Next Article in Journal
Influence of Ion Generation–Recombination on Dielectric Relaxation Time in Electrolytes
Previous Article in Journal
Reactive Molecular Dynamics in Ionic Liquids: A Review of Simulation Techniques and Applications
 
 
Font Type:
Arial Georgia Verdana
Font Size:
Aa Aa Aa
Line Spacing:
Column Width:
Background:
Article

Progress in the Understanding of Liquids Dynamics via a General Theory of Correlation Functions

by
Eleonora Guarini
1,*,
Ubaldo Bafile
2,
Daniele Colognesi
2,
Alessandro Cunsolo
3,
Alessio De Francesco
4,5 and
Ferdinando Formisano
4,5
1
Dipartimento di Fisica e Astronomia, Università degli Studi di Firenze, via G. Sansone 1, I-50019 Sesto Fiorentino, Italy
2
Consiglio Nazionale delle Ricerche, Istituto di Fisica Applicata “Nello Carrara”, Via Madonna del Piano 10, I-50019 Sesto Fiorentino, Italy
3
Department of Physics, University of Wisconsin at Madison, 1150 University Avenue, Madison, WI 53706, USA
4
CNR-IOM & INSIDE@ILL c/o Operative Group in Grenoble (OGG), F-38042 Grenoble, France
5
Institut Laue Langevin (ILL), F-38042 Grenoble, France
*
Author to whom correspondence should be addressed.
Submission received: 14 December 2024 / Revised: 1 March 2025 / Accepted: 21 March 2025 / Published: 26 March 2025
(This article belongs to the Section Physics of Liquids)

Abstract

This work provides a comprehensive picture of the advances that the exponential expansion theory (EET) of autocorrelation functions relevant to liquids dynamics made possible in the last decade up to very recent times. The role of both longitudinal and transverse collective excitations in liquids is investigated by studying the main autocorrelation functions typically obtained either experimentally (when possible) or through molecular dynamics simulations. Examples for some classes of liquids are provided, especially intended for the understanding of dispersion curves, i.e., the collective mode frequencies as a function of the wavevector Q, which is inversely proportional to the length scale at which microscopic processes are probed. The main result of this work is the ubiquitous observation that the EET method works extremely well for all considered autocorrelation functions or spectra, either experimental or simulated. This paper provides also, in its final part, important hints for future research, based on an integration of the EET lineshape description within Bayesian inference analysis.

1. Introduction

For decades the microscopic dynamics of fluids has been addressed within the context of the generalized Langevin equation [1] and exploiting the memory function formalism [2,3] to account for experimental and molecular dynamics (MD) simulation data for the spectroscopic properties of many classes of fluids, including model Lennard-Jones systems, liquid metals and molten alloys [4], molecular and hydrogen bond (HB) liquids (like water) [5]. The memory function approach leads to a hierarchy of generalized Langevin equations which, once solved via Laplace transform, yields the well-known continued fraction representation of the spectra of relevant correlation functions in the study of many-body systems. However, this general treatment suffers from being very formal and does not lend itself to a straightforward physical interpretation of both the hierarchy and the significance of truncating the continued fraction at a certain level.
As an alternative route, Barocchi and collaborators showed that an exact solution of the generalized Langevin equation for the time autocorrelation functions of a many-body classical system can be given in an exponential functional form [6]. As a consequence, the spectra of the correlation functions can be represented by an infinite sum of generalized Lorentzians (called “modes”). The same functional form was shown to hold in the quantum case at temperatures T > 0 [7,8,9], thus definitely establishing the general character of the so-called Exponential Expansion Theory (EET). As we will show, the EET can efficiently be applied to characterize the main dynamical processes (like diffusion mechanisms and collective excitations) occurring in a liquid at a microscopic level. The effectiveness of the EET representation stems from the fact that, typically, the overall dynamics of liquids can be very well accounted for by a relatively small number of such processes, i.e., only a finite number of terms in the expansion is required to obtain excellent descriptions of the autocorrelation functions and their spectra. In addition, the EET enables one to accurately follow possible dynamical transitions (like, for example, the onset of shear waves) that may take place with varying thermodynamic state or probed length scale. Last but not least, one of the great merits of the EET lies in the easy implementation of the so-called “sum rules” the spectra must obey, as clarified later on. In summary, the EET is an extremely powerful tool for an appropriate and physically constrained modeling of experimental and simulated lineshapes. Examples will be given concerning the most important functions in studies of liquids dynamics and different classes of fluids.

2. Materials and Methods

This work focuses on the dynamical properties of various kinds of fluids at the nanometer and picosecond length and time scales and, in particular, on the most studied processes related to frequency and damping of oscillatory modes, with varying the probed length scale or, equivalently, the wavevector Q. In other words, what is called the dispersion law of possible excitations is by far the main objective of dynamical characterizations. In this respect, it is worth recalling that, in the continuum limit (long wavelength probing of the system), where hydrodynamic theory applies [2], only longitudinal acoustic (sound) waves propagate in a simple liquid. Outside the hydrodynamic regime, however, additional branches can appear in the dispersion curve. In particular, a low frequency branch can be associated with the shear (transverse) acoustic waves that start to be sustained by a liquid in certain conditions we will clarify later on. Moreover, other high frequency branches are typically observed in liquids where a structuring effect is induced by the presence of hydrogen bonds [5]. For example, Figure 1 shows the multi-branch dispersion relation we found for liquid methanol by MD simulations at T = 200 K, and which was shown to reduce to a single bell-shaped branch (similar to the magenta curve of Figure 1, but characterized by lower values of the frequencies) by appropriately switching HB off [10].
Before discussing the autocorrelation functions of basic importance for the determination and interpretation of dispersion curves of liquids, it is useful to summarize how these are, in general, represented within the EET.
It is important to immediately point out that, in the most general case of quantum-behaving systems, as all real systems in principle are, a generic time-autocorrelation c ( t ) of a dynamical operator A ( t ) , so normalized as to have c ( 0 ) = 1 , namely c ( t ) = A ( 0 ) A ( t ) / A ( 0 ) 2 , is a complex quantity, whose real and imaginary parts are even and odd in time, respectively. This parity condition is a consequence of one of the Kubo-Martin-Schwinger relations for quantum correlations [9,11,12], namely c ( t ) = c * ( t ) = c ( t + i β ) , with β = ( k B T ) 1 , k B Boltzmann constant, and the reduced Planck constant. Note that the second equality represents the detailed balance principle in the time domain.
The corresponding frequency spectrum, c ( ω ) = ( 2 π ) 1 + d t exp ( i ω t ) c ( t ) , is real-valued, albeit asymmetric due to detailed balance, that in the frequency domain takes the form c ( ω ) = e β ω c ( ω ) . In what follows, we will often refer not only to the genuine quantum correlation and its asymmetric spectrum, but also to the Kubo transform [12] of the (normalized) correlation defined by
c K ( t ) = 1 β 0 β d λ e λ H A ( 0 ) e λ H A ( t ) A ( 0 ) 2 ,
where H is the Hamiltonian operator of the system. Equation (1) represents an even and real-valued quantity, whose spectrum will be denoted as c K ( ω ) . The important properties of Kubo spectra are that these are (more manageable) symmetric functions of ω , which can be shown, via the fluctuation-dissipation theorem [12], to be related to the genuine quantum spectra according to
c ( ω ) = β ω 1 e β ω c K ( ω ) .
Unless quantum or semi-quantum fluids are considered, which is not the case of the present work, the time correlation functions produced by classical MD calculations are usually, and correctly, taken to coincide with the Kubo ones.
The exponential expansion theory, in its first formulation [6], states that any even and real time autocorrelation function can be expressed as a series of exponential modes. Thus, c K ( t ) can be represented by
c K ( t ) = j = 1 I j exp ( z j | t | ) .
In Equation (3), exponentially decaying terms with real I j and z j (with z j < 0 ) will be referred to as “real modes”, while exponentially damped oscillatory components of the correlation are represented in the sum by “complex pairs” of modes, i.e., by I j exp ( z j t ) + I j * exp ( z j * t ) , with I j and z j complex, and Re z j < 0 . Note that complex modes appear in conjugate pairs because the Kubo correlation is real-valued. The generalization of the exponential functional form to complex autocorrelations can be found in Ref. [9].
Given the representation of Equation (3), the corresponding frequency spectrum reads
c K ( ω ) = j = 1 L j ( ω ) = j = 1 I j π ( z j ) ω 2 + z j 2
where L j ( ω ) is a generalized Lorentzian profile, i.e., a Lorentzian function with complex width and amplitude parameters. If I j and z j are real, then L j ( ω ) is a genuine Lorentzian centered at ω = 0 , and characterized by a half width at half maximum z j . If I j and z j are complex, then the corresponding mode and its complex conjugate add up to give a pair of distorted Lorentzians centered at the nonzero frequencies ± Im z j (see Equation (4) of Ref. [13] for details). Finally, it is useful to recall that the normalization of c K ( t ) to its initial value leads to the sum rule j = 1 I j = 1 , and that the existence of its p-th order ( p = 1 , 2 , . . . ) time derivatives at t = 0 leads to an infinite set of sum rules of the form
j = 1 I j z j p = d p c K ( t ) d t p | t = 0 = 0 , for odd p .
Applications of the mode decomposition method, of course, require a truncation of the infinite series of Equation (3). As we mentioned in the introduction, the remarkable fact is that only a small number of real and complex terms is typically needed to obtain excellent descriptions of the autocorrelation function under scrutiny, meaning that the main dynamical features originate from a few microscopic processes. Therefore, the analysis of the time dependence of c K ( t ) is usually performed by fitting to the function the sum of a finite (and small) number of exponential terms, with I j and z j as parameters. In the fit procedure we impose a certain number of constraints, in order to comply with the normalization condition, j I j = 1 , and to enforce the first few odd sum rules dictated by Equation (5) up to p -1, for a given even p. Given the specific form of the finite mode expansion, which is of class C everywhere except, possibly, at t = 0 , enforcement of sum rules not only ensures that the odd derivatives of c K ( t ) vanish at t = 0 up to the order p -1, but that all derivatives up to order p exist and are continuous at the time origin.
From a practical point of view, the number of real and complex terms and the number of sum rules are essentially chosen according to physical considerations, previously acquired knowledge of liquids dynamics, and, eventually, the fit quality achieved with a reasonably low (ideally minimized) number of parameters.
Another important consequence of the EET will also be helpful. In particular, we consider the case of a generic autocorrelation function b K ( t ) related to the second time derivative of another autocorrelation c K ( t ) , e.g., b K ( t ) = c ¨ K ( t ) , whose spectrum is b K ( ω ) = ω 2 c K ( ω ) . By using the exponential representation of c K ( t ) = j I j exp ( z j t ) at t > 0 , direct double differentiation, of course, leads to:
b K ( t ) = j ( I j z j 2 ) e z j t ,
so that the following relations hold when switching to ω space:
b K ( ω ) = ω 2 c K ( ω ) = ω 2 j I j π ( z j ) ω 2 + z j 2 = = j I j π ( z j ) ( ω 2 + z j 2 z j 2 ) ω 2 + z j 2 = j I j π z j + z j 3 ω 2 + z j 2 = = j ( I j z j 2 ) π ( z j ) ω 2 + z j 2 ,
where the first term in the last but one member of Equation (7) vanishes due to the first odd sum rule, j I j z j = 0 . The notation used in the last member of the above equation is simply meant to help recalling that for real modes z j is a positive quantity, and that the amplitudes I j in c K ( ω ) change to ( I j z j 2 ) in b K ( ω ) . Consequently, the amplitudes of the real components of b K ( ω ) are opposite in sign with respect to the corresponding ones in c K ( ω ) . The sign of the total contribution to b K ( ω ) of a complex pair is less trivial to deduce, since it depends on the possible combinations of the real and imaginary parts of both I j and z j . Summarizing, the scheme of the modes for the two time autocorrelations, c K ( t ) and b K ( t ) , is exactly the same, with identical frequencies and damping coefficients. Only the amplitudes of the modes change when switching between c K ( t ) and b K ( t ) , and their spectra.
Note that the subscript K will be used, from now on, to denote the real and even (Kubo) counterparts (provided in the classical limit by standard MD) of the various quantum autocorrelation functions we are going to introduce.

