Antibacterial Activity of the Pyrogallol against Staphylococcus aureus Evaluated by Optical Image
Abstract
1. Introduction
2. Results
2.1. Minimum Inhibitory Concentration (MIC)
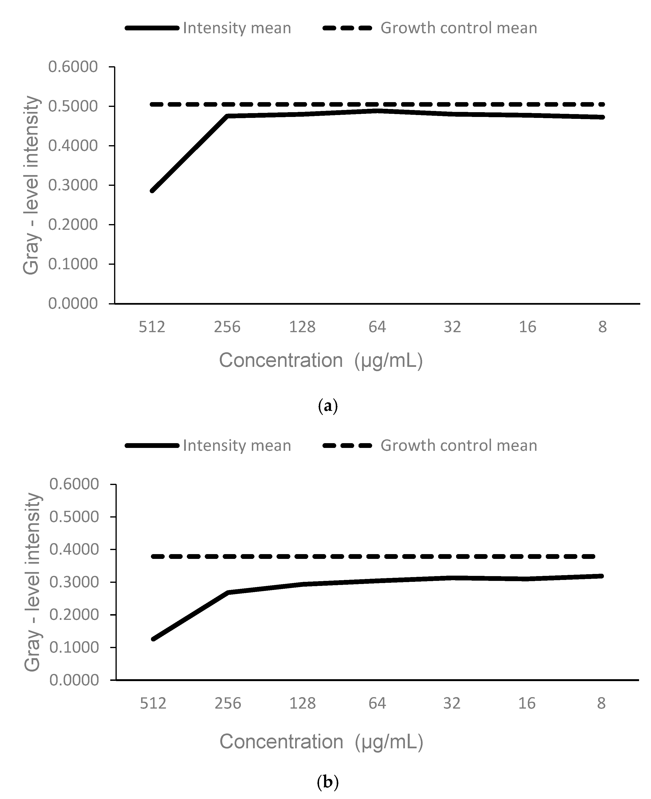
2.2. RGB Images
3. Discussion
4. Materials and Methods
4.1. Bacterial Strains
4.2. Culture Media
4.3. Substance
4.4. Minimum Inhibitory Concentration Assays
4.5. The Proposed Method
5. Conclusions
Author Contributions
Funding
Institutional Review Board Statement
Informed Consent Statement
Data Availability Statement
Acknowledgments
Conflicts of Interest
References
- Sousa Silveira, Z.d.; Macêdo, N.S.; Sampaio dos Santos, J.F.; Sampaio de Freitas, T.; Rodrigues dos Santos Barbosa, C.; Júnior, D.L.d.S.; Muniz, D.F.; Castro de Oliveira, L.C.; Júnior, J.P.S.; Cunha, F.A.B.d.; et al. Evaluation of the Antibacterial Activity and Efflux Pump Reversal of Thymol and Carvacrol against Staphylococcus aureus and Their Toxicity in Drosophila melanogaster. Molecules 2020, 25, 2103. [Google Scholar] [CrossRef] [PubMed]
- dos Santos, J.F.S.; Tintino, S.R.; de Freitas, T.S.; Campina, F.F.; de A. Menezes, I.R.; Siqueira-Júnior, J.P.; Coutinho, H.D.M.; Cunha, F.A.B. In vitro e in silico evaluation of the inhibition of Staphylococcus aureus efflux pumps by caffeic and gallic acid. Comp. Immunol. Microbiol. Infect. Dis. 2018, 57, 22–28. [Google Scholar] [CrossRef] [PubMed]
- Tintino, S.R.; de Souza, V.C.A.; da Silva, J.M.A.; de M. Oliveira-Tintino, C.D.; Pereira, P.S.; Leal-Balbino, T.C.; Pereira-Neves, A.; Siqueira-Junior, J.P.; da Costa, J.G.M.; Rodrigues, F.F.G.; et al. Effect of Vitamin K3 Inhibiting the Function of NorA Efflux Pump and Its Gene Expression on Staphylococcus aureus. Membranes 2020, 10, 130. [Google Scholar]
- Araújo, A.C.J.; Freitas, P.R.; Rodrigues, C.S.B.; Muniz, D.F.; Rocha, J.E.; Albuquerque, A.C.S.; Oliveira-Tintino, C.D.M.; Ribeiro-Filho, J.; Silva, L.E.; Confortin, C.; et al. GC-MS-FID characterization and antibacterial activity of the Mikania cordifolia essential oil and limonene against MDR strains. Food Chem. Toxicol. 2020, 136, 111023. [Google Scholar] [CrossRef] [PubMed]
- CLSI. Methods for Dilution Antimicrobial Susceptibility Tests for Bacteria That Grow Aerobically-CLSI. Clin. Lab. Standars Inst. 2015, 32, 18. [Google Scholar]
- Murari, A.L.; Carvalho, F.H.; Heinzmann, B.M.; Michelot, T.M.; Hörner, R.; Mallmann, C.A. Composição e atividade antibacteriana dos óleos essenciais de Senecio crassiflorus var. crassiflorus. Química Nova 2008, 31, 1081–1084. [Google Scholar] [CrossRef][Green Version]
- Lambert, R.J.W.; Pearson, J. Susceptibility testing: Accurate and reproducible minimum inhibitory concentration (MIC) and non-inhibitory concentration (NIC) values. J. Appl. Microbiol. 2000, 88, 784–790. [Google Scholar] [CrossRef]
