KKR-CPA Study of the Electronic and Magnetic Properties of Transition Metal-Doped AgZnF3 Perovskites
Abstract
1. Introduction
2. Model and Method
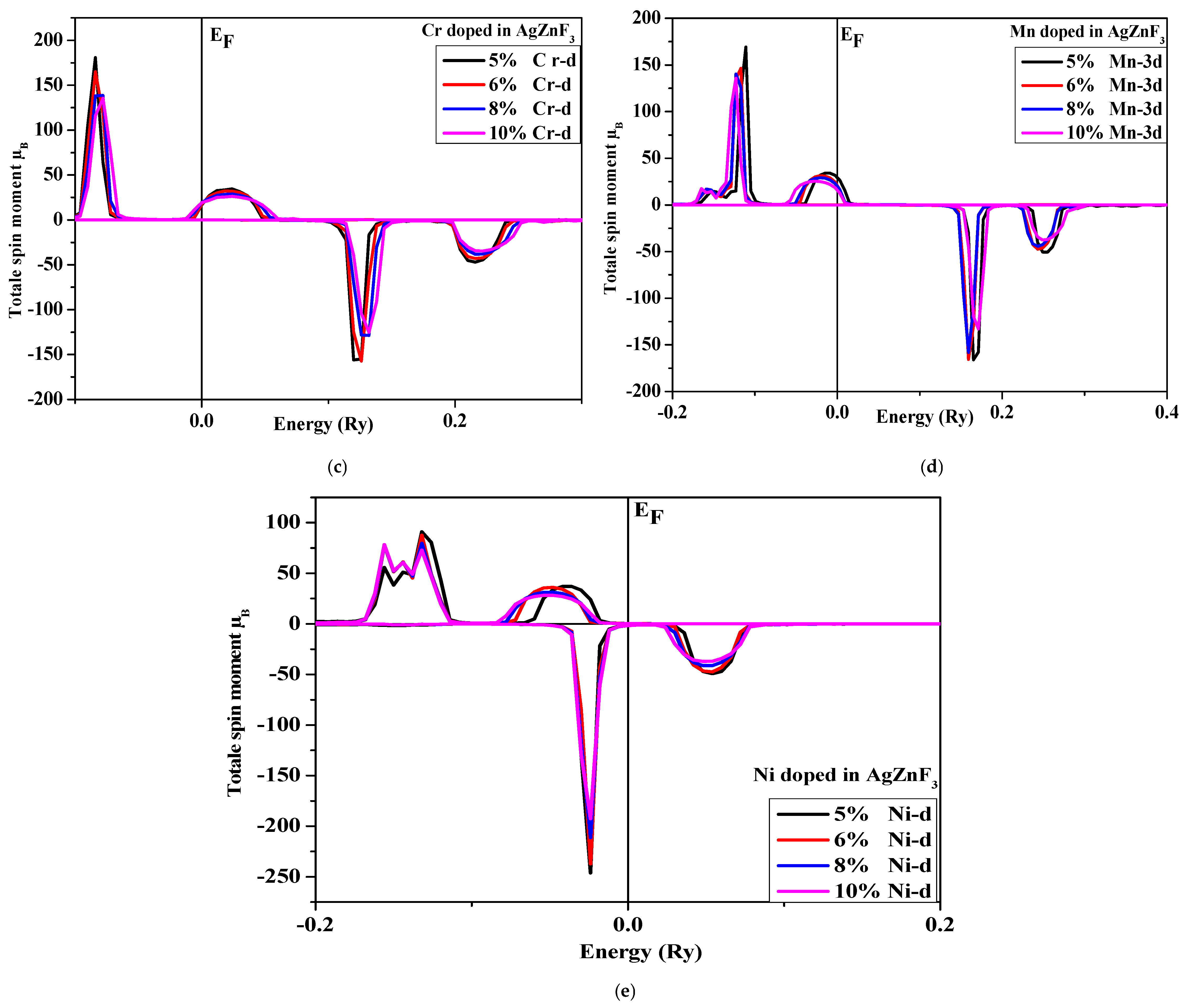
3. Results and Discussion
4. Conclusions
Author Contributions
Funding
Data Availability Statement
Acknowledgments
Conflicts of Interest
References
- Ortega-San-Martin, L. Introduction to perovskites: A historical perspective. In Revolution of Perovskite: Synthesis, Properties and Applications; Springer: Berlin/Heidelberg, Germany, 2020; pp. 1–41. [Google Scholar] [CrossRef]
- Elmeskini, N.; Ziat, Y.; Belkhanchi, H.; Koufi, A. DFT Approach for Improving the Electronic and Optical Properties of Kznf3 Perovskite: Impact of Copper Doping. Sol. Energy Sustain. Dev. J. 2025, 14, 51–66. [Google Scholar] [CrossRef]
- Koufi, A.; Ziat, Y.; Belkhanchi, H. Study of the Gravimetric, Electronic and Thermoelectric Properties of XAlH3 (X = Be, Na, K) as hydrogen storage perovskite using DFT and the BoltzTrap Software Package. Sol. Energy Sustain. Dev. 2024, 14, 53–66. [Google Scholar] [CrossRef]
- Motahhir, H.; Bouzaid, A.; Ziat, Y.; Belkhanchi, H.; Lakouari, N.; Laghlimi, C.; Baghli, F.Z.; Forsal, I. Exploring the Impact of Halogen (F, Cl, Br, I) Doping on CaTiO3: A First Principles Study. E3S Web Conf. 2025, 649, 01006. [Google Scholar] [CrossRef]
- Koufi, A.; Ziat, Y.; Belkhanchi, H.; Bouzaid, A. Investigation of Thermoelectric and Structural Properties of BeAlH3, BeGaH3, and BeInH3 perovskite Hydrides for Energy Applications. Sol. Energy Sustain. Dev. 2025, 14, 1–14. [Google Scholar] [CrossRef]
- Gupta, T.K.; Lodhi, K.; Jeyaseelan, C.; Gupta, D.; Alam, M. Nonmetal oxide perovskite-based materials (carbon-based perovskites and halide-based perovskites). In Perovskite Metal Oxide; Elsevier: Amsterdam, The Netherlands, 2023; pp. 119–140. [Google Scholar] [CrossRef]
- Koufi, A.; Ziat, Y.; Belkhanchi, H.; Zarhri, Z. Effect of (V, Cr, Mn, Ni, and Cu) doping on the electronic structure and magnetic properties of perovskite RbZnF3 alloy: A DFT study. Europ. Phys. J. App Physics. 2025, 100, 9. [Google Scholar] [CrossRef]
- Koufi, A.; Ziat, Y.; Belkhanchi, H.; Miri, M.; Lakouari, N.; Bougayr, E.H.; Baghli, F.Z. A computational study of the structural and thermal conduct of MgCrH3 and MgFeH3 perovskite-type hydrides: FP-LAPW and BoltzTraP insight. E3S Web Conf. 2024, 582, 02003. [Google Scholar] [CrossRef]