3. Results and Discussion

Historically, investigations of the collective dynamics of liquids first addressed autocorrelation functions with a clear link to spectroscopic probes of the dynamic structure factor S ( Q , ω ) , i.e., the spectrum of the intermediate scattering function F ( Q , t ) (we recall that, in liquids, isotropy makes both functions depend only on the modulus Q of the wavevector Q ):
S ( Q , ω ) = 1 2 π + d t e i ω t F ( Q , t ) = = 1 2 π + d t e i ω t 1 N i , j = 1 N e i Q · R i ( 0 ) e i Q · R j ( t ) ,
where N is the total number of particles, R i ( 0 ) is the position of the ith particle at the (arbitrarily chosen) time origin, and R j ( t ) is the position of either the same or another particle, at a different time t. The angle brackets denote the quantum canonical ensemble average. In Equation (8), F ( Q , t ) is the autocorrelation function of the (space) Fourier components of the microscopic density fluctuations. Such a time-autocorrelation simply derives from the space Fourier transform of the density-density correlation function G ( r , t ) cleverly introduced by van Hove in 1954 [14].
In the hydrodynamic regime ( Q , ω 0 ), the lineshape of S K ( Q , ω ) is exactly known [2,3] and consists of three Lorentzians, called Rayleigh-Brillouin (RB) triplet, two of which are slightly distorted and centred at ± ω s with ω s = c s Q , where the subscript “s” means “sound” and c s is the adiabatic sound velocity. The amplitudes, widths and frequencies characterizing the hydrodynamic triplet are completely determined by the (macroscopic) thermodynamic and transport properties of the fluid. A model lineshape usually adopted just outside the hydrodynamic region, often referred to as generalized hydrodynamics (GH) [3], consists in keeping the RB three-Lorentzian structure, but with generalized thermodynamic and transport coefficients expressed as local (Q-dependent) variables to be determined as free parameters of a fit procedure at each Q.
Another model lineshape, which is typically used to account for the simulated S K ( Q , ω ) at larger Q values, is the viscoelastic (VE) one. This differs from the GH triplet for the addition of a second central Lorentzian [3] accounting for structural relaxation, along with generalized thermal diffusion.
The VE lineshape successfully describes the simulated S K ( Q , ω ) of simple insulating systems in very wide Q ranges [15,16]. We stress “insulating” because the VE model sometimes ceases to have such a large-Q validity in the case, instead, of liquid metals. Indeed, at some wavevector, shear waves start propagating in metallic systems, along with the ubiquitous sound waves, and, compatibly with the accuracy of the data, may produce feeble signals also in the dynamic structure factor, as we showed in Ref. [17] for liquid Ag. Therefore, a single-excitation model (i.e., characterized by one complex pair only, along with other real modes), like GH or VE, may become insufficient and different, but physically constrained, models can be required.
These are the cases in which, as we will see, the EET approach reveals itself to be superior to the one based on memory functions, showing its simplicity and flexibility, but under physical and indisputable rigor. In particular, no effective memory function formalism can tackle the presence of multiple excitations without becoming obscure and cumbersome, leading to parameters of difficult interpretation and a loss of control on the physical constraints.
On the other hand, the GH and VE models have a suitable representation also in the memory function formalism [3], and actually comply with the general EET. The former can be represented in the EET as consisting of one real mode and one complex pair (three modes in total), with 2 sum rules (normalization and finiteness of the second-frequency moment). The latter corresponds to two real modes and one complex pair (four modes in total), with 3 sum rules, the latter ensuring finiteness of the fourth frequency-moment as well. An example of the good performance of these models at different values of Q for liquid CD4 close to its triple point [15] is reported in Figure 2.
The VE one-excitation model was also found to be appropriate for fits to (pioneering) ab initio MD simulations for liquid Au [18]. An example of the better performance of the VE over the GH lineshape in the Au case is given in Figure 3. However, in light of the present knowledge about shear waves in dense simple liquids [19] and liquid metals [17,20], and about the fingerprints they leave also in simulated S K ( Q , ω ) (we will comment on in the remainder of the paper), we believe that performing new simulations for liquid Au might be worth, taking advantage of the present computational capabilities and of progressive refinements of ab initio calculation techniques over one decade. In fact, we expect that the more recent case of liquid Ag, where a second excitation was detected in the S K ( Q , ω ) , cannot differ too much from that of liquid Au if investigated by improved ab initio simulation methods.
Indeed, the presence of low frequency transverse modes in liquid Au, albeit not revealed by the present S K ( Q , ω ) data, can be deduced from another important quantity in liquids dynamics: the velocity autocorrelation function (VAF). The VAF is a single-particle quantity, depending on time only, and defined by
Z ( t ) = 1 N i v i ( 0 ) · v i ( t ) .
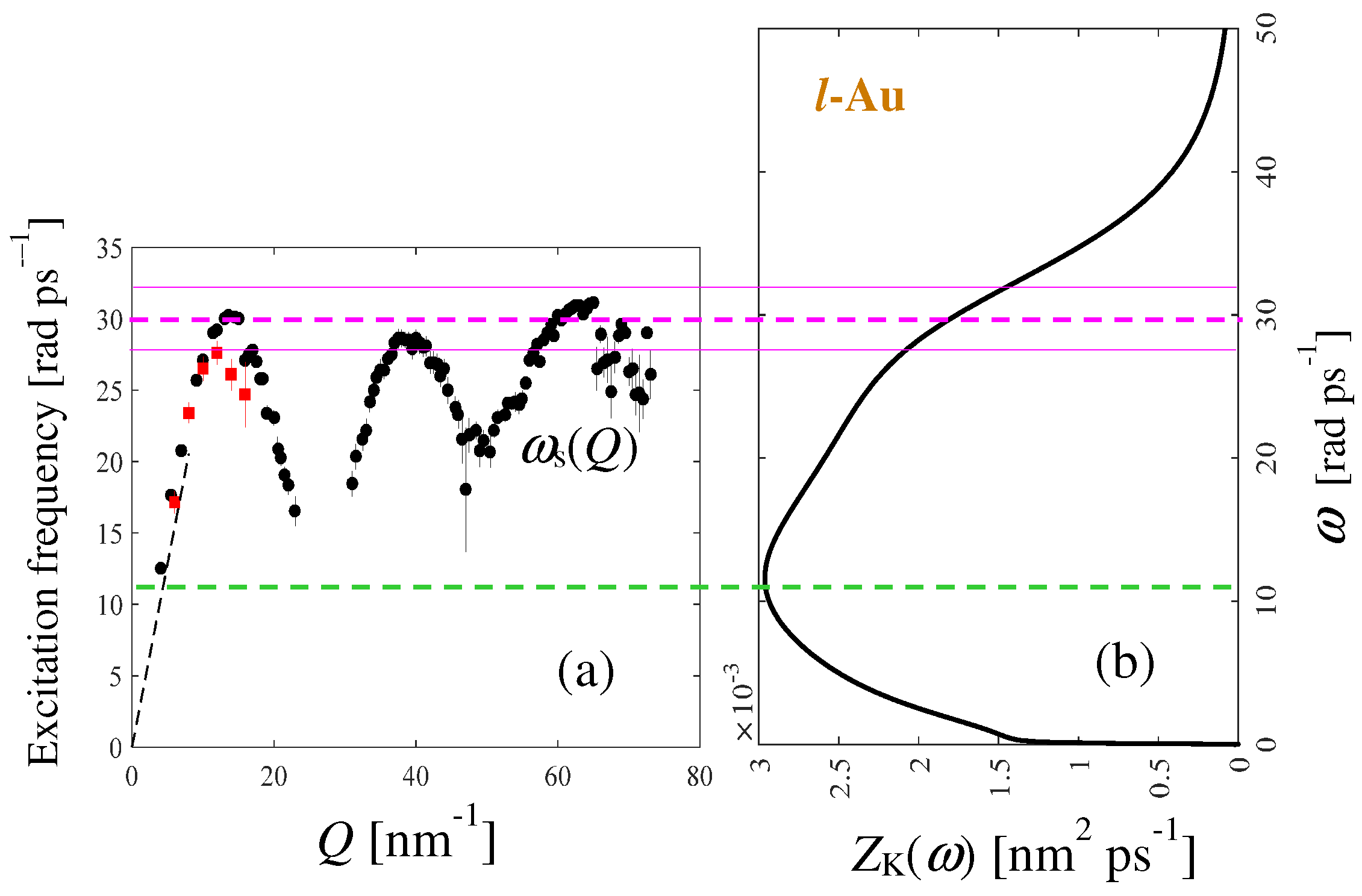
where v i is the velocity of the ith particle and an additional average over all particles is performed. Both longitudinal and transverse collective processes contribute to the VAF by affecting the velocity of each single particle. Its Fourier transform Z ( ω ) is the analog of the phonon density of states (DoS) of a solid, thus revealing all the excitations sustained by the fluid, as shown in the literature both for the model Lennard-Jones (LJ) fluid [21,22] and for liquid metals [13,17]. In particular, the DoS displays peaks or shoulders in frequency bands where the various branches of the dispersion law have a horizontal tangent. For instance, referring to Figure 1, maxima and relative maxima in the DoS take place around 8, 25, 45 rad ps−1, approximately. In the case of liquid Au, when comparing the dispersion law with the DoS (see Figure 4) it is immediate to understand that a low frequency branch is missing.
As mentioned, differently from liquid Au, an investigation of the dynamics of liquid Ag [17] revealed fingerprints of low frequency modes in the simulated S K ( Q , ω ) at Q values above 15 nm−1, so a two-excitation model was adopted according to the EET, and with three sum rules. We will call it “2C” just to mean that the model includes two complex pairs to account for both longitudinal and transverse excitations, along with a single real mode. The latter is to be interpreted as an effective way of accounting for the central part of the ab initio MD spectra (reducing the total number of parameters to be handled by the fit procedure), and cannot be assigned to a specific relaxation process, although it is rather obvious that it must reflect the presence of both thermal and structural effects (like in the VE model).
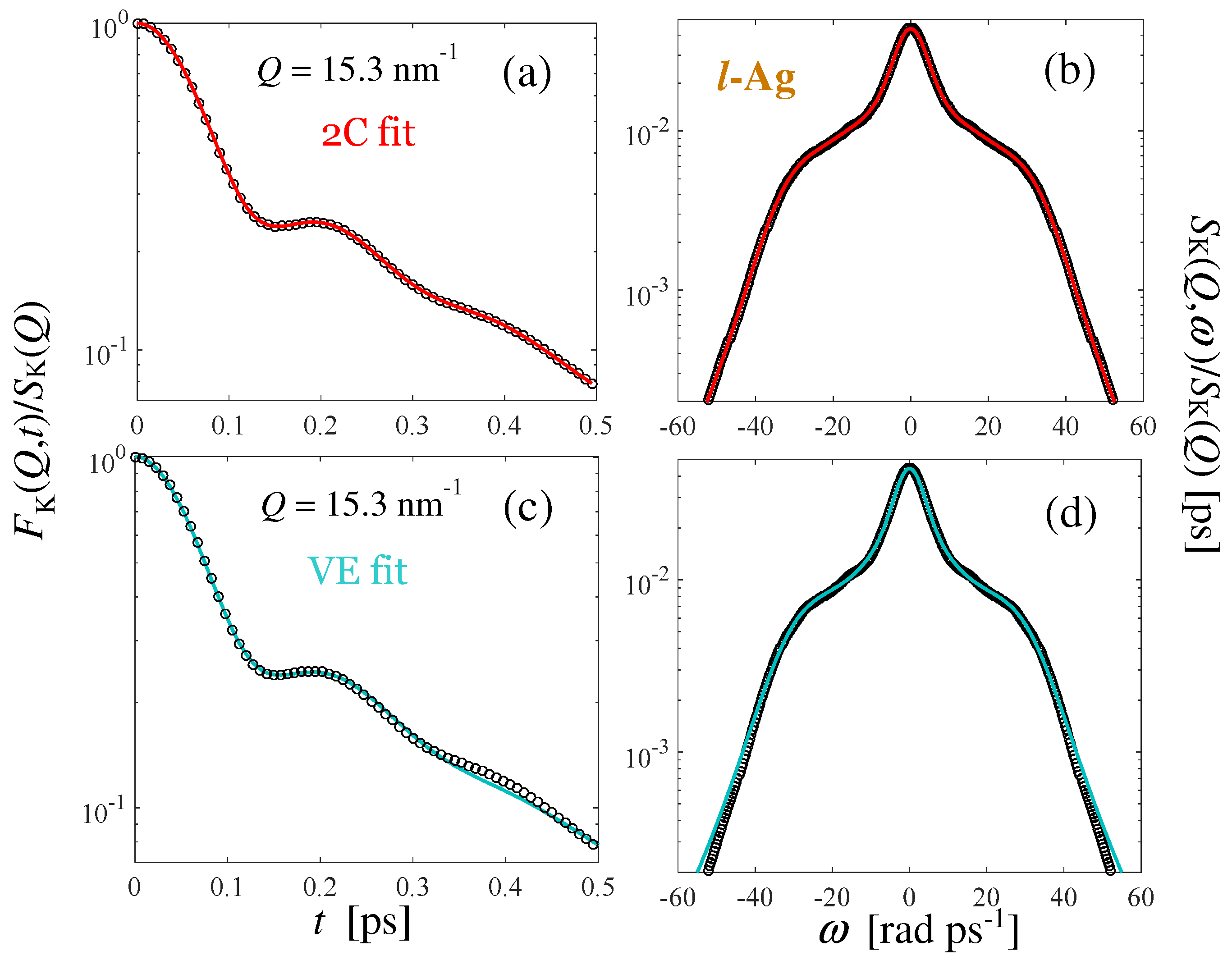
The quality of the EET 2C fit to S K ( Q , ω ) can be appreciated in Figure 5. At lower Q values, where transverse waves have not set in yet, or at least are not detectable from S K ( Q , ω ) , a one-excitation VE model was instead found to give excellent results. However, the VE lineshape becomes insufficient at Q > 15 nm−1, as shown in Figure 6, especially by comparing panels (b) and (d). It is worth commenting that the differences visible on a semilogarithmic scale might appear insignificant to the reader, but they are not in our view, given the extreme accuracy achievable with EET fits. This is another strong point of the representation that helps in landing on an as correct as possible model. Our criterion is that “very good” fits are those able to represent the function over quite a broad intensity range, e.g., at least two decades.
