Next Article in Journal
Spring Wheat Breeding in Northern Kazakhstan: Drivers of Diversity and Performance
Previous Article in Journal
Moroccan Ulva rigida Extracts: A Promising Biostimulant for Improving Growth and Photosynthetic Performance in Salt-Stressed Bean Plants
 
 
Font Type:
Arial Georgia Verdana
Font Size:
Aa Aa Aa
Line Spacing:
Column Width:
Background:
Article

Mitigating Salinity Stress in Solanaceae: The Role of Nanoparticles in Seed Germination and Growth Development

by
Chinur Hadi Mahmood
,
Kamaran Salh Rasul
* and
Hawar Sleman Halshoy
Department of Horticulture, College of Agricultural Engineering Sciences, University of Sulaimani, Sulaymaniyah 46001, Kurdistan Region, Iraq
*
Author to whom correspondence should be addressed.
Crops 2025, 5(5), 62; https://doi.org/10.3390/crops5050062
Submission received: 18 August 2025 / Revised: 6 September 2025 / Accepted: 10 September 2025 / Published: 12 September 2025

Abstract

Salinity is a significant challenge that limits agricultural productivity worldwide. This study examined the use of nanoparticles to improve the growth and development of Solanaceae crops under salinity stress. Specifically, titanium dioxide (TiO2NPs), copper oxide (CuONPs), and zinc oxide (ZnONPs) were applied at 750, 1250, and 1500 mg/kg per seed, respectively, to assess their effects on seed germination and growth of tomato, eggplant, and pepper plants. Results showed that tomato plants under salinity stress performed best with CuONPs, which improved key traits. The combination of salinity and TiO2NPs reduced flower abortion and increased seed yield and 1000-Seed weight. In eggplants, CuONPs and ZnONPs, both individually and in combination with salinity, enhanced plant characteristics, with CuONPs showing particularly strong effects. Control plants consistently recorded the lowest values across traits. For peppers, ZnONPs applied individually most effectively improved growth traits, while CuONPs reduced flower abortion and enhanced seed and germination rates. However, salinity stress itself severely reduced pepper growth parameters. The findings highlight the potential of nanoparticle applications to mitigate salinity stress, enhance growth performance, and support sustainable crop production in tomatoes, eggplants, and peppers, offering practical solutions for salinity-affected agriculture.

1. Introduction

The increasing global demand for food production is driving research efforts to enhance agricultural practices, especially under challenging environmental conditions such as salinity stress. Salinity, primarily caused by high concentrations of sodium chloride (NaCl), is one of the most detrimental abiotic stress factors affecting plant growth, development, and productivity [1]. It disrupts osmotic balance, induces ion toxicity, and generates oxidative stress, which collectively hinders seed germination, root elongation, and overall plant development [2]. These challenges are particularly concerning for the Solanaceae family, a vital group of horticultural crops that includes tomato (Solanum lycopersicum), eggplant (Solanum melongena), and pepper (Capsicum annuum). These crops are economically significant, making a substantial contribution to global food security and agricultural sustainability.
Nanotechnology has emerged as a promising strategy to alleviate salinity stress and enhance plant resilience. Nanoparticles (NPs), such as titanium dioxide (TiO2) [3], copper oxide (CuO), and zinc oxide (ZnO) [4], have attracted considerable attention for their ability to improve germination and growth under stress conditions. Their unique physicochemical properties, including a high surface area-to-volume ratio, increased reactivity, and molecular-level interactions with biological systems [5], enable them to influence plant metabolism, enhance nutrient uptake, and mitigate oxidative damage by boosting antioxidant enzyme activity [6].
The impact of NPs, however, varies based on type, concentration, application method, crop species, and the specific stress conditions involved. Tomato, eggplant, and pepper are particularly sensitive to salinity during germination and early growth. Understanding NP–salinity interactions in these crops is therefore essential for maximizing productivity [7]. Titanium dioxide nanoparticles (TiO2NPs) can enhance photosynthetic efficiency, promote seed germination, and alleviate oxidative stress by regulating water uptake [3]. Copper oxide nanoparticles (CuONPs) are valued for their antimicrobial properties and their role in enhancing protective enzymes such as superoxide dismutase and catalase [8]. Zinc oxide nanoparticles (ZnONPs) provide essential zinc, a key micronutrient for growth and enzymatic activity [9]. Nevertheless, excessive concentrations of these materials may cause toxicity, highlighting the importance of establishing optimal application levels [10].
Despite significant progress in nanoparticle research, there remain gaps in understanding their specific mechanisms of action under salinity stress, especially for the Solanaceae family. Furthermore, there is a need to explore the synergistic interactions between salinity and nanoparticles and their cumulative effects on seed germination, morphology, yield, and seed production traits. Investigating these aspects will provide insights into the potential of nanoparticles as tools for sustainable agriculture, particularly in saline environments. This research seeks to elucidate the role of nanoparticles in alleviating salinity-induced stress. The findings are expected to contribute to the development of innovative strategies for enhancing the resilience of Solanaceae crops to salinity stress, thereby improving their productivity and sustainability in saline-prone regions.

