Enantiomers and Their Resolution
Definition
:1. Introduction
and
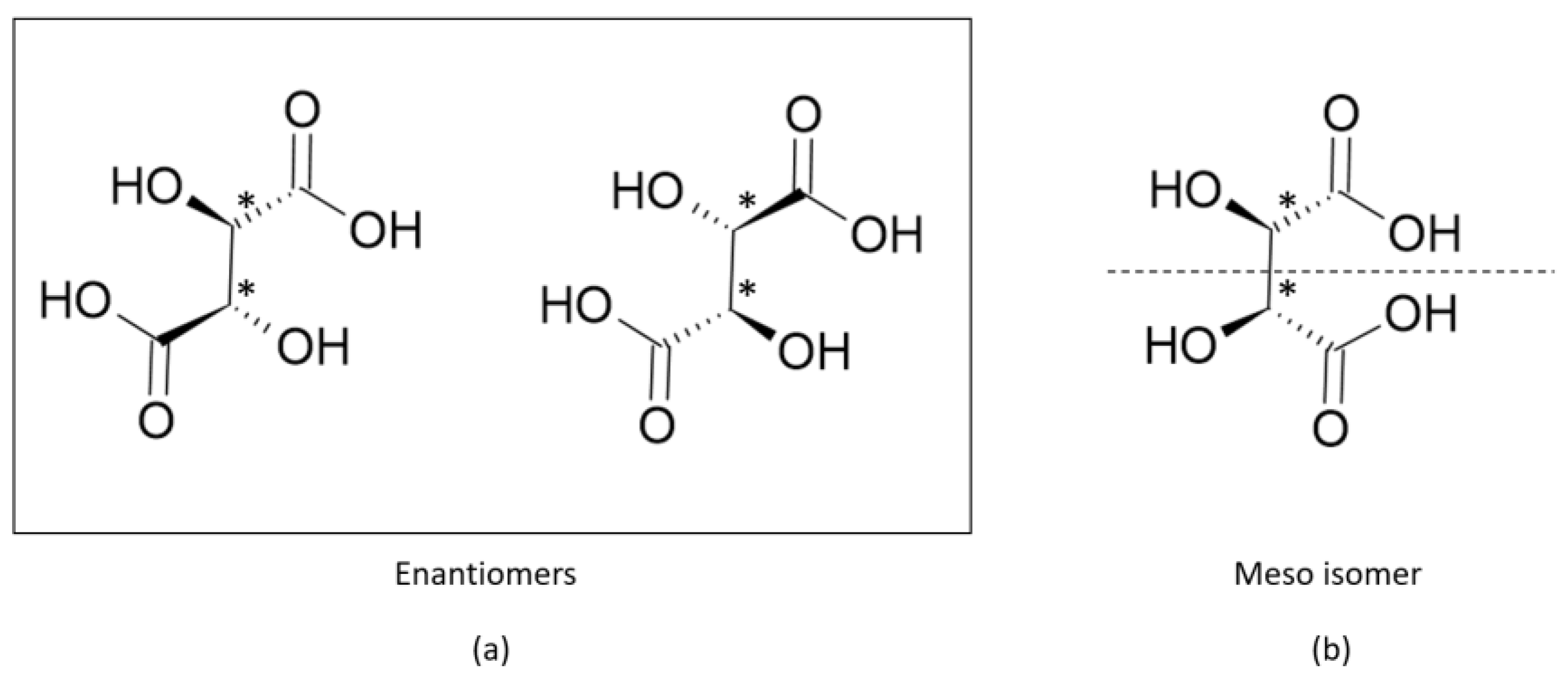
) representing bonds that are projected out towards and retreating from the viewer, respectively. At least two equal bonds make up the atom achiral; therefore it does not form optical isomers. The number of chiral carbons determines the number of enantiomers of a compound, as given by:2. Nomenclature
3. Enantiomers and the Human Body
4. Enantiomeric Drug Market
5. Enantioresolution
5.1. Crystallization
| Enantiomers | Ref. |
|---|---|
| Ketoprofen | [36] |
| 5-ethyl-5-methylhydantoin | [39] |
| Threonine | [42] |
| Aspartic acid and glutamic acid | [43] |
| Propranolol | [44] |
| N-methylamphetamine | [45] |
| Threonine | [46] |
| Mandelic acid | [47] |
| Chiral microspheres based on poly(N-vinyl a-L-phenylalanine) | [48] |
| Benzo-(c)phenanthrene, 3,4-dehydroproline anhydride, and 2,6-dimethylglycoluril | [49] |
| 2-(2-oxopyrrolidin-1-yl)butanamide | [50] |
| Allenyl-bis-phosphine oxides | [51] |
| Leucine | [52] |
| Ibuprofen lysine | [53] |
5.2. Membrane
5.3. Chromatography
5.3.1. GC—Gas Chromatography
5.3.2. SFC—Supercritical Fluid Chromatography
5.3.3. LC—Liquid Chromatography
6. Conclusions
Author Contributions
Funding
Conflicts of Interest
Entry Link on the Encyclopedia Platform
References
- Johnson, M. Integrating Health Information: A Case Study of a Health Information Service for Thalidomide Survivors. Inform. Health Soc. Care 2007, 32, 27–33. [Google Scholar] [CrossRef]
- Maier, N.; Pilar, F.; Lindner, W. Separation of Enantiomers: Needs, Challenges, Perspectives. J. Chromatogr. A 2001, 906, 3–33. [Google Scholar] [CrossRef]
- Molbase. Available online: http://www.molbase.com/ (accessed on 28 January 2019).
- Pais, L.M.S. Chiral Separation by Simulated Moving Bed Chromatography; Universidade do Porto: Campo Alegre, Porto, 1999. [Google Scholar]
- Lough, W.J. Chiral Liquid Chromatography; Springer: New York, NY, USA, 1989. [Google Scholar]
- CAS. Available online: https://www.cas.org/ (accessed on 24 November 2021).
- Rang, H.; Ritter, J.M.; Flower, R.J.; Henderson, G. Farmacologia; Elsevier: Philadelphia, PA, USA, 2020. [Google Scholar]
- José, I.; De Veredas, V.; Antônio, M.; Costapinto, C.; José, M.; Carpes, S.; Duarte, R. Cromatografia em leito móvel simulado na produção de substâncias enantiomericamente puras ou enriquecidas em larga escala. Quim. Nova 2006, 29, 1027–1037. [Google Scholar]
- Aboul-Enein, H.Y.; Wainer, I.W. The Impact of Stereochemistry on Drug Development and Use; Winefordner, J.D., Ed.; Wiley-Interscience: Montreal, QC, Canada, 1997. [Google Scholar]
- Caldwell, J. Stereochemical Determinants of the Nature and Consequences. J. Chromatogr. A 1995, 694, 39–48. [Google Scholar] [CrossRef]
- Caldwell, J. Importance of Stereospecific Bioanalytical Monitoring in Drug Development. J. Chromatogr. A 1996, 719, 3–13. [Google Scholar] [CrossRef]
- Ariëns, E.J. Stereochemistry: A Source of Problems in Medicinal Chemistry. Med. Res. Rev. 1986, 6, 451–466. [Google Scholar] [CrossRef] [PubMed]
- Gal, J. The Discovery of Stereoselectivity at Biological Receptors: Arnaldo Piutti and the Taste of the Asparagine Enantiomers—History and Analysis on the 125th Anniversary. Eikasmos 2012, 24, 19. [Google Scholar] [CrossRef]
- Mannschreck, A.; Kiesswetter, R.; von Angerer, E. Unequal Activities of Enantiomers via Biological Receptors: Examples of Chiral Drug, Pesticide, and Fragrance Molecules. J. Chem. Educ. 2007, 84, 2012. [Google Scholar] [CrossRef]
- Kurt, J. Histology and Cell Biology, 2nd ed.; Elsevier, Ed.; Harwal Medical Publications: Baltimore, MD, USA, 1991. [Google Scholar]
- Sanz-Medel, A.; Blanco-González, E. Chiral Trace-Element Speciation in Biological Samples: Present Importance and Application to Speciation for Seleno-Amino Acids. Trends Anal. Chem. 2002, 21, 709–716. [Google Scholar] [CrossRef]
- Ali, I.; Alam, S.D.; Al-Othman, Z.A.; Farooqi, J.A. Recent Advances in SPE-Chiral-HPLC Methods for Enantiomeric Separation of Chiral Drugs in Biological Samples. J. Chromatogr. Sci. 2013, 51, 645–654. [Google Scholar] [CrossRef]
- Bhupinder Singh Sekhon. Enantioseparation of Chiral Drugs—An Overview. Int. J. PharmTech Res. 2010, 2, 1584–1594. [Google Scholar]
- Erb, S. Single-Enantiomer Drugs Poised for Further Market Growth. Pharm. Technol. 2006, 30, s14–s18. [Google Scholar]
- Technology Catalysts. Available online: https://technology-catalysts.com/industry-expertise/fine/ (accessed on 29 January 2019).
- De Camp, W.H. The FDA Perspective on the Development of Stereoisomers. Chirality 1989, 1, 2–6. [Google Scholar] [CrossRef]
- FDA. FDA’S Policy Statement for the Development of New Stereoisomeric Drugs; FDA: Silver Spring, MD, USA, 1992; Volume 4.
- Rekoske, J.E. Chiral Separations I Figure I. Distrib. Drugs Dev. Worldw. 2001, 47, 2–5. [Google Scholar]
- Rouhi, A.M. Fine Chemicals Companies Are Jockeying for Position to Deliver the Increasingly Complicated Chiral Small Molecules of the Future. Chem. Eng. News 2003, 81, 45–61. [Google Scholar] [CrossRef]
- Pharmacompass. Available online: https://www.pharmacompass.com/radio-compass-blog/top-drugs-by-sales-in-2017-who-sold-the-blockbuster-drugs (accessed on 19 December 2021).
