluoroBlok inserts (Corning, Corning, NY, USA) that had been coated with 0.1% porcine gelatin for 30 min at 37 °C, 5% CO2.
The bottom chamber was prepared by coating 24-well falcon tissue culture plates with 300 µL/well of streptavidin (200 nM) in 1× PBS overnight at 4 °C. The following day, the wells were washed once with 1× PBS and then incubated with 300 µL of 1× PBS ± 1 nM biotinylated Avastin, ±50 nM biotinylated heparin overnight on the shaker at 4 °C. The wells were then incubated with 750 µL of EBM, containing 0.1% BSA for 2 h at 4 °C on the shaker. After VEGF was allowed to interact with the immobilized biotinylated Avastin and heparin, the inserts containing the cells were transferred to the plates containing the chemoattractant. The cells were placed in the incubator at 37 °C, 5% CO2, for 14–16 h overnight to allow sufficient time to migrate, but not enough time to undergo cell division. The following day, the unattached cells in the top chamber were removed, and then inserts were transferred to new wells containing 750 µL of 4 µg/mL Calcein AM (Thermo Fisher Scientific, Waltham, MA, USA). The plates were incubated for 1.5 h at 37 °C, 5% CO2 and then read on a Spectromax Fluorescence Plate Reader with excitation: 485 nm, emission: 530 nm and auto cutoff at 515 nm, with the bottom plate only read at 6 flashes/read.

2.7. Statistical Analysis

Student’s t-test (2-tailed) were used to evaluate the statistical significance when comparing two experimental groups. In experiments with more than two experimental groups, data were subjected to analysis of variance (ANOVA) followed by multi-comparison t-tests (Newman–Keuls method). Groups were considered to be statistically different from one another when p < 0.05.

3. Results

3.1. Co-Localizing Biotin–Avastin and Biotin–Heparin Leads to Enhanced Avastin–VEGF Binding

Avastin was conjugated to biotin so that complexes of biotin–Avastin and biotin–heparin could be linked via streptavidin. To confirm that biotin–Avastin was capable of binding to streptavidin, biotin–Avastin and Avastin (5 nM and 10 nM) were incubated with a streptavidin-coated plate (Figure 1A). Binding of 125 I-VEGF to the streptavidin plate was measured. As expected, there was no detectable binding of 125 I-VEGF to the wells incubated with non-conjugated Avastin, whereas there was considerable binding to the wells incubated with the biotin–Avastin. These data indicate that the biotin-conjugation of Avastin did not block its VEGF binding site and allows the biotin–Avastin to be functionally immobilized onto streptavidin-coated surfaces. To more directly evaluate the relative binding of VEGF to Avastin with and without the biotin conjugation, a side-by-side comparison of VEGF binding to biotin–Avastin and unmodified Avastin was conducted by linking the two Avastin preparations to a protein A plate. 125 I-VEGF bound to both biotin–Avastin and unmodified Avastin, but the level of binding to biotin–Avastin was decreased by 45% compared to the unmodified version (Figure 1B). The reduced binding of VEGF could reflect modification of the VEGF binding domain or the Fc regions on Avastin; thus, either destabilizing the Avastin–VEGF or Avastin–protein A interactions.
To examine if bringing heparin and Avastin into close proximity would enhance VEGF binding to Avastin, biotin–Avastin (1 nM) and a concentration range of biotin–heparin (0–100 nM) were bound onto a streptavidin plate and incubated with 125 I-VEGF. As shown in Figure 2, biotin–heparin showed a dose-dependent increase in VEGF binding to biotin–Avastin, where the highest dose tested (100 nM) caused a greater than 6-fold increase. Since the combination of biotinylated Avastin and heparin showed enhanced VEGF binding, direct conjugation of these two molecules was attempted using streptavidin.

3.2. Creating Soluble Heparin–Avastin Complexes Using Biotin and Streptavidin

Streptavidin contains four binding sites for biotin; thus, in an effort to create soluble heparin–Avastin conjugates, we linked biotin–Avastin and biotin–heparin to streptavidin and then selectively isolated those complexes that contained Avastin using protein A.
Mixtures ± biotin–Avastin (1 nM) ± streptavidin (10 nM) were prepared and incubated overnight. By using a molar excess of streptavidin to Avastin, it was predicted that few of the streptavidin molecules would be occupied by multiple Avastin molecules such that biotin binding sites should remain available. However, it is also likely that each Avastin molecule contains multiple biotin molecules such that a single biotin–Avastin molecule might bind to multiple sites on streptavidin. In an attempt to link heparin and Avastin onto the same streptavidin molecules, the biotin–Avastin–streptavidin complexes were incubated with biotin–heparin (100 nM). The soluble complexes were allowed to bind to a protein A plate to selectively capture only those complexes containing Avastin. 125 I-VEGF binding was conducted with the various complexes.
No differences in VEGF binding to biotin–Avastin and streptavidin–biotin–Avastin were observed (Figure 3A), indicating that linking of biotin–Avastin to streptavidin does not sterically interfere with VEGF binding to Avastin. The presence of biotin–heparin in combination with biotin–Avastin resulted in a modest, but not statistically significant, increase in VEGF binding compared to that observed with biotin–Avastin alone, with or without streptavidin. When the VEGF binding assays were conducted at pH 5.5, biotin–heparin caused a small statistically significant increase in VEGF binding to biotin–Avastin in the presence of streptavidin compared to that observed without biotin–heparin (Figure 3B).
The fact that the addition of biotin–heparin had a relatively small effect on VEGF binding to biotin–Avastin when bound to soluble streptavidin suggest that it is unlikely that this approach led to a significant number of streptavidin molecules containing both biotin–heparin and biotin–Avastin so that the molecules could effectively synergize to bind VEGF. In an attempt to circumvent this limitation, Avastin was directly conjugated to streptavidin and then biotin–heparin was allowed to bind to this complex. Mixtures of streptavidin–Avastin (5 nM) ± biotin–heparin (50 nM and 100 nM) were prepared and coated onto protein A plates to selectively isolate complexes containing Avastin, and VEGF binding was measured.
The addition of biotin–heparin at 50 and 100 nM resulted in a 30.4% and 41.1% increase in VEGF binding, respectively, compared to that observed with streptavidin–Avastin alone (Figure 4A). Additionally, when this experiment was performed with streptavidin–Avastin (10 nM) ± lower concentrations of biotin–heparin (0.1 nM and 20 nM) at pH 5.5, 6.5, and 7.5, VEGF binding showed a 19.4% increase in the presence of biotin–heparin at pH 5.5, with no change at pH 6.5 and 7.5 (Figure 4B), confirming the ability of heparin to promote VEGF binding to Avastin at low pH under these conditions. These data indicate that it may be possible to link heparin and Avastin to enhance VEGF binding; therefore, we decided to characterize VEGF binding while these molecules were co-localized on the same surface to expand on these initial findings.

