Volumetric Properties of 9 Binary Liquid Mixtures Ethyl Propanoate + Naphthenes (From Cyclohexane to Decylcyclohexane): Experimental Study from 288.15 K to 328.15 K
Abstract
1. Introduction
2. Materials and Methods
2.1. Materials
2.2. Methods and Uncertainties
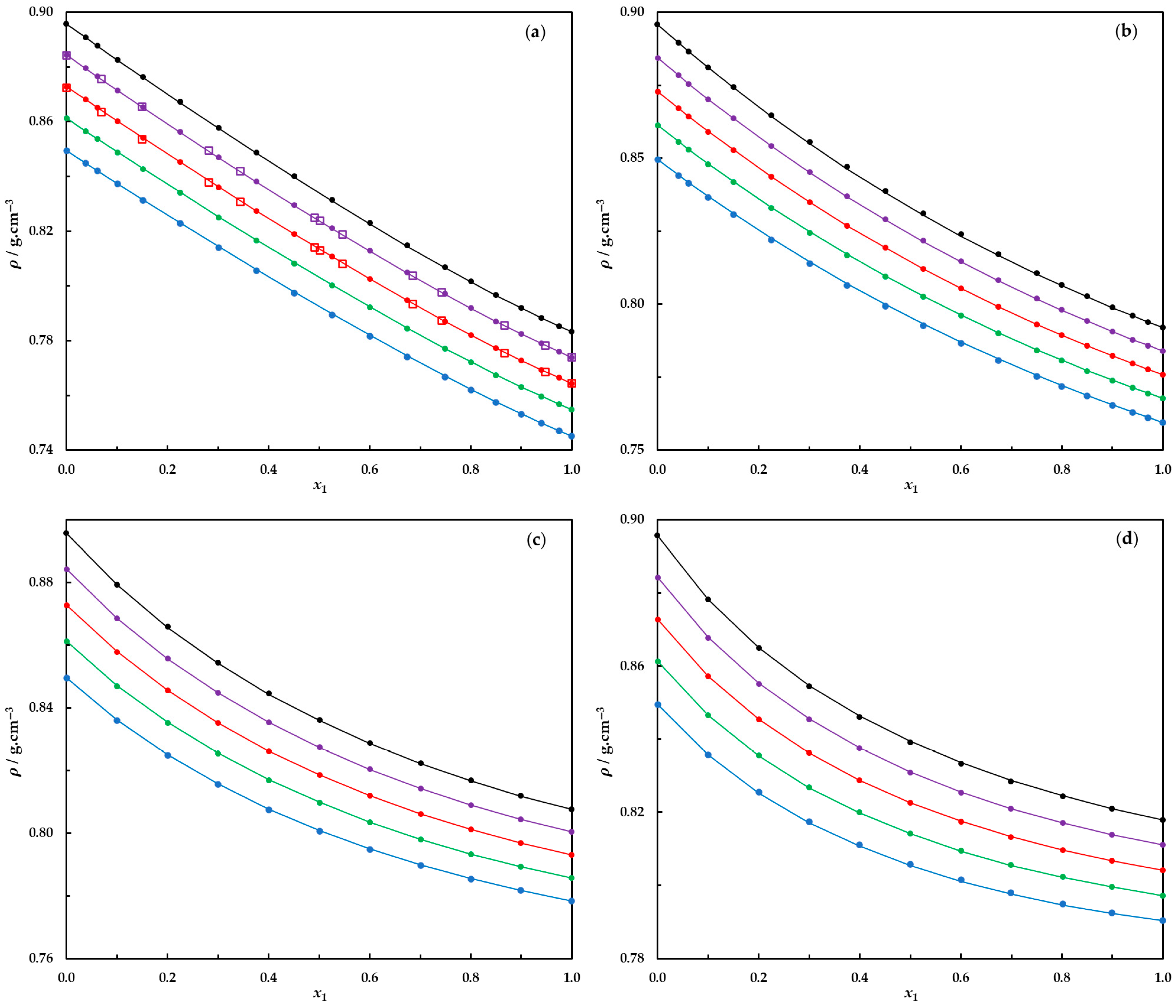
2.3. Pure Component Densities and Comparison with Literature Values
2.4. Modeling
3. Experimental Results
3.1. Densities of the Studied Binary Liquid Mixtures
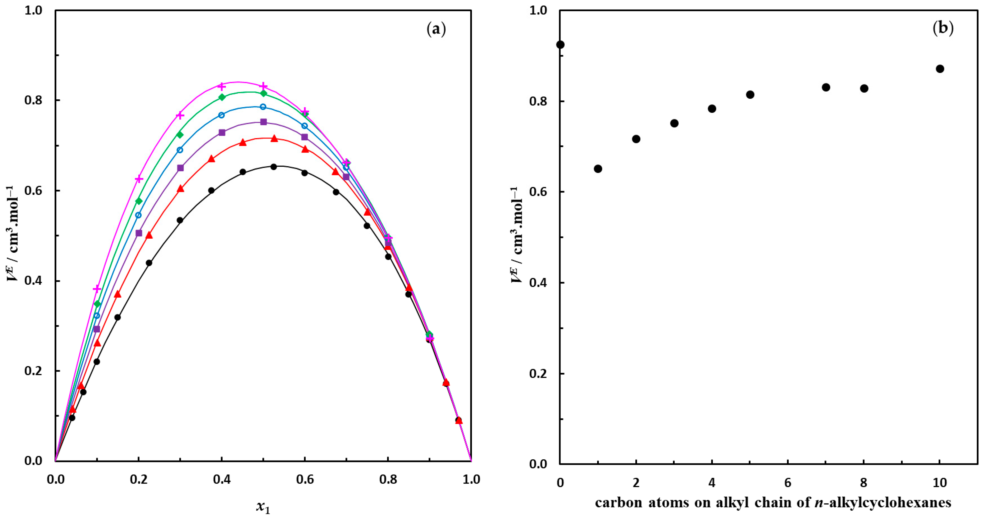
3.2. Excess Molar Volumes Derived from the Mixture’s Density Measurements
4. Discussion
4.1. Influence of Alkyl Chain Length on the Excess Molar Volumes
4.2. Influence of Temperature on the Excess Molar Volumes
4.3. Performance Analysis of Models
Supplementary Materials
Author Contributions
Funding
Data Availability Statement
Conflicts of Interest
Appendix A
| T = 288.15 K | T = 298.15 K | T = 308.15 K | T = 318.15 K | T = 328.15 K | ||||||
|---|---|---|---|---|---|---|---|---|---|---|
| /mol·mol−1 | ρ/g·cm−3 | /cm3·mol−1 | ρ/g·cm−3 | /cm3·mol−1 | ρ/g·cm−3 | /cm3·mol−1 | ρ/g·cm−3 | /cm3·mol−1 | ρ/g·cm−3 | /cm3·mol−1 |
| 0.0000 | 0.89567 | 0.00 | 0.88430 | 0.00 | 0.87279 | 0.00 | 0.86121 | 0.00 | 0.84946 | 0.00 |
| 0.0373 | 0.89082 | 0.11 | 0.87954 | 0.11 | 0.86813 | 0.11 | 0.85660 | 0.12 | 0.84491 | 0.13 |
| 0.0613 | 0.88774 | 0.18 | 0.87650 | 0.18 | 0.86514 | 0.19 | 0.85364 | 0.20 | 0.84201 | 0.20 |
| 0.1010 | 0.88266 | 0.29 | 0.87149 | 0.30 | 0.86020 | 0.30 | 0.84878 | 0.31 | 0.83724 | 0.32 |
| 0.1509 | 0.87636 | 0.41 | 0.86529 | 0.42 | 0.85409 | 0.43 | 0.84277 | 0.45 | 0.83131 | 0.46 |
| 0.2245 | 0.86725 | 0.56 | 0.85631 | 0.58 | 0.84526 | 0.59 | 0.83408 | 0.61 | 0.82274 | 0.64 |
| 0.3013 | 0.85779 | 0.71 | 0.84701 | 0.72 | 0.83610 | 0.74 | 0.82507 | 0.77 | 0.81389 | 0.79 |
| 0.3760 | 0.84880 | 0.81 | 0.83817 | 0.83 | 0.82741 | 0.85 | 0.81652 | 0.88 | 0.80549 | 0.91 |
| 0.4503 | 0.84005 | 0.88 | 0.82957 | 0.90 | 0.81896 | 0.93 | 0.80823 | 0.96 | 0.79735 | 0.99 |
| 0.5252 | 0.83141 | 0.92 | 0.82109 | 0.94 | 0.81063 | 0.96 | 0.80005 | 0.99 | 0.78934 | 1.02 |
| 0.6003 | 0.82297 | 0.91 | 0.81281 | 0.94 | 0.80251 | 0.96 | 0.79208 | 0.99 | 0.78153 | 1.02 |
| 0.6740 | 0.81490 | 0.87 | 0.80488 | 0.89 | 0.79474 | 0.91 | 0.78448 | 0.94 | 0.77408 | 0.97 |
| 0.7494 | 0.80691 | 0.78 | 0.79706 | 0.80 | 0.78708 | 0.82 | 0.77698 | 0.84 | 0.76675 | 0.86 |
| 0.8003 | 0.80166 | 0.70 | 0.79194 | 0.71 | 0.78207 | 0.72 | 0.77208 | 0.74 | 0.76196 | 0.76 |
| 0.8503 | 0.79671 | 0.58 | 0.78708 | 0.59 | 0.77732 | 0.60 | 0.76743 | 0.61 | 0.75742 | 0.62 |
| 0.9003 | 0.79194 | 0.43 | 0.78242 | 0.43 | 0.77275 | 0.44 | 0.76297 | 0.45 | 0.75307 | 0.46 |
| 0.9396 | 0.78837 | 0.28 | 0.77892 | 0.29 | 0.76933 | 0.29 | 0.75962 | 0.30 | 0.74980 | 0.30 |
| 0.9750 | 0.78531 | 0.13 | 0.77592 | 0.13 | 0.76639 | 0.13 | 0.75675 | 0.13 | 0.74699 | 0.13 |
| 1.0000 | 0.78326 | 0.00 | 0.77390 | 0.00 | 0.76441 | 0.00 | 0.75482 | 0.00 | 0.74510 | 0.00 |
| T = 288.15 K | T = 298.15 K | T = 308.15 K | T = 318.15 K | T = 328.15 K | ||||||
|---|---|---|---|---|---|---|---|---|---|---|
| /mol·mol−1 | ρ/g·cm−3 | /cm3·mol−1 | ρ/g·cm−3 | /cm3·mol−1 | ρ/g·cm−3 | /cm3·mol−1 | ρ/g·cm−3 | /cm3·mol−1 | ρ/g·cm−3 | /cm3·mol−1 |
| 0.0000 | 0.89567 | 0.00 | 0.88430 | 0.00 | 0.87279 | 0.00 | 0.86121 | 0.00 | 0.84946 | 0.00 |
| 0.0402 | 0.88951 | 0.09 | 0.87827 | 0.10 | 0.86690 | 0.10 | 0.85542 | 0.10 | 0.84380 | 0.11 |
| 0.0666 | 0.88555 | 0.15 | 0.87438 | 0.15 | 0.86307 | 0.16 | 0.85167 | 0.17 | 0.84013 | 0.18 |
| 0.1000 | 0.88061 | 0.21 | 0.86954 | 0.22 | 0.85834 | 0.23 | 0.84702 | 0.25 | 0.83557 | 0.26 |
| 0.1497 | 0.87338 | 0.30 | 0.86243 | 0.32 | 0.85138 | 0.33 | 0.84021 | 0.35 | 0.82889 | 0.37 |
| 0.2252 | 0.86273 | 0.42 | 0.85200 | 0.44 | 0.84116 | 0.46 | 0.83019 | 0.49 | 0.81910 | 0.52 |
| 0.2994 | 0.85263 | 0.51 | 0.84211 | 0.53 | 0.83147 | 0.56 | 0.82072 | 0.59 | 0.80983 | 0.63 |
| 0.3752 | 0.84269 | 0.57 | 0.83239 | 0.60 | 0.82196 | 0.63 | 0.81143 | 0.67 | 0.80076 | 0.71 |
| 0.4502 | 0.83319 | 0.61 | 0.82310 | 0.64 | 0.81288 | 0.67 | 0.80256 | 0.71 | 0.79210 | 0.76 |
| 0.5254 | 0.82403 | 0.62 | 0.81413 | 0.65 | 0.80412 | 0.69 | 0.79401 | 0.73 | 0.78378 | 0.77 |
| 0.5999 | 0.81524 | 0.61 | 0.80555 | 0.64 | 0.79575 | 0.67 | 0.78585 | 0.71 | 0.77585 | 0.75 |
| 0.6755 | 0.80663 | 0.57 | 0.79716 | 0.60 | 0.78757 | 0.63 | 0.77789 | 0.66 | 0.76811 | 0.70 |
| 0.7497 | 0.79852 | 0.50 | 0.78925 | 0.52 | 0.77987 | 0.55 | 0.77041 | 0.58 | 0.76084 | 0.61 |
| 0.8003 | 0.79316 | 0.44 | 0.78403 | 0.45 | 0.77479 | 0.48 | 0.76547 | 0.50 | 0.75606 | 0.53 |
| 0.8499 | 0.78804 | 0.36 | 0.77906 | 0.37 | 0.76996 | 0.39 | 0.76079 | 0.41 | 0.75152 | 0.43 |
