Cross-Shore Microplastic Accumulation on Sri Lanka’s West Coast One Year After the Catastrophic X-Press Pearl Pollution Event
Abstract
1. Introduction
2. Materials and Methods
2.1. Sampling Sites
2.2. Sampling Strategy
2.3. Microplastics Separation, Quantification, and Statistical Analysis
3. Results
3.1. Pellets as a Proportion of Surface Beach Plastic Debris
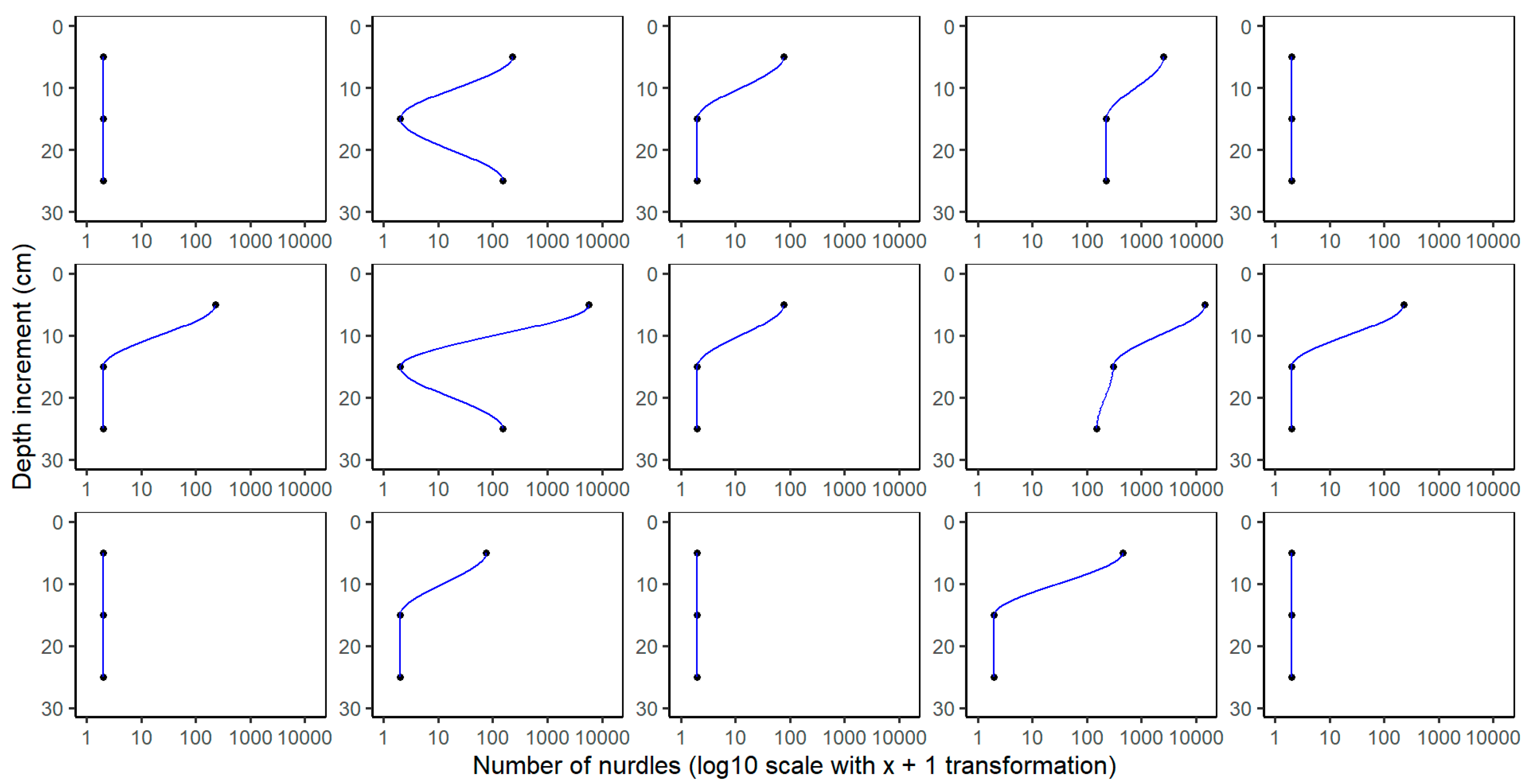
3.2. Three-Dimensional Pellet Accumulation in Sediments
4. Discussion
4.1. Pellets as a Proportion of Surface Beach Plastic Debris
4.2. Assessment of Pellet Integration into Sediment Profile
5. Conclusions
Author Contributions
Funding
Institutional Review Board Statement
Informed Consent Statement
Data Availability Statement
Acknowledgments
Conflicts of Interest
References
- Cole, M.; Lindeque, P.; Halsband, C.; Galloway, T.S. Microplastics as contaminants in the marine environment: A review. Mar. Pollut. Bull. 2011, 62, 2588–2597. [Google Scholar] [CrossRef]
- do Sul, J.A.I.; Costa, M.F. The present and future of microplastic pollution in the marine environment. Environ. Pollut. 2014, 185, 352–364. [Google Scholar] [CrossRef]
- Pozo, K.; Urbina, W.; Gómez, V.; Torres, M.; Nuñez, D.; Přibylová, P.; Audy, O.; Clarke, B.; Arias, A.; Tombesi, N.; et al. Persistent organic pollutants sorbed in plastic resin pellet—“Nurdles” from coastal areas of Central Chile. Mar. Pollut. Bull. 2020, 151, 110786. [Google Scholar] [CrossRef]
- Fernandino, G.; Elliff, C.; Reimão, I.; Bittencourt, A. How many pellets are too many? The pellet pollution index as a tool to assess beach pollution by plastic resin pellets in Salvador, Bahia, Brazil. Rev. Gest. Costeira Integr. 2015, 15, 325–332. [Google Scholar] [CrossRef]
- Falih, M.S.; Abbas, R.N.; Alshammary, A.G.; Ati, E.M.; Al-Lami, A.M.A. Ecological effects of plastic pollution: A review. J. Crit. Rev. 2020, 7. [Google Scholar] [CrossRef]