Previously we mentioned that the propagation of shear waves in liquids takes place only when both the density and wavevector Q exceed certain threshold values, as stated long time ago [23]. The minimum wavevector value is usually called Q gap [24] to indicate that in the range 0 < Q < Q gap no propagation of transverse excitations occurs. Of course, the best suited quantity to analyze in order to determine Q gap is the transverse current autocorrelation (TCAF) C T ( Q , t ) [2], which unfortunately can only be evaluated by MD simulations, since its spectrum, C T ( Q , ω ) , is inaccessible by spectroscopic techniques. For a lighter notation, we will drop in what follows the subscript K to autocorrelations and spectra, though these are anyway to be intended as the Kubo ones.
The current j is defined as j ( Q , t ) = i v i ( t ) e i Q · R i ( t ) . It is usually separated in two parts, j L and j T , where the longitudinal component (parallel to Q ) is given by [2]
j L ( Q , t ) = ( j ( Q , t ) · Q ) Q / Q 2 ,
and the transverse part is simply j T ( Q , t ) = j ( Q , t ) j L ( Q , t ) . Following the notation of Ref. [2], the longitudinal current autocorrelation function (LCAF) is then
C L ( Q , t ) = 1 N j L ( Q , 0 ) · j L ( Q , t ) = 1 Q 2 d 2 F ( Q , t ) d t 2 ,
The TCAF is instead given by
C T ( Q , t ) = 1 2 N j T ( Q , 0 ) · j T ( Q , t ) .
Note that Equation (11) shows that the LCAF is related to the second time derivative of the intermediate scattering function. So, according to Equation (7) and the subsequent discussion at the end of Section 2, it brings no additional dynamic information compared to F ( Q , t ) , whose spectrum S ( Q , ω ) is therefore a longitudinal quantity by definition.
Nonetheless, as mentioned, in the case of Ag traces of transverse excitations are detected from a rigorous and physically constrained analysis of the simulated S K ( Q , ω ) [17]. Less convincing evidence of such traces in experimental S ( Q , ω ) data [25,26,27,28,29] was anyway reported across the years. These results have often suggested the possible existence of a sort of “coupling” between longitudinal and transverse modes, a suggestion driven mainly by the pioneering simulation work on water by Sampoli et al. [5,30], which however regarded a HB liquid, quite different from the metallic systems of the mentioned experiments.
As all autocorrelation functions, the TCAF can be perfectly represented by the EET and conveniently used to follow, by changing appropriately the scheme of the modes with increasing Q, the onset of shear wave propagation. In particular, an EET analysis permits to locate Q gap with an accuracy unachievable by other approximate methods (e.g., by locating the position of the maxima in C T ( Q , ω ) ).
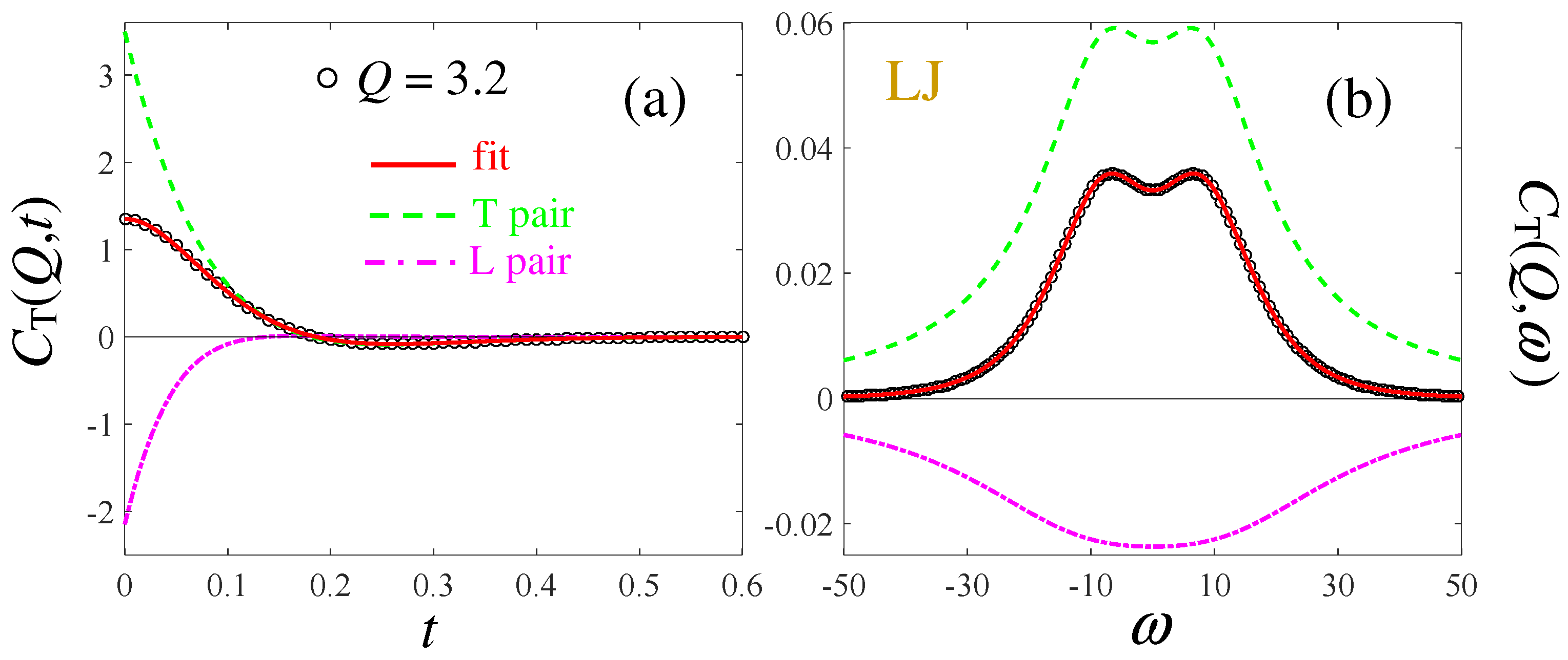
The EET-based determination of Q gap was applied rather recently to a dense LJ system [19], finding that, at the transition, the best-fitting model, composed initially of three real modes, had to be replaced with one containing two real modes and one complex pair, the latter representing the propagating shear modes.
Even more interesting was the discovery that, at higher Q values, two complex pairs started providing the best description of the TCAF, thus marking a second transition and the onset of another oscillatory component, as shown in Figure 7. While the frequency of the former was found to smoothly continue the transverse dispersion curve found at lower Q values and starting at Q gap , the frequency of the latter was observed to rapidly exceed those of the transverse modes, eventually approaching a sort of plateau at the highest Q of our study. Note that in Figure 7 all quantities, being the case of a LJ system, are reduced (dimensionless) by using the parameters of the potential, as specified in many papers dealing with LJ fluids.
Surprisingly, the frequency attained by this second excitation was very close to the one at which the DoS of the studied LJ state (see Figure 5d of Ref. [22]) displayed the typical slight bump related to longitudinal modes (similarly to what shown here in Figure 4b for Au). We therefore tentatively assigned a “longitudinal” origin to this component of C T ( Q , t ) . Again, the fact that traces of longitudinal modes are observed in a genuinely transverse quantity, like C T ( Q , t ) , induce to think of a “mixing” of the two dynamics, reciprocally visible as a secondary excitation, in the nominally “longitudinal” and “transverse” most important functions in liquids dynamics.
Just as an example of the EET performance also for the TCAF, we report in Figure 8 the case where two complex pairs are the best-fitting model, indicating the presence of two oscillatory modes. The negative amplitude of one of the two should not surprise, as explained both here, in Section 2, and in other works [17]. We recall, in fact, that exponential modes may have negative amplitudes in certain autocorrelation functions and corresponding spectra. The total spectrum, however, must be positive, if the fit is accurate and sum rules are obeyed, as it always happens in the cases we report.
An important point worth clarifying regards the crucial role played by the DoS in drawing a consistent picture of the overall dynamics of a liquid. In fact, the DoS indicates how many branches, at minimum (i.e., with a certain energy resolution), are to be expected in the dispersion law, and where vibrational frequencies occur more often in a fixed small Δ Q interval, with varying Q. In simple dense (isotropic) liquids, therefore, two frequencies are highlighted by the DoS, i.e., those related to the longitudinal and degenerate transverse acoustic branches. These frequencies can not only be approximately determined by visual inspection of the shape of the DoS, but also precisely located by means of an appropriate EET analysis (see, e.g., Figure 9 of Ref. [17]). However, for a given system, the DoS conveys only a global information about the collective processes active in the fluid. Such an information is extremely helpful, but the true Q dispersion of the longitudinal and transverse mode frequencies can, of course, only be determined by accurate analyses of S ( Q , ω ) and C T ( Q , ω ) , respectively.
Given the above clarification, the fact that the second excitation frequency in the TCAF of the LJ fluid tends to the constant value signaled by the DoS for longitudinal modes alerted us, inducing to further inquiries about such a phenomenon even in other systems. For this reason we turned again to liquid Au, taking advantage of the ab initio MD configurations already available in a wide Q range to calculate both C T ( Q , t ) and its self part C T , self ( Q , t ) , according to
C T ( Q , t ) = 1 N j x ( Q , 0 ) j x ( Q , t ) = = 1 N i , j i v x , i ( 0 ) e i Q R z , i ( 0 ) v x , j ( t ) e i Q R z , j ( t ) + + 1 N i v x , i ( 0 ) e i Q R z , i ( 0 ) v x , i ( t ) e i Q R z , i ( t ) = C T , dist ( Q , t ) + C T , self ( Q , t ) .
A similar separation can be performed for the LCAF. It is immediate to see that in the Q 0 limit the following relations hold
C L , self ( Q 0 , t ) = C T , self ( Q 0 , t ) = 1 3 Z ( t ) .
Interestingly, the self part of the TCAF is found to have a very weak dependence on Q (see Figure 9). As a consequence, C T ( Q , t ) contains, in addition to the distinct part, a contribution which is very similar to the VAF even at nonzero Q values, so C T ( Q , ω ) has a spectral component that yields the same information as the DoS of the fluid. It is then plausible to hypothesize that the second, high-frequency, oscillatory component in C T ( Q , t ) might simply reflect the presence of longitudinal modes in the same “nondispersive” way the VAF (or equivalently C T , self ( Q , t ) ) does.
To verify this, we performed an extensive EET analysis of both C T ( Q , t ) and C T , self ( Q , t ) of liquid Au [20], finding that two complex pairs perfectly describe the TCAF at all investigated Q values. As in the case of the LJ fluid (see Figure 7), one of the two mode frequencies attained the constant value (about 30 rad ps−1, for Au) of the longitudinal feature in the DoS (see Figure 4). Given our experience with EET modelings of the VAF, we adopted instead a lineshape consisting of two complex pairs and one real mode to describe C T , self ( Q , t ) . An example of the quality of the fit to C T , self ( Q , ω ) is given in Figure 10.