3.3. Biotin–Avastin and Biotin–Heparin Showed Enhanced VEGF Binding Dependent on Streptavidin Density and pH

Commercial streptavidin plates contain a saturated monolayer of streptavidin that leads to a high density of biotin binding sites, which, based on information provided by the manufacturer, is estimated to provide a binding site density of ~300 pmol/cm2. Hence, when bound with biotin–Avastin (1, 5 and 10 nM in 100 µL; surface density ~0.3, 1.5 and 3 pmol/cm2), only a small fraction of the binding sites on the streptavidin surface would be expected to be occupied with Avastin, such that the Avastin will be sparsely distributed across the surface. As such, it is predicted that high concentrations of biotin–heparin would be required in order for heparin and Avastin to be brought into close proximity to participate in forming a high affinity ternary complex with VEGF. Indeed, this is what was observed in Figure 1, where concentrations of biotin–heparin between 10–100 nM (surface density of ~3–30 pmol/cm2) were required to induce an increase in VEGF binding to biotin–Avastin. Moreover, the inability of biotin–heparin to replicate VEGF binding enhancement when bound to soluble streptavidin bound to biotin–Avastin suggest that biotin–heparin has a limited ability to bind to streptavidin that is already bound to biotin–Avastin. This could reflect issues associated with steric hindrance and/or the possibility that an individual biotin–Avastin molecule might bind to multiple biotin sites on streptavidin, thus blocking biotin–heparin binding. Based on these results, it is predicted that the ability of biotin–heparin to enhance VEGF binding to biotin–Avastin on a streptavidin surface would be closely linked to the density of streptavidin on the surface, such that sparsely distributed streptavidin would decrease the probability that bound heparin molecules would be close enough to Avastin to enhance VEGF binding.
To evaluate the hypothesis that the ability of heparin to enhance VEGF binding to Avastin requires that the two molecules be in close proximity, a range of streptavidin concentrations were coated onto the plate surface to produce a range of biotin binding site densities. If we assume that 100% of the streptavidin was adsorbed and all the biotin binding sites were available, the highest concentration tested (500 nM; ~156.25 pmol/cm2) would be estimated to result in a biotin binding site density of ~600 pmol/cm2 on the well surface. This is obviously a high estimate, thus, the highest streptavidin concentration tested might be within the range of the saturated commercial plate binding site 300 pmol/cm2. However, it is important to note that we do not know the details of the method used to prepare the commercial plates; thus, it is not likely to be very informative to directly compare results from the two plate types.
Biotin–Avastin (1 nM; 0.3 pmol/cm2), biotin–heparin (50 nM; 15 pmol/cm2), and a combined mixture were allowed to bind to the streptavidin surfaces, and then VEGF binding was measured (Figure 5). VEGF binding to biotin–Avastin alone was nearly constant at streptavidin concentrations of 15.63–156.25 pmol/cm2 suggesting that there were sufficient biotin sites available to bind all of the biotin–Avastin to the plate surface under these conditions. Interestingly, the ability of biotin–heparin to maximally enhance VEGF binding to biotin–Avastin required a higher density of streptavidin. Indeed, a concentration of 62.5 pmol/cm2 (biotin binding site density of ~240 pmol/cm2) was required to achieve a maximal heparin effect (~4-fold increase), whereas at concentrations of 15.63 and 31.25 pmol/cm2 (equivalent to biotin binding site densities of 60 and 120 pmol/cm2), where there should be excess sites available to bind the biotin–heparin, only a partial effect was observed. Thus, the streptavidin density dependence provides evidence that the ability of heparin to enhance VEGF binding to Avastin is dependent on the two molecules being brought into close proximity in order to act together in binding VEGF.
To determine if the pH sensitivity of VEGF binding to Avastin, and the function of heparin, are replicated under these conditions, VEGF binding was conducted with surface localized Avastin ± heparin at pH 5.5 and 7.5. A streptavidin surface density (93.75 pmol/cm2) was selected to achieve colocalization of biotin–Avastin and biotin–heparin. VEGF binding with these conditions showed an intricate relationship that was consistent with pH dependent binding shown previously [6]. Figure 6 shows that VEGF binding to Avastin was decreased at pH 5.5 compared to pH 7.5, whereas direct binding of VEGF to heparin increased at pH 5.5 compared to pH 7.5. The combination of Avastin and heparin showed similar VEGF binding at both pH 5.5 and 7.5 where each molecules appears to compensate for the other in establishing a high affinity ternary complex.
To further explore to concept that heparin and Avastin act through physical proximity, we directly compared conditions where heparin was allowed to freely diffuse in the binding buffer to that when it was bound to the plate surface along with Avastin. To do this, biotin–Avastin (1 nM) with and without biotin–heparin (80 nM), was bound to a streptavidin plate, and then soluble heparin (80 nM) was added into the VEGF binding reaction. As shown in Figure 7A, soluble heparin was not able to enhance VEGF binding to immobilized Avastin at the concentration tested, whereas biotin–heparin induced an ~3-fold increase in VEGF binding to Avastin. This experiment was repeated with a concentration range of biotinylated and soluble heparin at pH 5.5 and 7.5 (Figure 7B,C) and again, the biotin–heparin was more effective than soluble heparin at enhancing VEGF binding to Avastin at both pH 5.5 and 7.5.

Colocalizing Avastin and Heparin Enhanced Inhibiton of VEGF-Induced Endothelial Cell Migration

One of the critical first steps in the angiogenic response is the activation of endothelial cell migration. Indeed, stimulation of cell migration is one of the most well characterized responses to VEGF. Thus, we evaluated the ability of heparin and Avastin to modulate VEGF-induced endothelial cell migration using primary HUVECs. In this experimental set up, a 24-well polystyrene plate was coated with streptavidin (200 nM) and then incubated ± biotin–Avastin (1 nM) ± biotin–heparin (50 nM). After modifying the surface with Avastin/heparin, VEGF (25 ng/mL) was added and then FluoroBlok inserts containing serum-starved HUVEC were placed into each well and the cells allowed to migrate for 14–16 h (Figure 8A).
The number of cells that migrated through the membrane was measured and displayed as the fold change of VEGF-stimulated versus non-stimulated in 12 independent experiments. The presence of biotin–Avastin or biotin–heparin alone resulted in a modest 30% and 35% reduction in VEGF stimulation of cell migration, respectively (because of the high variability in this assay these changes were not statistically significant). The combined addition of biotin–Avastin with biotin–heparin resulted in complete inhibition of VEGF stimulation. These data indicate that the co-localization of Avastin and heparin via streptavidin enhanced the VEGF inhibitory activity compared to either molecule alone (Figure 8B).