2. Materials and Methods

2.1. Experimental Site and Plant Materials

The experiment was conducted during the growing season at the Horticulture Department, College of Agricultural Engineering Sciences, University of Sulaimani, located in Sulaymaniyah, Kurdistan Region, Iraq (35°53′ N, 45°36′ E). Seeds from the Solanaceae family, including tomato, eggplant, and pepper, were used in this study. To prevent contamination, the seeds were sterilized with 10% sodium hypochlorite, then thoroughly washed and rinsed three times with distilled water before being subjected to salinity (NaCl) and nanoparticle (TiO2, CuO, and ZnO) treatments. The seeds were soaked in the salinity and nanoparticle solutions for 2 h with gentle agitation to prevent damage. For the germination experiment, 20 seeds of each species were placed in individual 9 cm Petri dishes lined with Whatman® (Maidstone, UK) Number One filter paper and maintained at room temperature. Germination was monitored daily for seven days, with germination recorded upon the emergence of the radicle. After germination, the seedlings were transplanted into pots filled with 10 kg of a 1:1:1 mixture of soil, peat moss, and manure.

2.2. Experimental Design and Treatments

The in vitro experimental setup followed a Completely Randomized Design (CRD) with three replications. For the germination test, 50 seeds of each plant were placed in separate Petri dishes (9 cm diameter). The experiment consisted of eight treatments, which combined two factors. The first factor was the application of salinity (NaCl). The second factor involved the application of nanoparticles, including titanium dioxide (TiO2NPs), copper oxide (CuONPs), and zinc oxide (ZnONPs). The concentrations of TiO2 (750 mg/kg), CuO (1250 mg/kg), and ZnO (1500 mg/kg) nanoparticles were selected based on a combination of supplier recommendations and preliminary experimental trials. Initially, a range of doses was evaluated to identify the most effective, including TiO2 (500, 750, and 1250 mg/kg), CuO (1000, 1250, and 1500 mg/kg), and ZnO (1250, 1500, and 1750 mg/kg). Among these, the concentrations of 750 mg/kg TiO2, 1250 mg/kg CuO, and 1500 mg/kg ZnO consistently demonstrated optimal effects on plant growth and quality without inducing adverse responses. Therefore, these specific concentrations were chosen for this present study as they provided the best balance between efficacy and safety. The treatments were arranged as follows: Control: Seeds treated only with distilled water, without salinity or nanoparticles. Salinity: Seeds treated with NaCl at 150 mm. TiO2: Seeds treated with TiO2NPs at (750 mg/kg seed). CuO: Seeds treated with CuONPs at (1250 mg/kg seed). ZnO: Seeds treated with ZnONPs at (1500 mg/kg seed). Combined treatments: Seeds treated with NaCl in combination with each of the three nanoparticles. The nanoparticles were supplied by SkySpring Nanomaterial® Enterprise (Houston, TX, USA) and had a purity of 99.5%. The particle sizes of the nanoparticles were approximately 20–35 nm. The zeta potential values for the nanoparticles varied as follows: TiO2 from −30.8 to −37.5 mV and scale 30 nm, CuO from −40 mV to +40 mV and scale 35 nm, and ZnO from −50 mV to +50 mV and scale 20 nm. Particle size distribution and zeta potential analyses were used to characterize the materials, providing insights into their stability and surface charge.
Following germination, nanoparticle-treated seeds were transferred into seed pots, where they were maintained for approximately 40 days until the development of 2–3 true leaves. Prior to field transplantation, the soil was prepared by plowing and subsequently rotavating to achieve uniform texture and proper mixing. The field was then leveled and partitioned into experimental plots, after which a drip irrigation system was installed across three terraces. To minimize moisture loss and suppress weed growth, plastic mulch was applied. Seedlings were transplanted into the open-field experimental plots at a spacing of 40 cm between plants and rows. The field trial was arranged according to a Completely Randomized Block Design (CRBD) with three replications, each containing 16 plants. This phase was designed to assess the influence of treatments on plant growth, development, and fruit quality. The open field study was conducted at Mergapan, which is situated approximately 30 km west of Sulaymaniyah city, within the Kurdistan Region of Iraq.

