Robust Global Trends during Pandemics: Analysing the Interplay of Biological and Social Processes
Abstract
1. Introduction
2. Structure of Infection and Fatality Rate Time Series
3. Finding Typical Fatality Rates in Global Data
3.1. The Correlation Network and Its Communities
3.2. Clustering of Time Series within Communities
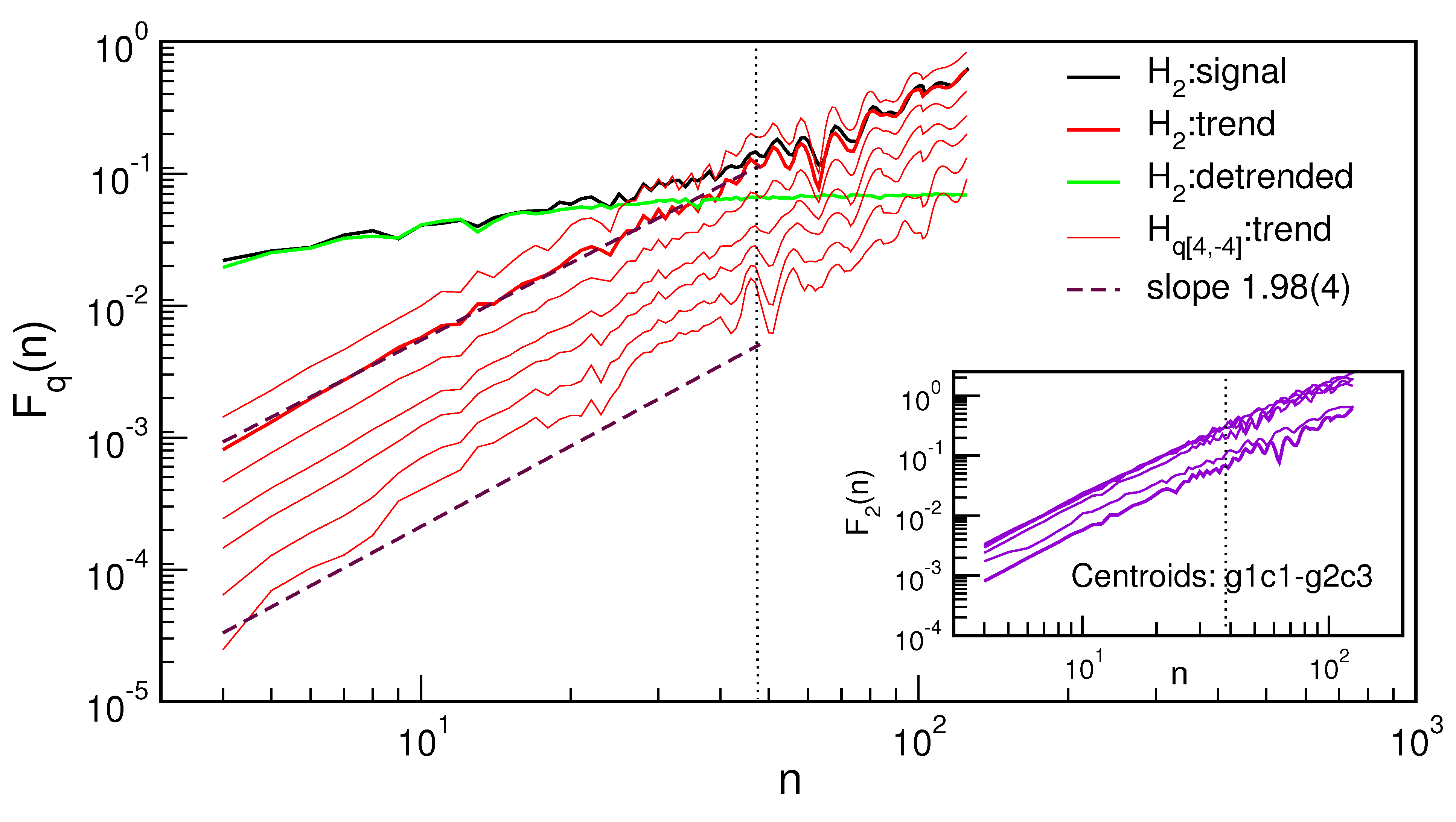
4. Multifractal Fluctuations around Typical Cycles
5. Discussion and Conclusions
Author Contributions
Funding
Data Availability Statement
Conflicts of Interest
References
- Piret, J.; Boivin, G. Pandemics Throughout History. Front. Microbiol. 2021, 11, 631736. [Google Scholar] [CrossRef] [PubMed]
- Contreras, S.; Iftekhar, E.N.; Priesemann, V. From emergency response to long-term management: The many faces of the endemic state of COVID-19. Lancet Reg. Health 2023, 30, 100664. [Google Scholar] [CrossRef] [PubMed]
- Wissler, A.; DeWitte, S.N. Frailty and survival in the 1918 influenza pandemic. Proc. Natl. Acad. Sci. USA 2023, 120, e2304545120. [Google Scholar] [CrossRef] [PubMed]
- Wu, T. The socioeconomic and environmental drivers of the COVID-19 pandemic: A review. Ambio 2021, 50, 822–833. [Google Scholar] [CrossRef] [PubMed]
- Richardson, E.T.; Barrie, M.B.; Kelly, J.D.; Dibba, Y.; Koedoyoma, S.; Farmer, P.E. Biosocial Approaches to the 2013–2016 Ebola Pandemic. Health Hum. Rights 2016, 18, 115–128. [Google Scholar] [PubMed]