- Koufi, A.; Ziat, Y.; Belkhanchi, H.; Bouzaid, A. DFT and BoltzTrap investigations on the thermal and structural characteristics of the perovskite MgCuH3 and MgCoH3. Comput. Condens. Matter 2025, 42, e01010. [Google Scholar] [CrossRef]
- Tian, W.; Zhou, H.; Li, L. Hybrid organic–inorganic perovskite photodetectors. Small 2017, 13, 1702107. [Google Scholar] [CrossRef]
- Boix, P.P.; Nonomura, K.; Mathews, N.; Mhaisalkar, S.G. Current progress and future perspectives for organic/inorganic perovskite solar cells. Mater. Today 2014, 17, 16–23. [Google Scholar] [CrossRef]
- Sleight, A.W.; Weiher, J.F. Magnetic and electrical properties of Ba2MReO6 ordered perovskites. J. Phys. Chem. Solids 1972, 33, 679–687. [Google Scholar] [CrossRef]
- Mandal, T.K.; Felser, C.; Greenblatt, M.; Kübler, J. Magnetic and electronic properties of double perovskites and estimation of their Curie temperatures by ab initio calculations. Phys. Rev. B 2008, 78, 134431. [Google Scholar] [CrossRef]
- Jiang, X.; Kuklin, A.V.; Baev, A.; Ge, Y.; Ågren, H.; Zhang, H.; Prasad, P.N. Two-dimensional MXenes: From morphological to optical, electric, and magnetic properties and applications. Phys. Rep. 2020, 848, 1–58. [Google Scholar] [CrossRef]
- Adinolfi, V.; Peng, W.; Walters, G.; Bakr, O.M.; Sargent, E.H. The electrical and optical properties of organometal halide perovskites relevant to optoelectronic performance. Adv. Mater. 2018, 30, 1700764. [Google Scholar] [CrossRef] [PubMed]
- Pacchioni, G. Highly efficient perovskite LEDs. Nat. Rev. Mater. 2021, 6, 108. [Google Scholar] [CrossRef]
- Zhang, K.; Zhu, N.; Zhang, M.; Wang, L.; Xing, J. Opportunities and challenges in perovskite LED commercialization. J. Mater. Chem. C 2021, 9, 3795–3799. [Google Scholar] [CrossRef]
- Wang, R.; Mujahid, M.; Duan, Y.; Wang, Z.K.; Xue, J.; Yang, Y. A review of perovskites solar cell stability. Adv. Funct. Mater. 2019, 29, 1808843. [Google Scholar] [CrossRef]
- Koufi, A.; Ziat, Y.; Belkhanchi, H. First-principles DFT and BoltzTraP investigation of multifunctional properties of XNiH3 (X = Li, Na, K) perovskite hydrides: Thermoelectric and hydrogen storage potential. Next Energy 2025, 9, 100402. [Google Scholar] [CrossRef]
- Hossain, A.; Roy, S.; Sakthipandi, K. The external and internal influences on the tuning of the properties of perovskites: An overview. Ceram. Int. 2019, 45, 4152–4166. [Google Scholar] [CrossRef]