2.3. Data Collection

During this study, various parameters were assessed using specific equations. The seed germination percentage was determined using Equation (1) as described by [3,11]:
S G % = N u m b e r   o f   t o t a l   g e r m i n a t e d   s e e d s T o t a l   n u m b e r   o f   s e e d s   t e s t e d   × 100    
The germination index (GI) was calculated by Equation (2) as described by [12]:
G I = N 1 T 1 + N 2 T 2 + N 3 T 3 + + N K T K
Mean daily germination (MDG) was calculated applying Equation (3) [13]:
M D G = G e r m i n a t i o n   p e r c e n t a g e   ( S G % ) T o t a l   n u m b e r   o f   d a y s   × 100
Mean germination time (MGT) was measured by Equation (4) [14]:
M G T = Σ D n Σ n
where n is the number of germinated seeds on day D, and D is the number of days counted from the start of germination.
The time of 50% germination (TG) of the final germination rate was calculated by Equation (5) [15,16]:
T 50 = t i ( N 2   n i ) ( t j t i ) n j n i
where N is the final number of germinated seeds, ni and nj represent the cumulative number of germinated seeds at times ti and tj, respectively, when n i   <   N 2   < n j .
The germination energy (GE) was calculated according to Equation (6) [3]:
G E % = N o .   o f   g e r m i n a t e d   s e e d s   o f   t h e   14   d a y s T o t a l   n u m b e r   o f   s e e d s × 100
Also, the chlorophyll content of the leaves was quantified in SPAD units utilizing a SPAD 502 PLUS chlorophyll meter [17].

2.4. Statistical Analysis

The data were subjected to a one-way analysis of variance (ANOVA) using a Completely Randomized Design (CRD) in vitro. While a completely randomized block design (CRBD) was used for morphological and yield production assessments in the open field for triple plants of the Solanaceous family. The analysis was performed with XLSTAT statistical software, version 2019.2.2. Differences among treatment means were evaluated using Duncan’s New Multiple Range Test at a significance level of p ≤ 0.05. Additionally, a Principal Component Analysis (PCA) was conducted to explore patterns and relationships among the measured variables.

3. Results

3.1. Response of Seed Germination to Salinity and Nanoparticles

The analysis of variance (ANOVA) demonstrated that salinity and nanoparticles (TiO2, CuO, and ZnO) significantly influenced seed germination in Solanaceae family plants, including tomato, eggplant, and pepper (Figure 1). For the tomato plants, seed germination achieved the highest percentage (99.00%), and the MDG reached its longest duration (6.53 days) when treated solely with TiO2NPs. Conversely, the lowest seed germination rate (81.00%) was observed under the combined application of salinity and ZnONPs, with the shortest MDG (5.11 days) recorded under salinity stress.
The germination index reached its peak with CuONPs (27.11). The longest MGT (11.49 days) was observed under the combined application of salinity and TiO2NPs. Time to 50% germination was highest under salinity treatment (8.81 days). Germination energy was maximized with ZnONPs (96.00%), whereas the lowest germination index (16.63) and energy (73.00%) were recorded when salinity was combined with ZnONPs. Conversely, the shortest MGT (10.84 days) and time to 50% germination (7.24 days) were observed with the application of CuONPs treatments.
For the eggplant plants, the application of CuONPs resulted in the highest seed germination percentage (99.33%), MDG rate (6.62), and germination energy (97.00%). TiO2NPs recorded the highest germination index (38.27). The maximum MGT (11.45 days) was observed under salinity stress, while the time to 50% germination (9.00 days) occurred under control conditions. Conversely, the lowest values for seed germination (70.00%), germination index (25.74), and MDG (4.78) were recorded under salinity conditions. The shortest MGT (10.79 days) and time to 50% germination (7.54 days) were observed with the individual application of CuONPs. Germination energy was lowest (74.67%) under the combined application of salinity and TiO2NPs.
For pepper plants, the application of CuONPs resulted in the highest seed germination percentage (100.00%), MDG rate (6.67), and germination energy (97.33%). Similarly, ZnO NPs recorded the best germination index (41.56). Moreover, under salinity stress, the maximum mean germination time (11.33 days) and time to 50% germination (9.09 days) were observed. In contrast, the lowest values for seed germination (76.00%), germination index (25.90), MDG rate (5.16), and germination energy (72.00%) were produced under salinity conditions. The shortest mean germination time (10.70 days) was revealed with the individual application of ZnONPs, while the shortest time to 50% germination (7.29 days) was observed under the combined application of salinity and ZnONPs.

