Fatty Acid Bioconversion and Scaling-Up Effects of Swine Manure Treatment with Black Soldier Fly Larvae
Abstract
1. Introduction
2. Materials and Methods
2.1. Larvae and Manure Source
2.2. Experimental Design
2.3. Chemical Property Analysis
2.4. Evaluation of Bioconversion Efficiency
2.5. Statistical Analyses
3. Results
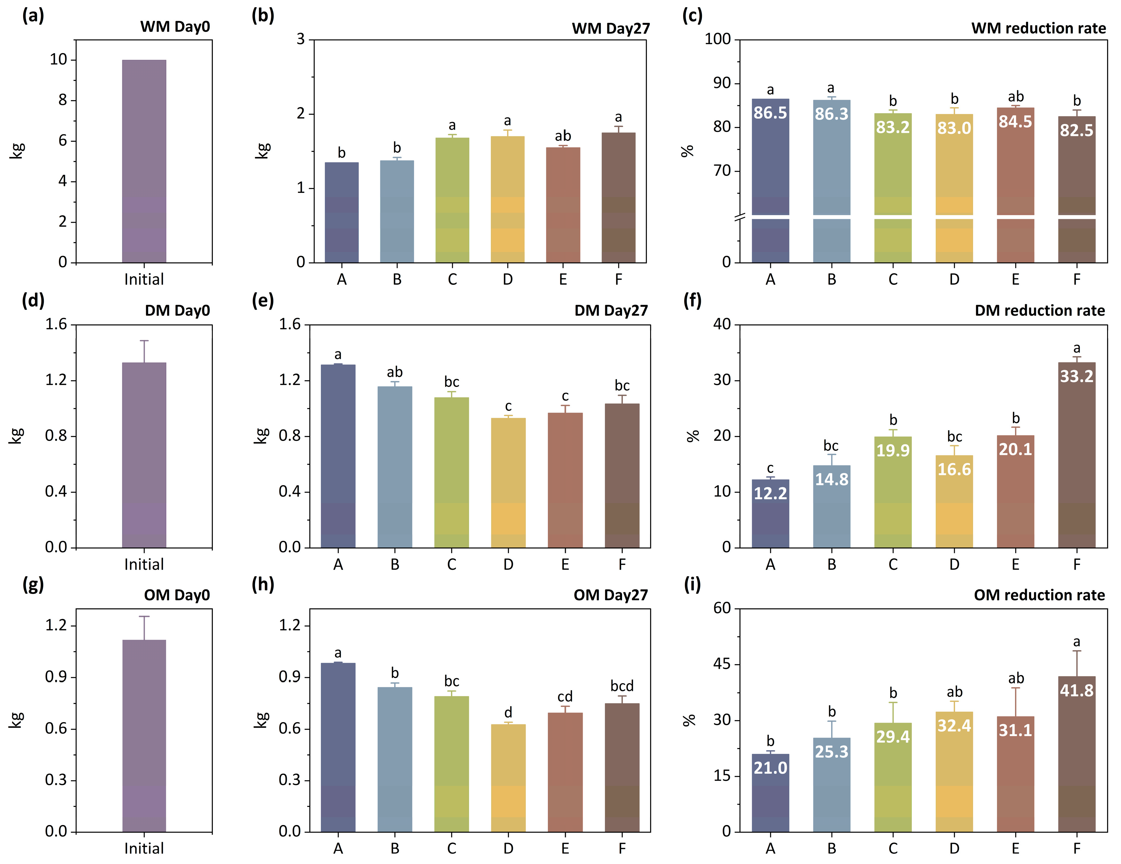
3.1. Manure Reduction Performance in Kg-Scale Treatment
3.2. Fatty Acid Profiling by Gas Chromatography Analysis
3.3. Larval Bioconversion Performance in Kg-Scale Treatment
3.4. Comparison of Kg- and Ton-Scale Treatment
3.5. Chronological Changes in Fatty Acid Composition
4. Discussion
4.1. Swine Manure Treatment and Larval Density Effect
4.2. Composition of Larvae Fatty Acids
4.3. Scaling-Up Effect
5. Conclusions
Author Contributions
Funding
Data Availability Statement
Acknowledgments
Conflicts of Interest
References
- Gold, M.; Ireri, D.; Zurbrügg, C.; Fowles, T.; Mathys, A. Efficient and safe substrates for black soldier fly biowaste treatment along circular economy principles. Detritus 2021, 16, 31–40. [Google Scholar] [CrossRef]
- Cammack, J.A.; Miranda, C.D.; Jordan, H.R.; Tomberlin, J.K. Upcycling of manure with insects: Current and future prospects. J. Insects Food Feed 2021, 7, 605–619. [Google Scholar] [CrossRef]
- Matos, J.S.; de Araujo, L.P.; Allaman, I.B.; Lobo, I.P.; de Oliva, S.T.; Tavares, T.M.; de Almeida Neto, J.A. Evaluation of the reduction of methane emission in swine and bovine manure treated with black soldier fly larvae (Hermetia illucens L.). Environ. Monit. Assess. 2021, 193, 480. [Google Scholar] [CrossRef] [PubMed]
- Zhang, J.B.; Zhang, J.; Li, J.H.; Tomerlin, J.K.; Xiao, X.P.; Rehman, K.U.; Cai, M.M.; Zheng, L.Y.; Yu, Z.N. Black soldier fly: A new vista for livestock and poultry manure management. J. Integr. Agr. 2021, 20, 1167–1179. [Google Scholar] [CrossRef]
- Ravi, H.K.; Degrou, A.; Costil, J.M.; Trespeuch, C.; Chemat, F.; Vian, M.A. Larvae Mediated Valorization of Industrial, Agriculture and Food Wastes: Biorefinery Concept through Bioconversion, Processes, Procedures, and Products. Processes 2020, 8, 857. [Google Scholar] [CrossRef]
- Lopes, I.G.; Yong, J.W.; Lalander, C. Frass derived from black soldier fly larvae treatment of biodegradable wastes. A critical review and future perspectives. Waste Manag. 2022, 142, 65–76. [Google Scholar] [CrossRef]
- Siddiqui, S.A.; Ristow, B.; Rahayu, T.; Putra, N.S.; Yuwono, N.W.; Nisa, K.; Mategeko, B.; Smetana, S.; Saki, M.; Nawaz, A.; et al. Black soldier fly larvae (BSFL) and their affinity for organic waste processing. Waste Manag. 2022, 140, 1–13. [Google Scholar] [CrossRef]