- Hajos, Z.G.; Parrish, D.R. Asymmetric Synthesis of Bicyclic Intermediates of Natural Product Chemistry. J. Org. Chem. 1974, 39, 1615–1621. [Google Scholar] [CrossRef]
- Keith, J.M.; Larrow, J.F.; Jacobsen, E.N. Practical Considerations in Kinetic Resolution Reactions. Adv. Synth. Catal. 2001, 343, 5–26. [Google Scholar] [CrossRef]
- Trost, B.M. Atom Economy—A Challenge for Organic Synthesis: Homogeneous Catalysis Leads the Way. Angew. Chem. Int. Ed. Engl. 1995, 34, 259–281. [Google Scholar] [CrossRef]
- Carvalho, P.O.; Cass, Q.B.; Calafatti, S.A.; Contesini, F.J.; Bizaco, R. Review-Alternatives for the Separation of Drug Enantiomers: Ibuprofen as a Model Compound. Braz. J. Chem. Eng. 2006, 23, 291–300. [Google Scholar] [CrossRef]
- Dalgliesh, C.E. The Optical Resolution of Aromatic Amino-Acids on Paper Chromatograms. J. Chem. Soc. 1952, 3, 756. [Google Scholar] [CrossRef]
- Afonso, C.A.M.; Crespo, J.G. Recent Advances in Chiral Resolution through Membrane-Based Approaches. Angew. Chem. Int. Ed. Engl. 2004, 43, 5293–5295. [Google Scholar] [CrossRef] [PubMed]
- Pirkle, W.H.; Pochapsky, T.C. Considerations of Chiral Recognition Relevant to the Liquid Chromatographic Separation of Enantiomers. Chem. Rev. 1989, 89, 347–362. [Google Scholar] [CrossRef]
- Singh, K.; Ingole, P.G.; Bajaj, H.C.; Gupta, H. Preparation, Characterization and Application of β-Cyclodextrin-Glutaraldehyde Crosslinked Membrane for the Enantiomeric Separation of Amino Acids. Desalination 2012, 298, 13–21. [Google Scholar] [CrossRef]
- Francotte, E.R. Enantioselective Chromatography as a Powerful Alternative for the Preparation of Drug Enantiomers. J. Chromatogr. A 2001, 906, 379–397. [Google Scholar] [CrossRef]
- Ward, T.J.; Ward, K.D. Chiral Separations: A Review of Current Topics and Trends. Anal. Chem. 2012, 84, 626–635. [Google Scholar] [CrossRef] [PubMed]
- Adrjanowicz, K.; Kaminski, K.; Paluch, M.; Niss, K. Crystallization Behavior and Relaxation Dynamics of Supercooled S-Ketoprofen and the Racemic Mixture along an Isochrone. Cryst. Growth Des. 2015, 15, 3257–3263. [Google Scholar] [CrossRef]
- Collet, A.; Brienne, M.J.; Jacques, J. Optical Resolution by Direct Crystallization of Enantiomer Mixtures. Chem. Rev. 1980, 80, 215–230. [Google Scholar] [CrossRef]
- Lorenz, H.; Seidel-Morgenstern, A. Processes to Separate Enantiomers. Angew. Chem. Int. Ed. 2014, 53, 1218–1250. [Google Scholar] [CrossRef]
- Gervais, C.; Beilles, S.; Cardinaël, P.; Petit, S.; Coquerel, G. Oscillating Crystallization in Solution between (+)- and (-)-5-Ethyl-5-Methylhydantoin under the Influence of Stirring. J. Phys. Chem. B 2002, 106, 646–652. [Google Scholar] [CrossRef]
- Xie, R.; Chu, L.Y.; Deng, J.G. Membranes and Membrane Processes for Chiral Resolution. Chem. Soc. Rev. 2008, 37, 1243–1263. [Google Scholar] [CrossRef]
- Collet, A. Resolution of Racemates: Did You Say “Classical”? Angew. Chem. Int. Ed. 1998, 37, 3239–3241. [Google Scholar] [CrossRef]
- Rodrigo, A.A.; Lorenz, H.; Seidel-Morgenstern, A. Online Monitoring of Preferential Crystallization of Enantiomers. Chirality 2004, 16, 499–508. [Google Scholar] [CrossRef] [PubMed]
- Viedma, C. Enantiomeric Crystallization from DL-Aspartic and DL-Glutamic Acids. Implic. Biomol. Chirality Orig. Life 2001, 31, 501–509. [Google Scholar]
- Ge, S.H.; Li, X.G.; Hsing, I.M. Water Management in PEMFCs Using Absorbent Wicks. J. Electrochem. Soc. 2004, 151, B523. [Google Scholar] [CrossRef]
- Kmecz, I.; Simándi, B.; Székely, E.; Fogassy, E. Resolution of N-Methylamphetamine Enantiomers with Tartaric Acid Derivatives by Supercritical Fluid Extraction. Tetrahedron Asymmetry 2004, 15, 1841–1845. [Google Scholar] [CrossRef]
- Elsner, M.P.; Menéndez, D.F.; Muslera, E.A.; Seidel-Morgenstern, A. Experimental Study and Simplified Mathematical Description of Preferential Crystallization. Chirality 2005, 17, 183–195. [Google Scholar] [CrossRef] [PubMed]
- Lorenz, H.D.P.; Seidel-Morgenstern, A. Application of Preferential Crystallization to Resolve Racemic Compounds in a Hybrid Process. Chirality 2006, 18, 828–840. [Google Scholar] [CrossRef] [PubMed]
- Medina, D.D.; Goldshtein, J.; Margel, S.; Mastai, Y. Enantioselective Crystallization on Chiral Polymeric Microspheres. Adv. Funct. Mater. 2007, 17, 944–950. [Google Scholar] [CrossRef]
- D’Oria, E.; Karamertzanis, P.G.; Price, S.L. Spontaneous Resolution of Enantiomers by Crystallization: Insights from Computed Crystal Energy Landscapes. Cryst. Growth Des. 2010, 10, 1749–1756. [Google Scholar] [CrossRef]
- Springuel, G.; Leyssens, T. Innovative Chiral Resolution Using Enantiospecific Co-Crystallization in Solution. Cryst. Growth Des. 2012, 12, 3374–3378. [Google Scholar] [CrossRef]
- Gangadhararao, G.; Tulichala, R.N.P.; Swamy, K.C.K. Spontaneous Resolution upon Crystallization of Allenyl-Bis-Phosphine Oxides. Chem. Commun. 2015, 51, 7168–7171. [Google Scholar] [CrossRef]
- Manoj, K.; Takahashi, H.; Morita, Y.; Gonnade, R.G.; Iwama, S.; Tsue, H.; Tamura, R. Preferential Enrichment of DL-Leucine Using Cocrystal Formation With Oxalic Acid Under Nonequilibrium Crystallization Conditions. Chirality 2015, 27, 405–410. [Google Scholar] [CrossRef] [PubMed]
- Simon, M.; Donnellan, P.; Glennon, B.; Jones, R.C. Resolution via Diastereomeric Salt Crystallization of Ibuprofen Lysine: Ternary Phase Diagram Studies. Chem. Eng. Technol. 2018, 41, 921–927. [Google Scholar] [CrossRef]
- Rougeot, C.; Hein, J.E. Application of Continuous Preferential Crystallization to Efficiently Access Enantiopure Chemicals. Org. Process. Res. Dev. 2015, 19, 1809–1819. [Google Scholar] [CrossRef]
- Fogassy, E.; Nógrádi, M.; Kozma, D.; Egri, G.; Pálovics, E.; Kiss, V. Optical Resolution Methods. Org. Biomol. Chem. 2006, 4, 3011–3030. [Google Scholar] [CrossRef] [PubMed]
- Van Der Ent, E.M.; Van Riet, K.; Keurentjes, J.T.F.; Van Der Padt, A. Design Criteria for Dense Permeation-Selective Membranes for Enantiomer Separations. J. Membr. Sci. 2001, 185, 207–221. [Google Scholar] [CrossRef]
- Higuchi, A.; Higuchi, Y.; Furuta, K.; Yoon, B.O.; Hara, M.; Maniwa, S.; Saitoh, M.; Sanui, K. Chiral Separation of Phenylalanine by Ultrafiltration through Immobilized DNA Membranes. J. Memb. Sci. 2003, 221, 207–218. [Google Scholar] [CrossRef]
- Matsuoka, Y.; Kanda, N.; Lee, Y.M.; Higuchi, A. Chiral Separation of Phenylalanine in Ultrafiltration through DNA-Immobilized Chitosan Membranes. J. Memb. Sci. 2006, 280, 116–123. [Google Scholar] [CrossRef]
- Fernandes, C.; Tiritan, M.E.; Pinto, M.M.M. Chiral Separation in Preparative Scale: A Brief Overview of Membranes as Tools for Enantiomeric Separation. Symmetry 2017, 9, 206. [Google Scholar] [CrossRef]
- Kaner, R.B. Gas, Liquid and Enantiomeric Separations Using Polyaniline. Synth. Met. 2001, 125, 65–71. [Google Scholar] [CrossRef]
- Thoelen, C.; De Bruyn, M.; Theunissen, E.; Kondo, Y.; Vankelecom, I.F.J.; Grobet, P.; Yoshikawa, M.; Jacobs, P.A. Membranes Based on Poly(γ-Methyl-L-Glutamate): Synthesis, Characterization and Use in Chiral Separations. J. Memb. Sci. 2001, 186, 153–163. [Google Scholar] [CrossRef]
- Hadik, P.; Szabó, L.P.; Nagy, E. D,L-Lactic Acid and D,L-Alanine Enantioseparation by Membrane Process. Desalination 2002, 148, 193–198. [Google Scholar] [CrossRef]
- Donato, L.; Figoli, A.; Drioli, E. Novel Composite Poly(4-Vinylpyridine)/Polypropylene Membranes with Recognition Properties for (S)-Naproxen. J. Pharm. Biomed. Anal. 2005, 37, 1003–1008. [Google Scholar] [CrossRef]
- Gumí, T.; Valiente, M.; Palet, C. Elucidation of SR-Propranolol Transport Rate and Enantioselectivity through Chiral Activated Membranes. J. Memb. Sci. 2005, 256, 150–157. [Google Scholar]
- Higuchi, A.; Hayashi, A.; Kanda, N.; Sanui, K.; Kitamura, H. Chiral Separation of Amino Acids in Ultrafiltration through DNA-Immobilized Cellulose Membranes. J. Mol. Struct. 2005, 739, 145–152. [Google Scholar] [CrossRef]
- Ghazali, N.F.; Ferreira, F.C.; White, A.J.P.; Livingston, A.G. Enantiomer Separation by Enantioselective Inclusion Complexation-Organic Solvent Nanofiltration. Tetrahedron Asymmetry 2006, 17, 1846–1852. [Google Scholar] [CrossRef]
- Maximini, A.; Chmiel, H.; Holdik, H.; Maier, N.W. Development of a Supported Liquid Membrane Process for Separating Enantiomers of N-Protected Amino Acid Derivatives. J. Memb. Sci. 2006, 276, 221–231. [Google Scholar] [CrossRef]