- Fronteira, I.; Sidat, M.; Magalhães, J.P.; de Barros, F.P.C.; Delgado, A.P.; Correia, T.; Daniel-Ribeiro, C.T.; Ferrinho, P. The SARS-CoV-2 pandemic: A syndemic perspective. ONE Health 2021, 12, 100228. [Google Scholar] [CrossRef]
- Ilic, B.; Salom, I.; Djordjevic, M.; Djordjevic, M. An analytical framework for understanding infection progression under social mitigation measures. Nonlinear Dyn. 2023, s11071, 08692. [Google Scholar] [CrossRef]
- Saad-Roy, C.M.; Levin, S.A.; Grenfell, B.T.; Boots, M. Epidemiological impacts of post-infection mortality. Proc. R. Soc. B 2023, 290, 20230343. [Google Scholar] [CrossRef]
- Kasson, P.M. Infectious disease research in the era of big data. Annu. Rev. Biomed. Data Sci. 2020, 3, 43–59. [Google Scholar] [CrossRef]
- Tadić, B.; Melnik, R. Self-organised critical dynamics as a key to fundamental features of complexity in physical, biological, and social networks. Dynamics 2021, 1, 181–197. [Google Scholar] [CrossRef]
- Wagner, J.; Bauer, S.; Contreras, S.; Fleddermann, L.; Parlitz, U.; Priesemann, V. Societal feedback induces complex and chaotic dynamics in endemic infectious diseases. MedRxiv 2023. [Google Scholar] [CrossRef]
- Davis, H.E.; McCorkell, L.; Vogel, J.M.; Topol, E.J. Long covid: Major findings, mechanisms and recommendations. Nat. Rev. Microbiol. 2023, 21, 133–146. [Google Scholar] [CrossRef] [PubMed]
- Annual Reviews Artice Collection Corrona Virus Reasearch. Available online: https://www.annualreviews.org/page/corona-virus-research (accessed on 31 October 2023).