- Bellezza Oddon, S.; Biasato, I.; Imarisio, A.; Pipan, M.; Dekleva, D.; Colombino, E.; Capucchio, M.T.; Meneguz, M.; Bergagna, S.; Barbero, R.; et al. Black soldier fly and yellow mealworm live larvae for broiler chickens: Effects on bird performance and health status. J. Anim. Physiol. Anim. Nutr. 2021, 105 (Suppl. S1), 10–18. [Google Scholar] [CrossRef]
- Schmitt, E.; de Vries, W. Potential benefits of using Hermetia illucens frass as a soil amendment on food production and for environmental impact reduction. Curr. Opin. Green Sustain. Chem. 2020, 25, 100335. [Google Scholar] [CrossRef]
- Fischer, H.; Romano, N. Fruit, vegetable, and starch mixtures on the nutritional quality of black soldier fly (Hermetia illucens) larvae and resulting frass. J. Insects Food Feed 2021, 7, 319–327. [Google Scholar] [CrossRef]
- Chavez, M. The sustainability of industrial insect mass rearing for food and feed production: Zero waste goals through by-product utilization. Curr. Opin. Insect Sci. 2021, 48, 44–49. [Google Scholar] [CrossRef] [PubMed]
- Liu, X.; Chen, X.; Wang, H.; Yang, Q.Q.; Rehman, K.U.; Li, W.; Cai, M.M.; Li, Q.; Mazza, L.; Zhang, J.B.; et al. Dynamic changes of nutrient composition throughout the entire life cycle of black soldier fly. PLoS ONE 2017, 12, e0182601. [Google Scholar] [CrossRef] [PubMed]
- Mangindaan, D.; Kaburuan, E.; Meindrawan, B. Black Soldier Fly Larvae (Hermetia illucens) for Biodiesel and/or Animal Feed as a Solution for Waste-Food-Energy Nexus: Bibliometric Analysis. Sustainability 2022, 14, 13993. [Google Scholar] [CrossRef]
- Leong, S.Y.; Kutty, S.R.M. Characteristic of Hermetia illucens Fatty Acid and that of the Fatty Acid Methyl Ester Synthesize Based on Upcycling of Perishable Waste. Waste Biomass Valorization 2020, 11, 5607–5614. [Google Scholar] [CrossRef]
- Hoc, B.; Genva, M.; Fauconnier, M.L.; Lognay, G.; Francis, F.; Megido, R.C. About lipid metabolism in Hermetia illucens (L. 1758): On the origin of fatty acids in prepupae. Sci. Rep. 2020, 10, 11916. [Google Scholar] [CrossRef]
- Sudha, C.; Ahilan, B.; Felix, N.; Uma, A.; Chidambaram, P.; Prabu, E. Replacement of fish oil with black soldier fly larvae oil and vegetable oils: Effects of growth, whole-body fatty acid profile, digestive enzyme activity, haemato-biochemical responses and muscle growth-related gene expression of juvenile striped catfish, Pangasianodon hypophthalmus. Aquac. Res. 2022, 53, 3097–3111. [Google Scholar] [CrossRef]