3.2. Response of Morphology Attributed to Salinity and Nanoparticles

Based on the data (Figure 2), the effects of salinity and nanoparticles on the growth of the Solanaceae family were assessed. For plant height (Figure 2a), the tallest plants were recorded under the influence of different treatments. Tomato plants reached their maximum height of 90.09 cm under ZnO nanoparticles (ZnONPs), and eggplants grew to 101.66 cm under the same treatment. For pepper plants, the tallest height (88.37 cm) was observed under the combined application of salinity and CuO nanoparticles (CuONPs). In contrast, the shortest heights were recorded under control or salinity-only conditions: 43.63 cm for tomato, 56.34 cm for eggplant, and 29.80 cm for pepper under salinity stress. Across all three plants, salinity reduced plant height to nearly half of the maximum value recorded under nanoparticle treatments. For stem diameter (Figure 2b), the thickest stems were observed under nanoparticle treatments. For tomato (20.50 mm) and eggplant (21.80 mm), the maximum stem diameters occurred with integrated salinity and ZnONPs application. Pepper plants exhibited the thickest stems (36.97 mm) under TiO2NPs treatment individually. The minimum stems for both tomato and eggplant were recorded under control conditions, while for pepper plants, the minimum diameter (13.34 mm) was observed under salinity stress.
For the number of branches (Figure 2c), the highest branch counts were achieved under the combined application of salinity and nanoparticles. Tomato plants exhibited a maximum of 32.67 branches with salinity and CuONPs. Eggplants and pepper plants both produced a maximum of 19.63 branches under the co-application of salinity and TiO2NPs. The lowest branch counts for all three plants were recorded under salinity stress conditions. For plant leaf number (Figure 2d), the maximum leaf number varied across treatments for different plants. Tomato plants produced the highest number of leaves (76.67) under control conditions, while eggplants had their maximum leaf number (83.67) under salinity stress. For pepper plants, the maximum leaf number (71.33) was observed under the combined application of salinity and Zinc oxide nanoparticles. In contrast, the minimum leaf number was recorded under salinity combined with ZnONPs for both tomato (54.00) and eggplant (66.33). For pepper plants, the lowest leaf number (23.00) was observed under salinity stress.
For the leaf area (Figure 2e), the highest leaf areas for the three plants were recorded under the application of salinity and Zinc oxide nanoparticles: 3.45 cm2 for tomato, 3.82 cm2 for eggplant, and 2.39 cm2 for pepper plants. Inversely, the smallest leaf areas were observed under different conditions. For tomato (0.042 cm2) and eggplant (0.075 cm2), the leaf area decreased significantly under salinity stress, while for pepper plants (0.033 cm2), the smallest leaf area was recorded under control conditions. For leaf chlorophyll content (Figure 2f), one of the non-destructive methods to estimate chlorophyll content in plants is through the measurement of relative greenness using SPAD values. Based on the graph, an increasing trend in SPAD values was observed across treatments involving salinity and nanoparticles. Statistically, tomato and eggplant exhibited significantly higher SPAD values, reaching 57.58 and 59.62 SPAD, respectively, under the combined application of salinity and Copper oxide nanoparticles. For pepper plants, the highest SPAD value (57.50 SPAD) was recorded under ZnONPs, with all differences significant at p < 0.05. In contrast, the minimum SPAD values, indicating lower leaf greenness, were observed under control conditions for all three plants.

3.3. Response of Yield Components to Salinity and Nanoparticles

The ANOVA analysis for the yield components of the Solanaceae family revealed significant differences among the variables under salinity and nanoparticle treatments (Figure 3). Descriptive statistics indicated (Figure 3a) that the highest number of flowers per plant was recorded in tomatoes (104.33) and eggplants (115.00) when salinity stress was combined with TiO2NPs. Similarly, peppers (70.67) achieved the highest flower count under the application of ZnONPs. Conversely, the lowest flower counts were observed in tomatoes (45.67) and eggplants (65.33) under control conditions, while peppers recorded their lowest flower count (31.00) under salinity stress. The number of aborted flowers is a crucial indicator of the fruit set (Figure 3b). Based on the mean values obtained from the analysis, tomato plants (6.33) exposed to a combination of salinity and TiO2NPs had the fewest aborted flowers. Similarly, eggplants recorded a minimum of 7.67 aborted flowers under the combined treatment of salinity and ZnO nanoparticles. Pepper showed the lowest value (7.67) when treated with ZnONPs. In contrast, untreated plants from all three species exhibited the highest number of aborted flowers, with values of 32.00, 36.00, and 20.00 for tomatoes, eggplants, and peppers, respectively.
Throughout the growing season, the average fruit weight showed a significant increase (Figure 3c). The highest values were observed in tomato (157.00 g) and pepper (116.67 g) under combined treatments of salinity with CuONPs for tomato and ZnONPs for pepper. This was followed by the treatment with CuONPs, which resulted in an average fruit weight of 129.00 g for eggplants. In contrast, the control plants exhibited the lowest fruit weight for tomatoes and eggplants, while the salinity condition resulted in the minimum weight for pepper plants. In terms of fruit number (Figure 3d), the various treatments produced favorable results. The combination of salinity and CuONPs resulted in the highest fruit number, with an average harvest of 91.67 fruits per plant for both tomato and eggplant. Similarly, CuONPs individually increased fruit production in pepper plants, achieving an average of 50.67 fruits per plant, highlighting the efficacy of CuONPs in increasing fruit numbers. In contrast, control plants produced significantly fewer fruits for tomato and eggplant, while salinity stress led to the lowest fruit number in pepper plants. These findings suggest that CuONPs play a critical role in enhancing fruit numbers, likely due to improved nutrient uptake or physiological responses induced by the nanoparticles.
Two key production indicators at harvest (Figure 3e,f), plant fruit weight and total marketable yield, highlighted the distinct effects of salinity and ZnO nanoparticles on the Solanaceae family. Both traits responded significantly to the treatments, with the co-application of salinity and ZnONPs yielding the highest values for tomato (8.81 kg per plant and 140.89 tons/ha) and eggplant (11.59 kg per plant and 162.30 tons/ha), respectively, representing a considerable increase compared to other treatments. Similarly, for pepper plants, the highest fruit weight (6.55 kg) and total marketable yield (130.90 tons/ha) were observed with ZnONPs. Conversely, both attributes recorded the lowest yields under control conditions across all three crops.