- Zhang, W.; Liu, S.; Osgood, N.; Zhu, H.; Qian, Y.; Jia, P. Using simulation modelling and systems science to help contain COVID-19: A systematic review. Syst. Res. Behav. Sci. 2023, 40, 207–234. [Google Scholar] [CrossRef] [PubMed]
- Ilbeigipour, S.; Albadvi, A.; Akhondzadeh Noughabi, E. Cluster-based analysis of COVID-19 cases using self-organizing map neural network and k-means methods to improve medical decision-making. Inform. Med. Unlocked 2022, 32, 101005. [Google Scholar] [CrossRef]
- Gohari, K.; Kazemnejad, A.; Sheidaei, A.; Hajari, S. Clustering of countries according to the COVID-19 incidence and mortality rates. BMC Public Health 2022, 12, 632. [Google Scholar] [CrossRef]
- Luo, Z.; Zhang, L.; Liu, N.; Wu, Y. Time series clustering of COVID-19 pandemic-related data. Data Sci. Manag. 2023, 6, 79–87. [Google Scholar] [CrossRef]
- Djordjevic, M.; Rodic, A.; Salom, I.; Zigic, D.; Milicevic, O.; Ilic, B.; Djordjevic, M. A systems biology approach to COVID-19 progression in population. Adv. Protein Chem. Struct. Biol. 2021, 127, 291–314. [Google Scholar]
- Živković, J.; Tadić, B.; Wick, N.; Thurner, S. Statistical indicators of collective behavior and functional clusters in gene networks of yeast. Eur. Phys. J. -Condens. Matter Complex Syst. 2006, 50, 255–258. [Google Scholar] [CrossRef][Green Version]
- Borrego-Salcido, C.; Juarez-Del-Toro, R.; Fonseca-Zendejas, A.S. The waves and cycles of COVID-19 pandemic: A phase synchronization approach. Austrian J. Stat. 2023, 52, 25–38. [Google Scholar] [CrossRef]
- Han, C.; Li, M.; Haimabo, N.; Babuna, P.; Liu, Q.; Zhao, X.; Jaeger, C.; Li, Y.; Yang, S. Mechanisms of recurrent outbreak of COVID-19: A model-based study. Nonlinear Dyn. 2021, 106, 1169–1185. [Google Scholar] [CrossRef]
- Garrido, J.M.; Martínez-Rodríguez, D.; Rodríguez-Serrano, F.; Pérez-Villares, J.M.; Ferreiro-Marzal, A.; Jiménez-Quintana, M.M.; Villanueva, R.J. Mathematical model optimized for prediction and health care planning for COVID-19. Med. Intensiv. 2022, 46, 248–258. [Google Scholar] [CrossRef] [PubMed]
- Haug, N.; Geyrhofer, L.; Londei, A.; Dervic, E.; Desvars-Larrive, A.; Loreto, V.; Pinior, B.; Thurner, S.; Klimek, P. Ranking the effectiveness of worldwide COVID-19 government interventions. Nat. Hum. Behav. 2020, 4, 1303–1312. [Google Scholar] [CrossRef] [PubMed]
- Burgos, C.; Cortes, J.C.; Pinto, C.; Villanueva, R.J. Computing the probability density function of a random compartmental model to describe the dynamics of hiv. Application to real-world data. In Proceedings of the 2023 International Conference on Fractional Differentiation and Its Applications (ICFDA), Ajman, United Arab Emirates, 14–16 March 2023; p. 10153250. [Google Scholar]
- Cao, Q.; Heydari, B. Micro-level social structures and the success of COVID-19 national policies. Nat. Comput. Sci. 2022, 2, 595–604. [Google Scholar] [CrossRef]
- Smith, M.K.; Machalaba, C.C.; Seifman, R.; Feferholtz, Y.; Karesh, W.B. Infectious disease and economics: The case for considering multi-sectorial impact. ONE Health 2019, 7, 100080. [Google Scholar] [CrossRef] [PubMed]
- Mamelund, S.-E.; Shelley-Egan, C.; Rogeberg, O. The association between socioeconomic status and pandemic influenza: Systematic review and meta-analysis. PLoS ONE 2021, 16, e0244346. [Google Scholar] [CrossRef]
- Goenka, A.; Liu, L. Infectious deseases, human capital and economic growth. Econ. Theory 2020, 70, 1–47. [Google Scholar] [CrossRef]
- COVID-19 Socio-Economic Impact, United Nations Development Programme. Available online: https://www.undp.org/coronavirus/socio-economic-impact-covid-19 (accessed on 26 October 2023).