4. Discussion

The observation that heparin and heparan sulfate can potentiate the binding of VEGF to VEGFR-2 through the formation of a high affinity ternary complex suggests the concept that heparin might function similarly to enhance the activity of anti-VEGF drugs [4,5,18,27]. Indeed, our previous findings showing that heparin enhances VEGF binding to Avastin suggest that colocalizing heparin with Avastin might lead to enhanced VEGF inhibitory activity of Avastin [6]. To explore this possibility, Avastin and heparin were conjugated using the biotin–streptavidin system. Biotin–Avastin was found to retain its ability to bind VEGF, protein A, and streptavidin (Figure 1). Biotin–heparin was also found to facilitate VEGF binding to the modified Avastin, and this effect was enhanced when the two molecules were brought into close proximity via streptavidin ( Figure 2, Figure 4, Figure 5, and Figure 7). However, it appeared that there were few available biotin binding sites on streptavidin that had bound to biotin–Avastin, such that it was difficult to generate effective soluble complexes containing both biotin–Avastin and biotin–heparin bound to the same streptavidin molecule (Figure 3 and Figure 4). Nevertheless, the results reported here demonstrate the proof of the concept that the combined action of heparin and Avastin can lead to enhanced VEGF inhibition compared to the action of either molecule alone, especially when the two molecules are co-localized (Figure 7 and Figure 8).
Avastin was first approved by the FDA in 2004 for treatment of metastatic colorectal cancer and has since been approved for treatment of a wide range of cancers in over 130 countries [8]. Avastin and its related drug Lucentis are also used widely to treat age-related macular degeneration and other ocular diseases associated with excessive angiogensis [28,29]. While Avastin remains the most widely used anti-angiogenesis drug, negative side effects and the development of treatment resistance after long-term therapy have motivated the search for improvements [11,13,14,30]. Approaches have generally focused on encapsulating Avastin within various types of hydrogels to protect the protein and sustain its release within in vivo environments. Hydrogel-based delivery of Avastin from synthetic polymers, as well as natural polysaccharides, has shown promising results in vitro and in animal models in vivo. Indeed, Avastin delivered subcutaneously within a triblock copolymer of vitamin D-functionalized polycarbonate and poly (ethylene glycol) resulted in greater tumor suppression compared to intravenous or intraperitoneal administration using two separate HCT116 xenograft mouse models [11]. Other approaches have considered combining Avastin with other therapeutic agents, as well as incorporation within liposomes to enhance bioavailability and efficacy [10,12,31]. Heparin, a widely used anticoagulant drug, has also been identified as a potential anti-angiogenesis agent [32,33]. However, heparin has been shown to both enhance and inhibit the activity of various angiogenic proteins such as fibroblast growth factors, platelet derived growth factor, and VEGF, based on dose, timing, and mode of administration [32,34,35]. Consequently, the complexity of heparin’s mode of action has limited its clinical utility in anti-angiogenic therapy. Recently, we discovered that heparin enhances VEGF binding to Avastin, especially at low pH where Avastin binding to VEGF becomes destabilized [6]. These results suggest that one might be able to utilize heparin by specifically linking it to Avastin, so as to target this activity while limiting the complex systemic actions of heparin.
In an attempt to link Avastin and heparin to soluble streptavidin, an order of addition protocol was used where Avastin was first conjugated to streptavidin and then bound to biotin–heparin (Figure 4). Complexes containing Avastin were isolated by protein A affinity. Complexes that contained heparin showed an increase in VEGF binding, indicating a promising means to generate soluble conjugates with enhanced VEGF binding properties. However, the heparin-mediated increase in VEGF binding was much lower than that observed when the Avastin and heparin were bound to plate surfaces (Figure 2, Figure 5, Figure 6, and Figure 7 ), suggesting that this approach remains far from optimized. The effect of heparin on VEGF–Avastin binding on plate surfaces was found to be dependent on the density of streptavidin, providing additional evidence that heparin and Avastin need to be in close proximity to form a synergistic complex with VEGF (Figure 5).
Reduced extracellular pH has long been a hallmark of hypoxic tissues, such as solid tumors, and these conditions have been demonstrated to promote the expression of pro-angiogenic signals such as VEGF [36]. Thus, our observation that Avastin binding to VEGF is destabilized at acidic pH suggests an important limitation to Avastin therapy. Interestingly, VEGF binding to heparin is enhanced at acidic pH [19], and the presence of heparin was found to compensate for the reduced binding of Avastin to VEGF at acidic pH (Figure 6) [6]. Indeed, the combination of Avastin and heparin showed significantly higher VEGF binding than with either Avastin or heparin alone, such that binding was similar at both pHs when Avastin and heparin were both present. These results suggest that the co-localization of these two drugs might provide a means for maximal anti-VEGF activity under a range of environmental conditions that might be encountered in vivo.
A critical step in VEGF-mediated activation of angiogenesis is the stimulation of endothelial cell migration [37]. Endothelial migration is a complex process that involves changes in cell–cell and cell–ECM contacts, as well as rearrangements of the cytoskeleton [38]. While there is no perfect way to model this complex process, the migration of cells through a microporous membrane has long been used to gain insight [39]. Thus, we observed that colocalization of heparin and Avastin on the transwell culture plate surface showed dramatically enhanced inhibition of VEGF-stimulated HUVEC migration compared to that observed with either drug alone (Figure 8). These findings indicate that the combination of Avastin and heparin not only binds more VEGF, but also impacts biological activity of VEGF in a similar manner. This supports the concept that an optimized approach to conjugating Avastin and heparin to one another might lead to a more effective VEGF binding drug for antiangiogenesis therapy.

5. Conclusions

The present findings support the approach of using a VEGF binding partner to enhance the activity of Avastin. Thus, in addition to the progress being made on developing controlled release formulations for Avastin delivery [10,11,13,14,30,31], it might be worth considering linking Avastin to heparin or related molecules to enhance anti-VEGF activity. In this study we present proof-of-concept experiments that support the conclusion that co-localization of heparin and Avastin in close proximity to one another leads to higher VEGF binding capacity in comparison to either component alone. VEGF binding to the combination of the two components was also significantly higher than the additive binding noted for each component alone (Figure 2, Figure 5, Figure 6 and Figure 7). These findings indicate that heparin and Avastin form a synergistic ternary complex with VEGF that leads to high affinity binding. A putative heparin–VEGF–Avastin complex might also block alternate VEGF binding sites for molecules on the cell surface and the extracellular matrix (i.e., heparan sulfate and fibronectin). Our findings support the concept that conjugating heparin and Avastin may provide a means to create a “super VEGF binder” which may also overcome issues associated with the significantly different pharmacokinetics of the two drugs [25,26]. These findings provide insight into the development of new therapies that may improve the outcome of angiogenic diseases by more effectively manipulating the VEGF signaling pathway.