In Figure 11 we compare the Q dependence of the high frequencies, ω h and ω h , self , of C T ( Q , t ) and C T , self ( Q , t ) , respectively. As supposed, ω h evidently originates from the self part of the TCAF.
Therefore, the signature of longitudinal modes in the TCAF is just the same as the one these modes leave on the VAF. It is also clear that the mentioned “coupling” of the longitudinal and transverse dynamics is likely and simply governed by the self parts of each specialized function, i.e., either F ( Q , t ) or C T ( Q , t ) when dealing with the longitudinal or the transverse sound dispersions, respectively. Here we showed that this is the case for the TCAF.
These observations regarding the information conveyed by C T ( Q , t ) suggest that a similar situation could occur for F ( Q , t ) , in a specular way. Indeed, F ( Q , t ) surely provides the correct longitudinal dispersion curve, but if another oscillatory component is found, as in Ag [17] (see Figure 5), one might suppose that it confirms the occurence of shear wave propagation as inferred from the VAF, thus suggesting that the “coupling” is again activated by the self part of the studied function. In this respect, we can anticipate a few considerations in favor of the above possibility.
An important result of liquids dynamics regards the relation between the VAF and the self part of F ( Q , t ) , namely [2]
Z ( t ) = lim Q 0 3 Q 2 F ¨ self ( Q , t ) .
Consequently, the spectrum reads
Z ( ω ) = lim Q 0 Z ( Q , ω ) = lim Q 0 3 ω 2 Q 2 S self ( Q , ω ) .
However, the above definition of Z ( ω ) hides a discontinuity in ω = 0 , since different results are obtained for Z ( ω = 0 ) depending on the order in which the Q 0 and ω 0 limits are performed. This problem can be circumvented [31] by defining the Q-dependent function
Z ( Q , ω ) = 3 Q 2 S self ( Q , ω ) ( ω 2 + D s 2 Q 4 ) ,
where D s is the simple diffusion coefficient. In this way, the function is continuous also at the origin of the Q- ω space and provides Z ( ω ) as
Z ( ω ) = lim Q 0 Z ( Q , ω ) .
In the time domain we thus refer to
Z ( Q , t ) = 3 Q 2 F ¨ self ( Q , t ) + 3 D s 2 Q 2 F self ( Q , t ) ,
and remembering the considerations at the end of Section 2, it follows that in an EET representation the frequencies of Z ( Q , t ) and F self ( Q , t ) are just the same, while the amplitudes of the various terms in the expansion for Z ( Q , t ) , A j ( Q ) , are related to those of F self ( Q , t ) , I j ( Q ) , by
A j ( Q ) = 3 Q 2 z j 2 ( Q ) I j ( Q ) + 3 D s 2 Q 2 I j ( Q ) .
Being mainly concerned with dispersion curves, the important fact is that Z ( Q , t ) and F self ( Q , t ) (or equivalently Z ( Q , ω ) and S self ( Q , ω ) ) bring the same information about the mode frequencies, and these are exactly those of the VAF in the Q 0 limit. In an EET analysis of the mentioned liquid Au simulations [13], we showed that the frequencies of the modes of S self ( Q , ω ) , ω 1 ( Q ) and ω 2 ( Q ) , nicely extrapolate to the frequencies of the DoS at Q = 0 . In order to help the reader, we report the Q trends in Figure 12. Both frequencies have a very smooth and limited Q dependence, indicating that S self ( Q , ω ) weakly differs from the VAF spectrum as Q grows. The anyway rather flat behavior of ω 1 ( Q ) seems therefore compatible with the nearly constant Q-trend of transverse frequencies obtained by fits to S ( Q , ω ) , as that shown in Figure 1 for methanol or in Figure 8b of Ref. [17] for Ag.
Whether the second low-frequency component of S ( Q , ω ) is to be identified with something that comes from the self part of the function and, consequently, from the DoS, could be settled by a concomitant analysis of both S self ( Q , ω ) and S ( Q , ω ) in systems requiring, above some Q value, a two-excitation model to fit the latter. This suggests, for instance, to perform an EET study also of S self ( Q , ω ) of liquid Ag.
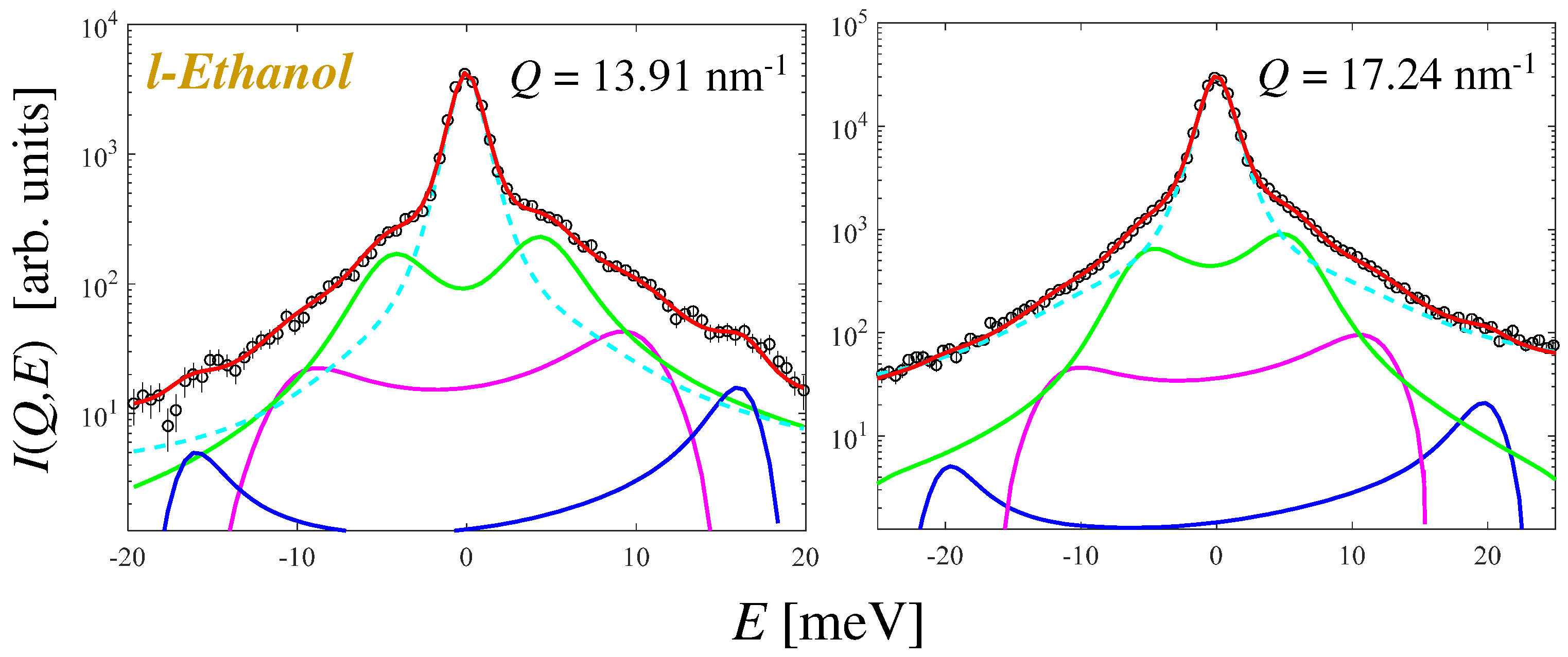
For a final significant example of the EET performance, we turn to experimental results obtained by inelastic x-ray scattering on liquid ethanol at T = 160 K [32]. As typical of HB liquids, multiple excitations contribute to the measured intensity I ( Q , E ) as a function of the exchanged energy E = ω . In particular, the EET representation can detect even those of feeble intensity. As shown in Figure 13, a very good fit is obtained by modeling the Kubo S K ( Q , E ) with one real mode and three complex pairs, imposing six sum rules (normalization plus five odd sum rules). It is worth noting that the experimental intensity is proportional to the quantum S ( Q , E ) . Moreover, the measured spectra are affected by the instrumental resolution. Therefore, the fit algorithm must include asymmetrization of the model S K ( Q , E ) according to Equation (2), and the convolution with the resolution function.
We often mentioned the rigor of the EET not only because the exponential functionality is an exact result, but also because it lends itself to a straightforward imposition of sum rules. However, the choice of the number of modes, of their real or complex character, and of the number of obeyed sum rules that actually lead to the best fit, usually requires to compare different trial models. In the comparison, the global quality of a fit must first be assessed from a physical point of view before resorting to statistical metrics such as the reduced χ 2 . For example, fit models giving parameter values which are unreasonable or at variance with those obtained at nearby Q values are not accepted. In this way, one strongly limits the risk of arbitrariness in the fit model construction.
In this respect, an alternative route of growing importance is Bayesian-inference-based lineshape analysis [33,34,35]. Indeed, the Bayesian approach enables to control model fitting on a statistical basis. So far, simple phenomenological lineshape models have been used [36] in a complex algorithm exploiting Bayes theorem to estimate the posterior probabilities, conditional on the experimental data, of the various parameters. The information from the posterior distributions permits to statistically identify what model the data actually support, thus the method is deeply rooted into evidence, and is intrinsically unbiased. A drawback, unfortunately, is the loss of control on the fulfillment of physical constraints when the Bayesian-inference fit algorithm is applied with phenomenological lineshapes.
In perspective, an ambitious project is to set up a single modeling tool that is both inherently unbiased (via statistical Bayesian inference) and physically constrained (through the EET representation and its sum rules). The aim therefore consists in using no longer the EET and Bayesian approaches as alternative routes to model fitting, but in their (very promising) fusion. Work is in progress to develop a unified and robust method that guarantees simultaneous statistical and physical consistency of fit results, free from biases of confirmation.
Such a tool would greatly help in the validation of some existing results, or in addressing the collective dynamics of challenging systems like binary mixtures [37]. At the same time, it could aid in definitely evaluating the actual need of models, like the stretched exponential relaxation, typically used in the field of glassy and soft matter investigations, and on which a doubt was cast by a first Bayesian study on suspensions [34]. Going beyond the case of simple, homogenous liquids, we expect the Bayes-EET modeling to become even more compelling when dealing with inhomogeneous, partially ordered mesoscale structures, including colloids, diblock copolymers, and liquid crystals. The onset of various non-acoustic, nonhydrodynamic modes expectedly emerges in the spectra of these systems at wavevectors matching the inverse of their inhomogeneity size. Therefore, physically and statistically grounded models would be critical to unambiguously unravel such complex multimode spectral shapes.