- Wang, H.D.; Chu, L.Y.; Song, H.; Yang, J.P.; Xie, R.; Yang, M. Preparation and Enantiomer Separation Characteristics of Chitosan/β-Cyclodextrin Composite Membranes. J. Memb. Sci. 2007, 29, 262–270. [Google Scholar] [CrossRef]
- Xiao, Y.; Chung, T.S. Functionalization of Cellulose Dialysis Membranes for Chiral Separation Using Beta-Cyclodextrin Immobilization. J. Memb. Sci. 2007, 290, 78–85. [Google Scholar] [CrossRef]
- Xiong, W.W.; Wang, W.F.; Zhao, L.; Song, Q.; Yuan, L.M. Chiral Separation of (R,S)-2-Phenyl-1-Propanol through Glutaraldehyde-Crosslinked Chitosan Membranes. J. Memb. Sci. 2009, 328, 268–272. [Google Scholar] [CrossRef]
- Singh, K.; Bajaj, H.C.; Ingole, P.; Bhattacharya, A. Comparative Study of Enantioseparation of Racemic Tryptophan by Ultrafiltration Using BSA-Immobilized and BSA-Interpenetrating Network Polysulfone Membranes. Sep. Sci. Technol. 2010, 45, 346–354. [Google Scholar] [CrossRef]
- Wang, Z.; Cai, C.; Lin, Y.; Bian, Y.; Guo, H.; Chen, X. Enantioselective Separation of Ketoconazole Enantiomers by Membrane Extraction. Sep. Purif. Technol. 2011, 79, 63–71. [Google Scholar] [CrossRef]
- Sunsandee, N.; Leepipatpiboon, N.; Ramakul, P.; Pancharoen, U. The Selective Separation of (S)-Amlodipine via a Hollow Fiber Supported Liquid Membrane: Modeling and Experimental Verification. Chem. Eng. J. 2012, 180, 299–308. [Google Scholar] [CrossRef]
- Naksang, C.; Sunsandee, N.; Thamphiphit, N.; Pancharoen, U.; Ramakul, P.; Leepipatpiboon, N. Synergistic Enantioseparation of Rac-Phenylalanine via Hollow Fiber Supported Liquid Membrane. Sep. Sci. Technol. 2013, 48, 867–876. [Google Scholar] [CrossRef]
- Alizadeh, T. Synthesis of a Nano-Sized Chiral Imprinted Polymer and Its Use as an (S)-Atenolol Carrier in the Bulk Liquid Membrane. J. Sep. Sci. 2014, 37, 1887–1895. [Google Scholar] [CrossRef] [PubMed]
- Zhang, F.; He, L.; Sun, W.; Cheng, Y.; Liu, J.; Ren, Z. Chiral Liquid Membrane for Enantioselective Separation of Racemic Ibuprofen by L-Tartaric Acid Derivatives. RSC Adv. 2015, 5, 41729–41735. [Google Scholar] [CrossRef]
- Meng, C.; Sheng, Y.; Chen, Q.; Tan, H.; Liu, H. Exceptional Chiral Separation of Amino Acid Modified Graphene Oxide Membranes with High-Flux. J. Memb. Sci. 2017, 526, 25–31. [Google Scholar] [CrossRef]
- Huang, X.Y.; Pei, D.; Liu, J.F.; Di, D.L. A Review on Chiral Separation by Counter-Current Chromatography: Development, Applications and Future Outlook. J. Chromatogr. A 2018, 1531, 1–12. [Google Scholar] [CrossRef]
- Keating, J.J.; Bhattacharya, S.; Belfort, G. Separation of D, L-Amino Acids Using Ligand Exchange Membranes. J. Memb. Sci. 2018, 555, 30–37. [Google Scholar] [CrossRef]
- Anand, D.; Dhoke, G.V.; Gehrmann, J.; Garakani, T.M.; Davari, M.D.; Bocola, M.; Zhu, L.; Schwaneberg, U. Chiral Separation of d/l-Arginine with Whole Cells through an Engineered FhuA Nanochannel. Chem. Commun. 2019, 55, 5431–5434. [Google Scholar] [CrossRef]
- D’Orazio, G.; Fanali, C.; Gentili, A.; Tagliaro, F.; Fanali, S. Nano-Liquid Chromatography for Enantiomers Separation of Baclofen by Using Vancomycin Silica Stationary Phase. J. Chromatogr. A 2019, 1605, 6–13. [Google Scholar] [CrossRef]
- Hadjmohammadi, M.R.; Hashemi, M. Chiral Separation of Methadone Using Solid Membrane Extraction Based on Chiral Selector, Solid Membrane: Sheep Skin Leather. J. Iran. Chem. Soc. 2019, 16, 1611–1616. [Google Scholar] [CrossRef]
- Rodrigues, A.E.; Pereira, C.; Minceva, M.; Pais, L.S.; Ribeiro, A.M.; Ribeiro, A.; Silva, M.; Graça, N.; Santos, J.C. Simulated Moving Bed Technology: Principles, Design and Process Applications; Joe Hayton: Amsterdam, The Netherlands, 2015. [Google Scholar]
- Audebert, R. Direct Resolution of Enantiomers in Column Liouid Chromatography. J. Liq. Chromatogr. 1979, 2, 1063–1095. [Google Scholar] [CrossRef]
- Gil-Av, E.; Feibush, B.; Charles-Sigler, R. Separation of Enantiomers by Gas Liquid Chrimatography with an Optically Active Stationary Phase. Br. J. Psychiatry 1966, 10, 1009–1015. [Google Scholar]
- He, L.; Beesley, T.E. Applications of Enantiomeric Gas Chromatography: A Review. J. Liq. Chromatogr. Relat. Technol. 2005, 28, 1075–1114. [Google Scholar] [CrossRef]
- Zhang, Y.; Wu, D.R.; Wang-Iverson, D.B.; Tymiak, A.A. Enantioselective Chromatography in Drug Discovery. Drug Discov. Today 2005, 10, 571–577. [Google Scholar] [CrossRef]
- Schurig, V. Enantiomer Analysis by Complexation Gas Chromatography. J. Chromatogr. A 1988, 441, 135–153. [Google Scholar] [CrossRef]
- Schurig, V.; Kreidler, D. Gas-Chromatographic Enantioseparation of Unfunctionalized Chiral Hydrocarbons: An Overview. Methods Mol. Biol. 2013, 970, 45–67. [Google Scholar]
- Lang, J.C.; Armstrong, D.W. Chiral Surfaces: The Many Faces of Chiral Recognition. Curr. Opin. Colloid Interface Sci. 2017, 32, 94–107. [Google Scholar] [CrossRef]
- Kim, K.H.; Lee, J.H.; Ko, M.Y.; Hong, S.P.; Youm, J.R. Chiral Separation of β-Blockers after Derivatization with (-)-AMethoxy-α-(Trifluoromethyl)Phenylacetyl Chloride by Gas Chromatography. Arch. Pharm. Res. 2001, 24, 402–406. [Google Scholar] [CrossRef]
- Shellie, R.; Marriott, P.J. Comprehensive Two-Dimensional Gas Chromatography with Fast Enantioseparation. Anal. Chem. 2002, 74, 5426–5430. [Google Scholar] [CrossRef] [PubMed]
- Ding, J.; Welton, T.; Armstrong, D.W. Chiral Ionic Liquids as Stationary Phases in Gas Chromatography. Anal. Chem. 2004, 76, 6819–6822. [Google Scholar] [CrossRef] [PubMed]
- Paik, M.J.; Nguyen, D.T.; Kim, K.R. Enantioseparation of Flurbiprofen and Ketoprofen in Patches and in Urine Excretions by Achiral Gas Chromatography. Arch. Pharm. Res. 2004, 27, 1295–1301. [Google Scholar] [CrossRef] [PubMed]
- Pätzold, R.; Schieber, A.; Brückner, H. Gas Chromatographic Quantification of Free D-Amino Acids in Higher Vertebrates. Biomed. Chromatogr. 2005, 19, 466–473. [Google Scholar] [CrossRef]
- Petrović, M.; Debeljak, Ž.; Blažević, N. Optimization of Gas Chromatographic Method for the Enantioseparation of Arylpropionic Non-Steroidal Anti-Inflammatory Drug Methyl Esters. J. Pharm. Biomed. Anal. 2005, 39, 531–534. [Google Scholar] [CrossRef] [PubMed]
- Shi, X.; Guo, H.; Wang, M. Enantioseparation of Chiral Epoxides Using Four New Cyclodextrin Derivatives as Chiral Stationary Phases of Capillary Gas Chromatography. Anal. Chim. Acta 2005, 553, 43–49. [Google Scholar] [CrossRef]
- Sicoli, G.; Jiang, Z.; Jicsinsky, L.; Schurig, V. Modified Linear Dextrins (“acyclodextrins”) as New Chiral Selectors for the Gas-Chromatographic Separation of Enantiomers. Angew. Chem. Int. Ed. 2005, 44, 4092–4095. [Google Scholar] [CrossRef]
- Takahisa, E.; Engel, K.H. 2,3-Di-O-Methoxymethyl-6-O-Tert-Butyldimethylsilyl-γ-Cyclodextrin: A New Class of Cyclodextrin Derivatives for Gas Chromatographic Separation of Enantiomers. J. Chromatogr. A 2005, 1063, 181–192. [Google Scholar] [CrossRef]
- Levkin, P.A.; Ruderisch, A.; Schurig, V. Combining the Enantioselectivity of a Cyclodextrin and a Diamide Selector in a Mixed Binary Gas-Chromatographic Chiral Stationary Phase. Chirality 2006, 18, 49–63. [Google Scholar] [CrossRef]
- Paik, M.J.; Nguyen, D.T.; Kim, K.R. N-Menthoxycarbonylation Combined with Trimethylsilylation for Enantioseparation of β-Blockers by Achiral Dual-Column Gas Chromatography. J. Chromatogr. A 2006, 1103, 177–181. [Google Scholar] [CrossRef]
- Zheng, R.C.; Zheng, Y.G.; Shen, Y.C. Enantioseparation and Determination of 2,2-Dimethylcyclopropanecarboxamide and Corresponding Acid in the Bioconversion Broth by Gas Chromatography. Biomed. Chromatogr. 2007, 21, 610–615. [Google Scholar] [CrossRef] [PubMed]
- Paik, M.J.; Lee, J.; Kim, K.R. N-Ethoxycarbonylation Combined with (S)-1-Phenylethylamidation for Enantioseparation of Amino Acids by Achiral Gas Chromatography and Gas Chromatography-Mass Spectrometry. J. Chromatogr. A 2008, 1214, 151–156. [Google Scholar] [CrossRef] [PubMed]
- Forró, E. New Gas Chromatographic Method for the Enantioseparation of β-Amino Acids by a Rapid Double Derivatization Technique. J. Chromatogr. A 2009, 1216, 1025–1029. [Google Scholar] [CrossRef] [PubMed]
- Grisales, J.O.; Lebed, P.J.; Keunchkarian, S.; González, F.R.; Castells, C.B. Permethylated β-Cyclodextrin in Liquid Poly(Oxyethylene) as a Stationary Phase for Capillary Gas Chromatography. J. Chromatogr. A 2009, 1216, 6844–6851. [Google Scholar] [CrossRef]