| 0.8998 | 0.78308 | 0.26 | 0.77421 | 0.27 | 0.76525 | 0.28 | 0.75622 | 0.29 | 0.74710 | 0.31 |
| 0.9402 | 0.77917 | 0.16 | 0.77040 | 0.17 | 0.76156 | 0.18 | 0.75264 | 0.19 | 0.74364 | 0.20 |
| 0.9697 | 0.77639 | 0.09 | 0.76770 | 0.09 | 0.75893 | 0.10 | 0.75010 | 0.10 | 0.74119 | 0.10 |
| 1.0000 | 0.77359 | 0.00 | 0.76498 | 0.00 | 0.75630 | 0.00 | 0.74755 | 0.00 | 0.73873 | 0.00 |
| T = 288.15 K | T = 298.15 K | T = 308.15 K | T = 318.15 K | T = 328.15 K | ||||||
|---|---|---|---|---|---|---|---|---|---|---|
| /mol·mol−1 | ρ/g·cm−3 | /cm3·mol−1 | ρ/g·cm−3 | /cm3·mol−1 | ρ/g·cm−3 | /cm3·mol−1 | ρ/g·cm−3 | /cm3·mol−1 | ρ/g·cm−3 | /cm3·mol−1 |
| 0.0000 | 0.89567 | 0.00 | 0.88430 | 0.00 | 0.87279 | 0.00 | 0.86121 | 0.00 | 0.84946 | 0.00 |
| 0.0407 | 0.88963 | 0.11 | 0.87841 | 0.12 | 0.86709 | 0.12 | 0.85564 | 0.13 | 0.84408 | 0.13 |
| 0.0615 | 0.88661 | 0.16 | 0.87550 | 0.17 | 0.86426 | 0.17 | 0.85290 | 0.19 | 0.84141 | 0.20 |
| 0.1001 | 0.88118 | 0.25 | 0.87021 | 0.26 | 0.85912 | 0.27 | 0.84791 | 0.29 | 0.83657 | 0.30 |
| 0.1495 | 0.87446 | 0.35 | 0.86367 | 0.37 | 0.85277 | 0.39 | 0.84175 | 0.41 | 0.83060 | 0.43 |
| 0.2248 | 0.86474 | 0.48 | 0.85424 | 0.50 | 0.84362 | 0.52 | 0.83289 | 0.55 | 0.82204 | 0.58 |
| 0.3004 | 0.85554 | 0.58 | 0.84531 | 0.61 | 0.83496 | 0.63 | 0.82451 | 0.67 | 0.81395 | 0.70 |
| 0.3751 | 0.84698 | 0.64 | 0.83702 | 0.67 | 0.82693 | 0.70 | 0.81675 | 0.74 | 0.80646 | 0.78 |
| 0.4502 | 0.83888 | 0.68 | 0.82916 | 0.71 | 0.81933 | 0.74 | 0.80942 | 0.78 | 0.79940 | 0.82 |
| 0.5257 | 0.83115 | 0.69 | 0.82169 | 0.72 | 0.81212 | 0.75 | 0.80247 | 0.79 | 0.79272 | 0.83 |
| 0.6006 | 0.82394 | 0.66 | 0.81471 | 0.69 | 0.80539 | 0.73 | 0.79599 | 0.76 | 0.78650 | 0.80 |
| 0.6742 | 0.81720 | 0.62 | 0.80822 | 0.64 | 0.79914 | 0.67 | 0.78998 | 0.71 | 0.78075 | 0.74 |
| 0.7505 | 0.81065 | 0.53 | 0.80191 | 0.55 | 0.79307 | 0.58 | 0.78417 | 0.60 | 0.77518 | 0.63 |
| 0.7995 | 0.80665 | 0.46 | 0.79806 | 0.48 | 0.78937 | 0.50 | 0.78062 | 0.52 | 0.77180 | 0.54 |
| 0.8500 | 0.80267 | 0.37 | 0.79424 | 0.39 | 0.78571 | 0.40 | 0.77711 | 0.42 | 0.76845 | 0.44 |
| 0.9002 | 0.79892 | 0.27 | 0.79063 | 0.28 | 0.78225 | 0.29 | 0.77381 | 0.30 | 0.76530 | 0.31 |
| 0.9401 | 0.79604 | 0.17 | 0.78787 | 0.18 | 0.77960 | 0.18 | 0.77129 | 0.19 | 0.76291 | 0.20 |
| 0.9704 | 0.79394 | 0.09 | 0.78585 | 0.09 | 0.77767 | 0.10 | 0.76945 | 0.10 | 0.76116 | 0.10 |
| 1.0000 | 0.79195 | 0.00 | 0.78394 | 0.00 | 0.77585 | 0.00 | 0.76771 | 0.00 | 0.75950 | 0.00 |
| T = 288.15 K | T = 298.15 K | T = 308.15 K | T = 318.15 K | T = 328.15 K | ||||||
|---|---|---|---|---|---|---|---|---|---|---|
| /mol·mol−1 | ρ/g·cm−3 | /cm3·mol−1 | ρ/g·cm−3 | /cm3·mol−1 | ρ/g·cm−3 | /cm3·mol−1 | ρ/g·cm−3 | /cm3·mol−1 | ρ/g·cm−3 | /cm3·mol−1 |
| 0.0000 | 0.89567 | 0.00 | 0.88430 | 0.00 | 0.87279 | 0.00 | 0.86121 | 0.00 | 0.84946 | 0.00 |
| 0.0998 | 0.88048 | 0.28 | 0.86959 | 0.29 | 0.85859 | 0.30 | 0.84748 | 0.32 | 0.83623 | 0.33 |
| 0.2006 | 0.86686 | 0.49 | 0.85643 | 0.51 | 0.84588 | 0.53 | 0.83522 | 0.55 | 0.82445 | 0.58 |
| 0.3003 | 0.85481 | 0.62 | 0.84478 | 0.65 | 0.83465 | 0.68 | 0.82442 | 0.71 | 0.81409 | 0.74 |
| 0.4006 | 0.84391 | 0.70 | 0.83427 | 0.73 | 0.82453 | 0.76 | 0.81471 | 0.80 | 0.80479 | 0.83 |
| 0.5004 | 0.83412 | 0.72 | 0.82483 | 0.75 | 0.81546 | 0.78 | 0.80602 | 0.82 | 0.79649 | 0.86 |
| 0.5996 | 0.82528 | 0.69 | 0.81635 | 0.72 | 0.80732 | 0.75 | 0.79824 | 0.78 | 0.78908 | 0.81 |
| 0.6995 | 0.81723 | 0.61 | 0.80862 | 0.63 | 0.79993 | 0.65 | 0.79118 | 0.68 | 0.78236 | 0.71 |
| 0.8008 | 0.80983 | 0.47 | 0.80153 | 0.48 | 0.79315 | 0.50 | 0.78473 | 0.52 | 0.77626 | 0.54 |
| 0.9007 | 0.80328 | 0.27 | 0.79526 | 0.28 | 0.78718 | 0.28 | 0.77905 | 0.30 | 0.77088 | 0.31 |
| 1.0000 | 0.79745 | 0.00 | 0.78969 | 0.00 | 0.78188 | 0.00 | 0.77404 | 0.00 | 0.76616 | 0.00 |
| T = 288.15 K | T = 298.15 K | T = 308.15 K | T = 318.15 K | T = 328.15 K | ||||||
|---|---|---|---|---|---|---|---|---|---|---|
| /mol·mol−1 | ρ/g·cm−3 | /cm3·mol−1 | ρ/g·cm−3 | /cm3·mol−1 | ρ/g·cm−3 | /cm3·mol−1 | ρ/g·cm−3 | /cm3·mol−1 | ρ/g·cm−3 | /cm3·mol−1 |
| 0.0000 | 0.89567 | 0.00 | 0.88430 | 0.00 | 0.87279 | 0.00 | 0.86121 | 0.00 | 0.84946 | 0.00 |
| 0.1002 | 0.87990 | 0.31 | 0.86912 | 0.32 | 0.85821 | 0.33 | 0.84720 | 0.35 | 0.83607 | 0.36 |
| 0.2003 | 0.86640 | 0.53 | 0.85613 | 0.54 | 0.84574 | 0.57 | 0.83526 | 0.59 | 0.82467 | 0.61 |
| 0.3000 | 0.85471 | 0.66 | 0.84489 | 0.69 | 0.83498 | 0.71 | 0.82497 | 0.75 | 0.81488 | 0.78 |
| 0.4006 | 0.84436 | 0.74 | 0.83496 | 0.77 | 0.82548 | 0.79 | 0.81592 | 0.83 | 0.80628 | 0.86 |