Author Contributions

Conceptualization, E.G.; methodology, U.B. and E.G.; software, E.G. and U.B.; formal analysis all authors; data curation, all authors; writing original draft preparation, E.G.; writing review and editing, all authors; funding acquisition, E.G. All authors have read and agreed to the published version of the manuscript.

Funding

This work has been funded by the Next Generation EU project PRIN-2022JWAF7Y.

Data Availability Statement

All data reported in this work are available on request.

Acknowledgments

We warmly thank M. A. González, E. Farhi, B. G. del Rio, D. J. González, L. E. González and M. Neumann for their simulation work. We are deeply indebted to F. Barocchi for his precious teachings and ubiquitous support across the years.

Conflicts of Interest

The authors declare no conflicts of interest. The funders had no role in the design of the study; in the collection, analyses, or interpretation of data; in the writing of the manuscript; or in the decision to publish the results.

Abbreviations

The following abbreviations are used in this manuscript:
EET   exponential expansion theory
MDmolecular dynamics
HBhydrogen bond
RBRayleigh-Brillouin
GHgeneralized hydrodynamics
VEviscoelastic
VAFvelocity autocorrelation function
DoSdensity of states
LJLennard-Jones
2Ctwo complex pairs
TCAFtransverse current autocorrelation function
LCAFlongitudinal current autocorrelation function