- Anantharaman, A.; Ajeesha, T.L.; Baby, J.; George, M. Effect of structural, electrical and magneto-optical properties of CeMnxFe1-xO3-δ perovskite materials. Solid State Sci. 2020, 99, 105846. [Google Scholar] [CrossRef]
- Chchiyai, Z.; El Bachraoui, F.; Tamraoui, Y.; Bih, L.; Lahmar, A.; El Marssi, M.; Alami, J.; Manoun, B. Effect of cobalt doping on the crystal structure, magnetic, dielectric, electrical and optical properties of PbTi1−xCoxO3−δ perovskite materials. J. Alloys Compd. 2022, 927, 166979. [Google Scholar] [CrossRef]
- Najar, F.A.; Abass, S.; Sultan, K.; Kharadi, M.A.; Malik, G.F.A.; Samad, R. Comparative study of optical properties of substitutionally doped La2NiMnO6 double perovskite ceramic: A potential candidate for solar cells and dielectrics. Phys. B Condens. Matter 2021, 621, 413311. [Google Scholar] [CrossRef]
- Riaz, S.; Yaseen, M.; Butt, M.K.; Mubashir, S.; Iqbal, J.; Altowyan, A.S.; Dahshan, A.; Murtaza, A.; Iqbal, M.; Laref, A. Physical characteristics of NaTaO3Under pressure for electronic devices. Mater. Sci. Semicond. Process. 2021, 133, 105976. [Google Scholar] [CrossRef]
- Zarhri, Z.; Cano, A.D.; Oubram, O.; Ziat, Y.; Bassam, A. Optical measurements and Burstein Moss effect in optical properties of Nb-doped BaSnO3 perovskite. Micro Nanostructures 2022, 166, 207223. [Google Scholar] [CrossRef]
- Boudad, L.; Taibi, M.; Belayachi, A.; Abd-Lefdil, M. Structural, morphological, dielectric and optical properties of double perovskites RBaFeTiO6 (R = La, Eu). RSC Adv. 2021, 11, 40205–40215. [Google Scholar] [CrossRef] [PubMed]
- Roknuzzaman, M.; Zhang, C.; Ostrikov, K.; Du, A.; Wang, H.; Wang, L.; Tesfamichael, T. Electronic and optical properties of lead-free hybrid double perovskites for photovoltaic and optoelectronic applications. Sci. Rep. 2019, 9, 718. [Google Scholar] [CrossRef]
- Khan, M.S.; Shi, L.; Zou, B.; Ali, S. Theoretical investigation of optoelectronic and magnetic properties of Co-doped ZnS and (Al, Co) co-doped ZnS. Comput. Mater. Sci. 2020, 174, 109491. [Google Scholar] [CrossRef]
- Asghar, M.; Ullah, H.; Iqbal, M.W.; Shin, Y.H. Doping-dependent optoelectronic, and magnetic properties of monolayer SnS. Mater. Sci. Semicond. Process. 2022, 152, 107049. [Google Scholar] [CrossRef]
- Ziat, Y.; Boujnah, M.; Benyoussef, A.; El Kenz, A. Magnetic properties of Co-(Os, Mn) Co-doped ZrO2 within GGA and mBJ approaches. J. Supercond. Nov. Magn. 2015, 28, 3397–3403. [Google Scholar] [CrossRef]