- Moutinho, S.; Oliva-Teles, A.; Pulido-Rodriguez, L.; Magalhaes, R.; Monroig, O.; Parisi, G.; Peres, H. Black soldier fly larvae oil as an alternative lipid source in diets for gilthead seabream (Sparus aurata) juveniles. Aquaculture 2023, 574, 739705. [Google Scholar] [CrossRef]
- Maldonado-Othon, C.A.; de la Re-vega, E.; Perez-Velazquez, M.L.; Gonzalez-Felix, M. Replacement of fish oil by camelina and black soldier fly larvae oils in diets for juvenile Totoaba macdonaldi and their effect on growth, fatty acid profile, and gene expression of pancreatic lipases. Aquaculture 2022, 552, 737985. [Google Scholar] [CrossRef]
- Maulu, S.; Langi, S.; Hasimuna, O.J.; Missinhoun, D.; Munganga, B.P.; Hampuwo, B.M.; Gabriel, N.N.; Elsabagh, M.; Van Doan, H.; Kari, Z.A.; et al. Recent advances in the utilization of insects as an ingredient in aquafeeds: A review. Anim. Nutr. 2022, 11, 334–349. [Google Scholar] [CrossRef]
- Kim, Y.B.; Kim, D.H.; Jeong, S.B.; Lee, J.W.; Kim, T.H.; Lee, H.G.; Lee, K.W. Black soldier fly larvae oil as an alternative fat source in broiler nutrition. Poult. Sci. 2020, 99, 3133–3143. [Google Scholar] [CrossRef]
- van Heugten, E.; Martinez, G.; McComb, A.; Koutsos, L. Improvements in Performance of Nursery Pigs Provided with Supplemental Oil Derived from Black Soldier Fly (Hermetia illucens) Larvae. Animals 2022, 12, 3251. [Google Scholar] [CrossRef] [PubMed]
- Miranda, C.D.; Cammack, J.A.; Tomberlin, J.K. Life-History Traits of the Black Soldier Fly, Hermetia illucens (L.) (Diptera: Stratiomyidae), Reared on Three Manure Types. Animals 2019, 9, 281. [Google Scholar] [CrossRef] [PubMed]
- Zhou, F.; Tomberlin, J.K.; Zheng, L.Y.; Yu, Z.N.; Zhang, J.B. Developmental and Waste Reduction Plasticity of Three Black Soldier Fly Strains (Diptera: Stratiomyidae) Raised on Different Livestock Manures. J. Med. Entomol. 2013, 50, 1224–1230. [Google Scholar] [CrossRef]
- Dzepe, D.; Nana, P.; Fotso, A.; Tchuinkam, T.; Djouaka, R. Influence of larval density, substrate moisture content and feedstock ratio on life history traits of black soldier fly larvae. J. Insects Food Feed. 2020, 6, 133–140. [Google Scholar] [CrossRef]
- Xiao, X.P.; Mazza, L.; Yu, Y.Q.; Cai, M.M.; Zheng, L.Y.; Tomberlin, J.K.; Yu, J.; van Huis, A.; Yu, Z.N.; Fasulo, S.; et al. Efficient co-conversion process of chicken manure into protein feed and organic fertilizer by Hermetia illucens L. (Diptera: Stratiomyidae) larvae and functional bacteria. J. Environ. Manag. 2018, 217, 668–676. [Google Scholar] [CrossRef] [PubMed]
- Liu, Z.Y.; Minor, M.; Morel, P.C.H.; Najar-Rodriguez, A.J. Bioconversion of Three Organic Wastes by Black Soldier Fly (Diptera: Stratiomyidae) Larvae. Environ. Entomol. 2018, 47, 1609–1617. [Google Scholar] [CrossRef]