References

  1. Hansen, J.P.; McDonald, I.R. Theory of Simple Liquids, 2nd ed.; Academic Press: London, UK, 1986. [Google Scholar]
  2. Balucani, U.; Zoppi, M. Dynamics of the Liquid State; Clarendon: Oxford, UK, 1994. [Google Scholar]
  3. Bafile, U.; Guarini, E.; Barocchi, F. Collective acoustic modes as renormalized damped oscillators: Unified description of neutron and x-ray scattering data from classical fluids. Phys. Rev. E 2006, 73, 061203. [Google Scholar] [CrossRef] [PubMed]
  4. Scopigno, T.; Ruocco, G. Microscopic dynamics in liquid metals: The experimental point of view. Rev. Mod. Phys. 2005, 77, 881. [Google Scholar]
  5. Cunsolo, A. The THz Dynamics of Liquids Probed by Inelastic X-Ray Scattering; World Scientific: Singapore, 2021. [Google Scholar]
  6. Barocchi, F.; Bafile, U.; Sampoli, M. Exact exponential function solution of the generalized Langevin equation for autocorrelation functions of many-body systems. Phys. Rev. E 2012, 85, 022102. [Google Scholar] [CrossRef] [PubMed]
  7. Barocchi, F.; Bafile, U. Expansion in Lorentzian functions of spectra of quantum autocorrelations. Phys. Rev. E 2013, 87, 062133. [Google Scholar]
  8. Barocchi, F.; Guarini, E.; Bafile, U. Exponential series expansion for correlation functions of many-body systems. Phys. Rev. E 2014, 90, 032106. [Google Scholar]
  9. Barocchi, F.; Guarini, E. Universal Matsubara time decay of quantum autocorrelations for Boltzmann particles. Phys. Rev. E 2022, 106, 044128. [Google Scholar]
  10. Bellissima, S.; González, M.A.; Bafile, U.; Cunsolo, A.; Formisano, F.; De Panfilis, S.; Guarini, E. Switching off hydrogen-bond-driven excitation modes in liquid methanol. Sci. Rep. 2017, 7, 10057. [Google Scholar] [CrossRef]
  11. Martin, P.C.; Schwinger, J. Theory of many-particle systems. I. Phys. Rev. 1959, 115, 1342. [Google Scholar]
  12. Kubo, R. The fluctuation-dissipation theorem. Rep. Prog. Phys. 1966, 29, 255. [Google Scholar] [CrossRef]
  13. Guarini, E.; Bellissima, S.; Bafile, U.; Farhi, E.; De Francesco, A.; Formisano, F.; Barocchi, F. Density of states from mode expansion of the self-dynamic structure factor of a liquid metal. Phys. Rev. E 2017, 95, 012141. [Google Scholar]
  14. van Hove, L. Correlations in space and time and Born approximation scattering systems of interacting particles. Phys. Rev. 1954, 95, 249. [Google Scholar] [CrossRef]
  15. Sampoli, M.; Bafile, U.; Barocchi, F.; Guarini, E.; Venturi, G. Propagation of acoustic excitations in a liquid at large wave vectors: A molecular-dynamics study. J. Phys. Condens. Matter 2008, 20, 104206. [Google Scholar] [CrossRef]
  16. Sampoli, M.; Bafile, U.; Guarini, E.; Barocchi, F. Collective dynamics and molecular interactions in liquid CO2 by inelastic neutron scattering and computer simulations. Phys. Rev. B 2009, 79, 214203. [Google Scholar] [CrossRef]
  17. Guarini, E.; De Francesco, A.; Bafile, U.; Laloni, A.; del Rio, B.G.; González, D.J.; González, L.E.; Barocchi, F.; Formisano, F. Neutron Brillouin scattering and ab initio simulation study of the collective dynamics of liquid silver. Phys. Rev. B 2020, 102, 054210. [Google Scholar] [CrossRef]
  18. Guarini, E.; Bafile, U.; Barocchi, F.; De Francesco, A.; Farhi, E.; Formisano, F.; Laloni, A.; Orecchini, A.; Polidori, A.; Puglini, M.; et al. Dynamics of liquid Au from neutron Brillouin scattering and ab initio simulations: Analogies in the behavior of metallic and insulating liquids. Phys. Rev. B 2013, 88, 104201. [Google Scholar] [CrossRef]
  19. Guarini, E.; Neumann, M.; De Francesco, A.; Formisano, F.; Cunsolo, A.; Montfrooij, W.; Colognesi, D.; Bafile, U. Onset of collective excitations in the transverse dynamics of simple fluids. Phys. Rev. E 2023, 107, 014139. [Google Scholar] [CrossRef]
  20. Guarini, E.; Bafile, U.; Colognesi, D.; Cunsolo, A.; De Francesco, A.; Formisano, F.; Montfrooij, W.; Neumann, M.; Barocchi, F. Role of the single-particle dynamics in the transverse current autocorrelation function of a liquid metal. J. Chem. Phys. 2023, 158, 234501. [Google Scholar] [CrossRef]
  21. Bellissima, S.; Neumann, M.; Guarini, E.; Bafile, U.; Barocchi, F. Time dependence of the velocity autocorrelation function of a fluid: An eigenmode analysis of dynamical processes. Phys. Rev. E 2015, 92, 042166. [Google Scholar] [CrossRef]
  22. Bellissima, S.; Neumann, M.; Guarini, E.; Bafile, U.; Barocchi, F. Density of states and dynamical crossover in a dense fluid revealed by exponential mode analysis of the velocity autocorrelation function. Phys. Rev E 2017, 95, 012108. [Google Scholar] [CrossRef]
  23. Levesque, D.; Verlet, L.; Kürkijarvi, J. Computer “experiments” on classical fluids. IV. Transport properties and time-correlation functions of the Lennard-Jones liquid near its triple point. Phys. Rev. A 1973, 7, 1690. [Google Scholar] [CrossRef]
  24. Yang, C.; Dove, M.T.; Brazhkin, V.V.; Trachenko, K. Emergence and evolution of the k gap in spectra of liquid and supercritical states. Phys. Rev. Lett. 2017, 118, 215502. [Google Scholar] [PubMed]
  25. Hosokawa, S.; Inui, M.; Kajihara, Y.; Matsuda, K.; Ichitsubo, T.; Pilgrim, W.-C.; Sinn, H.; González, L.E.; González, D.J.; Tsutsui, S.; et al. Transverse Acoustic Excitations in Liquid Ga. Phys. Rev. Lett. 2009, 102, 105502. [Google Scholar] [PubMed]
  26. Giordano, V.M.; Monaco, G. Fingerprints of order and disorder on the high-frequency dynamics of liquids. Proc. Natl. Acad. Sci. USA 2010, 107, 21985. [Google Scholar]
  27. Giordano, V.M.; Monaco, G. Inelastic x-ray scattering study of liquid Ga: Implications for the short-range order. Phys. Rev. B 2011, 84, 052201. [Google Scholar]
  28. Hosokawa, S.; Munejiri, S.; Inui, M.; Kajihara, Y.; Pilgrim, W.-C.; Ohmasa, Y.; Tsutsui, S.; Baron, A.Q.R.; Shimojo, F.; Hoshino, K. Transverse excitations in liquid Sn. J. Phys. Condens. Matter 2013, 25, 112101. [Google Scholar]
  29. Hosokawa, S.; Inui, M.; Kajihara, Y.; Tsutsui, S.; Baron, A.Q.R. Transverse excitations in liquid Fe, Cu and Zn. J. Phys. Condens. Matter 2015, 27, 194104. [Google Scholar] [CrossRef]
  30. Sampoli, M.; Ruocco, G.; Sette, F. Mixing of longitudinal and transverse dynamics in liquid water. Phys. Rev. Lett. 1997, 79, 1678. [Google Scholar]
  31. Morkel, C.; Gronemeyer, C. Determination of the low ω cusp in the velocity autocorrelation spectrum of liquid sodium. Z. Phys. B—Condensed Matter 1988, 72, 433. [Google Scholar]
  32. De Francesco, A.; Formisano, F.; Scaccia, L.; Guarini, E.; Bafile, U.; González, M.A.; Alatas, A.; Lynch, S.T.; Cunsolo, A. Fingerprints of hydrogen bonding in the terahertz dynamics of ethanol and water: An inelastic x-ray scattering study. J. Chem. Phys. 2023, 159, 244501. [Google Scholar] [CrossRef]
  33. De Francesco, A.; Guarini, E.; Bafile, U.; Formisano, F.; Scaccia, L. Bayesian approach to the analysis of neutron Brillouin scattering data on liquid metals. Phys. Rev. E 2016, 94, 023305. [Google Scholar]
  34. De Francesco, A.; Scaccia, L.; Lennox, R.B.; Guarini, E.; Bafile, U.; Falus, P.; Maccarini, M. Model-free description of polymer-coated gold nanoparticle dynamics in aqueous solutions obtained by Bayesian analysis of neutron spin echo data. Phys. Rev. E 2019, 99, 052504. [Google Scholar] [CrossRef] [PubMed]
  35. De Francesco, A.; Cunsolo, A.; Scaccia, L. Bayesian approach for x-ray and neutron scattering spectroscopy. In Inelastic X-Ray Scattering and X-Ray Powder Diffraction Applications; IntechOpen: London, UK, 2020; Chapter 2; p. 26. [Google Scholar]
  36. De Francesco, A.; Bafile, U.; Cunsolo, A.; Scaccia, L.; Guarini, E. Searching for a second excitation in the inelastic neutron scattering spectrum of a liquid metal: A Bayesian analysis. Sci. Rep. 2021, 11, 13974. [Google Scholar] [CrossRef] [PubMed]
  37. Bryk, T.; Kopcha, M.; Yidak, I. Propagation gap for shear waves in binary liquids: Analytical and simulation study. J. Chem. Phys. 2024, 161, 184505. [Google Scholar] [CrossRef] [PubMed]
Figure 1. Dispersion curve of liquid methanol at T = 200 K as obtained by MD simulations [10]. The various branches are specified in the legend.
Figure 1. Dispersion curve of liquid methanol at T = 200 K as obtained by MD simulations [10]. The various branches are specified in the legend.
Liquids 05 00009 g001
Figure 2. Kubo dynamic structure factor (black circles with error bars) obtained by MD simulations of liquid CD4 close to its triple point [15]. (a): GH fit (red curve) and its components at a Q value in the hydrodynamic regime. The real mode is displayed as a dotted blue curve, while the complex pair is the solid magenta curve (b): VE fit and its components at a higher Q value. The additional real mode is the dashed green curve, while the other contributions follow the same color code of panel (a).