- Tang, J.W.; Caniza, M.A.; Dinn, M.; Dwyer, D.E.; Heraud, J.M.; Jennings, L.C.; Kok, J.; Kwok, K.O.; Li, Y.; Loh, T.P.; et al. An exploration of the political, social, economic and cultural factors affecting how different global regions reacted to the COVID-19 pandemic. Interface Focus 2022, 12, 20210079. [Google Scholar] [CrossRef]
- Djordjevic, M.; Djordjevic, M.; Ilic, B.; Stojku, S.; Salom, I. Understanding infection progression under strong control measures through universal COVID-19 growth signatures. Glob. Chall. 2021, 5, 2000101. [Google Scholar] [CrossRef]
- Tadić, B.; Melnik, R. Modeling latent infection transmissions through biosocial stochastic dynamics. PLoS ONE 2020, 15, e0241163. [Google Scholar] [CrossRef]
- Tadić, B.; Melnik, R. Microscopic dynamics modeling unravels the role of asymptomatic virus carriers in SARS-CoV-2 epidemics at the interplay between biological and social factors. Comput. Biol. Med. 2021, 133, 104422. [Google Scholar] [CrossRef]
- Kano, T.; Yasui, K.; Mikami, T.; Asally, M.; Ishiguro, A. An agent-based model of the interrelation between the COVID-19 outbreak and economic activities. Proceed. Roy Soc. A 2020, 477, 20200604. [Google Scholar] [CrossRef] [PubMed]
- Jemli, R.; Chtourou, N. Economic Agents’ Behaviors during the Coronavirus Pandemic: Theoretical Overview and Prospective Approach. J. Knowl. Econ. 2022, s13132, 01027. [Google Scholar] [CrossRef]
- Tadić, B.; Dankulov, M.M.; Melnik, R. Analysis of worldwide time-series data reveals some universal patterns of evolution of the SARS-CoV-2 pandemic. Front. Phys. 2022, 10, 936618. [Google Scholar]
- Juanico, D.E.O. Recurrent epidemic cycles driven by intervention in a population of two susceptibility types. J. Phys. Conf. Ser. 2014, 490, 012188. [Google Scholar] [CrossRef]
- Tkachenko, A.V.; Maslov, S.; Wang, T.; Elbana, A.; Wong, G.N.; Goldenfeld, N. Stochastic social behavior coupled to COVID-19 dynamics leads to waves, plateaus, and an endemic state. eLife 2021, 10, e68341. [Google Scholar] [CrossRef]
- Gostiaux, L.; Bos, W.J.T.; Bertoglio, J.-P. Periodic epidemic outbursts explained by local saturation of clusters. Phys. Rev. E 2023, 107, L012201. [Google Scholar] [CrossRef]
- Wang, W.; Wu, G.; Wang, X.; Feng, Z. Dynamics of a reaction-advection-diffusion model for cholera transmission with human behavior change. J. Differ. Equ. 2023, 373, 176–215. [Google Scholar] [CrossRef]
- Jódar, L.; Villanueva, R.J.; Arenas, A.J.; González, G.C. Nonstandard numerical methods for a mathematical model for influenza disease. Math. Comput. Simul. 2008, 79, 622–633. [Google Scholar] [CrossRef]
- Taylor, S. Newblock The Psychology of Pandemics. Annu. Rev. Clin. Psychol. 2022, 18, 581–609. [Google Scholar] [CrossRef]
- Msemburi, W.; Karlinsky, A.; Knutson, V.; Aleshin-Guendel, S.; Chatterji, S.; Wakefield, J. The WHO estimates of excess mortality associated with the COVID-19 pandemic. Nature 2023, 613, 130–137. [Google Scholar] [CrossRef]
- Tadić, B.; Dankulov, M.M.; Melnik, R. Evolving cycles and self-organised criticality in social dynamics. Chaos Solitons Fractals 2023, 171, 113459. [Google Scholar] [CrossRef]
- Hu, J.; Gao, J.; Wang, X. Multifractal analysis of sunspot time series: The effects of the 11-year cycle and fourier truncation. J. Stat. Mech. Theory Exp. 2009, 2009, P02066. [Google Scholar] [CrossRef]
- Šuvakov, M.; Mitrović, M.; Gligorijević, V.; Tadić, B. How the online social networks are used: Dialogues-based structure of myspace. J. R. Soc. Interface 2013, 10, 20120819. [Google Scholar] [CrossRef] [PubMed]
- Alimohamadi, Y.; Tola, H.H.; Abbasi-Ghahramanloo, A.; Janani, M.; Sepandi, M. Case fatality rate of COVID-19: A systematic review and meta-analysis. J. Prev. Med. Hyg. 2021, 62, E311. [Google Scholar] [PubMed]