- Sicoli, G.; Kreidler, D.; Czesla, H.; Hopf, H.; Schurig, V. Gas Chromatographic Enantioseparation of Unfunctionalized Chiral Alkanes: A Challenge in Separation Science (Overview, State of the Art, and Perspectives). Chirality 2009, 21, 182–198. [Google Scholar] [CrossRef] [PubMed]
- Stephany, O.; Dron, F.; Tisse, S.; Martinez, A.; Nuzillard, J.M.; Peulon-Agasse, V.; Cardinaël, P.; Bouillon, J.P. (L)- or (d)-Valine Tert-Butylamide Grafted on Permethylated β-Cyclodextrin Derivatives as New Mixed Binary Chiral Selectors. Versatile Tools for Capillary Gas Chromatographic Enantioseparation. J. Chromatogr. A 2009, 1216, 4051–4062. [Google Scholar] [CrossRef]
- Kühnle, M.; Kreidler, D.; Holtin, K.; Czesla, H.; Schuler, P.; Schurig, V.; Albert, K. Online Coupling of Enantioselective Capillary Gas Chromatography with Proton Nuclear Magnetic Resonance Spectroscopy. Chirality 2010, 22, 808–812. [Google Scholar] [CrossRef]
- Schurig, V. Utilisation Des Cyclodextrines Dérivées Comme Sélecteurs de Séparation Énantiomérique Par Chromatographie Gazeuse. Ann. Pharm. Fr. 2010, 68, 82–98. [Google Scholar] [CrossRef]
- Drake, S.; Morrison, C.; Smith, F. Simultaneous Chiral Separation of Methylamphetamine and Common Precursors Using Gas Chromatography/Mass Spectrometry. Chirality 2011, 23, 593–601. [Google Scholar] [CrossRef]
- Xie, S.M.; Zhang, Z.J.; Wng, Z.Y.; Yuan, L.M. Chiral Metal-Organic Frameworks for High-Resolution Gas Chromatographic Separations. J. Am. Chem. Soc. 2011, 133, 11892–11895. [Google Scholar] [CrossRef]
- Mohr, S.; Weiß, J.A.; Spreitz, J.; Schmid, M.G. Chiral Separation of New Cathinone- and Amphetamine-Related Designer Drugs by Gas Chromatography-Mass Spectrometry Using Trifluoroacetyl-l-Prolyl Chloride as Chiral Derivatization Reagent. J. Chromatogr. A 2012, 1269, 352–359. [Google Scholar] [CrossRef] [PubMed]
- Wang, L.; McDonald, J.A.; Khan, S.J. Enantiomeric Analysis of Polycyclic Musks in Water by Chiral Gas Chromatography-Tandem Mass Spectrometry. J. Chromatogr. A 2013, 1303, 66–75. [Google Scholar] [CrossRef] [PubMed]
- Xie, S.M.; Zhang, X.H.; Zhang, Z.J.; Yuan, L.M. Porous Chiral Metal-Organic Framework InH(D-C10H14O4)2 with Anionic-Type Diamond Network for High-Resolution Gas Chromatographic Enantioseparations. Anal. Lett. 2013, 46, 753–763. [Google Scholar] [CrossRef]
- Liu, H.; Xie, S.M.; Ai, P.; Zhang, J.H.; Zhang, M.; Yuan, L.M. Metal-Organic Framework Co(D-Cam)1/2(Bdc)1/2(Tmdpy) for Improved Enantioseparations on a Chiral Cyclodextrin Stationary Phase in Gas Chromatography. Chempluschem 2014, 79, 1103–1108. [Google Scholar] [CrossRef]
- Myrgorodska, I.; Meinert, C.; Martins, Z.; Le Sergeant d’Hendecourt, L.; Meierhenrich, U.J. Quantitative Enantioseparation of Amino Acids by Comprehensive Two-Dimensional Gas Chromatography Applied to Non-Terrestrial Samples. J. Chromatogr. A 2016, 1433, 131–136. [Google Scholar] [CrossRef] [PubMed]
- Henry, M.C.; Road, G.S.; Prussia, K.; Yonker, C.R.; Pacific, B.; National, N.; Box, L.P.O.; Richland, K. Supercritical Fluid Chromatography, Pressurized Liquid Extraction, and Supercritical Fluid Extraction. J. Chromatogr. A 2006, 78, 3909–3916. [Google Scholar] [CrossRef] [PubMed]
- De Klerck, K.; Mangelings, D.; Vander Heyden, Y. Supercritical Fluid Chromatography for the Enantioseparation of Pharmaceuticals. J. Pharm. Biomed. Anal. 2012, 69, 77–92. [Google Scholar] [CrossRef]
- Miller, L. Preparative Enantioseparations Using Supercritical Fluid Chromatography. J. Chromatogr. A 2012, 1250, 250–255. [Google Scholar] [CrossRef]
- Klesper, E.; Iber, K.; Clark, M. High Pressure Gas Chromatography above Critical Temperatures. J. Org. Chem. 1962, 27, 700–706. [Google Scholar]
- Taylor, L.T. Supercritical Fluid Chromatography for the 21st Century. J. Supercrit. Fluids 2009, 47, 566–573. [Google Scholar] [CrossRef]
- Pasquali, I.; Bettini, R. Are Pharmaceutics Really Going Supercritical? Int. J. Pharm. 2008, 364, 176–187. [Google Scholar] [CrossRef]
- Chester, T.L.; Pinkston, J.D.; Raynie, D.E. Supercritical Fluid Chromatography and Extraction. Anal. Chem. 1994, 66, 106–130. [Google Scholar] [CrossRef] [PubMed]
- Williams, K.L.; Sander, L.C. Enantiomer Separations on Chiral Stationary Phases in Supercritical Fluid Chromatography. J. Chromatogr. A 1997, 785, 149–158. [Google Scholar] [CrossRef]
- Mourier, P.A.; Eliot, E.; Caude, M.H.; Rosset, R.H.; Bouchet, L. Supercritical and Subcritical Fluid Chromatography on a Chiral Stationary Phase for the Resolution of Phosphine Oxide Enantiomers. Anal. Chem. 1985, 8, 2819–2823. [Google Scholar] [CrossRef]
- Macaudière, P.; Caude, M.; Rosset, R. Chiral Resolutions in SFC: Mechanisms and Applications with Various Chiral Stationary Phases. J. Chromatogr. Sci. 1989, 27, 583–591. [Google Scholar] [CrossRef]
- Stringham, R.W.; Lynam, K.G.; Grasso, C.C. Application of Subcritical Fluid Chromatography to Rapid Chiral Method Development. Anal. Chem. 1994, 66, 1949–1954. [Google Scholar] [CrossRef]
- Johannsen, M. Separation of Enantiomers of Ibuprofen on Chiral Stationary Phases by Packed Column Supercritical Fluid Chromatography. J. Chromatogr. A 2001, 937, 135–138. [Google Scholar] [CrossRef]
- Toribio, L.; Bernal, J.L.; Nozal, M.J.; Jimenez, J.J.; Nieto, E.M. Applications of the Chiralpak AD and Chiralcel OD Chiral Columns in the Enantiomeric Separation of Several Dioxolane Compounds by Supercritical Fluid Chromatography Q. J. Chromatogr. A 2001, 921, 305–313. [Google Scholar] [CrossRef]
- Wang, T.; Barber, M.; Hardt, I.; Kassel, D.B. Mass-Directed Fractionation and Isolation of Pharmaceutical Compounds by Packed-Column Supercritical Fluid Chromatography/Mass Spectrometry. Rapid Commun. Mass Spectrom. 2001, 15, 2067–2075. [Google Scholar] [CrossRef]
- Garzotti, M.; Hamdan, M. Supercritical Fluid Chromatography Coupled to Electrospray Mass Spectrometry: A Powerful Tool for the Analysis of Chiral Mixtures. J. Chromatogr. B Anal. Technol. Biomed. Life Sci. 2002, 770, 53–61. [Google Scholar] [CrossRef]
- Liu, Y.; Berthod, A.; Mitchell, C.R.; Xiao, T.L.; Zhang, B.; Armstrong, D.W. Super/Subcritical Fluid Chromatography Chiral Separations with Macrocyclic Glycopeptide Stationary Phases. J. Chromatogr. A 2002, 978, 185–204. [Google Scholar] [CrossRef]
- Nozal, M.J.; Toribio, L.; Bernal, J.L.; Nieto, E.M.; Jime, J.J. Separation of Albendazole Sulfoxide Enantiomers by Chiral Supercritical-Fluid Chromatography. J. Biochem. Biophys. Methods 2002, 54, 339–345. [Google Scholar] [CrossRef]
- Nozal, M.J.; Toribio, L.; Bernal, J.L.; Castano, N.S. Eparation of Triadimefon and Triadimenol Enantiomers and Diastereoisomers by Supercritical Fluid Chromatography. J. Chromatogr. A. 2003, 986, 135–141. [Google Scholar] [CrossRef]
- Toribio, L.; Nozal, M.J.; Bernal, J.L.; Nieto, E.M. Use of Semipreparative Supercritical Fluid Chromatography to Obtain Small Quantities of the Albendazole Sulfoxide Enantiomers. J. Chromatogr. A 2003, 1011, 155–161. [Google Scholar] [CrossRef]
- Toribio, L.; Nozal, M.J.; Bernal, J.L.; Jimenez, J.J.; Alonso, C. Chiral Separation Ofsome Triazole Pesticides by Supercritical Fluid Chromatography. J. Chromatogr. A 2004, 1046, 249–253. [Google Scholar]
- del Nozal, M.J.; Toribio, L.; Bernal, J.L.; Alonso, C.; Jiménez, J.J. Chiral Separation of Omeprazole and Several Related Benzimidazoles Using Supercritical Fluid Chromatography. J. Sep. Sci. 2004, 27, 1023–1029. [Google Scholar] [CrossRef] [PubMed]
- Maftouh, M.; Granier-loyaux, C.; Chavana, E.; Marini, J.; Pradines, A.; Vander, Y.; Picard, C. Screening Approach for Chiral Separation of Pharmaceuticals Part III. Supercritical Fluid Chromatography for Analysis and Purification in Drug Discovery. J. Chromatogr. A 2005, 1088, 67–81. [Google Scholar] [CrossRef]
- Toribio, L.; Del Nozal, M.J.; Bernal, J.L.; Alonso, C.; Jiménez, J.J. Comparative Study of the Enantioselective Separation of Several Antiulcer Drugs by High-Performance Liquid Chromatography and Supercritical Fluid Chromatography. J. Chromatogr. A 2005, 1091, 118–123. [Google Scholar] [CrossRef] [PubMed]
- Yang, Y.; Su, B.; Yan, Q.; Ren, Q. Separation of Naproxen Enantiomers by Supercritical/Subcritical Fluid Chromatography. J. Pharm. Biomed. Anal. 2005, 39, 815–818. [Google Scholar] [CrossRef]