- Ziat, Y.; Zarhri, Z.; Belkhanchi, H. Crystal field, electronegativity and magnetic behavior of Mn-, Fe-, Co- and Ni-doped LiMgN half-Heusler: KKR-CPA approximation. Int. J. Mod. Phys. B 2023, 38, 2450388. [Google Scholar] [CrossRef]
- Tayari, F.; Teixeira, S.S.; Graca, M.P.F.; Nassar, K.I. A comprehensive review of recent advances in perovskite materials: Electrical, dielectric, and magnetic properties. Inorganics 2025, 13, 67. [Google Scholar] [CrossRef]
- Takeuchi, H.; Ebisu, H.; Arakawa, M. An electron paramagnetic resonance study of vanadium centres in RbZnF3 single crystals. J. Phys. Condens. Matter 2008, 20, 055221. [Google Scholar] [CrossRef]
- Ebisu, H.; Takeuchi, H.; Arakawa, M. EPR study of chromium centres formed in hexagonal RbMgF3 and RbZnF3 single crystals. Phys. Status Solidi (b) 2010, 247, 983–988. [Google Scholar] [CrossRef]
- Han, X.; Song, E.; Zhang, S.; Ye, S.; Yang, X.B.; Zhang, Q. Heavy Mn2+-doped near-infrared photon upconversion luminescence in fluoride RbZnF3: Yb3+, Mn2+ guided by dopant distribution simulation. J. Mater. Chem. C 2020, 8, 12. [Google Scholar] [CrossRef]
- Zheng, W.-C.; Yang, W.-Q.; Liu, H.-G. Theoretical studies of the spin-Hamiltonian parameters and defect structure for the tetragonal Gd3+ center in cubic c-RbZnF3 crystal. Philos. Mag. 2011, 91, 4045–4052. [Google Scholar] [CrossRef]
- Reshak, A.H.; Khan, S.; Laref, A.; Murtaza, G.; Bila, J. Pressure induced physical variations in the lead free fluoropervoskites XYF3 (X = K, Rb, Ag; Y = Zn, Sr, Mg): Optical materials. Opt. Mater. 2020, 109, 110325. [Google Scholar] [CrossRef]
- Vaitheeswaran, G.; Kanchana, V.; Zhang, X.; Ma, Y.; Svane, A.; Christensen, N.E. Calculated high-pressure structural properties, lattice dynamics and quasi particle band structures of perovskite fluorides KZnF3, CsCaF3 and BaLiF3. J. Phys. Condens. Matter 2016, 28, 315403. [Google Scholar] [CrossRef]
- Akaogi, M.; Shirako, Y.; Kojitani, H.; Nagakari, T.; Yusa, H.; Yamaura, K. High-pressure transitions in NaZnF3 and NaMnF3 perovskites, and crystal-chemical characteristics of perovskite–postperovskite transitions in ABX3 fluorides and oxides. Phys. Earth Planet. Inter. 2014, 228, 160–169. [Google Scholar] [CrossRef]
- Parke, W.C. Electric and magnetic fields in life. In Biophysics: A Student’s Guide to the Physics of the Life Sciences and Medicine; Springer: Berlin/Heidelberg, Germany, 2020; pp. 183–204. [Google Scholar]