- Karlsson, T.M.; Arneborg, L.; Broström, G.; Almroth, B.C.; Gipperth, L.; Hassellöv, M. The unaccountability case of plastic pellet pollution. Mar. Pollut. Bull. 2018, 129, 52–60. [Google Scholar] [CrossRef] [PubMed]
- Bimali Koongolla, J.; Andrady, A.L.; Terney Pradeep Kumara, P.B.; Gangabadage, C.S. Evidence of microplastics pollution in coastal beaches and waters in southern Sri Lanka. Mar. Pollut. Bull. 2018, 137, 277–284. [Google Scholar] [CrossRef]
- Gorman, D.; Moreira, F.T.; Turra, A.; Fontenelle, F.R.; Combi, T.; Bicego, M.C.; Martins, C.D. Organic contamination of beached plastic pellets in the South Atlantic: Risk assessments can benefit by considering spatial gradients. Chemosphere 2019, 223, 608–615. [Google Scholar] [CrossRef]
- Rulent, J.; James, M.K.; Rameshwaran, P.; Jardine, J.E.; Katavouta, A.; Wakelin, S.; Jayathilaka, R.; Arulananthan, K.; Holt, J.; Sutton, M.A.; et al. Modelling pollutants transport scenarios based on the X-Press Pearl disaster. Mar. Pollut. Bull. 2024, 209, 117129. [Google Scholar] [CrossRef]
- Gregory, M.R.; Andrady, A.L. Plastics in the Marine Environment. In Plastics and the Environment; Andrady, A.L., Ed.; Wiley: Hoboken, NJ, USA, 2003; pp. 379–401. [Google Scholar]
- Balthazar-Silva, D.; Turra, A.; Moreira, F.T.; Camargo, R.M.; Oliveira, A.L.; Barbosa, L.; Gorman, D. Rainfall and tidal cycle regulate seasonal inputs of microplastic pellets to sandy beaches. Front. Environ. Sci. 2020, 8, 123. [Google Scholar] [CrossRef]
- Ghosh, S.; Sinha, J.K.; Ghosh, S.; Vashisth, K.; Han, S.; Bhaskar, R. Microplastics as an Emerging Threat to the Global Environment and Human Health. Sustainability 2023, 15, 10821. [Google Scholar] [CrossRef]
- Peña, S.Á. Plastic Pellet Spill Highlights Huge Pollution Problem in EU, and Beyond. 2024. Available online: https://www.pewtrusts.org/en/research-and-analysis/articles/2024/03/07/plastic-pellet-spill-highlights-huge-pollution-problem-in-eu-and-beyond (accessed on 18 June 2024).