- Tong, S.Y.C.; Davis, J.S.; Eichenberger, E.; Holland, T.L.; Fowler, V.G. Staphylococcus aureus Infections: Epidemiology, Pathophysiology, Clinical Manifestations, and Management. Clin. Microbiol. Rev. 2015, 28, 603–661. [Google Scholar] [CrossRef]
- Youssef, D.; Molony, K. Staphylococcus aureus Bacteremia in Adults. In Frontiers in Staphylococcus aureus; InTech: Johnson City, TN, USA, 2017; Volume 395, pp. 116–124. [Google Scholar]
- Akanbi, O.E.; Njom, H.A.; Fri, J.; Otigbu, A.C.; Clarke, A.M. Antimicrobial Susceptibility of Staphylococcus aureus Isolated from Recreational Waters and Beach Sand in Eastern Cape Province of South Africa. Int. J. Environ. Res. Public Health 2017, 14, 1001. [Google Scholar] [CrossRef]
- Grace, D.; Fetsch, A. Staphylococcus aureus—A Foodborne Pathogen. In Staphylococcus aureus; Elsevier: Amsterdam, The Netherlands, 2018; pp. 3–10. [Google Scholar]
- Rossiter, S.E.; Fletcher, M.H.; Wuest, W.M. Natural Products as Platforms to Overcome Antibiotic Resistance. Chem. Rev. 2017, 117, 12415–12474. [Google Scholar] [CrossRef]
- Pasdaran, A.; Hamedi, A. Natural Products as Source of New Antimicrobial Compounds for Skin Infections, 1st ed.; Elsevier Inc.: Amsterdam, The Netherlands, 2017; Volume 2. [Google Scholar]
- Sarikaya, O.S.B. Acethylcholinesterase inhibitory potential and antioxidant properties of pyrogallol. J. Enzym. Inhib. Med. Chem. 2015, 30, 761–766. [Google Scholar] [CrossRef] [PubMed]
- Revathi, S.; Hakkim, F.L.; Kumar, N.R.; Bakshi, H.A.; Rashan, L.; Al-Buloshi, M.; Hasson, S.S.A.A.; Krishnan, M.; Javid, F.; Nagarajan, K. Induction of HT-29 Colon Cancer Cells Apoptosis by Pyrogallol with Growth Inhibiting Efficacy Against Drug-Resistant Helicobacter pylori. Anti-Cancer Agents Med. Chem. 2019, 18, 1875–1884. [Google Scholar] [CrossRef] [PubMed]
- Kocaçalışkan, I.; Talan, I.; Terzi, I. Antimicrobial Activity of Catechol and Pyrogallol as Allelochemicals. Z. Naturforsch. C 2006, 61, 639–642. [Google Scholar] [CrossRef] [PubMed]
- Florence, C.I.; Hery, S.; Akhmad, D. Antibacterial and antioxidant activities of pyrogallol and synthetic pyrogallol dimer. Res. J. Chem. Environ. 2018, 22, 39–47. [Google Scholar]
- Tinh, T.H.; Nuidate, T.; Vuddhakul, V.; Rodkhum, C. Antibacterial Activity of Pyrogallol, a Polyphenol Compound against Vibrio parahaemolyticus Isolated from The Central Region of Thailand. Procedia Chem. 2016, 18, 162–168. [Google Scholar] [CrossRef]
- Parvekar, P.; Palaskar, J.; Metgud, S.; Maria, R.; Dutta, S. The minimum inhibitory concentration (MIC) and minimum bactericidal concentration (MBC) of silver nanoparticles against Staphylococcus aureus. Biomater. Investig. Dent. 2020, 7, 105–109. [Google Scholar] [CrossRef]