- Kohn, W. Nobel Lecture: Electronic structure of matter—Wave functions and density functionals. Rev. Mod. Phys. 1999, 71, 1253. [Google Scholar] [CrossRef]
- Fischer, M.; Evers, F.O.; Formalik, F.; Olejniczak, A. Benchmarking DFT-GGA calculations for the structure optimisation of neutral-framework zeotypes. Theor. Chem. Acc. 2016, 135, 257. [Google Scholar] [CrossRef]
- Vega, L.; Vines, F. Generalized gradient approximation adjusted to transition metals properties: Key roles of exchange and local spin density. J. Comput. Chem. 2020, 41, 2598–2603. [Google Scholar] [CrossRef]
- Pochareddy, S.A.; Nicholson, A.P.; Thiyagarajan, A.; Shah, A.; Sampath, W.S. Structural and electronic calculations of CdTe using DFT: Exchange–correlation functionals and DFT-1/2 corrections. J. Electron. Mater. 2021, 50, 2216–2222. [Google Scholar] [CrossRef]
- Turek, I.; Drchal, V.; Kudrnovský, J.; Sob, M.; Weinberger, P. Electronic Structure of Disordered Alloys, Surfaces and Interfaces; Springer: New York, NY, USA, 2013. [Google Scholar]
- Abrikosov, I.A.; Ruban, A.V.; Johansson, B.; Skriver, H.L. Total energy calculations of random alloys: Supercell, Connolly-Williams, and CPA methods. Comput. Mater. Sci. 1998, 10, 302–305. [Google Scholar] [CrossRef]
- Saint-Cricq, M. Modélisation des Coefficients de Transport Thermoélectriques des Alliages Métalliques Multicomposants. Ph.D. Dissertation, Université Grenoble Alpes, Grenoble, France, 2020. [Google Scholar]
- Sabry, A.; Essajai, R.; Salmani, E.; Fahoom, M.; Hassanain, N.; Mzerd, A.; Ez-Zahraouy, H. DFT study, Mean-Field Approximation and Monte-Carlo simulation of physical properties of Fe and Cr doped and co-doped GaN. Solid State Commun. 2021, 340, 114509. [Google Scholar] [CrossRef]
- Akai, H.; Dederichs, P.H. Local moment disorder in ferromagnetic alloys. Phys. Rev. B 1993, 47, 8739. [Google Scholar] [CrossRef]
- Hiadsi, S.; Bouafia, H.; Sahli, B.; Abidri, B.; Bouaza, A.; Akriche, A. Structural, mechanical, electronic and thermal properties of KZnF3 and AgZnF3 Perovskites: FP-(L) APW+ lo calculations. Solid State Sci. 2016, 58, 1–13. [Google Scholar] [CrossRef]
- Perdew, J.P.; Chevary, J.A.; Vosko, S.H.; Jackson, K.A.; Pederson, M.R.; Singh, D.J.; Fiolhais, C. Atoms, molecules, solids, and surfaces: Applications of the generalized gradient approximation for exchange and correlation. Phys. Rev. B 1992, 46, 6671. [Google Scholar] [CrossRef]