- Meiffren-Swango, C. Millions of Tiny Plastic Pellets Are Being Dumped into Our Waterways. 2024. Available online: https://environmentamerica.org/articles/millions-of-tiny-plastic-pellets-are-being-dumped-into-our-waterways/ (accessed on 18 June 2024).
- Tunnell, J.W.; Dunning, K.H.; Scheef, L.P.; Swanson, K.M. Measuring plastic pellet (nurdle) abundance on shorelines throughout the Gulf of Mexico using citizen scientists: Establishing a platform for policy-relevant research. Mar. Pollut. Bull. 2020, 151, 110794. [Google Scholar] [CrossRef] [PubMed]
- Jiang, X.; Lu, K.; Tunnell, J.W.; Liu, Z. The impacts of weathering on concentration and bioaccessibility of organic pollutants associated with plastic pellets (nurdles) in coastal environments. Mar. Pollut. Bull. 2021, 170, 112592. [Google Scholar] [CrossRef] [PubMed]
- Au, S.Y.; Lee, C.M.; Weinstein, J.E.; van den Hurk, P.; Klaine, S.J. Trophic transfer of microplastics in aquatic ecosystems: Identifying critical research needs. Integr. Environ. Assess. Manag. 2017, 13, 505–509. [Google Scholar] [CrossRef]
- Foo, Y.H.; Ratnam, S.; Lim, E.V.; Abdullah, M.; Molenaar, V.J.; Hwai, A.T.S.; Zhang, S.F.; Li, H.J.; Zanuri, N.B.M. Microplastic ingestion by commercial marine fish from the seawater of Northwest Peninsular Malaysia. PeerJ 2022, 10, e13181. [Google Scholar] [CrossRef]
- Jovanovic, B. Ingestion of microplastics by fish and its potential consequences from a physical perspective. Integr. Environ. Assess. Manag. 2017, 13, 510–515. [Google Scholar] [CrossRef]
- Nam, K.B.; Kim, M.; Hong, M.J.; Kwon, Y.S. Plastic debris ingestion by seabirds on the Korean Peninsula. Mar. Pollut. Bull. 2021, 166, 112240. [Google Scholar] [CrossRef]
- Wang, J.; Liu, X.; Li, Y.; Powell, T.; Wang, X.; Wang, G.; Zhang, P. Microplastics as contaminants in the soil environment: A mini-review. Sci. Total Environ. 2019, 691, 848–857. [Google Scholar] [CrossRef]
- Wang, W.; Ge, J.; Yu, X.; Li, H. Environmental fate and impacts of microplastics in soil ecosystems: Progress and perspective. Sci. Total Environ. 2020, 708, 134841. [Google Scholar] [CrossRef]
- Kim, Y.N.; Yoon, J.H.; Kim, K.H.J. Microplastic contamination in soil environment—A review. Soil Sci. Annu. 2021, 71, 300–308. [Google Scholar] [CrossRef]
- Bancone, C.; Rose, P.N.; Francis, R. Temporal distribution and seasonal fluxes of microplastics in the sediments of UK rural and urban lakes. In Proceedings of the EGU General Assembly Conference Abstracts, Online, 4–8 May 2020; p. 19776. [Google Scholar]
- de Carvalho, A.R.; Garcia, F.; Riem-Galliano, L.; Tudesque, L.; Albignac, M.; ter Halle, A.; Cucherousset, J. Urbanization and hydrological conditions drive the spatial and temporal variability of microplastic pollution in the Garonne River. Sci. Total Environ. 2021, 769, 144479. [Google Scholar] [CrossRef] [PubMed]