6. Patents

A patent has been published regarding the technology described in this paper:
Tsiros, D. and Nugent, M.A., Compositions and methods for the treatment of angiogenesis-related diseases. (2020) International patent application no. PCT/US2020/029232.

Author Contributions

Conceptualization, D.T. and M.A.N.; methodology, D.T., C.E.S. and M.A.N.; investigation, D.T. and C.E.S.; resources, M.A.N.; writing—original draft preparation, D.T.; writing—review and editing, D.T. and M.A.N.; supervision, M.A.N.; funding acquisition, M.A.N. All authors have read and agreed to the published version of the manuscript.

Funding

This research was funded, in part, by a grant from the National Institutes of Health, number R15GM120702.

Institutional Review Board Statement

No human subjects or animals were used in this study.

Informed Consent Statement

No human subject data was collected.

Data Availability Statement

Data from the individual experiments can be accessed by request by contacting: matthew_nugent@uml.edu.

Conflicts of Interest

The authors declare no conflict of interest.

References

  1. Holmes, D.I.R.; Zachary, I. The vascular endothelial growth factor (VEGF) family: Angiogenic factors in health and disease. Genome Biol. 2005, 6, 209. [Google Scholar] [CrossRef][Green Version]
  2. Shojaei, F.; Ferrara, N. Antiangiogenesis to treat cancer and intraocular neovascular disorders. Lab. Investig. 2007, 87, 227–230. [Google Scholar] [CrossRef] [PubMed][Green Version]
  3. Liang, X.; Xu, F.; Li, X.; Ma, C.; Zhang, Y.; Xu, W. VEGF signal system: The application of antiangiogenesis. Curr. Med. Chem. 2014, 21, 894–910. [Google Scholar] [CrossRef] [PubMed]
  4. Teran, M.; Nugent, M.A. Synergistic Binding of Vascular Endothelial Growth Factor-A and Its Receptors to Heparin Selectively Modulates Complex Affinity. J. Biol. Chem. 2015, 290, 16451–16462. [Google Scholar] [CrossRef] [PubMed]
  5. Teran, M.; Nugent, M.A. Characterization of receptor binding kinetics for vascular endothelial growth factor-A using SPR. Anal. Biochem. 2019, 564–565, 21–31. [Google Scholar] [CrossRef]
  6. Tsiros, D.; Sheehy, C.E.; Pecchia, S.; Nugent, M.A. Heparin potentiates Avastin-mediated inhibition of VEGF binding to fibronectin and rescues Avastin activity at acidic pH. J. Biol. Chem. 2019, 294, 17603–17611. [Google Scholar] [CrossRef]
  7. Mukherji, S.K. Bevacizumab (Avastin). Am. J. Neuroradiol. 2010, 31, 235–236. [Google Scholar] [CrossRef]
  8. Garcia, J.; Hurwitz, H.I.; Sandler, A.B.; Miles, D.; Coleman, R.L.; Deurloo, R.; Chinot, O.L. Bevacizumab (Avastin®) in cancer treatment: A review of 15 years of clinical experience and future outlook. Cancer Treat. Rev. 2020, 86, 102017. [Google Scholar] [CrossRef]
  9. Di Lisi, D.; Madonna, R.; Zito, C.; Bronte, E.; Badalamenti, G.; Parrella, P.; Monte, I.; Tocchetti, C.G.; Russo, A.; Novo, G. Anticancer therapy-induced vascular toxicity: VEGF inhibition and beyond. Int. J. Cardiol. 2017, 227, 11–17. [Google Scholar] [CrossRef]
  10. Huang, J.; Wang, W.; Yu, J.; Yu, X.; Zheng, Q.; Peng, F.; He, Z.; Zhao, W.; Zhang, Z.; Li, X.; et al. Combination of dexamethasone and Avastin® by supramolecular hydrogel attenuates the inflammatory corneal neovascularization in rat alkali burn model. Colloids Surf. B Biointerfaces 2017, 159, 241–250. [Google Scholar] [CrossRef]
  11. Lee, A.L.Z.; Ng, V.W.L.; Gao, S.; Hedrick, J.L.; Yang, Y.Y. Injectable biodegradable hydrogels from vitamin D-functionalized polycarbonates for the delivery of avastin with enhanced therapeutic efficiency against metastatic colorectal cancer. Biomacromolecules 2015, 16, 465–475. [Google Scholar] [CrossRef]
  12. Qi, N.; Li, F.; Li, X.; Kang, H.; Zhao, H.; Du, N. Combination use of paclitaxel and avastin enhances treatment effect for the NSCLC patients with malignant pleural effusion. Medicine 2016, 95, e5392. [Google Scholar] [CrossRef]
  13. Xie, B.; Jin, L.; Luo, Z.; Yu, J.; Shi, S.; Zhang, Z.; Shen, M.; Chen, H.; Li, X.; Song, Z. An injectable thermosensitive polymeric hydrogel for sustained release of Avastin® to treat posterior segment disease. Int. J. Pharm. 2015, 490, 375–383. [Google Scholar] [CrossRef]
  14. Xu, X.; Weng, Y.; Xu, L.; Chen, H. Sustained release of Avastin®) from polysaccharides cross-linked hydrogels for ocular drug delivery. Int. J. Biol. Macromol. 2013, 60, 272–276. [Google Scholar] [CrossRef] [PubMed]
  15. Ono, K.; Hattori, H.; Takeshita, S.; Kurita, A.; Ishihara, M. Structural features in heparin that interact with VEGF165 and modulate its biological activity. Glycobiology 1999, 9, 705–711. [Google Scholar] [CrossRef]
  16. Dougher, A.M.; Wasserstrom, H.; Torley, L.; Shridaran, L.; Westdock, P.; Hileman, R.E.; Fromm, J.R.; Anderberg, R.; Lyman, S.; Linhardt, R.J.; et al. Identification of a heparin binding peptide on the extracellular domain of the KDR VEGF receptor. Growth Factors 1997, 14, 257–268. [Google Scholar] [CrossRef] [PubMed]
  17. Terman, B.I.; Khandke, L.; Dougher-Vermazan, M.; Maglione, D.; Lassam, N.J.; Gospodarowicz, D.; Persico, M.G.; Bohlen, P.; Eisinger, M. VEGF receptor subtypes KDR and FLT1 show different sensitivities to heparin and placenta growth factor. Growth Factors 1994, 11, 187–195. [Google Scholar] [CrossRef]
  18. Soker, S.; Goldstaub, D.; Svahn, C.M.; Vlodavsky, I.; Levi, B.Z.; Neufeld, G. Variations in the size and sulfation of heparin modulate the effect of heparin on the binding of VEGF165 to its receptors. Biochem. Biophys. Res. Commun. 1994, 203, 1339–1347. [Google Scholar] [CrossRef] [PubMed]
  19. Goerges, A.L.; Nugent, M.A. Regulation of vascular endothelial growth factor binding and activity by extracellular pH. J. Biol. Chem. 2003, 278, 19518–19525. [Google Scholar] [CrossRef] [PubMed]
  20. Goerges, A.L.; Nugent, M.A. pH Regulates Vascular Endothelial Growth Factor Binding to Fibronectin: A Mechanism for Control of Extracellular Matrix Storage and Release. J. Biol. Chem. 2004, 279, 2307–2315. [Google Scholar] [CrossRef] [PubMed]
  21. Mitsi, M.; Hong, Z.; Costello, C.E.; Nugent, M.A. Heparin-mediated conformational changes in fibronectin expose vascular endothelial growth factor binding sites. Biochemistry 2006, 45, 10319–10328. [Google Scholar] [CrossRef] [PubMed]
  22. Mitsi, M.; Forsten-Williams, K.; Gopalakrishnan, M.; Nugent, M.A. A catalytic role of heparin within the extracellular matrix. J. Biol. Chem. 2008, 283, 34796–34807. [Google Scholar] [CrossRef] [PubMed]