- Coe, R.A.; Rathe, J.O.; Lee, J.W. Supercritical Fluid Chromatography-Tandem Mass Spectrometry for Fast Bioanalysis of R/S-Warfarin in Human Plasma. J. Pharm. Biomed. Anal. 2006, 42, 573–580. [Google Scholar] [CrossRef]
- Toribio, L.; Alonso, C.; del Nozal, M.J.; Bernal, J.L.; Jiménez, J.J. Enantiomeric Separation of Chiral Sulfoxides by Supercritical Fluid Chromatography. J. Sep. Sci. 2006, 29, 1363–1372. [Google Scholar] [CrossRef] [PubMed]
- Toribio, L.; del Nozal, M.J.; Bernal, J.L.; Alonso, C.; Jiménez, J.J. Enantiomeric Separation of Several Antimycotic Azole Drugs Using Supercritical Fluid Chromatography. J. Chromatogr. A 2007, 1144, 255–261. [Google Scholar] [CrossRef]
- Wang, Z.; Jonca, M.; Lambros, T.; Ferguson, S.; Goodnow, R. Exploration of Liquid and Supercritical Fluid Chromatographic Chiral Separation and Purification of Nutlin-3-A Small Molecule Antagonist of MDM2. J. Pharm. Biomed. Anal. 2007, 45, 720–729. [Google Scholar] [CrossRef]
- West, C.; Bouet, A.; Gillaizeau, I.; Coudert, G.; Lafosse, M.; Lesellier, E. Chiral Separation of Phospine-Containing a -Amino Acid Derivatives Using Two Complementary Cellulosic Stationary Phases in Supercritical Fluid Chromatography. Chirality 2010, 251, 242–251. [Google Scholar] [CrossRef] [PubMed]
- Toribio, L.; Nozal, M.J.; Bernal, J.L.; Bernal, J.; Martín, M.T. Study of the Enantiomeric Separation of an Acetamide Intermediate by Using Supercritical Fluid Chromatography and Several Polysaccharide Based Chiral Stationary Phases. J. Chromatogr. A 2011, 1218, 4886–4891. [Google Scholar] [CrossRef] [PubMed]
- West, C.; Guenegou, G.; Zhang, Y.; Morin-Allory, L. Insights into Chiral Recognition Mechanisms in Supercritical Fluid Chromatography. II. Factors Contributing to Enantiomer Separation on Tris-(3,5-Dimethylphenylcarbamate) of Amylose and Cellulose Stationary Phases. J. Chromatogr. A 2011, 1218, 2033–2057. [Google Scholar] [CrossRef] [PubMed]
- Hamman, C.; Schmidt, D.E.; Wong, M.; Hayes, M. The Use of Ammonium Hydroxide as an Additive in Supercritical Fluid Chromatography for Achiral and Chiral Separations and Purifications of Small, Basic Medicinal Molecules. J. Chromatogr. A 2012, 1218, 7886–7894. [Google Scholar] [CrossRef]
- West, C.; Bouet, A.; Routier, S.; Lesellier, E. Effects of Mobile Phase Composition and Temperature on the Supercritical Fluid Chromatography Enantioseparation of Chiral Fluoro-Oxoindole-Type Compounds with Chlorinated Polysaccharide Stationary Phases. J. Chromatogr. A 2012, 1269, 325–335. [Google Scholar] [CrossRef]
- Tao, Y.; Dong, F.; Xu, J.; Liu, X.; Cheng, Y.; Liu, N.; Chen, Z.; Zheng, Y. Green and Sensitive Supercritical Fluid Chromatographic-Tandem Mass Spectrometric Method for the Separation and Determination of Flutriafol Enantiomers in Vegetables, Fruits, and Soil. J. Agric. Food Chem. 2014, 62, 11457–11464. [Google Scholar] [CrossRef] [PubMed]
- Regalado, E.L.; Welch, C.J. Pushing the Speed Limit in Enantioselective Supercritical Fluid Chromatography. J. Sep. Sci. 2015, 38, 2826–2832. [Google Scholar] [CrossRef]
- Khater, S.; Lozac’h, M.A.; Adam, I.; Francotte, E.; West, C. Comparison of Liquid and Supercritical Fluid Chromatography Mobile Phases for Enantioselective Separations on Polysaccharide Stationary Phases. J. Chromatogr. A 2016, 1467, 463–472. [Google Scholar] [CrossRef] [PubMed]
- Jung, M.; Schurig, V. Extending the Scope of Enantiomer Separation by Capillary Supercritical Fluid Chromatography on Immobilized Poly. J. High. Resolut. Chromatogr. 1993, 16, 215–223. [Google Scholar] [CrossRef]
- Armstrong, D.W. Optical Isomer Separation by Liquid Chromatography. Anal. Chem. 1987, 59, 84A–97A. [Google Scholar] [CrossRef] [PubMed]
- Däppen, R.; Arm, H.; Meyer, V.R. Applications and Limitations of Commercially Available Chiral Stationary Phases for High-Performance Liquid Chromatography. J. Chromatogr. A 1986, 373, 1–20. [Google Scholar] [CrossRef]
- Pham-Huy, C.; Villain-Pautet, G.; Hua, H.; Chikhi-Chorfi, N.; Galons, H.; Thevenin, M.; Claude, J.R.; Warnet, J.M. Separation of Oxazepam, Lorazepam, and Temazepam Enantiomers by HPLC on a Derivatized Cyclodextrin-Bonded Phase: Application to the Determination of Oxazepam in Plasma. J. Biochem. Biophys. Methods 2002, 54, 287–299. [Google Scholar] [CrossRef]
- Boatto, G.; Nieddu, M.; Faedda, M.V.; De Caprariis, P. Enantiomeric Separation by HPLC of 1,4-Dihydropyridines with Vancomycin as Chiral Selector. Chirality 2003, 15, 494–497. [Google Scholar] [CrossRef]
- Narayana, C.; Suresh, T.; Mahender Rao, S.; Dubey, P.K.; Moses Babu, J. A Validated Chiral HPLC Method for the Enantiomeric Separation of Linezolid on Amylose Based Stationary Phase. J. Pharm. Biomed. Anal. 2003, 32, 21–28. [Google Scholar] [CrossRef]
- Putkonen, T.; Tolvanen, A.; Jokela, R.; Caccamese, S.; Parrinello, N. Total Synthesis of (±)-Tangutorine and Chiral HPLC Separation of Enantiomers. Tetrahedron 2003, 59, 8589–8595. [Google Scholar] [CrossRef]
- Zhang, X.; Ouyang, J.; Baeyens, W.R.G.; Zhai, S.; Yang, Y.; Huang, G. Enantiomeric Separation of β-Blockers by HPLC Using (R)-1-Naphthylglycine and 3,5-Dinitrobenzoic Acid as Chiral Stationary Phase. J. Pharm. Biomed. Anal. 2003, 31, 1047–1057. [Google Scholar] [CrossRef]
- Kumar, Y.R.; Ramulu, G.; Vevakanand, V.V.; Vaidyanathan, G.; Srinivas, K.; Kumar, M.K.; Mukkanti, K.; Reddy, M.S.; Venkatraman, S.; Suryanarayana, M.V. A Validated Chiral HPLC Method for the Enantiomeric Separation of Tolterodine Tartarate. J. Pharm. Biomed. Anal. 2004, 35, 1279–1285. [Google Scholar] [CrossRef]
- Lämmerhofer, M.; Gyllenhaal, O.; Lindner, W. HPLC Enantiomer Separation of a Chiral 1,4-Dihydropyridine Monocarboxylic Acid. J. Pharm. Biomed. Anal. 2004, 35, 259–266. [Google Scholar] [CrossRef]
- Caccamese, S.; Caruso, C.; Parrinello, N.; Savarino, A. High-Performance Liquid Chromatographic Separation and Chiroptical Properties of the Enantiomers of Naringenin and Other Flavanones. J. Chromatogr. A 2005, 1076, 155–162. [Google Scholar] [CrossRef]
- Ali, I.; Naim, L.; Ghanem, A.; Aboul-Enein, H.Y. Chiral Separations of Piperidine-2,6-Dione Analogues on Chiralpak IA and Chiralpak IB Columns by Using HPLC. Talanta 2006, 69, 1013–1017. [Google Scholar] [CrossRef] [PubMed]
- Gazić, I.; Bosak, A.; Šinko, G.; Vinković, V.; Kovarik, Z. Preparative HPLC Separation of Bambuterol Enantiomers and Stereoselective Inhibition of Human Cholinesterases. Anal. Bioanal. Chem. 2006, 385, 1513–1519. [Google Scholar] [CrossRef]
- Sun, P.; Wang, C.; Armstrong, D.; Péter, A.; Forró, E. Separation of Enantiomers of β-Lactams by HPLC Using Cyclodextrin-Based Chiral Stationary Phases. J. Liq. Chromatogr. Relat. Technol. 2006, 29, 1847–1860. [Google Scholar] [CrossRef]
- Sun, P.; Krishnan, A.; Yadav, A.; Singh, S.; MacDonnell, F.M.; Armstrong, D.W. Enantiomeric Separations of Ruthenium (II) Polypyridyl Complexes Using HPLC With Cyclofructan Chiral Stationary Phases. Inorg. Chem. 2007, 46, 10312–10320. [Google Scholar] [CrossRef] [PubMed]
- Hoffmann, C.V.; Pell, R.; Lämmerhofer, M.; Lindner, W. Synergistic Effects on Enantioselectivity of Zwitterionic Chiral Stationary Phases for Separations of Chiral Acids, Bases, and Amino Acids by HPLC. Anal. Chem. 2008, 80, 8780–8789. [Google Scholar] [CrossRef] [PubMed]
- Ali, I.; Gaitonde, V.D.; Aboul-Enein, H.Y.; Hussain, A. Chiral Separation of β-Adrenergic Blockers on CelluCoat Column by HPLC. Talanta 2009, 78, 458–463. [Google Scholar] [CrossRef] [PubMed]
- Zhou, Y.; Li, L.; Lin, K.; Zhu, X.; Liu, W. Enantiomer Separation of Triazole Fungicides by High-Performance Liquid Chromatography. Chirality 2009, 21, 421–427. [Google Scholar]
- Ye, J.; Yu, W.; Chen, G.; Shen, Z.; Zeng, S. Enantiomeric Separation of 2-Arylpropionic Acid Nonsteroidal Anti-Inflammatory Drugs by HPLC with Hydroxypropyl-β-Cyclodextrin as Chiral Mobile Phase Additive. Biomed. Chromatogr. 2010, 24, 799–807. [Google Scholar] [CrossRef]
- Ali, I.; Al-Othman, Z.A.; Hussain, A.; Saleem, K.; Aboul-Enein, H.Y. Chiral Separation of β-Adrenergic Blockers in Human Plasma by SPE-HPLC. Chromatographia 2011, 73, 251–256. [Google Scholar] [CrossRef]
- Bi, W.; Tian, M.; Row, K.H. Chiral Separation and Determination of Ofloxacin Enantiomers by Ionic Liquid-Assisted Ligand-Exchange Chromatography. Analyst 2011, 136, 379–387. [Google Scholar] [CrossRef] [PubMed]