- Wiegand, I.; Hilpert, K.; Hancock, R.E.W. Agar and broth dilution methods to determine the minimal inhibitory concentration (MIC) of antimicrobial substances. Nat. Protoc. 2008, 3, 163–175. [Google Scholar] [CrossRef]
- Li, J.; Xie, S.; Ahmed, S.; Wang, F.; Gu, Y.; Zhang, C.; Chai, X.; Wu, Y.; Cai, J.; Cheng, G. Antimicrobial activity and resistance: Influencing factors. Front. Pharmacol. 2017, 8, 364. [Google Scholar] [CrossRef]
- Eloff, J.N. Avoiding pitfalls in determining antimicrobial activity of plant extracts and publishing the results. BMC Compl. Altern. Med. 2019, 19, 106. [Google Scholar] [CrossRef]
- Elshikh, M.; Ahmed, S.; Funston, S.; Dunlop, P.; McGaw, M.; Marchant, R.; Banat, I.M. Resazurin-based 96-well plate microdilution method for the determination of minimum inhibitory concentration of biosurfactants. Biotechnol. Lett. 2016, 38, 1015–1019. [Google Scholar] [CrossRef]
- Jorgensen, J.H.; Ferraro, M.J. Antimicrobial susceptibility testing: A review of general principles and contemporary practices. Clin. Infect. Dis. 2009, 49, 1749–1755. [Google Scholar] [CrossRef] [PubMed]
- Jacob, S.W.; Herschler, R. Biological Actions of Dimethyl Sulfoxide. Ann. N. Y. Acad. Sci. 1975, 243, 104–109. [Google Scholar]
- Javadpour, M.M.; Juban, M.M.; Lo, W.-C.J.; Bishop, S.M.; Alberty, J.B.; Cowell, S.M.; Becker, C.L.; McLaughlin, M.L. De Novo Antimicrobial Peptides with Low Mammalian Cell Toxicity. J. Med. Chem. 1996, 39, 3107–3113. [Google Scholar] [CrossRef] [PubMed]









| Concentration (µg/mL) | Gray Levels Intensity | Intensity Mean | Standard Deviation | |||||
|---|---|---|---|---|---|---|---|---|
| 512 | 0.3072 | 0.2915 | 0.2758 | 0.2797 | 0.2745 | 0.2876 | 0.2861 | 0.0123 |
| 256 | 0.5556 | 0.4627 | 0.4392 | 0.4275 | 0.4471 | 0.5190 | 0.4752 | 0.0508 |
| 128 | 0.5320 | 0.4771 | 0.4797 | 0.4601 | 0.4745 | 0.4536 | 0.4795 | 0.0277 |
| 64 | 0.5229 | 0.4876 | 0.4562 | 0.4693 | 0.4745 | 0.5216 | 0.4887 | 0.0279 |
| 32 | 0.5451 | 0.4850 | 0.4706 | 0.4732 | 0.4654 | 0.4405 | 0.4800 | 0.0351 |
| 16 | 0.5320 | 0.4771 | 0.4549 | 0.4837 | 0.4706 | 0.4458 | 0.4773 | 0.0303 |
| 8 | 0.5137 | 0.4810 | 0.4654 | 0.4523 | 0.4562 | 0.4654 | 0.4723 | 0.0226 |
| Control | 0.5320 | 0.5046 | 0.5046 | 0.4863 | 0.4928 | 0.5098 | 0.5050 | 0.0158 |
| Concentration (µg/mL) | Gray Levels Intensity | Intensity Mean | Standard Deviation | |||||
|---|---|---|---|---|---|---|---|---|
| 512 | 0.1346 | 0.1203 | 0.1190 | 0.1281 | 0.1190 | 0.1320 | 0.1255 | 0.0070 |
| 256 | 0.3556 | 0.2627 | 0.2327 | 0.2118 | 0.2719 | 0.2745 | 0.2682 | 0.0493 |
| 128 | 0.3830 | 0.2706 | 0.2444 | 0.2876 | 0.3085 | 0.2654 | 0.2932 | 0.0490 |
| 64 | 0.3660 | 0.2928 | 0.2458 | 0.3216 | 0.3255 | 0.2719 | 0.3039 | 0.0428 |
| 32 | 0.3268 | 0.2902 | 0.2784 | 0.2993 | 0.3621 | 0.3229 | 0.3133 | 0.0303 |