| 0.5004 | 0.83526 | 0.76 | 0.82626 | 0.79 | 0.81717 | 0.82 | 0.80803 | 0.85 | 0.79881 | 0.88 |
| 0.5994 | 0.82729 | 0.72 | 0.81865 | 0.74 | 0.80992 | 0.77 | 0.80115 | 0.80 | 0.79231 | 0.83 |
| 0.6998 | 0.82007 | 0.63 | 0.81176 | 0.65 | 0.80338 | 0.67 | 0.79495 | 0.70 | 0.78647 | 0.72 |
| 0.7991 | 0.81377 | 0.48 | 0.80576 | 0.50 | 0.79769 | 0.51 | 0.78958 | 0.53 | 0.78142 | 0.54 |
| 0.9001 | 0.80808 | 0.27 | 0.80036 | 0.28 | 0.79258 | 0.29 | 0.78476 | 0.29 | 0.77691 | 0.30 |
| 1.0000 | 0.80314 | 0.00 | 0.79566 | 0.00 | 0.78814 | 0.00 | 0.78059 | 0.00 | 0.77302 | 0.00 |
| T = 288.15 K | T = 298.15 K | T = 308.15 K | T = 318.15 K | T = 328.15 K | ||||||
|---|---|---|---|---|---|---|---|---|---|---|
| /mol·mol−1 | ρ/g·cm−3 | /cm3·mol−1 | ρ/g·cm−3 | /cm3·mol−1 | ρ/g·cm−3 | /cm3·mol−1 | ρ/g·cm−3 | /cm3·mol−1 | ρ/g·cm−3 | /cm3·mol−1 |
| 0.0000 | 0.89567 | 0.00 | 0.88430 | 0.00 | 0.87279 | 0.00 | 0.86121 | 0.00 | 0.84946 | 0.00 |
| 0.1002 | 0.87936 | 0.34 | 0.86868 | 0.35 | 0.85787 | 0.36 | 0.84695 | 0.37 | 0.83592 | 0.38 |
| 0.2005 | 0.86589 | 0.56 | 0.85576 | 0.58 | 0.84553 | 0.60 | 0.83521 | 0.62 | 0.82478 | 0.64 |
| 0.2999 | 0.85453 | 0.70 | 0.84489 | 0.72 | 0.83517 | 0.75 | 0.82537 | 0.78 | 0.81549 | 0.80 |
| 0.4006 | 0.84462 | 0.78 | 0.83543 | 0.81 | 0.82618 | 0.83 | 0.81686 | 0.86 | 0.80746 | 0.89 |
| 0.5006 | 0.83615 | 0.79 | 0.82738 | 0.82 | 0.81853 | 0.84 | 0.80964 | 0.87 | 0.80067 | 0.90 |
| 0.6008 | 0.82876 | 0.75 | 0.82036 | 0.77 | 0.81188 | 0.79 | 0.80337 | 0.82 | 0.79480 | 0.84 |
| 0.7015 | 0.82232 | 0.64 | 0.81424 | 0.66 | 0.80610 | 0.68 | 0.79794 | 0.70 | 0.78972 | 0.72 |
| 0.8007 | 0.81677 | 0.49 | 0.80899 | 0.50 | 0.80116 | 0.51 | 0.79329 | 0.52 | 0.78539 | 0.54 |
| 0.8992 | 0.81194 | 0.28 | 0.80442 | 0.28 | 0.79686 | 0.29 | 0.78927 | 0.30 | 0.78165 | 0.30 |
| 1.0000 | 0.80764 | 0.00 | 0.80036 | 0.00 | 0.79305 | 0.00 | 0.78572 | 0.00 | 0.77837 | 0.00 |
| T = 288.15 K | T = 298.15 K | T = 308.15 K | T = 318.15 K | T = 328.15 K | ||||||
|---|---|---|---|---|---|---|---|---|---|---|
| /mol·mol−1 | ρ/g·cm−3 | /cm3·mol−1 | ρ/g·cm−3 | /cm3·mol−1 | ρ/g·cm−3 | /cm3·mol−1 | ρ/g·cm−3 | /cm3·mol−1 | ρ/g·cm−3 | /cm3·mol−1 |
| 0.0000 | 0.89567 | 0.00 | 0.88430 | 0.00 | 0.87279 | 0.00 | 0.86121 | 0.00 | 0.84946 | 0.00 |
| 0.1000 | 0.87852 | 0.37 | 0.86798 | 0.38 | 0.85733 | 0.39 | 0.84659 | 0.40 | 0.83574 | 0.41 |
| 0.2009 | 0.86498 | 0.61 | 0.85511 | 0.63 | 0.84516 | 0.64 | 0.83513 | 0.66 | 0.82500 | 0.67 |
| 0.3005 | 0.85420 | 0.75 | 0.84489 | 0.77 | 0.83552 | 0.78 | 0.82607 | 0.80 | 0.81656 | 0.82 |
| 0.4000 | 0.84532 | 0.81 | 0.83650 | 0.83 | 0.82761 | 0.85 | 0.81867 | 0.87 | 0.80968 | 0.88 |
| 0.4997 | 0.83789 | 0.81 | 0.82948 | 0.83 | 0.82101 | 0.85 | 0.81251 | 0.87 | 0.80396 | 0.88 |
| 0.5996 | 0.83159 | 0.76 | 0.82355 | 0.78 | 0.81546 | 0.79 | 0.80733 | 0.80 | 0.79917 | 0.81 |
| 0.7004 | 0.82622 | 0.65 | 0.81849 | 0.66 | 0.81073 | 0.67 | 0.80294 | 0.68 | 0.79511 | 0.69 |
| 0.8014 | 0.82163 | 0.49 | 0.81418 | 0.50 | 0.80670 | 0.50 | 0.79920 | 0.51 | 0.79168 | 0.51 |
| 0.9014 | 0.81776 | 0.27 | 0.81056 | 0.27 | 0.80332 | 0.28 | 0.79608 | 0.28 | 0.78881 | 0.28 |
| 1.0000 | 0.81451 | 0.00 | 0.80752 | 0.00 | 0.80050 | 0.00 | 0.79347 | 0.00 | 0.78643 | 0.00 |
| T = 288.15 K | T = 298.15 K | T = 308.15 K | T = 318.15 K | T = 328.15 K | ||||||
|---|---|---|---|---|---|---|---|---|---|---|
| /mol·mol−1 | ρ/g·cm−3 | /cm3·mol−1 | ρ/g·cm−3 | /cm3·mol−1 | ρ/g·cm−3 | /cm3·mol−1 | ρ/g·cm−3 | /cm3·mol−1 | ρ/g·cm−3 | /cm3·mol−1 |
| 0.0000 | 0.89567 | 0.00 | 0.88430 | 0.00 | 0.87279 | 0.00 | 0.86121 | 0.00 | 0.84946 | 0.00 |
| 0.1000 | 0.87823 | 0.39 | 0.86777 | 0.40 | 0.85720 | 0.40 | 0.84655 | 0.41 | 0.83578 | 0.42 |
| 0.2003 | 0.86495 | 0.63 | 0.85520 | 0.64 | 0.84537 | 0.65 | 0.83547 | 0.66 | 0.82548 | 0.67 |
| 0.3003 | 0.85451 | 0.76 | 0.84535 | 0.78 | 0.83612 | 0.79 | 0.82683 | 0.80 | 0.81748 | 0.81 |
| 0.3993 | 0.84614 | 0.82 | 0.83746 | 0.83 | 0.82872 | 0.85 | 0.81994 | 0.86 | 0.81111 | 0.87 |
| 0.5001 | 0.83911 | 0.82 | 0.83085 | 0.83 | 0.82254 | 0.84 | 0.81420 | 0.86 | 0.80582 | 0.86 |
| 0.6007 | 0.83329 | 0.76 | 0.82540 | 0.77 | 0.81746 | 0.77 | 0.80950 | 0.78 | 0.80150 | 0.79 |
| 0.6993 | 0.82849 | 0.65 | 0.82090 | 0.65 | 0.81327 | 0.66 | 0.80562 | 0.67 | 0.79795 | 0.67 |
| 0.8012 | 0.82433 | 0.48 | 0.81701 | 0.48 | 0.80965 | 0.49 | 0.80229 | 0.49 | 0.79490 | 0.49 |
| 0.8993 | 0.82093 | 0.26 | 0.81384 | 0.27 | 0.80671 | 0.27 | 0.79958 | 0.27 | 0.79243 | 0.27 |
| 1.0000 | 0.81796 | 0.00 | 0.81107 | 0.00 | 0.80415 | 0.00 | 0.79723 | 0.00 | 0.79030 | 0.00 |
| T = 288.15 K | T = 298.15 K | T = 308.15 K | T = 318.15 K | T = 328.15 K | ||||||
|---|---|---|---|---|---|---|---|---|---|---|