  23. Usuelli, M.; Meyer, T.; Mezzenga, R.; Mitsi, M. VEGF and VEGFR2 bind to similar pH-sensitive sites on fibronectin, exposed by heparin-mediated conformational changes. J. Biol. Chem. 2021, 296, 100584. [Google Scholar] [CrossRef]
  24. Ito, N.; Claesson-Welsh, L. Dual effects of heparin on VEGF binding to VEGF receptor-1 and transduction of biological responses. Angiogenesis 1999, 3, 159–166. [Google Scholar] [CrossRef]
  25. Kazazi-Hyseni, F.; Beijnen, J.H.M.; Schellens, J.H. Bevacizumab. Oncologist 2010, 15, 819–825. [Google Scholar] [CrossRef]
  26. Estes, J.W. Clinical pharmacokinetics of heparin. Clin. Pharmacokinet. 1980, 5, 204–220. [Google Scholar] [CrossRef]
  27. Uciechowska-Kaczmarzyk, U.; Babik, S.; Zsila, F.; Bojarski, K.K.; Beke-Somfai, T.; Samsonov, S.A. Molecular dynamics-based model of VEGF-A and its heparin interactions. J. Mol. Graph. Model. 2018, 82, 157–166. [Google Scholar] [CrossRef]
  28. Hawkes, N. Avastin is as effective as Lucentis for wet AMD and could save NHS 84m pound a year, study shows. BMJ 2012, 344, e3275. [Google Scholar] [CrossRef] [PubMed]
  29. Moreno, T.A.; Kim, S.J. Ranibizumab (Lucentis) versus Bevacizumab (Avastin) for the Treatment of Age-Related Macular Degeneration: An Economic Disparity of Eye Health. Semin. Ophthalmol. 2016, 31, 378–384. [Google Scholar] [CrossRef] [PubMed]
  30. Malakouti-Nejad, M.; Bardania, H.; Aliakbari, F.; Baradaran-Rafii, A.; Elahi, E.; Monti, D.; Morshedi, D. Formulation of nanoliposome-encapsulated bevacizumab (Avastin): Statistical optimization for enhanced drug encapsulation and properties evaluation. Int. J. Pharm. 2020, 590, 119895. [Google Scholar] [CrossRef] [PubMed]
  31. Davis, B.M.; Normando, E.M.; Guo, L.; Turner, L.A.; Nizari, S.; O’Shea, P.; Moss, S.E.; Somavarapu, S.; Cordeiro, M.F. Topical delivery of Avastin to the posterior segment of the eye in vivo using annexin A5-associated liposomes. Small 2014, 10, 1575–1584. [Google Scholar] [CrossRef] [PubMed]
  32. Chiodelli, P.; Bugatti, A.; Urbinati, C.; Rusnati, M. Heparin/Heparan sulfate proteoglycans glycomic interactome in angiogenesis: Biological implications and therapeutical use. Molecules 2015, 20, 6342–6388. [Google Scholar] [CrossRef] [PubMed]
  33. Presta, M.; Leali, D.; Stabile, H.; Ronca, R.; Camozzi, M.; Coco, L.; Moroni, E.; Liekens, S.; Rusnati, M. Heparin derivatives as angiogenesis inhibitors. Curr. Pharm. Des. 2003, 9, 553–566. [Google Scholar] [CrossRef]
  34. Nugent, M.A.; Forsten-Williams, K.; Karnovsky, M.J.; Edelman, E.R. Mechanisms of Cell Growth Regulation by Heparin and Heparan Sulfate. In Chemistry and Biology of Heparin and Heparan Sulfate; Garg, H.G., Ed.; Elsevier Ltd.: Amsterdam, The Netherlands, 2005; pp. 533–570. [Google Scholar]
  35. Nugent, M.A.; Zaia, J.; Spencer, J.L. Heparan sulfate-protein binding specificity. Biochemistry 2013, 78, 726–735. [Google Scholar] [CrossRef]
  36. Moeller, B.J.; Cao, Y.; Vujaskovic, Z.; Li, C.Y.; Haroon, Z.A.; Dewhirst, M.W. The relationship between hypoxia and angiogenesis. Semin. Radiat. Oncol. 2004, 14, 215–221. [Google Scholar] [CrossRef]
  37. Ferrara, N. VEGF-A: A critical regulator of blood vessel growth. Eur. Cytokine Netw. 2009, 20, 158–163. [Google Scholar] [CrossRef] [PubMed]
  38. Lamalice, L.; Le Boeuf, F.; Huot, J. Endothelial cell migration during angiogenesis. Circ. Rese. 2007, 100, 782–794. [Google Scholar] [CrossRef]
  39. Pellet-Many, C. Chemotactic Migration of Endothelial Cells Towards VEGF-A165. In VEGF Signaling; Humana Press: New York, NY, USA, 2015; pp. 151–157. [Google Scholar] [CrossRef]
Figure 1. Biotin–Avastin maintained VEGF binding and Protein A binding capabilities. (A) Avastin and biotin–Avastin were incubated with a streptavidin plate at concentrations of 5 nM and 10 nM and allowed to bind with 125 I-VEGF (25 ng/mL). The VEGF bound to the plates was extracted and counted, and the average of triplicate determinations ± SD are presented. Statistical analysis revealed a significant difference between the biotin–Avastin and Avastin conditions. (B) Avastin and biotin–Avastin were bound to a protein A plate at a concentration of 0.5 nM. 125 I-VEGF (10 ng/mL) in PBS-B-T was allowed to bind at RT for 2 h. 125 I-VEGF bound to the plates was extracted and counted and the average of triplicate determinations ± SD are presented. Avastin and biotin–Avastin bound to protein A showed a statistically significant difference in VEGF binding.
Figure 1. Biotin–Avastin maintained VEGF binding and Protein A binding capabilities. (A) Avastin and biotin–Avastin were incubated with a streptavidin plate at concentrations of 5 nM and 10 nM and allowed to bind with 125 I-VEGF (25 ng/mL). The VEGF bound to the plates was extracted and counted, and the average of triplicate determinations ± SD are presented. Statistical analysis revealed a significant difference between the biotin–Avastin and Avastin conditions. (B) Avastin and biotin–Avastin were bound to a protein A plate at a concentration of 0.5 nM. 125 I-VEGF (10 ng/mL) in PBS-B-T was allowed to bind at RT for 2 h. 125 I-VEGF bound to the plates was extracted and counted and the average of triplicate determinations ± SD are presented. Avastin and biotin–Avastin bound to protein A showed a statistically significant difference in VEGF binding.
Ijtm 01 00008 g001
Figure 2. Biotin–Heparin enhances the binding of VEGF to biotin–Avastin. A concentration range of biotin–heparin (0–100 nM) ± biotin–Avastin (1 nM) was allowed to bind to the streptavidin-coated plates. 125 I-VEGF (25 ng/mL) binding to the coated surface was measured. The average of triplicate determinations ± SD are presented. Statistical analysis revealed that VEGF binding increased with increasing dose of heparin in both conditions and that the two groups were different at each heparin concentration.
Figure 2. Biotin–Heparin enhances the binding of VEGF to biotin–Avastin. A concentration range of biotin–heparin (0–100 nM) ± biotin–Avastin (1 nM) was allowed to bind to the streptavidin-coated plates. 125 I-VEGF (25 ng/mL) binding to the coated surface was measured. The average of triplicate determinations ± SD are presented. Statistical analysis revealed that VEGF binding increased with increasing dose of heparin in both conditions and that the two groups were different at each heparin concentration.
Ijtm 01 00008 g002