- Gorman, D.; Turra, A. Mangrove revegetation as a means of restoring macrofaunal communities along degraded coasts. In Proceedings of the ECSA 57 Changing Estuaries, Coasts and Shelf Systems—Diverse Threats and Opportunities, Perth, Australia, 3–6 September 2018. [Google Scholar]
- Huang, Y.; Xiao, X.; Xu, C.; Perianen, Y.D.; Hu, J.; Holmer, M. Seagrass beds acting as a trap of microplastics—Emerging hotspot in the coastal region? Environ. Pollut. 2020, 257, 113450. [Google Scholar] [CrossRef] [PubMed]
- Dahl, M.; Bergman, S.; Björk, M.; Diaz-Almela, E.; Granberg, M.; Gullström, M.; Leiva-Dueñas, C.; Magnusson, K.; Marco-Méndez, C.; Piñeiro-Juncal, N.; et al. A temporal record of microplastic pollution in Mediterranean seagrass soils. Environ. Pollut. 2021, 273, 116451. [Google Scholar] [CrossRef]
- He, L.; Ou, Z.; Fan, J.; Zeng, B.; Guan, W. Research on the non-point source pollution of microplastics. Front Chem 2022, 10, 956547. [Google Scholar] [CrossRef]
- Pattiaratchi, C.; van der Mheen, M.; Schlundt, C.; Narayanaswamy, B.E.; Sura, A.; Hajbane, S.; White, R.; Kumar, N.; Fernandes, M.; Wijeratne, S. Plastics in the Indian Ocean—Sources, transport, distribution, and impacts. Ocean Sci. 2022, 18, 1–28. [Google Scholar] [CrossRef]
- Hassan, P.; Camille, L.; Stephane, L.F.; Luigi, A. X-Press Pearl Maritime Disaster Sri Lanka-Report of the UN Environmental Advisory Mission July 2021, in UN Environmental Advisory Mission. UN. 2021. Available online: https://wedocs.unep.org/bitstream/handle/20.500.11822/36608/XPress.pdf?sequence=1&isAllowed=y (accessed on 21 June 2023).
- Rubesinghe, C.; Brosché, S.; Withanage, H.; Pathragoda, D.; Karlsson, T. Press Pearl, a ‘new kind of oil spill’ consisting of a toxic mix of plastics and invisible chemicals. Int. Pollut. Elimin. Netw. (IPEN) 2022. [Google Scholar] [CrossRef]
- Karthik, R.; Robin, R.S.; Purvaja, R.; Karthikeyan, V.; Subbareddy, B.; Balachandar, K.; Hariharan, G.; Ganguly, D.; Samuel, V.D.; Jinoj, T.P.S.; et al. Microplastic pollution in fragile coastal ecosystems with special reference to the X-Press Pearl maritime disaster, southeast coast of India. Environ. Pollut. 2022, 305, 17. [Google Scholar] [CrossRef] [PubMed]
- Perera, U.; Subasinghe, H.C.S.; Ratnayake, A.S.; Wijewardhana, W.; Wijewardhana, T.D.U. Maritime pollution in the Indian Ocean after the MV X-Press Pearl accident. Mar. Pollut. Bull. 2022, 185, 11. [Google Scholar] [CrossRef]
- de Vos, A.; Aluwihare, L.; Youngs, S.; DiBenedetto, M.H.; Ward, C.P.; Michel, A.P.M.; Colson, B.C.; Mazzotta, M.G.; Walsh, A.N.; Nelson, R.K.; et al. The M/V X-Press Pearl Nurdle Spill: Contamination of Burnt Plastic and Unburnt Nurdles along Sri Lanka’s Beaches. ACS Environ. Au 2022, 2, 128–135. [Google Scholar] [CrossRef]
- Burt, T.P.; Weerasinghe, K.D.N. Rainfall Distributions in Sri Lanka in Time and Space: An Analysis Based on Daily Rainfall Data. Climate 2014, 2, 242–263. [Google Scholar] [CrossRef]
- Shankar, D.; Vinayachandran, P.N.; Unnikrishnan, A.S. The monsoon currents in the north Indian Ocean. Prog. Oceanogr. 2002, 52, 63–120. [Google Scholar] [CrossRef]