| /mol·mol−1 | ρ/g.cm−3 | /cm3.mol−1 | ρ/g.cm−3 | /cm3.mol−1 | ρ/g.cm−3 | /cm3.mol−1 | ρ/g.cm−3 | /cm3.mol−1 | ρ/g.cm−3 | /cm3.mol−1 |
| 0.0000 | 0.89567 | 0.00 | 0.88430 | 0.00 | 0.87279 | 0.00 | 0.86121 | 0.00 | 0.84946 | 0.00 |
| 0.1001 | 0.87729 | 0.43 | 0.86698 | 0.44 | 0.85657 | 0.44 | 0.84608 | 0.44 | 0.83548 | 0.44 |
| 0.2002 | 0.86407 | 0.68 | 0.85456 | 0.69 | 0.84495 | 0.69 | 0.83529 | 0.70 | 0.82555 | 0.70 |
| 0.2998 | 0.85412 | 0.81 | 0.84520 | 0.83 | 0.83623 | 0.83 | 0.82721 | 0.84 | 0.81813 | 0.84 |
| 0.4001 | 0.84625 | 0.87 | 0.83785 | 0.88 | 0.82939 | 0.89 | 0.82090 | 0.89 | 0.81237 | 0.89 |
| 0.5039 | 0.83977 | 0.86 | 0.83179 | 0.87 | 0.82377 | 0.88 | 0.81572 | 0.88 | 0.80765 | 0.87 |
| 0.6010 | 0.83486 | 0.80 | 0.82722 | 0.80 | 0.81953 | 0.81 | 0.81183 | 0.81 | 0.80411 | 0.80 |
| 0.6984 | 0.83077 | 0.69 | 0.82341 | 0.69 | 0.81601 | 0.69 | 0.80861 | 0.69 | 0.80119 | 0.68 |
| 0.7989 | 0.82735 | 0.50 | 0.82023 | 0.50 | 0.81308 | 0.50 | 0.80593 | 0.50 | 0.79876 | 0.50 |
| 0.8925 | 0.82465 | 0.29 | 0.81773 | 0.29 | 0.81077 | 0.29 | 0.80382 | 0.29 | 0.79687 | 0.29 |
| 1.0000 | 0.82206 | 0.00 | 0.81534 | 0.00 | 0.80858 | 0.00 | 0.80183 | 0.00 | 0.79508 | 0.00 |
| Redlich–Kister | Jouyban–Acree | ||||
|---|---|---|---|---|---|
| T/K | ** | ** | |||
| cyclohexane (1) + ethyl propanoate (2) | |||||
| 288.15 | 3.5965 | 1.0039 | 0.6133 | 0.008 | 0.021 |
| 298.15 | 3.6983 | 0.9934 | 0.5387 | 0.007 | 0.011 |
| 308.15 | 3.8004 | 1.0150 | 0.4653 | 0.008 | 0.005 |
| 318.15 | 3.9161 | 0.9940 | 0.4994 | 0.008 | 0.012 |
| 328.15 | 4.0400 | 0.9784 | 0.4633 | 0.007 | 0.022 |
| methylcyclohexane (1) + ethyl propanoate (2) | |||||
| 288.15 | 2.4934 | 0.2987 | 0.2093 | 0.003 | 0.033 |
| 298.15 | 2.6086 | 0.3080 | 0.1913 | 0.003 | 0.020 |
| 308.15 | 2.7411 | 0.3412 | 0.1676 | 0.004 | 0.011 |
| 318.15 | 2.8980 | 0.3256 | 0.1701 | 0.003 | 0.016 |
| 328.15 | 3.0703 | 0.3497 | 0.1422 | 0.004 | 0.032 |
| ethylcyclohexane (1) + ethyl propanoate (2) | |||||
| 288.15 | 2.7391 | 0.1077 | 0.2249 | 0.002 | 0.037 |
| 298.15 | 2.8673 | 0.0904 | 0.2102 | 0.001 | 0.021 |
| 308.15 | 3.0041 | 0.1146 | 0.1804 | 0.003 | 0.006 |
| 318.15 | 3.1588 | 0.0629 | 0.2062 | 0.002 | 0.013 |
| 328.15 | 3.3191 | 0.0461 | 0.1526 | 0.002 | 0.029 |
| propylcyclohexane (1) + ethyl propanoate (2) | |||||
| 288.15 | 2.8907 | −0.0836 | 0.2664 | 0.001 | 0.037 |
| 298.15 | 3.0062 | −0.1074 | 0.2541 | 0.001 | 0.024 |
| 308.15 | 3.1324 | −0.1133 | 0.2239 | 0.001 | 0.012 |
| 318.15 | 3.2739 | −0.1461 | 0.2551 | 0.001 | 0.005 |
| 328.15 | 3.4170 | −0.1754 | 0.2568 | 0.001 | 0.012 |
| butylcyclohexane (1) + ethyl propanoate (2) | |||||
| 288.15 | 3.0271 | −0.2416 | 0.3497 | 0.003 | 0.019 |
| 298.15 | 3.1383 | −0.2766 | 0.3046 | 0.003 | 0.008 |
| 308.15 | 3.2536 | −0.3006 | 0.2821 | 0.003 | 0.006 |
| 318.15 | 3.3793 | −0.3515 | 0.3023 | 0.002 | 0.013 |
| 328.15 | 3.5062 | −0.3775 | 0.2954 | 0.002 | 0.019 |
| pentylcyclohexane (1) + ethyl propanoate (2) | |||||
| 288.15 | 3.1571 | −0.4144 | 0.3757 | 0.007 | 0.016 |
| 298.15 | 3.2591 | −0.4429 | 0.3361 | 0.005 | 0.008 |
| 308.15 | 3.3621 | −0.4642 | 0.3074 | 0.005 | 0.008 |
| 318.15 | 3.4662 | −0.5183 | 0.3502 | 0.005 | 0.011 |
| 328.15 | 3.5713 | −0.5473 | 0.3498 | 0.004 | 0.013 |
| heptylcyclohexane (1) + ethyl propanoate (2) | |||||
| 288.15 | 3.2471 | −0.6483 | 0.5141 | 0.005 | 0.009 |
| 298.15 | 3.3237 | −0.6893 | 0.5114 | 0.005 | 0.006 |
| 308.15 | 3.3841 | −0.7198 | 0.5169 | 0.004 | 0.004 |
| 318.15 | 3.4558 | −0.7911 | 0.5170 | 0.005 | 0.006 |
| 328.15 | 3.5061 | −0.8269 | 0.5315 | 0.004 | 0.016 |
| octylcyclohexane (1) + ethyl propanoate (2) | |||||
| 288.15 | 3.2533 | −0.8154 | 0.5746 | 0.008 | 0.015 |
| 298.15 | 3.3133 | −0.8601 | 0.5636 | 0.008 | 0.011 |
| 308.15 | 3.3568 | −0.8889 | 0.5683 | 0.007 | 0.005 |
| 318.15 | 3.4039 | −0.9461 | 0.5806 | 0.007 | 0.011 |
| 328.15 | 3.4266 | −0.9794 | 0.6048 | 0.007 | 0.027 |
| decylcyclohexane (1) + ethyl propanoate (2) | |||||
| 288.15 | 3.4529 | −0.9878 | 0.6763 | 0.012 | 0.031 |
| 298.15 | 3.4888 | −1.0156 | 0.6874 | 0.011 | 0.020 |
| 308.15 | 3.4986 | −1.0422 | 0.6945 | 0.010 | 0.007 |
| 318.15 | 3.5088 | −1.0928 | 0.7121 | 0.010 | 0.023 |
| 328.15 | 3.4941 | −1.1250 | 0.7139 | 0.010 | 0.050 |
References
- Rios, R.; Ortega, J.; Fernandez, L.; de Nuez, I.; Wisniak, J. Improvements in the experimentation and the representation of thermodynamic properties (iso-p VLE and yE) of alkyl propanoate + alkane binaries. J. Chem. Eng. Data 2014, 59, 125–142. [Google Scholar] [CrossRef]