Figure 3. Conjugating biotin–Avastin and biotin–heparin using streptavidin does not enhance Avastin’s ability to bind VEGF. A mixture ± streptavidin (10 nM) ± biotin–Avastin (1 nM) was allowed to incubate overnight and then incubated ± biotin–heparin (100 nM) overnight again. These mixtures were then bound to a protein A plate and allowed to bind 125 I-VEGF (25 ng/mL) (A) at pH 7.5 and (B) at pH 5.5. The VEGF bound to the plates was extracted and counted and the average of triplicate determinations ± SD are presented. ANOVA followed by multicomparison t-tests revealed that all conditions with Avastin were statistically signficantly different than those without Avastin. There were no differences in all Avastin containing conditions at pH 7.5 when compared to one another. The streptavidin with biotin–Avastin and biotin–heparin was statistically signficantly different from that with streptavidin and biotin–Avastin.
Figure 3. Conjugating biotin–Avastin and biotin–heparin using streptavidin does not enhance Avastin’s ability to bind VEGF. A mixture ± streptavidin (10 nM) ± biotin–Avastin (1 nM) was allowed to incubate overnight and then incubated ± biotin–heparin (100 nM) overnight again. These mixtures were then bound to a protein A plate and allowed to bind 125 I-VEGF (25 ng/mL) (A) at pH 7.5 and (B) at pH 5.5. The VEGF bound to the plates was extracted and counted and the average of triplicate determinations ± SD are presented. ANOVA followed by multicomparison t-tests revealed that all conditions with Avastin were statistically signficantly different than those without Avastin. There were no differences in all Avastin containing conditions at pH 7.5 when compared to one another. The streptavidin with biotin–Avastin and biotin–heparin was statistically signficantly different from that with streptavidin and biotin–Avastin.
Ijtm 01 00008 g003
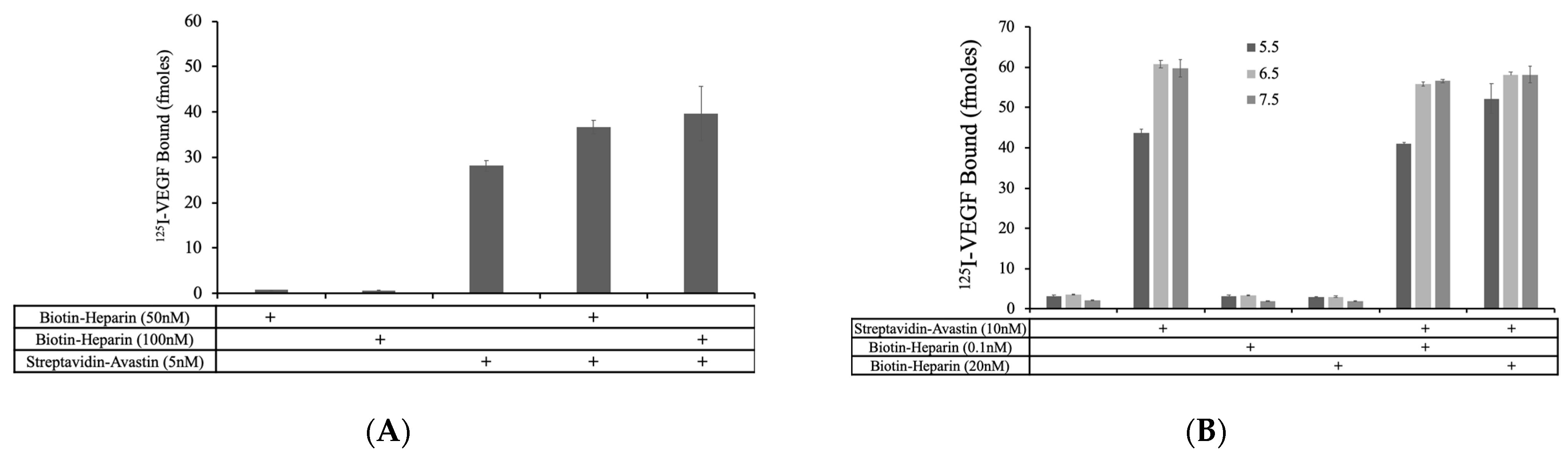
Figure 4. Biotin-heparin binding to streptavidin conjugated to Avastin leads to increased VEGF binding to Avastin. (A) Streptavidin was conjugated to Avastin and mixtures of buffer ± streptavidin–Avastin (5 nM) ± biotin–heparin (50 nM and 100 nM) were incubated overnight in solution and then incubated with a protein A plate to selectively bind the streptavidin–Avastin. 125 I-VEGF (25 ng/mL) was allowed to bind, and the VEGF bound to the plates was extracted and counted; the average of triplicate determinations ± SD are presented. ANOVA followed by multicomparison t-tests revealed that the presence of 50 and 100 nM heparin caused a significant increase in VEGF binding compared to that with streptavidin–Avastin alone. (B) Mixtures of ±streptavidin-linked Avastin (10 nM) ± biotin–heparin (0.1 nM and 20 nM) were preincubated overnight and then allowed to coat a protein A plate. These lower concentrations were chosen as subsaturating doses (see Figure 2) to reveal distinctions under the various conditions. 125 I-VEGF (40 ng/mL) in binding buffer at pH 5.5, 6.5, and 7.5 was allowed to bind, and the VEGF bound to the plates was extracted and counted; the average of triplicate determinations ± SD are presented. The presence of 20 nM heparin caused a statistically significant increase in VEGF binding to streptavidin–Avastin at pH 5.5 compared to that observed with streptavidin–Avastin alone.
Figure 4. Biotin-heparin binding to streptavidin conjugated to Avastin leads to increased VEGF binding to Avastin. (A) Streptavidin was conjugated to Avastin and mixtures of buffer ± streptavidin–Avastin (5 nM) ± biotin–heparin (50 nM and 100 nM) were incubated overnight in solution and then incubated with a protein A plate to selectively bind the streptavidin–Avastin. 125 I-VEGF (25 ng/mL) was allowed to bind, and the VEGF bound to the plates was extracted and counted; the average of triplicate determinations ± SD are presented. ANOVA followed by multicomparison t-tests revealed that the presence of 50 and 100 nM heparin caused a significant increase in VEGF binding compared to that with streptavidin–Avastin alone. (B) Mixtures of ±streptavidin-linked Avastin (10 nM) ± biotin–heparin (0.1 nM and 20 nM) were preincubated overnight and then allowed to coat a protein A plate. These lower concentrations were chosen as subsaturating doses (see Figure 2) to reveal distinctions under the various conditions. 125 I-VEGF (40 ng/mL) in binding buffer at pH 5.5, 6.5, and 7.5 was allowed to bind, and the VEGF bound to the plates was extracted and counted; the average of triplicate determinations ± SD are presented. The presence of 20 nM heparin caused a statistically significant increase in VEGF binding to streptavidin–Avastin at pH 5.5 compared to that observed with streptavidin–Avastin alone.
Ijtm 01 00008 g004
Figure 5. Colocalization of heparin with Avastin on streptavidin-coated surfaces enhances VEGF binding to Avastin. A concentration range of streptavidin (0–500 nM; equivalent to 0–156 pmol/cm2) adsorbed onto a polystyrene plate was coated with biotin–Avastin (1 nM), biotin–heparin (50 nM), and a combination of both biotinylated proteins overnight, followed by incubation with 125 I-VEGF (11.8 ng/mL). The VEGF bound to the plates was extracted and counted, and the average of triplicate determinations ± SD are presented. ANOVA revealed that VEGF binding increased with increasing dose of streptavidin in the b–Avastin and b–Avastin & b–heparin conditions, and multicomparison t-tests indicate that binding in these two conditions was different at a streptavidin concentration of 12.5 pmoles/cm2 and above.
Figure 5. Colocalization of heparin with Avastin on streptavidin-coated surfaces enhances VEGF binding to Avastin. A concentration range of streptavidin (0–500 nM; equivalent to 0–156 pmol/cm2) adsorbed onto a polystyrene plate was coated with biotin–Avastin (1 nM), biotin–heparin (50 nM), and a combination of both biotinylated proteins overnight, followed by incubation with 125 I-VEGF (11.8 ng/mL). The VEGF bound to the plates was extracted and counted, and the average of triplicate determinations ± SD are presented. ANOVA revealed that VEGF binding increased with increasing dose of streptavidin in the b–Avastin and b–Avastin & b–heparin conditions, and multicomparison t-tests indicate that binding in these two conditions was different at a streptavidin concentration of 12.5 pmoles/cm2 and above.
Ijtm 01 00008 g005
Figure 6. VEGF binding to biotin–heparin and biotin–Avastin varies with pH. Streptavidin (200 nM) adsorbed onto a polystyrene plate and incubated ± biotin–Avastin (1 nM) ± biotin–heparin (50 nM). 125 I-VEGF (10 ng/mL) in binding buffer at pH 5.5 and 7.5 was allowed to bind, and the VEGF bound to the plates was extracted and counted; the average of triplicate determinations ± SD are presented. ANOVA followed by multicomparison t-tests revealed statistically significant differences in VEGF binding to Avastin at pH 7.5 vs. pH 5.5, and to heparin at pH 7.5 vs. pH 5.5. Furthermore, VEGF binding to Avastin + heparin was statistically significantly different than to Avastin or heparin alone at both pH 7.5 and 5.5. There were no differences in the binding of VEGF to Avastin + heparin at the two pHs tested.