- De Vos, A.; Pattiaratchi, C.B.; Wijeratne, E.M.S. Surface circulation and upwelling patterns around Sri Lanka. Biogeosciences 2014, 11, 5909–5930. [Google Scholar] [CrossRef]
- Jayathilaka, R.; Weerakoon, W.; Indika, K.W.; Arulananthan, K.; Kithsiri, H.M.P. Spatio-temporal variation of plastic pellets dispersion in the coastline of Sri Lanka: An assessment of pellets originated from the X-Press Pearl incident during the Southwest monsoon in 2021. Mar. Pollut. Bull. 2022, 184, 114145. [Google Scholar] [CrossRef] [PubMed]
- Sewwandi, M.; Amarathunga, A.A.D.; Wijesekara, H.; Mahatantila, K.; Vithanage, M. Contamination and distribution of buried microplastics in Sarakkuwa beach ensuing the MV X-Press Pearl maritime disaster in Sri Lankan sea. Mar. Pollut. Bull. 2022, 184, 114074. [Google Scholar] [CrossRef]
- Jain, V.; Amol, P.; Fernando, V.; Michael, G.S.; Aparna, S.G.; Kankonkar, A.; Tari, P.A.; Gaonkar, M.G.; Satelkar, N.P.; Khalap, S.T. Observed current variability in Gulf of Mannar. J. Earth Syst. Sci. 2021, 130, 197. [Google Scholar] [CrossRef]
- Indika, K.W.; Wijerathne, E.M.S.; Fernando, G.W.A.R. Sea Level Variability in the West Coast of Sri Lanka. 2017. Available online: http://192.248.104.6/handle/345/1753 (accessed on 22 August 2024).
- Moreira, F.T.; Balthazar-Silva, D.; Barbosa, L.; Turra, A. Revealing accumulation zones of plastic pellets in sandy beaches. Environ. Pollut. 2016, 218, 313–321. [Google Scholar] [CrossRef]
- Gorman, D.; Gutiérrez, A.R.; Turra, A.; Manzano, A.B.; Balthazar-Silva, D.; Oliveira, N.R.; Harari, J. Predicting the Dispersal and Accumulation of Microplastic Pellets Within the Estuarine and Coastal Waters of South-Eastern Brazil Using Integrated Rainfall Data and Lagrangian Particle Tracking Models. Front. Environ. Sci. 2020, 8, 559405. [Google Scholar] [CrossRef]
- Fisner, M.; Majer, A.P.; Balthazar-Silva, D.; Gorman, D.; Turra, A. Quantifying plastic pellets on sandy beaches: The conundrum of large sample variation and spatial heterogeneity. Environ. Sci. Pollut. Res. 2017, 24, 13732–13740. [Google Scholar] [CrossRef]
- Adomat, Y.; Kahl, M.; Musche, F.; Grischek, T. Evaluation of microplastics sediment sampling techniques—Efficiency of common methods and new approaches. Microplast. Nanoplast. 2022, 2, 27. [Google Scholar] [CrossRef]
- Sewwandi, M.; Hettithanthri, O.; Egodage, S.M.; Amarathunga, A.A.D.; Vithanage, M. Unprecedented marine microplastic contamination from the X-Press Pearl container vessel disaster. Sci. Total Environ. 2022, 828, 154374. [Google Scholar] [CrossRef]
- Retnamma, J.; Kalathil, B.K.; Loganathan, J.; Chinnadurai, K.; Gupta, G.V.M.; Chakraborty, K.; Sahu, K.C. Why the Gulf of Mannar is a marine biological paradise? Environ. Sci. Pollut. Res. 2021, 28, 64892–64907. [Google Scholar] [CrossRef] [PubMed]