- Fernández, L.; Pérez, E.; Ortega, J.; Canosa, J.; Wisniak, J. Measurements of the Excess Properties and Vapor-Liquid Equilibria at 101.32 kPa for mixtures of Ethyl Ethanoate + Alkanes (from C5 et C10). J. Chem. Eng. Data 2010, 55, 5519–5533. [Google Scholar] [CrossRef]
- Fernández, L.; Ortega, J.; Pérez, E.; Toledo, F.; Canosa, J. Multiproperty Correlation of Experimental Data of the Binaries Propyl Ethanoate + Alkanes (Pentane to Decane). New Experimental Information for Vapor-Liquid Equilibrium and Mixing Properties. J. Chem. Eng. Data 2013, 58, 686–706. [Google Scholar] [CrossRef]
- Pérez, E.; Ortega, J.; Fernández, L.; Wisniak, J.; Canosa, J. Contributions to the modeling and behavior of solutions containing ethanoates and hydrocarbons. New experimental data for binaries of butyl ester with alkanes (C5-C10). Fluid Phase Equilib. 2016, 412, 79–93. [Google Scholar] [CrossRef]
- Vitu, S.; Berkalou, K.; Havet, J.L.; Caqueret, V. The 2,2,4-trimethylpentane + ethyl propanoate binary system: Density, Bancroft point and vapor-liquid equilibrium at 30, 60 and 101.3 kPa. J. Chem. Thermodyn. 2025, 207, 107486. [Google Scholar] [CrossRef]
- Ortega, J.; Fernández, L.; Sosa, A.; Lorenzo, B.; Ríos, R.; Wisniak, J. New Advances in the Modeling and Verification of Experimental Information for Ester-Alkane Solutions: Application to a Batch-Distillation Case. Ind. Eng. Chem. Res. 2020, 59, 8346–8360. [Google Scholar] [CrossRef]
- Rios, R.; Ortega, J.; Sosa, A.; Fernández, L. Strategy for the Management of Thermodynamic Data with Application to Practical Cases of Systems Formed by Esters and Alkanes through Experimental Information, Checking-Modeling, and Simulation. Ind. Eng. Chem. Res. 2018, 57, 3410–3429. [Google Scholar] [CrossRef]
- Susial Badajoz, P.; García-Vera, D.; Marrero-Pérez, A.; Padrón-Guerra, N.; Mujica-González, T. Measurement of VLE Data by Using an Experimental Installation with Automatic Control: Modeling of Binary Systems of Methyl Acetate or Ethyl Acetate with n-Heptane or 2,2,4-Trimethylpentane at Both 0.1 and 1.5 MPa. J. Chem. Eng. Data 2019, 64, 5591–5608. [Google Scholar] [CrossRef]
- Ortega, J.; Toledo-Marante, F.J. Thermodynamic properties of (an ethyl ester + a branched alkane). XV. HEm and VEm values for (an ester + an alkane). J. Chem. Thermodyn. 2002, 34, 1439–1459. [Google Scholar] [CrossRef]
- Caqueret, V.; Berkalou, K.; Havet, J.-L.; Debacq, M.; Vitu, S. Density, Excess Molar Volume and Vapor–Liquid Equilibrium Measurements at 101.3 kPa for Binary Mixtures Containing Ethyl Acetate and a Branched Alkane: Experimental Data and Modeling. Liquids 2023, 3, 187–202. [Google Scholar] [CrossRef]
- Linek, J. Excess Volumes of Binary Liquid Mixtures Containing Ethers, Alcohols, Esters, or Alkanes. ELDATA Int. Electron. J. Phys.-Chem. Data 1995, 1, 43–52. [Google Scholar]
- Rajasekhar, P.; Reddy, K.S. Excess Volumes of Methylcyclohexane with Ketones and Esters at 303.15 K. Phys. Chem. Liq. 1987, 17, 195–200. [Google Scholar] [CrossRef]
- Berkalou, K.; Caqueret, V.; Zanghelini, G.; Vitu, S. Thermodynamic Behavior of the (Methylcyclopentane + Ethyl Acetate) Binary Liquid Mixture: Density at Several Temperatures and Vapor–Liquid Equilibrium at 25, 50, and 101.3 kPa. J. Chem. Eng. Data 2024, 69, 1655–1667. [Google Scholar] [CrossRef]
- Krasniqi, R.; Aliaj, F.; Syla, N.; Musliu, A.; Zeqiraj, A. Thermophysical Properties of Binary and Ternary Mixtures Comprising Methyl Acetate, n-Hexane, and Cyclohexane: Experimental and Modeling Approach. Int. J. Thermophys. 2025, 46, 100. [Google Scholar] [CrossRef]
- Qin, A.; Hoffman, D.E.; Munk, P. Excess volumes of mixtures of alkanes with carbonyl compounds. J. Chem. Eng. Data 1992, 37, 55–61. [Google Scholar] [CrossRef]
- Jimenez, E.; Romani, L.; Andrade, M.I.P.; Roux-Desgranges, G.; Grolier, J.P. Molar excess heat capacities and volumes for mixtures of alkanoates with cyclohexane at 25 °C. J. Solut. Chem. 1986, 15, 879–890. [Google Scholar] [CrossRef]
- Sastry, N.V.; Patel, S.R.; Soni, S.S. Excess molar volumes, excess isentropic compressibilities, excess viscosities, relative permittivity and molar polarization deviations for methyl acetate+, ethyl acetate+, butyl acetate+, isoamyl acetate+, methyl propionate+, ethyl propionate+, ethyl butyrate+, methyl methacrylate+, ethyl methacrylate+, and butyl methacrylate + cyclohexane at T = 298.15 and 303.15 K. J. Mol. Liq. 2013, 183, 102–112. [Google Scholar] [CrossRef]
- Elliott, J.R.; Diky, V.; Knotts, T., IV; Wilding, W.V. The Properties of Gases and Liquids, 6th ed.; McGraw Hill: New York, NY, USA, 2023; pp. 11–33. [Google Scholar]
- Malhotra, R.; Woolf, L.A. PVT Property Measurements for the Liquids Ethyl Propionate and Ethyl Butyrate from (278 to 338) K and (0.1 to 380) MPa. J. Chem. Eng. Data 1996, 41, 1371–1374. [Google Scholar] [CrossRef]