- Li, X.; Liu, Y.; Hu, C.; Bai, L.; Gao, B.; Huang, K. Direct Optical Resolution of Chiral Pesticides by High Performance Liquid Chromatography. Chin. J. Chem. Eng. 2011, 19, 603–609. [Google Scholar] [CrossRef]
- Jibuti, G.; Mskhiladze, A.; Takaishvili, N.; Karchkhadze, M.; Chankvetadze, L.; Farkas, T.; Chankvetadze, B. HPLC Separation of Dihydropyridine Derivatives Enantiomers with Emphasis on Elution Order Using Polysaccharide-Based Chiral Columns. J. Sep. Sci. 2012, 35, 2529–2537. [Google Scholar] [CrossRef]
- Matarashvili, I.; Chankvetadze, L.; Fanali, S.; Farkas, T.; Chankvetadze, B. HPLC Separation of Enantiomers of Chiral Arylpropionic Acid Derivatives Using Polysaccharide-Based Chiral Columns and Normal-Phase Eluents with Emphasis on Elution Order. J. Sep. Sci. 2013, 36, 140–147. [Google Scholar] [CrossRef]
- Padivitage, N.L.T.; Dodbiba, E.; Breitbach, Z.S.; Armstrong, D.W. Enantiomeric Separations of Illicit Drugs and Controlled Substances Using Cyclofructan-Based (LARIHC) and Cyclobond I 2000 RSP HPLC Chiral Stationary Phases. Drug Test. Anal. 2014, 6, 542–551. [Google Scholar] [CrossRef]
- Shu, Y.; Breitbach, Z.S.; Dissanayake, M.K.; Perera, S.; Aslan, J.M.; Alatrash, N.; MacDonnell, F.M.; Armstrong, D.W. Enantiomeric Separations of Ruthenium (II) Polypyridyl Complexes Using HPLC With Cyclofructan Chiral Stationary Phases. Chirality 2015, 27, 64–70. [Google Scholar] [CrossRef]
- Broughton, D.B.; Gerhold, C.G. Continuous Sorption Process Employing Fixed Bed of Sorbent and Moving Inlets and Outlets. U.S. Patent US2985589A, 23 May 1961. [Google Scholar]
- Nicoud, R.M. Chromatographic Processes; Cambridge University Press: Cambridge, UK, 2015. [Google Scholar]
- Negawa, M.; Shoji, F. Optical Resolution by Simulated Moving-Bed Adsorption Technology. J. Chromatogr. A 1992, 590, 113–117. [Google Scholar] [CrossRef]
- Cavoy, E.; Deltent, M.F.; Lehoucq, S.; Miggiano, D. Laboratory-Developed Simulated Moving Bed for Chiral Drug Separations. J. Chromatogr. A 1997, 769, 49–57. [Google Scholar] [CrossRef]
- Devant, R.M.; Jonas, R.; Schulte, M.; Keil, A.; Charton, F. Enantiomer Separation of a Novel Ca-Sensitizing Drug by Simulated Moving Bed (SMB)—Chromatography. J. Prakt. Chem. 1997, 339, 315–321. [Google Scholar] [CrossRef]
- Francotte, E.R.; Richert, P. Applications of Simulated Moving-Bed Chromatography to the Separation of the Enantiomers of Chiral Drugs. J. Chromatogr. A 1997, 769, 101–107. [Google Scholar] [CrossRef]
- Pais, L.S.; Loureiro, J.M.; Rodrigues, A.E. Separation of 1,1′-Bi-2-Naphthol Enantiomers by Continuous Chromatography in Simulated Moving Bed. Chem. Eng. Sci. 1997, 52, 245–257. [Google Scholar] [CrossRef]
- Pais, L.S.; Loureiro, J.M.; Rodrigues, A.E. Modeling, Simulation and Operation of a Simulated Moving Bed for Continuous Chromatographic Separation of 1,1′-Bi-2-Naphthol Enantiomers. J. Chromatogr. A 1997, 769, 25–35. [Google Scholar] [CrossRef]
- Francotte, E.; Richert, P.; Mazzotti, M.; Morbidelli, M. Simulated Moving Bed Chromatographic Resolution of a Chiral Antitussive. J. Chromatogr. A 1998, 796, 239–248. [Google Scholar] [CrossRef]
- Heuer, C.; Küsters, E.; Plattner, T.; Seidel-Morgenstern, A. Design of the Simulated Moving Bed Process Based on Adsorption Isotherm Measurements Using a Perturbation Method. J. Chromatogr. A 1998, 827, 175–191. [Google Scholar] [CrossRef]
- Pais, L.S.; Loureiro, J.M.; Rodrigues, A.E. Modeling Strategies for Enantiomers Separation by SMB Chromatography. AIChE J. 1998, 44, 561–569. [Google Scholar] [CrossRef]
- Khattabi, S.; Cherrak, D.E.; Mihlbachler, K.; Guiochon, G. Enantioseparation of 1-Phenyl-1-Propanol by Simulated Moving Bed under Linear and Nonlinear Conditions. J. Chromatogr. A 2000, 893, 307–319. [Google Scholar] [CrossRef]
- Huthmann, E.; Juza, M. Modification of a Commercial Chiral Stationary Phase: Influences on Enantiomer Separations Using Simulated Moving Bed Chromatography. J. Chromatogr. A 2001, 908, 185–200. [Google Scholar] [CrossRef]
- Francotte, E.; Leutert, T.; Vecchia, L.L.; Ossola, F.; Richert, P.; Schmidt, A. Preparative Resolution of the Enantiomers of Tert-Leucine Derivatives by Simulated Moving Bed Chromatography. Chirality 2002, 14, 313–317. [Google Scholar] [CrossRef]
- Lee, K.B.; Chin, C.Y.; Xie, Y.; Cox, G.B.; Wang, N.L. Standing-Wave Design of a Simulated Moving Bed under a Pressure Limit for Enantioseparation of Phenylpropanolamine. Ind. Eng. Chem. Res. 2005, 44, 3249–3267. [Google Scholar] [CrossRef]
- Amanullah, M.; Grossmann, C.; Mazzotti, M.; Morari, M.; Morbidelli, M. Experimental Implementation of Automatic “cycle to Cycle” Control of a Chiral Simulated Moving Bed Separation. J. Chromatogr. A 2007, 1165, 100–108. [Google Scholar] [CrossRef] [PubMed]
- Choi, Y.J.; Han, S.K.; Chung, S.T.; Row, K.H. Separation of Racemic Bupivacaine Using Simulated Moving Bed with Mathematical Model. Biotechnol. Bioprocess. Eng. 2007, 12, 625–633. [Google Scholar] [CrossRef]
- Zhang, L.; Gedicke, K.; Kuznetsov, M.A.; Staroverov, S.M.; Seidel-Morgenstern, A. Application of an Eremomycin-Chiral Stationary Phase for the Separation of Dl-Methionine Using Simulated Moving Bed Technology. J. Chromatogr. A 2007, 1162, 90–96. [Google Scholar] [CrossRef] [PubMed]
- Araújo, J.M.M.; Rodrigues, R.C.R.; Eusébio, M.F.J.; Mota, J.P.B. On-Line Enantiomeric Analysis Using High-Performance Liquid Chromatography in Chiral Separation by Simulated Moving Bed. J. Chromatogr. A 2008, 1189, 292–301. [Google Scholar] [CrossRef]
- Zabka, M.; Minceva, M.; Gomes, P.S.; Rodrigues, A.E. Chiral Separation of R,S-α- Tetralol by Simulated Moving Bed. Sep. Sci. Technol. 2008, 43, 727–765. [Google Scholar] [CrossRef]
- Acetti, D.; Langel, C.; Brenna, E.; Fuganti, C.; Mazzotti, M. Intermittent Simulated Moving Bed Chromatographic Separation of (RS,RS)-2-(2,4-Difluorophenyl)Butane-1,2,3-Triol. J. Chromatogr. A 2010, 1217, 2840–2846. [Google Scholar] [CrossRef] [PubMed]
- Langel, C.; Grossmann, C.; Jermann, S.; Mazzotti, M.; Morari, M.; Morbidelli, M. Experimental Optimizing Control of the Simulated Moving Bed Separation of Tröger’s Base Enantiomers. Ind. Eng. Chem. Res. 2010, 49, 11996–12003. [Google Scholar] [CrossRef]
- Lee, E.; Park, M.B.; Kim, J.M.; Kim, W.S.; Kim, I.H. Simulated Moving-Bed for Separation of Mandelic Acid Racemic Mixtures. Korean J. Chem. Eng. 2010, 27, 231–234. [Google Scholar] [CrossRef]
- Katsuo, S.; Mazzotti, M. Intermittent Simulated Moving Bed Chromatography: 2. Separation of Tröger’s Base Enantiomers. J. Chromatogr. A 2010, 1217, 3067–3075. [Google Scholar] [CrossRef]
- Katsuo, S.; Langel, C.; Sandré, A.L.; Mazzotti, M. Intermittent Simulated Moving Bed Chromatography: 3. Separation of Tröger’s Base Enantiomers under Nonlinear Conditions. J. Chromatogr. A 2011, 1218, 9345–9352. [Google Scholar] [CrossRef] [PubMed]
- Ribeiro, A.E.; Gomes, P.A.; Pais, L.; Rodrigues, A.E. Chiral Separation of Flurbiprofen Enantiomers by Preparative and Simulated Moving Bed Chromatography. Chirality 2011, 23, 602–611. [Google Scholar] [CrossRef] [PubMed]
- Ribeiro, A.E.; Gomes, P.S.; Pais, L.S.; Rodrigues, A.E. Separation Science and Technology Chiral Separation of Ketoprofen Enantiomers by Preparative and Simulated Moving Bed Chromatography Chiral Separation of Ketoprofen Enantiomers by Preparative and Simulated Moving Bed Chromatography. Sep. Sci. Technol. 2011, 4611, 1726–1739. [Google Scholar] [CrossRef]
- Gong, R.; Lin, X.; Li, P.; Yu, J.; Rodrigues, A.E. Experiment and Modeling for the Separation of Guaifenesin Enantiomers Using Simulated Moving Bed and Varicol Units. J. Chromatogr. A 2014, 1363, 242–249. [Google Scholar] [CrossRef] [PubMed]
- Cunha, F.C.; Secchi, A.R.; de Souza, M.B.; Barreto, A.G. Separation of Praziquantel Enantiomers Using Simulated Moving Bed Chromatographic Unit with Performance Designed for Semipreparative Applications. Chirality 2019, 31, 583–591. [Google Scholar] [CrossRef] [PubMed]
- Blehaut, J.; Nicoud, R.M. Recent Aspects in Simulated Moving Bed. Analusis 1998, 26, 60–70. [Google Scholar] [CrossRef]
- Cunha, F.C. Chromatographic Separation of Praziquantel Racemate Using Simulated Moving Bed: From Unit Design to Dynamic Studies with Online Measurements; Universidade Federal do Rio de Janeiro: Rio de Janeiro, Brazil, 2021. [Google Scholar]