3.4. Response of Seed Production to Salinity and Nanoparticles

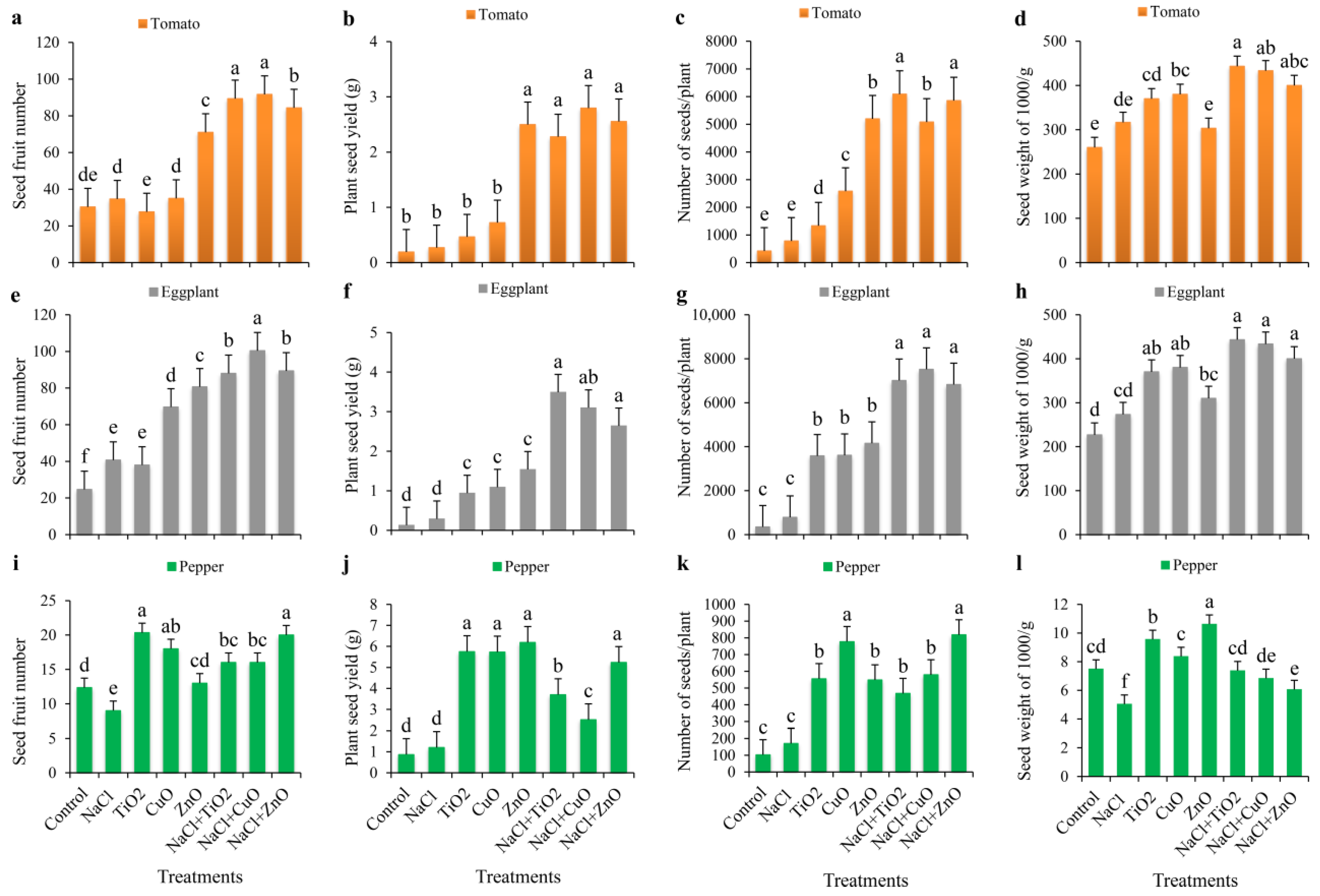
The present investigation evaluated the impact of salinity and nanoparticles on key variables of the Solanaceae family (Figure 4). The application of salinity and nanoparticles significantly influenced seed production parameters. Descriptive statistics and mean values indicated that treatments involving salinity and CuONPs produced the highest seed numbers, with tomato reaching 91.67 seeds per fruit, eggplant achieving 100.33 seeds, and pepper producing 20.33 seeds under TiO2NPs application individually (Figure 4a,e,i). Conversely, the lowest seed counts were observed under salinity conditions, with tomato (34.67) and pepper (9.00) producing seeds, and eggplant (24.67) showing a reduction under control conditions. Analysis of seed yield further highlighted the effectiveness of these treatments. For tomato plants, the combination of salinity and CuONPs yielded the maximum seed production (2.80 g), while eggplants treated with salinity and TiO2NPs reached 3.49 g. Pepper plants exhibited the highest seed yield (6.19 g) under ZnONPs treatment. Control plants consistently showed significantly lower seed yields across all three Solanaceae crops (Figure 4b,f,j). Additionally, the maximum seed count per plant was recorded with specific treatments. Tomato plants under salinity combined with TiO2NPs produced 6086.67 seeds per plant. Eggplants treated with salinity and CuONPs showed significantly higher seed counts (7520.33), and pepper plants achieved their best seed count (777.00) under CuONPs. In comparison, untreated plants produced the lowest seed counts across all crops (Figure 4c,g,k). Regarding 1000-seed weight, the interaction between salinity and TiO2NPs proved beneficial, resulting in the highest weights of 443.33 g for both tomato and eggplant. Untreated plants, however, exhibited the lowest seed weights. For pepper plants, the maximum seed weight (10.62 g) was observed with ZnONPs application, while the minimum weight (5.03 g) was recorded under salinity stress (Figure 4d,h,l). All differences were statistically significant (p ≤ 0.05).