- Oonincx, D.G.A.B.; van Huis, A.; van Loon, J.J.A. Nutrient utilisation by black soldier flies fed with chicken, pig, or cow manure. J. Insects Food Feed 2015, 1, 131–139. [Google Scholar] [CrossRef]
- Hao, J.W.; Liu, S.; Luo, A.G.; Zhao, J.; Shi, S.L.; Zhang, Y.; Li, C.J. Assessing Nursery-Finishing Pig Manures on Growth of Black Soldier Fly Larvae. Animals 2023, 13, 452. [Google Scholar] [CrossRef]
- Dzepe, D.; Nana, P.; Kuietche, H.M.; Kimpara, J.M.; Magatsing, O.; Tchuinkam, T.; Djouaka, R. Feeding strategies for small-scale rearing black soldier fly larvae (Hermetia illucens) as organic waste recycler. SN Appl. Sci. 2021, 3, 252. [Google Scholar] [CrossRef]
- Myers, H.M.; Tomberlin, J.K.; Lambert, B.D.; Kattes, D. Development of black soldier fly (Diptera: Stratiomyidae) larvae fed dairy manure. Environ. Entomol. 2008, 37, 11–15. [Google Scholar] [CrossRef]
- Parry, N.J.; Weldon, C.W. Bioconversion of poultry manure and vegetable waste mixes by Hermetia illucens (Diptera: Stratiomyidae). J. Appl. Entomol. 2023, 147, 279–288. [Google Scholar] [CrossRef]
- El Deen, S.N.; van Rozen, K.; Elissen, H.; van Wikselaar, P.; Fodor, I.; van der Weide, R.; Hoek-van den Hil, E.F.; Far, A.R.; Veldkamp, T. Bioconversion of Different Waste Streams of Animal and Vegetal Origin and Manure by Black Soldier Fly Larvae Hermetia illucens L. (Diptera: Stratiomyidae). Insects 2023, 14, 204. [Google Scholar] [CrossRef]
- Miranda, C.D.; Cammack, J.A.; Tomberlin, J.K. Mass Production of the Black Soldier Fly, Hermetia illucens(L.), (Diptera: Stratiomyidae) Reared on Three Manure Types. Animals 2020, 10, 1243. [Google Scholar] [CrossRef]
- Lu, H.X.; Liu, Y.X.; Shen, W.Y.; Zhou, Y.; Ma, X.W.; Sun, S.B.; Dong, X.Y.; Ji, F.Y.; Tong, H.Y.; Xu, J.Q.; et al. Yeast enrichment facilitated lipid removal and bioconversion by black soldier fly larvae in the food waste treatment. Waste Manag. 2023, 166, 152–162. [Google Scholar] [CrossRef] [PubMed]
- Liu, Y.X.; Liu, J.L.; He, J.W.; Lu, H.X.; Sun, S.B.; Ji, F.Y.; Dong, X.Y.; Bao, Y.M.; Xu, J.Q.; He, G.H.; et al. Chronological and Carbohydrate-Dependent Transformation of Fatty Acids in the Larvae of Black Soldier Fly Following Food Waste Treatment. Molecules 2023, 28, 1903. [Google Scholar] [CrossRef]
- Bisutti, I.; Hilke, I.; Raessler, M. Determination of total organic carbon—An overview of current methods. Trac.-Trend Anal. Chem. 2004, 23, 716–726. [Google Scholar] [CrossRef]