- Tadić, B.; Mitrović, M. Jamming and correlation patterns in traffic of information on sparse modular networks. Eur. Phys. J. 2009, 71, 631–640. [Google Scholar] [CrossRef]
- Baruchi, I.; Ben-Jacob, E. Functional holography of recorded neuronal networks activity. Neuroinformatics 2004, 2, 333–351. [Google Scholar] [CrossRef]
- Madi, A.; Friedman, Y.; Roth, D.; Regev, T.; Bransburg-Zabary, S.; Jacob, E.B. Genome holography: Deciphering function-form motifs from gene expression data. PLoS ONE 2008, 3, e2708. [Google Scholar] [CrossRef]
- Dorogovtsev, S.N. Lectures on Complex Networks; Oxford Master Series in Statistical, Computational, and Theoretical Physics; Oxford University Press Inc.: New York, NY, USA, 2010. [Google Scholar]
- Biyikoglu, T.; Leydold, J.; Stadler, P.F. Laplacian Eigenvectors of Graphs: Perron-Frobenius and Faber-Krahn Type Theorems; Springer: Berlin/Heidelberg, Germany, 2007. [Google Scholar]
- Mitrović, M.; Tadić, B. Spectral and dynamical properties in classes of sparse networks with mesoscopic inhomogeneities. Phys. Rev. E 2009, 80, 026123. [Google Scholar] [CrossRef]
- Tavenard, R.; Faouzi, J.; Vandewiele, G.; Divo, F.; Androz, G.; Holtz, C.; Payne, M.; Yurchak, R.; Rußwurm, M.; Kolar, K.; et al. Tslearn, a machine learning toolkit for time series data. J. Mach. Learn. Res. 2020, 21, 1–6. [Google Scholar]
- Kantelhardt, J.W.; Zschiegner, S.A.; Koscielny-Bunde, E.; Havlin, S.; Bunde, A.; Stanley, H.E. Multifractal detrended fluctuation analysis of nonstationary time series. Phys. Stat. Mech. Its Appl. 2002, 316, 87–114. [Google Scholar] [CrossRef]
- Pavlov, A.N.; Anishchenko, V.S. Multifractal analysis of complex signals. Phys.-Uspekhi 2007, 50, 819. [Google Scholar] [CrossRef]
- Tadić, B. Multifractal analysis of barkhausen noise reveals the dynamic nature of criticality at hysteresis loop. J. Stat. Mech. Theory Exp. 2016, 2016, 063305. [Google Scholar] [CrossRef]
- Djordjević, M.; Salom, I.; Markovic, S.; Rodic, A.; Milicevic, O.; Djordjevic, M. Inferring the Main Drivers of SARS-CoV-2 Global Transmissibility by Feature Selection Methods. GeoHealth 2021, 5, e2021GH000432. [Google Scholar] [CrossRef] [PubMed]







Disclaimer/Publisher’s Note: The statements, opinions and data contained in all publications are solely those of the individual author(s) and contributor(s) and not of MDPI and/or the editor(s). MDPI and/or the editor(s) disclaim responsibility for any injury to people or property resulting from any ideas, methods, instructions or products referred to in the content. |
© 2023 by the authors. Licensee MDPI, Basel, Switzerland. This article is an open access article distributed under the terms and conditions of the Creative Commons Attribution (CC BY) license (https://creativecommons.org/licenses/by/4.0/).
Share and Cite
Mitrović Dankulov, M.; Tadić, B.; Melnik, R. Robust Global Trends during Pandemics: Analysing the Interplay of Biological and Social Processes. Dynamics 2023, 3, 764-776. https://doi.org/10.3390/dynamics3040041
Mitrović Dankulov M, Tadić B, Melnik R. Robust Global Trends during Pandemics: Analysing the Interplay of Biological and Social Processes. Dynamics. 2023; 3(4):764-776. https://doi.org/10.3390/dynamics3040041
Chicago/Turabian StyleMitrović Dankulov, Marija, Bosiljka Tadić, and Roderick Melnik. 2023. "Robust Global Trends during Pandemics: Analysing the Interplay of Biological and Social Processes" Dynamics 3, no. 4: 764-776. https://doi.org/10.3390/dynamics3040041
APA StyleMitrović Dankulov, M., Tadić, B., & Melnik, R. (2023). Robust Global Trends during Pandemics: Analysing the Interplay of Biological and Social Processes. Dynamics, 3(4), 764-776. https://doi.org/10.3390/dynamics3040041