- Ziat, Y.; Zarhri, Z.; Lakhal, Y.; Baghli, F.Z. Electronegativity and magnetic correlation in Cr-, Mn-, Co- and Ni-doped LiMgP half-Heusler as promised ferromagnetism material: A DFT study. Int. J. Mod. Phys. B 2023, 37, 2350226. [Google Scholar] [CrossRef]
- Sato, K.; Katayama-Yoshida, H. Ab initio study on the magnetism in ZnO-, ZnS-, ZnSe-and ZnTe-based diluted magnetic semiconductors. Phys. Status Solidi (b) 2002, 229, 673–680. [Google Scholar] [CrossRef]
- Pham, A.; Zhang, Y.B.; Assadi, M.H.N.; Yu, A.B.; Li, S. Ferromagnetism in ZnO: Co originating from a hydrogenated Co–O–Co complex. J. Phys. Condens. Matter 2013, 25, 116002. [Google Scholar] [CrossRef]








| AgZnF3 | 0.0000 | 0.00000 | 0.00000 | - | 0.00000 |
| AgZn0.95Ti0.05F3 | 0.0569 | 0.00185 | 0.00039 | 0.76864 | 0.00014 |
| AgZn0.95V0.05F3 | 0.1121 | 0.00097 | 0.00016 | 1.89319 | 0.00042 |
| AgZn0.95Cr0.05F3 | 0.1636 | 0.00128 | 0.00032 | 2.87408 | 0.00060 |
| AgZn0.95Mn0.05F3 | 0.2361 | 0.00335 | 0.00081 | 3.94794 | 0.00410 |
| AgZn0.95Ni0.05F3 | 0.1001 | 0.00008 | 0.00223 | 1.54726 | 0.00660 |
Disclaimer/Publisher’s Note: The statements, opinions and data contained in all publications are solely those of the individual author(s) and contributor(s) and not of MDPI and/or the editor(s). MDPI and/or the editor(s) disclaim responsibility for any injury to people or property resulting from any ideas, methods, instructions or products referred to in the content. |
© 2026 by the authors. Licensee MDPI, Basel, Switzerland. This article is an open access article distributed under the terms and conditions of the Creative Commons Attribution (CC BY) license.
Share and Cite
Koufi, A.; Ziat, Y.; Belkhanchi, H. KKR-CPA Study of the Electronic and Magnetic Properties of Transition Metal-Doped AgZnF3 Perovskites. Magnetism 2026, 6, 14. https://doi.org/10.3390/magnetism6010014
Koufi A, Ziat Y, Belkhanchi H. KKR-CPA Study of the Electronic and Magnetic Properties of Transition Metal-Doped AgZnF3 Perovskites. Magnetism. 2026; 6(1):14. https://doi.org/10.3390/magnetism6010014
Chicago/Turabian StyleKoufi, Ayoub, Younes Ziat, and Hamza Belkhanchi. 2026. "KKR-CPA Study of the Electronic and Magnetic Properties of Transition Metal-Doped AgZnF3 Perovskites" Magnetism 6, no. 1: 14. https://doi.org/10.3390/magnetism6010014
APA StyleKoufi, A., Ziat, Y., & Belkhanchi, H. (2026). KKR-CPA Study of the Electronic and Magnetic Properties of Transition Metal-Doped AgZnF3 Perovskites. Magnetism, 6(1), 14. https://doi.org/10.3390/magnetism6010014