Figure 6. VEGF binding to biotin–heparin and biotin–Avastin varies with pH. Streptavidin (200 nM) adsorbed onto a polystyrene plate and incubated ± biotin–Avastin (1 nM) ± biotin–heparin (50 nM). 125 I-VEGF (10 ng/mL) in binding buffer at pH 5.5 and 7.5 was allowed to bind, and the VEGF bound to the plates was extracted and counted; the average of triplicate determinations ± SD are presented. ANOVA followed by multicomparison t-tests revealed statistically significant differences in VEGF binding to Avastin at pH 7.5 vs. pH 5.5, and to heparin at pH 7.5 vs. pH 5.5. Furthermore, VEGF binding to Avastin + heparin was statistically significantly different than to Avastin or heparin alone at both pH 7.5 and 5.5. There were no differences in the binding of VEGF to Avastin + heparin at the two pHs tested.
Ijtm 01 00008 g006
Figure 7. Immobilized Avastin shows enhanced VEGF binding in the presence of heparin immobilized to the same surface in comparison to soluble heparin. (A) A streptavidin-coated plate was incubated ± biotin–Avastin (1 nM) ± biotin–heparin (80 nM) overnight, and the following day ± soluble heparin (80 nM) and 125 I-VEGF (15 ng/mL) were added. The VEGF bound to the plates was extracted and counted and the average of triplicate determinations ± SD are presented. Statistical analysis revealed a significant difference in VEGF binding in the presence of biotin–heparin compared to that with biotin–Avastin alone. (B, C) A streptavidin-coated plate was incubated with biotin–Avastin (1 nM) and a concentration range of biotin–heparin (0–100 nM) overnight, and the following day soluble heparin (0–100 nM) was added to the Avastin only wells and then incubated 125 I-VEGF (25 ng/mL) at a pH of (B) 5.5, and (C) 7.5. The VEGF bound to the plates was extracted and counted and the average of triplicate determinations ± SD are presented. VEGF binding at both pHs in the presence of biotin–heparin vs. soluble heparin was statistically different (ANOVA) when heparin was present at 50 and 100 nM.
Figure 7. Immobilized Avastin shows enhanced VEGF binding in the presence of heparin immobilized to the same surface in comparison to soluble heparin. (A) A streptavidin-coated plate was incubated ± biotin–Avastin (1 nM) ± biotin–heparin (80 nM) overnight, and the following day ± soluble heparin (80 nM) and 125 I-VEGF (15 ng/mL) were added. The VEGF bound to the plates was extracted and counted and the average of triplicate determinations ± SD are presented. Statistical analysis revealed a significant difference in VEGF binding in the presence of biotin–heparin compared to that with biotin–Avastin alone. (B, C) A streptavidin-coated plate was incubated with biotin–Avastin (1 nM) and a concentration range of biotin–heparin (0–100 nM) overnight, and the following day soluble heparin (0–100 nM) was added to the Avastin only wells and then incubated 125 I-VEGF (25 ng/mL) at a pH of (B) 5.5, and (C) 7.5. The VEGF bound to the plates was extracted and counted and the average of triplicate determinations ± SD are presented. VEGF binding at both pHs in the presence of biotin–heparin vs. soluble heparin was statistically different (ANOVA) when heparin was present at 50 and 100 nM.
Ijtm 01 00008 g007
Figure 8. Co-localizing biotin–Avastin with biotin–heparin on streptavidin inhibits VEGF-mediated endothelial cell migration. Streptavidin (200 nM) was adsorbed onto the lower polystyrene plate surface of the transwell apparatus and was incubated with buffer, biotin–Avastin (1 nM), biotin–heparin (50 nM), or both biotin–Avastin (1 nM) and biotin–heparin (50 nM). The coated plates were washed with buffer and then incubated ± VEGF (25 ng/mL) for 2 h. FluoroBlockTM inserts containing serum-starved HUVECs (50,000 cells/insert) were placed on top of each well and the cells allowed to migrate for 14–16 h. The cells were labeled with calcein-AM (4 µg/mL) and detected by fluorescence excitation at 485 nm and emission at 530 nm with an auto cutoff of the bottom plate only at 515 nm (6 flashed/read). (A) Schematic representation of the cell migration experimental set up showing the reagents and conditions tested. (B) The relative fluorescence units of VEGF-stimulated values divided by the reciprocal condition without VEGF are represented as “VEGF Stimulation (Fold)” for all four conditions. The data represent the average (±SD) of VEGF stimulation from 12 separate experiments, each done in triplicate. ANOVA followed by multi comparison t-tests revealed a statistically significant reduction in cell migration (*) in the Avastin + heparin group compared to the control and the Avastin and heparin alone groups.
Figure 8. Co-localizing biotin–Avastin with biotin–heparin on streptavidin inhibits VEGF-mediated endothelial cell migration. Streptavidin (200 nM) was adsorbed onto the lower polystyrene plate surface of the transwell apparatus and was incubated with buffer, biotin–Avastin (1 nM), biotin–heparin (50 nM), or both biotin–Avastin (1 nM) and biotin–heparin (50 nM). The coated plates were washed with buffer and then incubated ± VEGF (25 ng/mL) for 2 h. FluoroBlockTM inserts containing serum-starved HUVECs (50,000 cells/insert) were placed on top of each well and the cells allowed to migrate for 14–16 h. The cells were labeled with calcein-AM (4 µg/mL) and detected by fluorescence excitation at 485 nm and emission at 530 nm with an auto cutoff of the bottom plate only at 515 nm (6 flashed/read). (A) Schematic representation of the cell migration experimental set up showing the reagents and conditions tested. (B) The relative fluorescence units of VEGF-stimulated values divided by the reciprocal condition without VEGF are represented as “VEGF Stimulation (Fold)” for all four conditions. The data represent the average (±SD) of VEGF stimulation from 12 separate experiments, each done in triplicate. ANOVA followed by multi comparison t-tests revealed a statistically significant reduction in cell migration (*) in the Avastin + heparin group compared to the control and the Avastin and heparin alone groups.
Ijtm 01 00008 g008
Publisher’s Note: MDPI stays neutral with regard to jurisdictional claims in published maps and institutional affiliations.