3.5. Principal Component Analysis (PCA)

The PCA conducted on tomato plants (Figure 5a) illustrated this advantage. The first two principal components (PC1 and PC2) accounted for 82.89% of the total variability, indicating that most of the variance in the dataset was captured in just two dimensions. F1 (55.66%) and F2 (27.23%) effectively distinguished treatments, confirming the strong impact of integrated salinity with CuONPs. Unlike ANOVA, which confirmed treatment significance per trait, PCA demonstrated that these effects occurred across multiple correlated traits simultaneously. Interestingly, the control plants exhibited no strong associations among variables, suggesting that the observed interrelationships were specifically treatment-driven.
Similarly, in eggplant (Figure 5b), PCA explained 83.31% of the total variation, with PC1 (60.25%) and PC2 (23.06%) capturing the majority of trait variance. The biplot revealed that the combination of salinity with CuONPs and ZnONPs exerted the most pronounced multivariate influence, while CuONPs individually showed a secondary but clear effect. Other treatments clustered with a relatively minor impact. This multivariate clustering pattern, highlighted by PCA, provided novel insights into treatment ranking and trait interdependence, complementing the trait-by-trait results from ANOVA.
For pepper plants (Figure 5c), PCA accounted for 82.89% of the variation, with PC1 explaining 64.33% and PC2 16.68%. The biplot emphasized ZnONPs as having the strongest interactive effects across several traits, followed by CuONPs. Salinity treatments, however, clustered separately with weak associations. While ANOVA identified significant differences in individual parameters, PCA highlighted ZnONPs as the dominant treatment shaping the overall trait architecture, thereby revealing treatment–trait associations beyond what univariate tests detected.
Overall, PCA confirmed the statistical findings from ANOVA and also provided novel insights into the multivariate relationships among traits, treatment clustering patterns, and the magnitude of joint treatment effects. This integrative approach enables a deeper understanding of how nanoparticle and salinity treatments affect crop performance at both individual and system-wide levels.