- Rehman, K.U.; Rehman, A.; Cai, M.M.; Zheng, L.Y.; Xiao, X.P.; Somroo, A.A.; Wang, H.; Li, W.; Yu, Z.N.; Zhang, J.B. Conversion of mixtures of dairy manure and soybean curd residue by black soldier fly larvae (Hermetia illucens L.). J. Clean. Prod. 2017, 154, 366–373. [Google Scholar] [CrossRef]
- Rehman, K.U.; Cai, M.M.; Xiao, X.P.; Zheng, L.Y.; Wang, H.; Soomro, A.A.; Zhou, Y.S.; Li, W.; Yu, Z.N.; Zhang, J.B. Cellulose decomposition and larval biomass production from the co-digestion of dairy manure and chicken manure by mini-livestock (Hermetia illucens L.). J. Environ. Manag. 2017, 196, 458–465. [Google Scholar] [CrossRef] [PubMed]
- Banks, I.J.; Gibson, W.T.; Cameron, M.M. Growth rates of black soldier fly larvae fed on fresh human faeces and their implication for improving sanitation. Trop. Med. Int. Health 2014, 19, 14–22. [Google Scholar] [CrossRef]
- Vogel, M.; Shah, P.N.; Voulgari-Kokota, A.; Maistrou, S.; Aartsma, Y.; Beukeboom, L.W.; Salles, J.F.; Van Loon, J.J.A.; Dicke, M.; Wertheim, B. Health of the black soldier fly and house fly under mass-rearing conditions: Innate immunity and the role of the microbiome. J. Insects Food Feed 2022, 8, 857–878. [Google Scholar] [CrossRef]
- Opare, L.O.; Holm, S.; Esperk, T. Temperature-modified density effects in the black soldier fly: Low larval density leads to large size, short development time and high fat content. J. Insects Food Feed 2022, 8, 783–802. [Google Scholar] [CrossRef]
- Zhu, Z.L.; Rehman, K.U.; Yu, Y.Q.; Liu, X.; Wang, H.; Tomberlin, J.K.; Sze, S.H.; Cai, M.M.; Zhang, J.B.; Yu, Z.N.; et al. De novo transcriptome sequencing and analysis revealed the molecular basis of rapid fat accumulation by black soldier fly (Hermetia illucens, L.) for development of insectival biodiesel. Biotechnol. Biofuels 2019, 12, 194. [Google Scholar] [CrossRef] [PubMed]
- Cohn, Z.; Latty, T.; Abbas, A. Understanding dietary carbohydrates in black soldier fly larvae treatment of organic waste in the circular economy. Waste Manag. 2022, 137, 9–19. [Google Scholar] [CrossRef] [PubMed]
- Li, X.C.; Dong, Y.W.; Sun, Q.X.; Tan, X.H.; You, C.H.; Huang, Y.H.; Zhou, M. Growth and Fatty Acid Composition of Black Soldier Fly Hermetia illucens (Diptera: Stratiomyidae) Larvae Are Influenced by Dietary Fat Sources and Levels. Animals 2022, 12, 486. [Google Scholar] [CrossRef]
- Ewald, N.; Vidakovic, A.; Langeland, M.; Kiessling, A.; Sampels, S.; Lalander, C. Fatty acid composition of black soldier fly larvae (Hermetia illucens)—Possibilities and limitations for modification through diet. Waste Manag. 2020, 102, 40–47. [Google Scholar] [CrossRef]
- Oonincx, D.G.A.B.; Laurent, S.; Veenenbos, M.E.; van Loon, J.J.A. Dietary enrichment of edible insects with omega 3 fatty acids. Insect Sci. 2020, 27, 500–509. [Google Scholar] [CrossRef] [PubMed]