| Isomerism | Chemical Formula | Structural Formula | |||
|---|---|---|---|---|---|
| Structural | Function | ![]() | ![]() | ||
| Propanal | Propanone | ||||
| Chain | ![]() | ![]() | |||
| n-Butane | Isobutane | ||||
| Position | ![]() | ![]() | |||
| 2-Pentanone | 3-Pentanone | ||||
| Metamerism | ![]() | ![]() | |||
| 1-Methoxypropane | Ethoxyethane | ||||
| Tautomerism | ![]() | ![]() | ![]() | ||
| Oxepin | Benzene oxide | ||||
| Stereo | Diastereomer (Geometric) | ![]() | ![]() | ||
| cis-1,2-dichloroethene | trans-1,2-dichloroethene | ||||
| Enantiomer (Optical) | ![]() | ![]() | |||
| (S)-Lactic acid | (R)-Lactic acid | ||||
| Rule | Illustration | |
|---|---|---|
| 1st | Ranking of atoms in descending order of atomic number | ![]() |
| 2nd | Pose the least atomic number atoms at the rear | ![]() |
| 3rd | Draw a circle arrow from the first to the third position. | ![]() |
| Compounds | (S) Enantiomer Actuation | (R) Enantiomer Actuation |
|---|---|---|
| Limonene | ![]() Lemon odor | ![]() Orange odor |
| Carvone | ![]() Caraway flavor | ![]() Spearmint flavor |
| Asparagine | ![]() Bitter taste | ![]() Sweet taste |
| Aspartame | ![]() Sweet taste | ![]() Bitter taste |
| Ethambutol | ![]() Tuberculostatic | ![]() Causes blindness |
| Thalidomide | ![]() Teratogen | ![]() Sedative |
| Penicillamine | ![]() Antiarthritic | ![]() Mutagen |
| Ketamine | ![]() Anesthetic | ![]() Hallucinogen |
| Dopa | ![]() Anti-Parkinson | ![]() Serious side effects |
| Chloramphenicol | ![]() Inactive | ![]() Antibacterial |
| Propranolol | ![]() Antihypertensive, antiarrhythmic | ![]() Contraceptive |
| Paclobutrazol | ![]() Plant growth regulator | ![]() Fungicide |
| Product Name | Chiral Active Ingredient | Indication | Revenue (in Millions of Dollars) |
|---|---|---|---|
| Revlimid | ![]() Lenalidomide | Oncology | 8187 |
| Xarelto | ![]() Rivaroxaban | Cardiovascular Diseases | 6590 |
| Lyrica | ![]() Pregabalin | Neurological/Mental Disorders | 5317 |
| Imbruvica | ![]() Ibrutinib | Oncology | 4466 |
| Harvoni | ![]() Ledipasvir ![]() Sofosbuvir | Infectious Diseases (HIV, Hepatitis, etc.) | 4370 |
| Symbicort Pulmicort | ![]() Budesonide ![]() Formoterol | Respiratory Disorders | 4360 |
| Januvia | ![]() Sitagliptin | Diabetes | 3737 |
| Epclusa | ![]() Sofosbuvir | Infectious Diseases (HIV, Hepatitis, etc.) | 3510 |
| Triumeq | ![]() Abacavir ![]() Dolutegravir ![]() Lamivudine | Infectious Diseases (HIV, Hepatitis, etc.) | 3470 |
| Latuda | ![]() Lurasidone | Neurological/Mental Disorders | 3350 |
| Truvada | ![]() Emtricitabine | Infectious Diseases (HIV, Hepatitis, etc.) | 3134 |
| Nexium | ![]() Esomeprazol | Gastrointestinal Disorders | 2795 |
| Invega Sustenna | ![]() Paliperidone Palmitate | Neurological/Mental Disorders | 2569 |
| Zytiga | ![]() Abiraterone Acetate | Oncology | 2505 |
| Enantiomers | Membrane | Ref. |
|---|---|---|
| Phenylalanine | Immobilized DNA membranes | [57] |
| Phenylalanine | DNA-immobilized chitosan membranes | [58] |
| Phenylalanine | Polyaniline | [60] |
| Tryptophan, tyrosine, and phenylalanine | poly(γ-methyl-l-glutamate) membranes | [61] |
| Lactic acid and alanine | Polypropylene hollow-fiber module liquid membrane | [62] |
| Naproxen | Poly(4-vinylpyridine) /polypropylene membranes | [63] |
| Propranolol | Chiral derivatized polysulfone | [64] |
| Tryptophan, henylglycine and phenylalanine | Immobilized DNA membranes | [65] |
| 1-phenylethanol | (R,R)-TADDOL | [66] |
| N-protected amino acid derivatives | Adamantyl-carbamoyl-11- octadecylthioether-quinine/-quinidine | [67] |
| Tryptophan | Chitosan/-cyclodextrin composite membranes | [68] |
| Tryptophan | Cellulose dialysis membranes | [69] |
| 2-phenyl-1-propanol | Glutaraldehyde-crosslinked chitosan membranes | [70] |
| Tryptophan | BSA-Immobilized and BSA-Interpenetrating Network Polysulfone Membranes | [71] |
| Ketoconazole | Hydrophobic l-isopentyl tartrate and hydrophilic sulfobutylether--cyclodextrin | [72] |
| Amlodipine | Hollow fiber supported liquid membrane | [73] |
| Phenylalanine | Hollow fiber supported liquid membrane | [74] |
| Atenolol | Nano-sized chiral imprinted polymers | [75] |
| Ibuprofen | L-tartaric acid derivatives | [76] |
| DOPA | L-Glutamic acid-Graphene oxide based membranes | [77] |
| Tyrosine, phenylalanine and tryptophan | D-penicillamine-modified membrane and N-acetyl-L-cysteine-modified membrane | [78] |
| Phenylalanine | Regenerated cellulose membranes | [79] |
| Arginine | Chiral channel protein (FhuAF4) | [80] |
| Baclofen | Silica-based vancomycin-chiral stationary phase | [81] |
| Methadone | Chiral (2-hydroxypropyl)-β-cyclodextrin | [82] |
| Enantiomers | CSP | Gas Carrier | Ref. |
|---|---|---|---|
| β-Blockers | (-)-α-methoxy-α-(trifluoromethyl) phenylacetyl chloride | Helium | [91] |
| β-pinene, sabinene, limonene, linalool, terpinen-4-ol, α-terpineol, linalyl acetate | EtTBS-βCD and DB-5 | Hydrogen | [92] |
| Chiral alcohols, chiral sulfoxides, chiral epoxides and acetylated amines | Chiral ionic liquid stationary phases | Helium | [93] |
| Flurbiprofen and ketoprofen | Agilent 6890 gas chromatograph | Helium | [94] |
| Alanina, prolina, serina, asparagine, glutamine, lisine, ornitina | Chirasil-l-Val capillary columns | Helium | [95] |
| Obuprofen, fenoprofen and ketoprofen methyl esters | Heptakis-(2,3-di-Omethyl- 6-O-t-butyldimethyl-silyl)-β-cyclodextrin | Hydrogen | [96] |
| Chiral epoxides | Cyclodextrin derivatives | Nitrogen | [97] |
| α-amino acids | Modified Linear Dextrins | Hydrogen | [98] |
| Methyl branched compounds | 2,3-Di-O-methoxymethyl-6-O-tert-butyldimethylsilyl-γ-cyclodextrin | Hydrogen | [99] |
| Hydrocarbons, underivatized alcohols, ketones, and proteinogenic amino acid derivatives | Permethylated-βcyclodextrin and resorcinarene with pendant L- or D-valine diamide groups | Hydrogen | [100] |
| β-Blockers | DB-5 and DB-17 dual-columns | Helium | [101] |
| 2,2-dimethylcyclopropane-carboxamide | g-cyclodextrin | Helium | [102] |
| 12 amino acids | N-Ethoxycarbonylation was combined with (S)-1-phenylethylamidation | Helium | [103] |
| β-amino acid | CP-Chirasil-Dex CB and CP-Chirasil L-Val | Nitrogen | [104] |
| 1-phenylethanol | Permethylated -cyclodextrin | Nitrogen | [105] |
| 3-methylhexane, 2,3-dimethylpentane, 3-methyl-heptane, 3,4-dimethylhexane, 2,4-dimethylhexane, 2,3- dimethylhexane, 2,2,3-trimethylpentane | octakis(6-O-methyl-2,3-di-O-pentyl)-g-cyclodextrin | Hydrogen | [106] |
| Amino acid derivatives | (l)- or (d)-Valine tert-butylamide grafted on permethylated -cyclodextrin | Helium | [107] |
| 2,4-dimethylhexane | octakis(6-O-methyl-2,3-di-O-pentyl)-γ-cyclodextrin | Nitrogen | [108] |
| α- and β-pinene, cis- and trans-pinane, 2,3 butanediol, γ-valerolacton, 1-phenylethyl-lamine, 1-phenylethanol, 2-ethyl-exanoic acid | Derivatized cyclodextrins | Helium | [109] |
| Methylamphetamine | γ-cyclodextrin | Helium | [110] |
| Citronellal, camphor, alanine, leucine, valine, isoleucine, 1-phenyl-1,2-ethandiol, phenylsuccinic acid, and 1-phenyl-ethanol | Chiral Metal-Organic Frameworks | Nitrogen | [111] |
| Cathinone- and amphetamine-related designer drugs | Trifluoroacetyl-l-prolyl chloride | Helium | [112] |
| Galaxolide, tonalide, phantolide, traseolide and cashmeran | Chiral heptakis(2,3- di-O-methyl-6-O-t-butyl dimethylsilyl)--cyclodextrin | Helium | [113] |
| Citronellal, 1-phenyl-1,2-ethandiol, 1-Phenyl-ethanol, 2-amino-1-butanol, limonene, methionine, proline | Porous Chiral Metal-Organic Framework | Nitrogen | [114] |
| 2-hexanol, linalool, citronellal, methyl l-b-hydroxyisobutyrate, limonene, rose oxide, dihydrocarvyl acetate, menthol, valine, and leucine | Metal–Organic Framework on a Chiral Cyclodextrin | Nitrogen | [115] |
| 30 amino acids | Press-Tight© connected Varian-Chrompack Chirasil-l-Val | Helium | [116] |
| Enantiomers | CSP | Ref. |
|---|---|---|
| Ibuprofen | Kromasil CHI-TBB, Kromasil CHI-DMB, Chirobiotik T, Chiracel OBH and Chiralpal AD | [128] |
| Dioxolane compounds | Chiralpak AD and Chiralcel OD | [129] |
| Enantiomeric pharmaceuticals | Chiralpak AD | [130] |
| Enantiomeric pharmaceuticals | Chiralcel OD, Chiralcel OJ and Chiralcel AD | [131] |