4. Discussion

This study investigates the impact of nanoparticles (TiO2, CuO, and ZnO) on germination and plant growth under 150 mm NaCl salinity stress, offering valuable insights into their role as stress mitigators. It emphasizes the physiological and biochemical pathways through which these nanoparticles affect plant performance. The research investigates the impact of salinity stress and nanoparticle treatments on seed germination, early development, and metabolic responses in selected Solanaceae species (Figure 1). Salinity stress negatively impacted germination percentage and energy across all species [18], including the Solanaceae family (tomato, eggplant, and pepper). However, the application of nanoparticles improved germination metrics, even under high salinity stress. Nanoparticles may enhance germination by improving water uptake, enhancing antioxidant enzyme activities, and reducing oxidative stress induced by salinity [19]. Studies show that nanoparticles like CuO and ZnO increase seed metabolic activity and mitigate NaCl-induced ionic toxicity by maintaining ion homeostasis [20]. Among the Solanaceae family, CuO nanoparticles consistently promoted the highest germination percentage for eggplant and pepper under both saline and non-saline conditions. ZnO showed notable effects under salinity stress in tomato seeds, likely due to the role of the Zn stabilizing protein structures and membranes during stress conditions [21].
The germination index reached its highest with CuONPs (27.11), while the longest average germination time (11.49 days) was observed under the combined effects of salinity and TiO2NPs. Salinity stress decreased the germination index and delayed MGT, mainly slowing down the germination rate rather than reducing the overall seed percentage at low concentrations [15,22]. CuO and ZnO nanoparticles improved the germination index and decreased MGT, showing faster seedling growth. This aligns with the findings that nanoparticles increase cellular respiration and energy production during germination [23]. ZnO nanoparticles were particularly effective in reducing MGT for tomatoes, while CuO showed better performance in eggplants. The variation may result from species-specific ion uptake and antioxidant enzyme activity influenced by nanoparticles [24]. Nanoparticles improved MGT across all species, especially under saline conditions. The increase in MGT suggests that nanoparticles alleviate salinity-induced osmotic stress by enhancing water absorption and enzyme activation [25]. For pepper, TiO2 nanoparticles were most effective, likely due to their photoreactive properties, which may influence metabolic pathways related to germination [3]. Time to 50% germination was reduced in nanoparticle-treated seeds, indicating faster germination under saline conditions. CuO nanoparticles were most effective for this metric, likely due to their ability to enhance oxidative stress tolerance and promote cellular division during early growth stages [26]. Nanoparticles, particularly CuO and ZnO, exhibit significant potential in mitigating the adverse effects of salinity stress on germination and growth in the Solanaceae family [27,28]. Their ability to improve water and nutrient uptake, reduce oxidative stress, and stabilize cellular processes under stress conditions underscores their utility in agriculture.
Figure 2 illustrates the effects of salinity stress and nanoparticle applications on the morphological responses of selected Solanaceae species. TiO2 and ZnO nanoparticles significantly increased stem diameter in tomato, eggplant, and pepper under both saline and non-saline conditions. These results align with previous studies, which have shown that nanoparticles enhance nutrient uptake, enzymatic activities, and cellular metabolism, thereby supporting structural integrity under stress [29]. ZnO nanoparticles mitigate salinity-induced oxidative stress. Zinc, as an enzyme cofactor, helps stabilize cell membranes and promote growth [30]. The maximum stem diameter in pepper plants treated with TiO2 demonstrates the nanoparticle’s ability to enhance photosynthesis and water-use efficiency under optimal conditions [31]. ZnO nanoparticles resulted in the tallest plants for tomato, eggplant, and pepper under both saline and non-saline conditions. These findings corroborate reports that nanoparticles facilitate better nutrient assimilation, hormone regulation (such as auxins), and stress tolerance mechanisms, leading to increased plant height [6]. ZnO-treated plants achieved maximum height due to enhanced nitrogen metabolism and chlorophyll biosynthesis, critical for energy production and growth [32]. The ability of ZnO nanoparticles to maintain plant height under salinity highlights their role in reducing Na+ toxicity and improving osmotic balance [33].
The use of CuO nanoparticles resulted in the highest branch numbers across all plant species under non-saline conditions, underscoring their ability to stimulate lateral growth. CuO nanoparticles provide copper ions necessary for cytochrome c oxidase activity, which boosts energy metabolism and supports branching [34]. Even under high salinity, CuO nanoparticles significantly increased branch numbers, possibly due to their antioxidative properties that protect meristematic tissues from stress-induced damage [35]. TiO2 and ZnO nanoparticles enhance leaf area under both saline and non-saline conditions, with ZnO being particularly effective under salinity. ZnO nanoparticles improved leaf area by mitigating oxidative damage and enhancing the production of osmolytes, which help in maintaining cell turgor under saline conditions [36]. The increased leaf area in pepper plants treated with TiO2 nanoparticles aligns with findings that TiO2 improves stomatal conductance and water-use efficiency [37]. The enhancement of chlorophyll content by CuO nanoparticles, particularly under high salinity, suggests improved photosynthetic efficiency and stress resilience. Copper is essential for chlorophyll biosynthesis and photosystem stability, and nanoparticles ensure its sustained availability even under stress conditions [38]. Increased chlorophyll content under salinity can be attributed to the antioxidative role of CuO nanoparticles, reducing reactive oxygen species (ROS) and protecting chloroplast structures [39].
The application of salinity and nanoparticles significantly affected the yield and seed production of selected Solanaceae species (Figure 3 and Figure 4). The application of ZnO nanoparticles under high salinity resulted in maximum flower production, while TiO2 nanoparticles reduced flower abortion rates. The positive effects of ZnO on flower number may be linked to improved nutrient uptake, especially zinc, which is crucial for pollen viability and seed set [40]. TiO2 nanoparticles mitigate oxidative stress, preserving energy resources for reproductive processes and reducing flower abortion under salinity [41].
TiO2 and ZnO nanoparticles significantly improved fruit yield under both saline and non-saline conditions. ZnO nanoparticles enhance zinc-mediated enzymatic activities critical for carbohydrate metabolism, which directly impacts fruit development and yield [42]. TiO2 nanoparticles enhance the antioxidant defense system, which helps plants maintain metabolic functions and produce higher yields under salinity [43]. The ability of CuO nanoparticles to improve yield under high salinity can be attributed to their potential to mitigate salt stress by enhancing antioxidant activity and reducing oxidative damage [44]. ZnO effectiveness in control conditions likely results from its role in enzymatic activation and photosynthesis enhancement [45]. Seed weight is influenced by nutrient assimilation and metabolic activity during seed development. TiO2NPs enhance seed weight by improving nutrient availability and uptake, supporting seed filling [46]. These findings underscore the significant potential of CuO and ZnO nanoparticles in mitigating the effects of salinity stress. While CuO excels under stress conditions, ZnO performs better in non-saline environments.
Future research should optimize nanoparticle dosages and assess their long-term environmental impacts to ensure sustainable agricultural practices. TiO2NPs promote plant growth by enhancing photosynthesis, boosting antioxidant enzyme activity, reducing oxidative stress, and aiding nutrient uptake. They also support seed germination, root development, and overall stress resistance in challenging environmental conditions [3]. CuONPs enhance plant oxidative stress responses by stimulating antioxidant enzyme activities, reducing reactive oxygen species accumulation, stabilizing cell membranes, and improving overall growth and stress tolerance under adverse conditions [47]. ZnONPs improve nutrient uptake by expanding root surface area, boosting transporter activity, and enhancing membrane integrity, thereby enabling more efficient absorption of macro- and micronutrients and supporting overall plant growth [48].
The concentrations of TiO2 (750 mg/kg), CuO (1250 mg/kg), and ZnO (1500 mg/kg) nanoparticles used in this study were selected to optimize plant growth, yield, and physiological responses. While these doses showed promising effects, it is important to recognize the potential risks associated with nanoparticle use in agriculture. Excessive accumulation of nanoparticles in soil can alter microbial community structures, disrupt nutrient cycling [49], and, in some cases, pose risks to non-target organisms or even enter the food chain, raising concerns about food safety and environmental sustainability [50]. To minimize such risks, prioritizing safe application practices is essential. These include optimizing nanoparticle concentrations through preliminary trials to ensure the use of the lowest effective dose, employing slow-release or coated formulations to limit leaching, and combining nanoparticles with organic or bio-based amendments to buffer potential toxicity. Furthermore, regular monitoring of soil and plant tissues for nanoparticle residues can help assess long-term environmental impacts. Future research should also focus on balancing agricultural benefits with ecological safety, ensuring that nanoparticle technology supports sustainable crop production without compromising environmental health. Integrating nanoparticles into eco-friendly management strategies will improve their practical application in agriculture.