- Kandeyaya, K.B.K.D.K.; Ranatunga, S.; Ranatunga, R.R.M.K.P. Occurrence of microplastics in some commercially important seafood varieties from Negombo, Sri Lanka. Reg. Stud. Mar. Sci. 2023, 62, 102958. [Google Scholar] [CrossRef]
- Lawan, P.L.M.J.H.; De Silva, D.S.M.; Amarathunga, A.A.D.; McGoran, A.; Bakir, A.; Sivyer, D.B.; Reeve, C. Microplastic Contamination in Shrimps from the Negombo Lagoon—Sri Lanka. Water 2024, 16, 447. [Google Scholar] [CrossRef]
- Cesarini, G.; Secco, S.; Battisti, C.; Questino, B.; Marcello, L.; Scalici, M. Temporal changes of plastic litter and associated encrusting biota: Evidence from Central Italy (Mediterranean Sea). Mar. Pollut. Bull. 2022, 181, 113890. [Google Scholar] [CrossRef]
- Qian, Y.; Shang, Y.; Zheng, Y.; Jia, Y.; Wang, F. Temporal and spatial variation of microplastics in Baotou section of Yellow River, China. J. Environ. Manag. 2023, 338, 117803. [Google Scholar] [CrossRef]
- Reethu, M.; Biswajit, R.; Aravind, G.H.; Rafaz, A.K.; Sandeep, K.; Sijinkumar, A.V.; Warrier, A.K. A first report on the spatial and temporal variability of microplastics in coastal soils of an urban town in south-western India: Pre- and post-COVID scenario. Mar. Pollut. Bull. 2023, 190, 114888. [Google Scholar] [CrossRef]
- Ranatunga, R.R.M.K.P.; Wijetunge, D.; Karunarathna, K.N.P. Microplastics in beach sand and potential contamination of planktivorous fish Sardinella gibbosa inhabiting in coastal waters of Negombo, Sri Lanka. Sri Lanka J. Aquat. Sci. 2021, 26, 37–54. [Google Scholar] [CrossRef]
- Sevwandi Dharmadasa, W.L.S.; Andrady, A.L.; Kumara, P.B.T.P.; Maes, T.; Gangabadage, C.S. Microplastic pollution in Marine Protected Areas of Southern Sri Lanka. Mar. Pollut. Bull. 2021, 168, 112462. [Google Scholar] [CrossRef]
- Athawuda, A.M.G.A.D.; Jayasiri, H.B.; Thushari, G.G.N.; Guruge, K.P.G.K.P. Quantification and morphological characterization of plastic litter (0.30–100 mm) in surface waters of off Colombo, west coast of Sri Lanka. Environ. Monit. Assess. 2020, 192, 509. [Google Scholar] [CrossRef]
- Pattiaratchi, C.; Wijeratne, S.; de Vos, A. Ocean circulation around Sri Lanka. J. Natl. Sci. Found. Sri Lanka 2022, 50, 293–302. [Google Scholar] [CrossRef]
- Gorman, D.; Gutiérrez, A.; Turra, A.; Manzano, A.B.; Balthazar-Silva, D.; Oliveira, N.R.; Harari, J. Integrating rainfall data and Lagrangian models to predict the dispersal and accumulation of microplastics within the estuarine and coastal waters of the Santos region, south eastern Brazil. Front. Ecol. Environ. 2020, 8. [Google Scholar] [CrossRef]
- Menikpura, S.N.M.; Gheewala, S.H.; Bonnet, S. Sustainability assessment of municipal solid waste management in Sri Lanka: Problems and prospects. J. Mater. Cycles Waste Manag. 2012, 14, 181–192. [Google Scholar] [CrossRef]
- Piyumali, H.; Sewwandi, M.; Atugoda, T.; Wijesekara, H.; Mahatantila, K.; Vithanage, M. Microplastic Abundance, Characteristics, and Heavy Metal Contamination in Coastal Environments of Western Sri Lanka. Phys. Chem. Earth Parts A/B/C 2024, 136, 103770. [Google Scholar] [CrossRef]