- Liu, C.Y.; Ku, H.C.; Tu, C.H. Densities and Viscosities of Five Alkyl Esters with Nitroethane Systems at (293.15, 303.15, and 313.15) K. J. Chem. Eng. Data 1999, 44, 360–364. [Google Scholar] [CrossRef]
- Costa, H.F.; Gardas, R.L.; Johnson, I.; Fonseca, I.M.A.; Ferreira, A.G.M. PVT Property Measurements for Ethyl Propionate, Ethyl Butyrate, and Ethyl Pentanoate Esters from (298 to 393) K and up to 35 MPa. J. Chem. Eng. Data 2009, 54, 256–262. [Google Scholar] [CrossRef]
- Panduranga Rao, J.; Narendra, K.; Visalakshamma, V.; Krishna, T.S.; Srinivasa Rao, G. Acoustic and volumetric study of binary mixtures containing Ethyl propionate with amides at various temperatures. J. Chem. Thermodyn. 2024, 190, 107222. [Google Scholar] [CrossRef]
- Luning Prak, D.J. Binary Mixtures of Benzene and Cyclohexane with n-Alkyl Functional Groups up to 12 Carbons Long: Densities, Viscosities, and Speeds of Sound within the Temperature Range (288.15–333.15) K. J. Chem. Eng. Data 2022, 67, 1378–1396. [Google Scholar] [CrossRef]
- Kolska, Z.; Dvorakova, D.; Mika, J.; Boublik, T. Volumetric behavior of the binary systems benzene–cyclohexane and benzene–2,2,4-trimethyl-pentane at temperatures 293.15–323.15 K. Fluid Phase Equilib. 2011, 303, 157–161. [Google Scholar] [CrossRef]
- Malek, N.I.; Ijardar, S.P.; Oswal, S.B. Volumetric and acoustic properties of binary mixtures of cyclohexane + benzene and + benzaldehyde at (293.15–323.15) K. Thermochim. Acta 2012, 539, 71–83. [Google Scholar] [CrossRef]
- Hiroyuki, O. Excess volumes of (1-pentanol + cyclohexane or benzene) at temperatures between 283.15 K and 328.15 K. J. Chem. Thermodyn. 2002, 34, 849–859. [Google Scholar] [CrossRef]
- Luning Prak, D.J. Binary Mixtures of n-Tridecane with n-Alkylcyclohexanes: Density, Viscosity, and Speed of Sound within the Temperature Range (288.15 to 333.15) K. J. Chem. Eng. Data 2023, 68, 1053–1066. [Google Scholar] [CrossRef]
- Laesecke, A.; Outcalt, S.L.; Brumback, K.J. Binary Mixtures of n-Tridecane with n-Alkylcyclohexanes: Density and Speed of Sound Measurements of Methyl- and Propylcyclohexane. Energy Fuels 2008, 22, 2629–2636. [Google Scholar] [CrossRef]
- Zhao, J.; Wu, J.; Dai, Y.; Cheng, X.; Sun, H.; Guo, Y.; Fang, W. Density, Viscosity, and Freezing Point for Four Binary Systems of n-Dodecane or Methylcyclohexane Mixed with 1-Heptanol or Cyclohexylmethanol. J. Chem. Eng. Data 2017, 62, 643–652. [Google Scholar] [CrossRef]
- Zhang, C.; Li, G.; Yue, L.; Guo, Y.; Fang, W. Densities, Viscosities, Refractive Indices, and Surface Tensions of Binary Mixtures of 2,2,4-Trimethylpentane with Several Alkylated Cyclohexanes from (293.15 to 343.15) K. J. Chem. Eng. Data 2015, 60, 2541–2548. [Google Scholar] [CrossRef]
- Van Hecke, G.R.; Baldwin, O.W.M.; Wada, B.C. Density, Viscosity, Refractive Index, Isobaric Specific Heat Capacity, Ultrasonic Velocity, Molar Volume, Isentropic Compressibility, Isothermal Compressibility, and Heat Capacity Ratio for Binary Mixtures of the Organic Liquids Ethylbenzene, Ethylcyclohexane, Pentylbenzene, and Pentylcyclohexane at 298.15 K and 0.1 MPa. J. Chem. Eng. Data 2022, 67, 1037–1053. [Google Scholar] [CrossRef]
- Li, D.; Zheng, Y.; Wang, J.; Pang, Y.; Liu, M. Volumetric properties and viscosity for the ternary system of (1-pentanol+ethylcyclohexane+methylmyristate) and corresponding binary systems at T=293.15-323.15K. J. Chem. Thermodyn. 2022, 165, 106660. [Google Scholar] [CrossRef]
- Luning Prak, D.J.; Morrow, B.H.; Cowart, J.S.; Trulove, P.C.; Harrison, J.A. Thermophysical Properties of Binary Mixtures of n-Dodecane with n-Alkylcyclohexanes: Experimental Measurements and Molecular Dynamics Simulations. J. Chem. Eng. Data 2019, 64, 1550–1568. [Google Scholar] [CrossRef]
- Daridon, J.L.; Plantier, F.; Lagourette, B. Speed of Sound and Some Thermodynamic Properties of Liquid Methylcyclopentane and Butylcyclohexane in a Wide Range of Pressure. Int. J. Thermophys. 2003, 24, 639–649. [Google Scholar] [CrossRef]
- Baylaucq, A.; Zéberg-Mikkelsen, C.K.; Daugé, P.; Boned, C. Dynamic Viscosity and Density of Heptylbenzene and Heptylcyclohexane up to 100 MPa. J. Chem. Eng. Data 2002, 47, 997–1002. [Google Scholar] [CrossRef]
- Luning Prak, D.J. Binary Mixtures of Nonane and n-Alkylcyclohexanes: Densities and Speeds of Sound within the Temperature Range (288.15–333.15) K and Viscosities at 288.15, 293.15, and 298.15 K and 0.1 MPa. J. Chem. Eng. Data 2024, 69, 973–986. [Google Scholar] [CrossRef]