Figure 2. Kubo dynamic structure factor (black circles with error bars) obtained by MD simulations of liquid CD4 close to its triple point [15]. (a): GH fit (red curve) and its components at a Q value in the hydrodynamic regime. The real mode is displayed as a dotted blue curve, while the complex pair is the solid magenta curve (b): VE fit and its components at a higher Q value. The additional real mode is the dashed green curve, while the other contributions follow the same color code of panel (a).
Liquids 05 00009 g002
Figure 3. Kubo dynamic structure factor (black circles) obtained by ab initio MD simulations of liquid Au [18] and comparison of the GH (red curve) and VE (cyan curve) modeling at two example Q values (a,b).
Figure 3. Kubo dynamic structure factor (black circles) obtained by ab initio MD simulations of liquid Au [18] and comparison of the GH (red curve) and VE (cyan curve) modeling at two example Q values (a,b).
Liquids 05 00009 g003
Figure 4. (a): Dispersion relation ω s ( Q ) of liquid Au as obtained from an inelastic scattering neutron experiment (red full squares) and from simulation data (black dots) [18]; the dashed black line is the hydrodynamic law ω s = c s Q . (b): DoS from the mentioned ab initio simulations [18]. The magenta lines, containing the maxima of ω s ( Q ) , highlight the frequency band where the DoS shows the typical shoulder due to longitudinal modes. The green dashed curve corresponds to the frequency of the maximum in the DoS related to the weakly dispersive transverse modes that were not detected in S K ( Q , ω ) (see Figure 3), thereby leaving a missing branch in panel (a).
Figure 4. (a): Dispersion relation ω s ( Q ) of liquid Au as obtained from an inelastic scattering neutron experiment (red full squares) and from simulation data (black dots) [18]; the dashed black line is the hydrodynamic law ω s = c s Q . (b): DoS from the mentioned ab initio simulations [18]. The magenta lines, containing the maxima of ω s ( Q ) , highlight the frequency band where the DoS shows the typical shoulder due to longitudinal modes. The green dashed curve corresponds to the frequency of the maximum in the DoS related to the weakly dispersive transverse modes that were not detected in S K ( Q , ω ) (see Figure 3), thereby leaving a missing branch in panel (a).
Liquids 05 00009 g004
Figure 5. Normalized Kubo dynamic structure factor (black circles) obtained by ab initio MD simulations of liquid Ag at Q > 15 nm−1 [17]. (a): 2C fit (red curve) and its components specified in the legend (L = longitudinal, T = transverse). (b): fit result displayed on a semilogarithmic scale, where a perfect agreement is observed over more than two decades.
Figure 5. Normalized Kubo dynamic structure factor (black circles) obtained by ab initio MD simulations of liquid Ag at Q > 15 nm−1 [17]. (a): 2C fit (red curve) and its components specified in the legend (L = longitudinal, T = transverse). (b): fit result displayed on a semilogarithmic scale, where a perfect agreement is observed over more than two decades.
Liquids 05 00009 g005
Figure 6. Normalized Kubo intermediate scattering function and dynamic structure factor (black circles) obtained by ab initio MD simulations of liquid Ag [17]. (a,b): 2C fit (red curve) on semilogarithmic scales. Panel (b) is the same of Figure 5 but is reported to facilitate the comparison with panel (d). (c,d): VE fit (cyan curve) on semilogarithmic scales.
Figure 6. Normalized Kubo intermediate scattering function and dynamic structure factor (black circles) obtained by ab initio MD simulations of liquid Ag [17]. (a,b): 2C fit (red curve) on semilogarithmic scales. Panel (b) is the same of Figure 5 but is reported to facilitate the comparison with panel (d). (c,d): VE fit (cyan curve) on semilogarithmic scales.
Liquids 05 00009 g006
Figure 7. Transverse dispersion curve (green full circles) obtained by EET fits to the TCAF of a supercritical LJ fluid [19]. The green dot-dashed line marks the onset of shear waves at Q gap . The magenta full squares show the Q dependence of the second oscillatory component discussed in the text. The magenta dashed line marks the wavevector of the second dynamical transition found for this fluid.
Figure 7. Transverse dispersion curve (green full circles) obtained by EET fits to the TCAF of a supercritical LJ fluid [19]. The green dot-dashed line marks the onset of shear waves at Q gap . The magenta full squares show the Q dependence of the second oscillatory component discussed in the text. The magenta dashed line marks the wavevector of the second dynamical transition found for this fluid.
Liquids 05 00009 g007
Figure 8. (a): Transverse current autocorrelation of a supercritical LJ fluid [19] (black circles) at a Q value where two oscillatory components can be clearly detected by the EET-based analysis (see text). The fit curve is displayed as a red solid line. The assignment “L” to the second magenta pair refers to the likely connection of such an excitation to the presence of sound waves in the fluid. The EET fit is shown as a red curve. (b): Spectrum and its components.
Figure 8. (a): Transverse current autocorrelation of a supercritical LJ fluid [19] (black circles) at a Q value where two oscillatory components can be clearly detected by the EET-based analysis (see text). The fit curve is displayed as a red solid line. The assignment “L” to the second magenta pair refers to the likely connection of such an excitation to the presence of sound waves in the fluid. The EET fit is shown as a red curve. (b): Spectrum and its components.
Liquids 05 00009 g008
Figure 9. Comparison of the self part of the TCAF of liquid Au, at the low and high Q values specified in the legend, with Z ( t ) / 3 (blue dots).
Figure 9. Comparison of the self part of the TCAF of liquid Au, at the low and high Q values specified in the legend, with Z ( t ) / 3 (blue dots).
Liquids 05 00009 g009
Figure 10. (a): C T , self ( Q , ω ) of liquid Au at Q = 20.2 nm−1 (black circles) and fit result (red solid curve). The fit components (two complex pairs plus one real mode) are also shown and specified in the legend. The spectrum has been calculated for the function normalized to its initial value C T , self ( Q , t = 0 ) . (b): Spectrum and fit result on a semilogarithmic scale.
Figure 10. (a): C T , self ( Q , ω ) of liquid Au at Q = 20.2 nm−1 (black circles) and fit result (red solid curve). The fit components (two complex pairs plus one real mode) are also shown and specified in the legend. The spectrum has been calculated for the function normalized to its initial value C T , self ( Q , t = 0 ) . (b): Spectrum and fit result on a semilogarithmic scale.
Liquids 05 00009 g010
Figure 11. Dependence on Q of the two high frequencies, ω h (magenta dots) and ω h , self (blue empty stars), detected by an EET analysis of C T ( Q , t ) and C T , self ( Q , t ) of liquid Au [20].
Figure 11. Dependence on Q of the two high frequencies, ω h (magenta dots) and ω h , self (blue empty stars), detected by an EET analysis of C T ( Q , t ) and C T , self ( Q , t ) of liquid Au [20].
Liquids 05 00009 g011
Figure 12. Dependence on Q of the two frequencies, ω 1 (red dots) and ω 2 (blue stars), detected by an EET analysis of S self ( Q , ω ) ) of liquid Au [13]. Black solid lines represent the best fitting polynomials in powers of Q 2 up to the Q 4 term (see Ref. [13] for details).
Figure 12. Dependence on Q of the two frequencies, ω 1 (red dots) and ω 2 (blue stars), detected by an EET analysis of S self ( Q , ω ) ) of liquid Au [13]. Black solid lines represent the best fitting polynomials in powers of Q 2 up to the Q 4 term (see Ref. [13] for details).
Liquids 05 00009 g012
Figure 13. Intensity of the x-ray spectra (black circles) as a function of the exchanged energy E and EET fit (red curve) at two example Q values. Solid colored curves are the three inelastic components, while the dashed cyan curve is the real component of the adopted model. Note that the spectra are displayed on a semilogarithmic scale.
Figure 13. Intensity of the x-ray spectra (black circles) as a function of the exchanged energy E and EET fit (red curve) at two example Q values. Solid colored curves are the three inelastic components, while the dashed cyan curve is the real component of the adopted model. Note that the spectra are displayed on a semilogarithmic scale.
Liquids 05 00009 g013
Disclaimer/Publisher’s Note: The statements, opinions and data contained in all publications are solely those of the individual author(s) and contributor(s) and not of MDPI and/or the editor(s). MDPI and/or the editor(s) disclaim responsibility for any injury to people or property resulting from any ideas, methods, instructions or products referred to in the content.