| 16 | 0.3725 | 0.2588 | 0.2588 | 0.2797 | 0.2601 | 0.2601 | 0.3100 | 0.0452 |
| 8 | 0.4392 | 0.2993 | 0.2784 | 0.3320 | 0.2902 | 0.2732 | 0.3187 | 0.0626 |
| Control | 0.3987 | 0.3922 | 0.3804 | 0.3634 | 0.4078 | 0.3320 | 0.3791 | 0.0277 |
| Concentration (µg/mL) | Gray Levels Intensity | Intensity Mean | Standard Deviation | |||||
|---|---|---|---|---|---|---|---|---|
| 512 | 0.2954 | 0.2993 | 0.2784 | 0.2784 | 0.2758 | 0.2837 | 0.2852 | 0.0099 |
| 256 | 0.5150 | 0.4588 | 0.4562 | 0.4444 | 0.4301 | 0.4523 | 0.4595 | 0.0291 |
| 128 | 0.5150 | 0.4797 | 0.4680 | 0.4601 | 0.4549 | 0.4601 | 0.4730 | 0.0223 |
| 64 | 0.5242 | 0.4889 | 0.4601 | 0.4641 | 0.4680 | 0.4562 | 0.4769 | 0.0258 |
| 32 | 0.5150 | 0.4850 | 0.4680 | 0.4627 | 0.4562 | 0.4157 | 0.4671 | 0.0329 |
| 16 | 0.5242 | 0.4876 | 0.4654 | 0.4536 | 0.4693 | 0.4392 | 0.4732 | 0.0297 |
| 8 | 0.5229 | 0.4915 | 0.4536 | 0.4497 | 0.4484 | 0.4497 | 0.4693 | 0.0310 |
| Control | 0.5569 | 0.5163 | 0.5072 | 0.4771 | 0.5320 | 0.5046 | 0.5157 | 0.0270 |
Publisher’s Note: MDPI stays neutral with regard to jurisdictional claims in published maps and institutional affiliations. |
© 2022 by the authors. Licensee MDPI, Basel, Switzerland. This article is an open access article distributed under the terms and conditions of the Creative Commons Attribution (CC BY) license (https://creativecommons.org/licenses/by/4.0/).
Share and Cite
Oliveira, L.C.C.; Rodrigues, F.A.A.; dos Santos Barbosa, C.R.; dos Santos, J.F.S.; Macêdo, N.S.; de Sousa Silveira, Z.; Coutinho, H.D.M.; da Cunha, F.A.B. Antibacterial Activity of the Pyrogallol against Staphylococcus aureus Evaluated by Optical Image. Biologics 2022, 2, 139-150. https://doi.org/10.3390/biologics2020011
Oliveira LCC, Rodrigues FAA, dos Santos Barbosa CR, dos Santos JFS, Macêdo NS, de Sousa Silveira Z, Coutinho HDM, da Cunha FAB. Antibacterial Activity of the Pyrogallol against Staphylococcus aureus Evaluated by Optical Image. Biologics. 2022; 2(2):139-150. https://doi.org/10.3390/biologics2020011
Chicago/Turabian StyleOliveira, Lígia C. C., Francisco A. A. Rodrigues, Cristina Rodrigues dos Santos Barbosa, Joycy Francely Sampaio dos Santos, Nair Silva Macêdo, Zildene de Sousa Silveira, Henrique Douglas Melo Coutinho, and Francisco Assis Bezerra da Cunha. 2022. "Antibacterial Activity of the Pyrogallol against Staphylococcus aureus Evaluated by Optical Image" Biologics 2, no. 2: 139-150. https://doi.org/10.3390/biologics2020011
APA StyleOliveira, L. C. C., Rodrigues, F. A. A., dos Santos Barbosa, C. R., dos Santos, J. F. S., Macêdo, N. S., de Sousa Silveira, Z., Coutinho, H. D. M., & da Cunha, F. A. B. (2022). Antibacterial Activity of the Pyrogallol against Staphylococcus aureus Evaluated by Optical Image. Biologics, 2(2), 139-150. https://doi.org/10.3390/biologics2020011