- Camin, D.L.; Forziati, A.F.; Rossini, F.D. Physical Properties of n-Hexadecane, n-Decylcyclopentane, n-Decylcyclohexane, 1-Hexadecene and n-Decylbenzene. J. Phys. Chem. 1954, 58, 440–442. [Google Scholar] [CrossRef]
- Jouyban, A.; Acree, W.E., Jr. A single model to represent physico-chemical properties of liquid mixtures at various temperatures. J. Mol. Liq. 2021, 323, 115054. [Google Scholar] [CrossRef]
- Muñoz, M.M.; Tinjacá, D.A.; Jouyban, A.; Martínez, F.; Acree, W.E., Jr. Volumetric properties of {PEG 200 (or 300) (1) + water (2)} mixtures at several temperatures and correlation with the Jouyban–Acree model. Phys. Chem. Liq. 2018, 56, 100–109. [Google Scholar] [CrossRef]
- Peralta, R.D.; Infante, R.; Cortez, G.; Ramirez, R.R.; Wisniak, J. Densities and excess volumes of binary mixtures of 1,4-dioxane with either ethyl acrylate, or butyl acrylate, or methyl methacrylate, or styrene at T = 298.15 K. J. Chem. Thermodyn. 2003, 35, 239–250. [Google Scholar] [CrossRef]
- Wisniak, J.; Peralta, R.D.; Infante, R.; Cortez, G. Volumetric Properties of the Ternary System 1,4-Dioxane + Butyl Acrylate + Ethyl Acrylate and Its Binary Butyl Acrylate + Ethyl Acrylate at 298.15 K. J. Solut. Chem. 2005, 34, 171–183. [Google Scholar] [CrossRef]
- Ortega, J.; Espiau, F.; Toledo, F.J.; Dieppa, R. Thermodynamic properties of (an ester + an alkane). XVII. Experimental Hem and Vem values for (an alkyl propanoate + an alkane) at 318.15 K. J. Chem. Thermodyn. 2005, 37, 967–983. [Google Scholar] [CrossRef]




| Compound | Abbreviation | CAS Number | Supplier | Mass Fraction Purity a |
|---|---|---|---|---|
| ethyl propanoate | EP | 105-37-3 | ThermoFisher | 0.999 |
| cyclohexane | C6 | 110-82-7 | ThermoFisher | 0.999 |
| methylcyclohexane | methylC6 | 108-87-2 | ThermoFisher | 0.999 |
| ethylcyclohexane | ethylC6 | 1678-91-7 | TCI b | 0.999 |
| propylcyclohexane | propylC6 | 1678-92-8 | TCI | 0.999 |
| butylcyclohexane | butylC6 | 1678-93-9 | TCI | 0.990 |
| pentylcyclohexane | pentylC6 | 4292-92-6 | TCI | 0.991 |
| heptylcyclohexane | heptylC6 | 5617-41-4 | TCI | 0.995 |
| octylcylohexane | octylC6 | 1795-15-9 | TCI | 0.988 |
| decylcylohexane | decylC6 | 1795-16-0 | TCI | 0.997 |
| Compound | T/K | This Work | Literature |
|---|---|---|---|
| ethyl propanoate | 288.15 | 0.89567 | 0.89558 [1]; 0.89570 [5]; 0.895707 [19] |
| 293.15 | 0.89001 | 0.89013 [20] | |
| 298.15 | 0.88430 | 0.88415 [1]; 0.88435 [5]; 0.88430 [21] | |
| 303.15 | 0.87856 | 0.87855 [20]; 0.87850 [21,22] | |
| 308.15 | 0.87279 | 0.87262 [1]; 0.87285 [5]; 0.87270 [21] | |
| 313.15 | 0.86701 | 0.867094 [19]; 0.86702 [20]; 0.86680 [21] | |
| 318.15 | 0.86121 | 0.86108 [1]; 0.86125 [5]; 0.86090 [21] | |
| 323.15 | 0.85536 | 0.855456 [19]; 0.85490 [21]; 0.85499 [22] | |
| 328.15 | 0.84946 | 0.84941 [1]; 0.84920 [21] | |
| cyclohexane | 288.15 | 0.78326 | 0.78330 [14]; 0.78322 [23] |
| 293.15 | 0.77859 | 0.77854 [23,24]; 0.77855 [25] | |
| 298.15 | 0.77390 | 0.77393 [14]; 0.77386 [17]; 0.77384 [23] | |
| 303.15 | 0.76917 | 0.77911 [23,25]; 0.76913 [24] | |
| 308.15 | 0.76441 | 0.76444 [14]; 0.76446 [17]; 0.76435 [25] | |
| 313.15 | 0.75963 | 0.75960 [24,25]; 0.75954 [26] | |
| 318.15 | 0.75482 | 0.75484 [14]; 0.75474 [25] | |
| 323.15 | 0.74997 | 0.74994 [24]; 0.74989 [25] | |
| 328.15 | 0.74510 | 0.74506 [26] | |
| methylcyclohexane | 288.15 | 0.77359 | 0.77363 [27] |
| 293.15 | 0.76931 | 0.76931 [27]; 0.7693 [28]; 0.76933 [29] | |
| 298.15 | 0.76498 | 0.76499 [27]; 0.76500 [29]; 0.76505 [30] | |
| 303.15 | 0.76065 | 0.76065 [27]; 0.7607 [28]; 0.76067 [29] | |
| 308.15 | 0.75630 | 0.75632 [29]; 0.75637 [30] | |
| 313.15 | 0.75193 | 0.75194 [27]; 0.7519 [28]; 0.75195 [29] | |
| 318.15 | 0.74755 | 0.74756 [29]; 0.74758 [30] | |
| 323.15 | 0.74315 | 0.74315 [27]; 0.7431 [28]; 0.74315 [29] | |
| 328.15 | 0.73873 | 0.73873 [29] | |
| ethylcyclohexane | 288.15 | 0.79195 | 0.79196 [23]; 0.79184 [31] |
| 293.15 | 0.78796 | 0.78794 [23]; 0.78798 [30]; 0.7880 [32] | |
| 298.15 | 0.78394 | 0.78391 [23]; 0.78397 [30]; 0.78382 [31] | |
| 303.15 | 0.77990 | 0.77987 [23]; 0.77993 [30]; 0.7799 [32] | |
| 308.15 | 0.77585 | 0.77588 [30]; 0.77573 [31]; 0.7758 [32] | |
| 313.15 | 0.77178 | 0.77175 [23]; 0.77182 [30]; 0.7718 [32] | |
| 318.15 | 0.76771 | 0.76769 [30]; 0.76757 [31]; 0.7677 [32] | |
| 323.15 | 0.76361 | 0.7636 [32] | |
| 328.15 | 0.75950 | ||
| propylcyclohexane | 288.15 | 0.79745 | 0.79751 [23]; 0.79742 [33] |
| 293.15 | 0.79359 | 0.79362 [23]; 0.7937 [28]; 0.79353 [33] | |
| 298.15 | 0.78969 | 0.78972 [23]; 0.78963 [33] | |
| 303.15 | 0.78579 | 0.78582 [23]; 0.7859 [28]; 0.78572 [33] | |
| 308.15 | 0.78188 | ||
| 313.15 | 0.77797 | 0.77799 [23]; 0.7781 [28]; 0.77788 [33] | |