- Andreussi, C.K.; Harari, J.; Zanetti, D.G.; Leonel, J. Plastic pellet pathways: Understanding transport patterns to Santa Catarina Island, Southwestern Atlantic Ocean. Mar. Pollut. Bull. 2024, 208, 116944. [Google Scholar] [CrossRef]
- Izar, G.M.; Morais, L.G.; Pereira, C.D.S.; Cesar, A.; Abessa, D.M.S.; Christofoletti, R.A. Quantitative analysis of pellets on beaches of the Sao Paulo coast and associated non-ingested ecotoxicological effects on marine organisms. Reg. Stud. Mar. Sci. 2019, 29, 11. [Google Scholar] [CrossRef]
- Thornton, L.; Jackson, N.L. Spatial and temporal variations in debris accumulation and composition on an estuarine shoreline, Cliffwood Beach, New Jersey, USA. Mar. Pollut. Bull. 1998, 36, 705–711. [Google Scholar] [CrossRef]
- Forsberg, P.L.; Sous, D.; Stocchino, A.; Chemin, R. Behaviour of plastic litter in nearshore waters: First insights from wind and wave laboratory experiments. Mar. Pollut. Bull. 2020, 153, 111023. [Google Scholar] [CrossRef]
- Moreira, F.T.; Prantoni, A.L.; Martini, B.; de Abreu, M.A.; Stoiev, S.B.; Turra, A. Small-scale temporal and spatial variability in the abundance of plastic pellets on sandy beaches: Methodological considerations for estimating the input of microplastics. Mar. Pollut. Bull. 2016, 102, 114–121. [Google Scholar] [CrossRef]
- Turra, A.; Manzano, A.B.; Dias, R.J.S.; Mahiques, M.M.; Barbosa, L.; Balthazar-Silva, D.; Moreira, F.T. Three-dimensional distribution of plastic pellets in sandy beaches: Shifting paradigms. Sci. Rep. 2014, 4, 7. [Google Scholar] [CrossRef]
- UNEP. X-Press Pearl Maritime Disaster: Sri Lanka. In Report of the UN Environmental Advisory Mission; United Nations Environment Programme, & United Nations Office for the Coordination of Humanitarian Affairs: Nairobi, Kenya, 2021. [Google Scholar]
- Daily FT. Coca-Cola Sri Lanka Unveils First-of-Its-Kind ‘Adopt A Beach’ in Partnership with Clean Ocean Force. 2022. Available online: https://www.ft.lk/csrevents/Coca-Cola-Sri-Lanka-unveils-first-of-its-kind-Adopt-A-Beach-in-partnership-with-Clean-Ocean-Force/38-731853 (accessed on 15 March 2023).
- Fisner, M.; Majer, A.; Taniguchi, S.; Bícego, M.; Turra, A.; Gorman, D. Color and composition determine the concentration and composition of polycyclic aromatic hydrocarbons (PAHs) in plastic pellets. Mar. Pollut. Bull. 2017, 122, 323–330. [Google Scholar] [CrossRef]
- Gunawardhana, G.M.S.S.; Perera, U.L.H.P.; Ratnayake, A.S.; Weerasingha, W.A.D.B.; Subasinghe, H.C.S. Formation of secondary microplastics during degradation of plastics originating from the MV X-Press Pearl maritime disaster. Discov. Environ. 2024, 2, 22. [Google Scholar] [CrossRef]
- The Maritime. Shanghai Salvage Wins Contract to Remove Wreck of the X-Press Pearl. 2021. Available online: https://maritime-executive.com/article/shanghai-salvage-wins-contract-to-remove-wreck-of-the-x-press-pearl (accessed on 14 May 2024).