| A set of 111 chiral compounds | Chirobiotic T, Chirobiotic TAG and Chirobiotic R | [132] |
| Albendazole sulfoxide | Chiralpak AD and Chiralcel OD | [133] |
| Triadimefon and triadimenol | Chiralpak AD | [134] |
| Albendazole sulfoxide | Chiralpak AD | [135] |
| Omeprazole and several related benzimidazoles | Chiralpak AD | [136] |
| Triazole pesticides | Chiralpak AD | [137] |
| Enantiomeric pharmaceuticals | Chirlapak AD and AS, and Chiralcel OD and OJ | [138] |
| Antiulcer drugs | Chiralpak AD | [139] |
| Naproxen | Kromasil CHI-TBB | [140] |
| Warfarin | Chiralpak AD-H | [141] |
| Chiral sulfoxides | Chiralpak AD | [142] |
| Antimycotic azole drugs | Chiralpak AD | [143] |
| Nutlin-3 | Chiralcel OD, Chiralcel AD, Chiralcel OJ, Chirobiotic T, Chirobiotic V | [144] |
| Phospine-Containing α-Amino Acid Derivatives | Lux Cellulose-1 and -2 | [145] |
| Acetamide intermediate | Chiralcel OD-H, Chiralpak AD, Lux Cellulose-2 and Lux Amylose-2 | [146] |
| Tris-(3,5-dimethylphenylcarbamate) of amylose | Chiralcel OD-H and Chiralpak AD-H | [147] |
| Mianserin | Chiralcel OJ | [148] |
| Chiral fluoro-oxoindole-type compounds | Lux Cellulose-1, Lux Cellulose- 2 and Lux Amylose-2 | [149] |
| Flutriafol | Chiralpak IA-3 | [150] |
| Enantiomeric pharmaceuticals | Chiralpak IC and Chiralpak AD-3 | [151] |
| Troeger’s base, binaphthol, mandelic methylester, trans-stilbene oxide, flavanone and guaifenesine | Chiralcel AD-H and Chiralpak IC | [152] |
| Enantiomers | CSP | Eluent | Ref. |
|---|---|---|---|
| Antifungal chiral drugs | Polysaccharide derivatives | Hexane-ethanol and hexane-2-propanol | [133] |
| Fungicide Enantiomers | Amylopectin Based Chiral | n-hexane and isopropanol | [144] |
| Oxazepam, lorazepam, and temazepam | Derivatized cyclodextrin-bonded | Acetonitrile | [156] |
| 1,4-Dihydropyridines | Vancomycin | Methanol/acetic acid/TEA | [157] |
| Linezolid | Amylose based | Hexane, 2-propanol and trifluoro acetic acid | [158] |
| Tangutorine | Chiralcel OD and Chiralpak AD | n-hexane/2-propanol | [159] |
| β-blockers | (R)-1-naphthylglycine and 3,5-dinitrobenzoic acid | n-hexane, 1,2-dichloroethane and methanol | [160] |
| Tolterodine tartarate | Chiralcel OD-H | n-hexane and isopropyl | [161] |
| 1,4-dihydropyridinemonocarboxylic acid | Tert-butylcarbamoylquinine | Methanol and ammonium acetate buffer | [162] |
| Naringenin and other flavanones | Chiralcel OD-H and Chiralpak AS-H | n-hexane/alcohol | [163] |
| Piperidine-2,6-dione analogues | Chiralpak IA and Chiralpak IB | Methyl-tert-butyl ether-THF | [164] |
| Bambuterol | Chiralpak AD | Hexane/2-propanol | [165] |
| β-Lactams | Cyclodextrin-Based Chiral | Isopropanol-heptane | [166] |
| Ruthenium(II) Polypyridyl Complexes | Cyclodextrin Chiral | Methanol and acetonitrile | [167] |
| Chiral acids, bases, and amino acids | Zwitterionic ion-exchange-type | Acetic acid, formic acid, diethylamine, and ammonium acetate | [168] |
| 10 β-adrenergic blockers | CelluCoat column | n-heptane–ethanol–diethylamine | [169] |
| Triazole Fungicides | Chrialcel OD and Chrialcel OJ | Hexane/2-propanol | [170] |
| 2-arylpropionic acid nonsteroidal anti-infl ammatory drugs | Hydroxypropyl-β-cyclodextri | Methanol and NaH2PO4 buffer | [171] |
| 4 β-adrenergic blockers | SPE-Chiral | n-Heptane:ethanol:diethylamine | [172] |
| Ofloxacin | Ionic liquid-assisted ligand-exchange | Methanol/water | [173] |
| Chiral Pesticides | Cellulose tris-(3,5-dimethylphenyl-carbamate)-coated chiral | Ethanol, n-propanol, iso-propanol, n-butanol, and iso-butanol | [174] |
| Dihydropyridine derivatives | Polysaccharide-based chiral | Formic acid | [175] |
| Arylpropionic acid derivatives | Chiralpak AD | n-hexane modified either with 2-propanol or ethanol | [176] |
| Illicit drugs | Cyclofructan-based and cyclobond I 2000 RSP | Heptane with ethanol or isopropanol | [177] |
| Ruthenium (II) Polypyridyl Complexes | Cyclofructan | Acetonitrile and methanol | [178] |
| Section | Function | Illustration |
|---|---|---|
| I | The more retained compound moves upward desorbed with the eluent, so that it leaves the system in the Extract stream (X). The eluent cleans the solid that is regenerated prior to being recycled in Section IV. | ![]() |
| II | The more retained compound moves downward and is adsorbed on the solid whereas the less retained compound is desorbed with the eluent. This prevents contamination of the less retained compound in the Extract stream (X); the less retained compound moves upward to the Raffinate stream (R). | ![]() |
| III | The more retained compound moves downward adsorbed on the solid and the less retained compound is desorbed with the eluent. This prevents contamination in the Raffinate stream (R); the more retained compound moves downward to the Extract steam (X). | ![]() |
| IV | The less retained compound moves downward adsorbed with the solid flow, so that it leaves the system in the Raffinate stream (R). The solid phase cleans the liquid that is regenerated prior to be recycled to Section I. | ![]() |
| Enantiomers | CSP | Eluent | Ref. |
|---|---|---|---|
| Tramadol | CHIRALPAK AD 20 | 2-propanol, hexane and diethylamine | [182] |
| EMD 53986 | Cellulose-tri-(p-methyl-benzoate) and polymeric silica based | Ethylacetate and ethanol | [183] |
| Guaifenesin, aminoglutetimida, and formoterol | CHIRALCEL OJ and CHIRALCEL OD | Heptane/ethanol | [184] |
| 1,1′-bi-2-naphthol | 3,5-dinitrobenzoyl phenylglycine bonded to silica gel | Heptane and isopropanol | [185] |
| 1,1′-bi-2-naphthol | 3,5-dinitrobenzoyl phenylglycine bonded to silica gel | Heptane and isopropanol | [186] |
| Guaifenesin | CHIRALCEL OD | Heptane/ethanol | [187] |
| 1-phenoxy-2-propanol | CHIRALCEL OD | Hexane and isopropanol | [188] |
| 1,1′-bi-2-naphthol | 3,5-dinitrobenzoyl phenylglycine bonded to silica gel | Heptane and isopropanol | [189] |
| 1-phenyl-1-propanol | CHIRACEL OB | Ethyl acetate and heptane | [190] |
| Trans-stilbene oxide and Tröger’s Base | CHIRALPAK AS and CHIRALPAK AS-V | Hexane/isopropanol | [191] |
| N-carbobenzoxy-tert-leucine and N-Boc-tert-leucine-benzylester | CHIRALCEL OD and CHIRALPAK AD | Heptane/ethanol and Heptane/2-propanol | [192] |
| Phenylpropanolamine | CHIRALPAK AD | Methanol | [193] |
| Guaifenesin | CHIRALCEL OD | Ethanol | [194] |
| Bupivacaine | Kromasil CHI-TBB | Iso-propanol, hexane, and acetic acid | [195] |
| DL-methionine | Eremomycin | Methanol and water | [196] |
| Tröger’s base | CHIRALPAK AD | Methanol | [197] |
| α-Tetralol | CHIRALPAK AD | Heptane/2-propanol | [198] |
| (RS,RS)-2-(2,4-difluorophenyl)butane-1,2,3-triol | CHIRALCEL OJ and CHIRALPAK AD | Hexane, ethanol, and methanol | [199] |
| Tröger’s base | CHIRALPAK AD | Ethanol | [200] |
| Mandelic acid | Kromasil TBB | Hexane and ter-butylmethylether | [201] |
| Tröger’s Base | CHIRALPAK AD | Ethanol | [202] |
| Tröger’s Base | CHIRALPAK AD | Ethanol | [203] |
| Ketoprofen | Chiralpak AD1 | Ethanol, hexane and trifluoroacetic acid | [204] |
| Ketoprofen | Chiralpak AD1 | Ethanol, hexane and trifluoroacetic acid | [205] |
| Guaifenesin | CHIRALCEL OD | Hexane/ethanol | [206] |
| Praziquantel | Chiralcel OZ | Methanol | [207] |
Publisher’s Note: MDPI stays neutral with regard to jurisdictional claims in published maps and institutional affiliations. |
© 2022 by the authors. Licensee MDPI, Basel, Switzerland. This article is an open access article distributed under the terms and conditions of the Creative Commons Attribution (CC BY) license (https://creativecommons.org/licenses/by/4.0/).
Share and Cite
Santos, R.; Pontes, K.V.; Nogueira, I.B.R. Enantiomers and Their Resolution. Encyclopedia 2022, 2, 151-188. https://doi.org/10.3390/encyclopedia2010011
Santos R, Pontes KV, Nogueira IBR. Enantiomers and Their Resolution. Encyclopedia. 2022; 2(1):151-188. https://doi.org/10.3390/encyclopedia2010011
Chicago/Turabian StyleSantos, Rodrigo, Karen V. Pontes, and Idelfonso B. R. Nogueira. 2022. "Enantiomers and Their Resolution" Encyclopedia 2, no. 1: 151-188. https://doi.org/10.3390/encyclopedia2010011
APA StyleSantos, R., Pontes, K. V., & Nogueira, I. B. R. (2022). Enantiomers and Their Resolution. Encyclopedia, 2(1), 151-188. https://doi.org/10.3390/encyclopedia2010011

































