| 318.15 | 0.77404 | ||
| 323.15 | 0.77010 | 0.77012 [23]; 0.7702 [28]; 0.77000 [33] | |
| 328.15 | 0.76616 | ||
| butylcyclohexane | 288.15 | 0.80314 | 0.80306 [23] |
| 293.15 | 0.79941 | 0.79931 [23]; 0.79937 [30]; 0.79920 [34] | |
| 298.15 | 0.79566 | 0.79556 [23]; 0.79563 [30] | |
| 303.15 | 0.79189 | 0.79180 [23]; 0.79188 [30]; 0.79188 [34] | |
| 308.15 | 0.78814 | 0.78812 [30] | |
| 313.15 | 0.78437 | 0.78426 [23]; 0.78435 [30]; 0.78428 [34] | |
| 318.15 | 0.78059 | 0.78049 [30] | |
| 323.15 | 0.77681 | 0.77670 [23]; 0.77670 [30]; 0.77680 [34] | |
| 328.15 | 0.77302 | ||
| pentylcyclohexane | 288.15 | 0.80764 | 0.80765 [23]; 0.80776 [31]; 0.80778 [33] |
| 293.15 | 0.80402 | 0.80400 [23]; 0.80413 [33] | |
| 298.15 | 0.80036 | 0.80035 [23]; 0.80052 [31]; 0.80048 [33] | |
| 303.15 | 0.79671 | 0.79668 [23]; 0.79682 [33] | |
| 308.15 | 0.79305 | 0.79327 [31] | |
| 313.15 | 0.78939 | 0.78934 [23]; 0.78949 [33] | |
| 318.15 | 0.78572 | 0.78604 [31] | |
| 323.15 | 0.78205 | 0.78199 [23]; 0.78214 [33] | |
| 328.15 | 0.77837 | ||
| heptylcyclohexane | 288.15 | 0.81451 | 0.81450 [27]; 0.81451 [33] |
| 293.15 | 0.81102 | 0.81099 [27]; 0.81100 [33]; 0.8106 [35] | |
| 298.15 | 0.80752 | 0.80748 [27]; 0.80749 [33] | |
| 303.15 | 0.80401 | 0.80397 [27]; 0.80398 [33]; 0.8036 [35] | |
| 308.15 | 0.80050 | ||
| 313.15 | 0.79699 | 0.79695 [27]; 0.79695 [33]; 0.7965 [35] | |
| 318.15 | 0.79347 | ||
| 323.15 | 0.78995 | 0.78990 [27]; 0.78991 [33]; 0.7894 [35] | |
| 328.15 | 0.78643 | ||
| octylcylohexane | 288.15 | 0.81796 | 0.81760 [23]; 0.81758 [33]; 0.81811 [36] |
| 293.15 | 0.81452 | 0.81414 [23]; 0.81413 [33]; 0.81465 [36] | |
| 298.15 | 0.81107 | 0.81068 [23]; 0.81067 [33]; 0.81119 [36] | |
| 303.15 | 0.80761 | 0.80722 [23]; 0.80720 [33]; 0.80773 [36] | |
| 308.15 | 0.80415 | ||
| 313.15 | 0.80069 | 0.80030 [23]; 0.80028 [33]; 0.80080 [36] | |
| 318.15 | 0.79723 | ||
| 323.15 | 0.79376 | 0.79337 [23]; 0.79335 [33]; 0.79386 [36] | |
| 328.15 | 0.79030 | ||
| decylcylohexane | 288.15 | 0.82206 | 0.82193 [33] |
| 293.15 | 0.81872 | 0.81854 [33]; 0.81858 [37] | |
| 298.15 | 0.81534 | 0.81516 [33]; 0.81517 [37] | |
| 303.15 | 0.81196 | 0.81178 [33]; 0.81183 [37] | |
| 308.15 | 0.80858 | ||
| 313.15 | 0.80520 | 0.80502 [33] | |
| 318.15 | 0.80183 | ||
| 323.15 | 0.79846 | 0.79826 [33] | |
| 328.15 | 0.79508 |
| Binary System | J0 | J1 | J2 | J3 | ARD/% ** |
|---|---|---|---|---|---|
| C6 + EP | −5.0945 | −2.4512 | −1.2886 | 0.02 | |
| methylC6 + EP | −8.2918 | 0.03 | |||
| ethylC6 + EP | −12.6314 | 1.0395 | 0.03 | ||
| propylC6 + EP | −15.9696 | 2.6376 | 0.03 | ||
| butylC6 + EP | −18.1420 | 4.1737 | −1.5038 | 0.02 | |
| pentylC6 + EP | −19.9091 | 5.6871 | −2.0186 | 0.01 | |
| heptylC6 + EP | −22.0258 | 7.8416 | −3.6118 | 1.6193 | 0.01 |
| octylC6 + EP | −22.4848 | 8.7799 | −4.3675 | 2.2786 | 0.02 |
| decylC6 + EP | −23.7602 | 10.5289 | −5.9323 | 3.4544 | 0.04 |
Disclaimer/Publisher’s Note: The statements, opinions and data contained in all publications are solely those of the individual author(s) and contributor(s) and not of MDPI and/or the editor(s). MDPI and/or the editor(s) disclaim responsibility for any injury to people or property resulting from any ideas, methods, instructions or products referred to in the content. |
© 2026 by the authors. Licensee MDPI, Basel, Switzerland. This article is an open access article distributed under the terms and conditions of the Creative Commons Attribution (CC BY) license.
Share and Cite
Caqueret, V.; Abou Alfa, K.; Vitu, S. Volumetric Properties of 9 Binary Liquid Mixtures Ethyl Propanoate + Naphthenes (From Cyclohexane to Decylcyclohexane): Experimental Study from 288.15 K to 328.15 K. Liquids 2026, 6, 15. https://doi.org/10.3390/liquids6020015
Caqueret V, Abou Alfa K, Vitu S. Volumetric Properties of 9 Binary Liquid Mixtures Ethyl Propanoate + Naphthenes (From Cyclohexane to Decylcyclohexane): Experimental Study from 288.15 K to 328.15 K. Liquids. 2026; 6(2):15. https://doi.org/10.3390/liquids6020015
Chicago/Turabian StyleCaqueret, Vincent, Khaled Abou Alfa, and Stéphane Vitu. 2026. "Volumetric Properties of 9 Binary Liquid Mixtures Ethyl Propanoate + Naphthenes (From Cyclohexane to Decylcyclohexane): Experimental Study from 288.15 K to 328.15 K" Liquids 6, no. 2: 15. https://doi.org/10.3390/liquids6020015
APA StyleCaqueret, V., Abou Alfa, K., & Vitu, S. (2026). Volumetric Properties of 9 Binary Liquid Mixtures Ethyl Propanoate + Naphthenes (From Cyclohexane to Decylcyclohexane): Experimental Study from 288.15 K to 328.15 K. Liquids, 6(2), 15. https://doi.org/10.3390/liquids6020015