| Sampling Site | Tidal Height | Pellet Density | Mean % Burnt | |
|---|---|---|---|---|
| (m2 ± SEM) | ||||
| S1. Waikkala Beach a | Low a | 0.3 ± 0.6 | 0 | |
| High a | 54.3 ± 46.3 | 1 | ||
| Backshore a | 1 ± 1 | 0 | ||
| S2. Dungalpitiya Beach a | Low a | 0 ± 0 | 0 | |
| High b | 355 ± 241.2 | 3 | ||
| Backshore ab | 6.7 ± 8.1 | 0 | ||
| S3. Uswetakeiyawa Beach a | Low a | 0.3 ± 0.6 | 0 | |
| High a | 7.3 ± 5 | 0 | ||
| Backshore a | 0.7 ± 1.2 | 0 | ||
| S4. Wellawatte Beach b | Low a | 37.3 ± 32.5 | 14 | |
| High b | 1408.3 ± 544.5 | 0 | ||
| Backshore a | 320 ± 229.9 | 9 | ||
| S5. Panadura Beach a | Low a | 2 ± 2 | 0 | |
| High b | 11 ± 1 | 0 | ||
| Backshore a | 0.7 ± 0.6 | 0 | ||
| Source | df | Mean Square | F | Sig. |
| Site | 4 | 569,832.89 | 20.81 | <0.001 |
| Height | 2 | 558,018.60 | 20.38 | <0.001 |
| Site × Height | 8 | 285,177.91 | 10.41 | <0.001 |
| Error | 30 | 27,384.67 | ||
| Total | 45 | |||
Disclaimer/Publisher’s Note: The statements, opinions and data contained in all publications are solely those of the individual author(s) and contributor(s) and not of MDPI and/or the editor(s). MDPI and/or the editor(s) disclaim responsibility for any injury to people or property resulting from any ideas, methods, instructions or products referred to in the content. |
© 2025 by the authors. Licensee MDPI, Basel, Switzerland. This article is an open access article distributed under the terms and conditions of the Creative Commons Attribution (CC BY) license (https://creativecommons.org/licenses/by/4.0/).
Share and Cite
Lillo, P.M.; Udagedara, S.; Williamson, R.; Gorman, D. Cross-Shore Microplastic Accumulation on Sri Lanka’s West Coast One Year After the Catastrophic X-Press Pearl Pollution Event. Microplastics 2025, 4, 37. https://doi.org/10.3390/microplastics4030037
Lillo PM, Udagedara S, Williamson R, Gorman D. Cross-Shore Microplastic Accumulation on Sri Lanka’s West Coast One Year After the Catastrophic X-Press Pearl Pollution Event. Microplastics. 2025; 4(3):37. https://doi.org/10.3390/microplastics4030037
Chicago/Turabian StyleLillo, Paula Masiá, Susantha Udagedara, Ross Williamson, and Daniel Gorman. 2025. "Cross-Shore Microplastic Accumulation on Sri Lanka’s West Coast One Year After the Catastrophic X-Press Pearl Pollution Event" Microplastics 4, no. 3: 37. https://doi.org/10.3390/microplastics4030037
APA StyleLillo, P. M., Udagedara, S., Williamson, R., & Gorman, D. (2025). Cross-Shore Microplastic Accumulation on Sri Lanka’s West Coast One Year After the Catastrophic X-Press Pearl Pollution Event. Microplastics, 4(3), 37. https://doi.org/10.3390/microplastics4030037