- El-Dakar, M.A.; Ramzy, R.R.; Plath, M.; Ji, H. Evaluating the impact of bird manure vs. mammal manure on Hermetia illucens larvae. J. Clean. Prod. 2021, 278, 123570. [Google Scholar] [CrossRef]
- Li, Q.; Zheng, L.Y.; Qiu, N.; Cai, H.; Tomberlin, J.K.; Yu, Z.N. Bioconversion of dairy manure by black soldier fly (Diptera: Stratiomyidae) for biodiesel and sugar production. Waste Manag. 2011, 31, 1316–1320. [Google Scholar] [CrossRef]
- Mazza, L.; Xiao, X.P.; Rehman, K.U.; Cai, M.M.; Zhang, D.N.; Fasulo, S.; Tomberlin, J.K.; Zheng, L.Y.; Soomro, A.A.; Yu, Z.N.; et al. Management of chicken manure using black soldier fly (Diptera: Stratiomyidae) larvae assisted by companion bacteria. Waste Manag. 2020, 102, 312–318. [Google Scholar] [CrossRef]






Disclaimer/Publisher’s Note: The statements, opinions and data contained in all publications are solely those of the individual author(s) and contributor(s) and not of MDPI and/or the editor(s). MDPI and/or the editor(s) disclaim responsibility for any injury to people or property resulting from any ideas, methods, instructions or products referred to in the content. |
© 2024 by the authors. Licensee MDPI, Basel, Switzerland. This article is an open access article distributed under the terms and conditions of the Creative Commons Attribution (CC BY) license (https://creativecommons.org/licenses/by/4.0/).
Share and Cite
Shen, W.; Ma, X.; Liu, H.; Jia, C.; Xue, R.; Ouyang, H.; Li, Y.; Sun, S.; Dong, X.; Ji, F.; et al. Fatty Acid Bioconversion and Scaling-Up Effects of Swine Manure Treatment with Black Soldier Fly Larvae. Biomass 2024, 4, 1031-1046. https://doi.org/10.3390/biomass4030058
Shen W, Ma X, Liu H, Jia C, Xue R, Ouyang H, Li Y, Sun S, Dong X, Ji F, et al. Fatty Acid Bioconversion and Scaling-Up Effects of Swine Manure Treatment with Black Soldier Fly Larvae. Biomass. 2024; 4(3):1031-1046. https://doi.org/10.3390/biomass4030058
Chicago/Turabian StyleShen, Wenyue, Xiangwei Ma, Hang Liu, Chuheng Jia, Ranxia Xue, Han Ouyang, Yuxin Li, Shibo Sun, Xiaoying Dong, Fengyun Ji, and et al. 2024. "Fatty Acid Bioconversion and Scaling-Up Effects of Swine Manure Treatment with Black Soldier Fly Larvae" Biomass 4, no. 3: 1031-1046. https://doi.org/10.3390/biomass4030058
APA StyleShen, W., Ma, X., Liu, H., Jia, C., Xue, R., Ouyang, H., Li, Y., Sun, S., Dong, X., Ji, F., Xu, J., & Xu, W. (2024). Fatty Acid Bioconversion and Scaling-Up Effects of Swine Manure Treatment with Black Soldier Fly Larvae. Biomass, 4(3), 1031-1046. https://doi.org/10.3390/biomass4030058