Share and Cite

MDPI and ACS Style

Tsiros, D.; Sheehy, C.E.; Nugent, M.A. Heparin–Avastin Complexes Show Enhanced VEGF Binding and Inhibition of VEGF-Mediated Cell Migration. Int. J. Transl. Med. 2021, 1, 101-115. https://doi.org/10.3390/ijtm1020008

AMA Style

Tsiros D, Sheehy CE, Nugent MA. Heparin–Avastin Complexes Show Enhanced VEGF Binding and Inhibition of VEGF-Mediated Cell Migration. International Journal of Translational Medicine. 2021; 1(2):101-115. https://doi.org/10.3390/ijtm1020008

Chicago/Turabian Style

Tsiros, Divyabharathy, Casey E. Sheehy, and Matthew A. Nugent. 2021. "Heparin–Avastin Complexes Show Enhanced VEGF Binding and Inhibition of VEGF-Mediated Cell Migration" International Journal of Translational Medicine 1, no. 2: 101-115. https://doi.org/10.3390/ijtm1020008

APA Style

Tsiros, D., Sheehy, C. E., & Nugent, M. A. (2021). Heparin–Avastin Complexes Show Enhanced VEGF Binding and Inhibition of VEGF-Mediated Cell Migration. International Journal of Translational Medicine, 1(2), 101-115. https://doi.org/10.3390/ijtm1020008

Article Metrics

Back to TopTop