Share and Cite

MDPI and ACS Style

Guarini, E.; Bafile, U.; Colognesi, D.; Cunsolo, A.; De Francesco, A.; Formisano, F. Progress in the Understanding of Liquids Dynamics via a General Theory of Correlation Functions. Liquids 2025, 5, 9. https://doi.org/10.3390/liquids5020009

AMA Style

Guarini E, Bafile U, Colognesi D, Cunsolo A, De Francesco A, Formisano F. Progress in the Understanding of Liquids Dynamics via a General Theory of Correlation Functions. Liquids. 2025; 5(2):9. https://doi.org/10.3390/liquids5020009

Chicago/Turabian Style

Guarini, Eleonora, Ubaldo Bafile, Daniele Colognesi, Alessandro Cunsolo, Alessio De Francesco, and Ferdinando Formisano. 2025. "Progress in the Understanding of Liquids Dynamics via a General Theory of Correlation Functions" Liquids 5, no. 2: 9. https://doi.org/10.3390/liquids5020009

APA Style

Guarini, E., Bafile, U., Colognesi, D., Cunsolo, A., De Francesco, A., & Formisano, F. (2025). Progress in the Understanding of Liquids Dynamics via a General Theory of Correlation Functions. Liquids, 5(2), 9. https://doi.org/10.3390/liquids5020009

Article Metrics

Back to TopTop