5. Conclusions

This study investigated the effects of salinity and nanoparticles (TiO2, CuO, and ZnO) on the Solanaceae family, including tomato, eggplant, and pepper plants, to enhance seed germination, growth, yield, and seed production. For tomato plants, the combination of salinity and CuO nanoparticles (CuONPs) significantly enhanced key traits such as plant branch number, leaf chlorophyll content, plant fruit number, average fruit weight (g), plant seed yield (g), and seed fruit number, followed by salinity with TiO2 nanoparticles (TiO2NPs) and ZnO nanoparticles (ZnONPs). Similarly, for eggplants, salinity combined with CuO and ZnO nanoparticles had a notable impact on plant characteristics, with CuONPs applied individually also showing significant effects, including seed germination, MDG, germination energy, and average fruit weight. Control plants exhibited the lowest values across all attributes for both tomatoes and eggplants. Moreover, for pepper plants, ZnO nanoparticles applied individually were most effective in enhancing plant attributes, followed by CuONPs. However, under salinity conditions, pepper plants recorded the lowest values for most attributes. Overall, the study concluded that the application of nanoparticles improved tomato and eggplant performance under salinity stress, whereas pepper plants responded better to individual nanoparticle treatments.

Author Contributions

Conceptualization, methodology, writing—original draft preparation, C.H.M.; data curation, writing—review and editing, K.S.R.; formal analysis, data curation, writing—review and editing, H.S.H.; All authors have read and agreed to the published version of the manuscript.

Funding

This research received no external funding.

Data Availability Statement

The dataset was collected from in vitro and field trials and can be obtained from the corresponding author.

Conflicts of Interest

The authors declare no conflicts of interest.

Abbreviations

The following abbreviations are used in this manuscript: Titanium Dioxide (TiO2NPs), Copper Oxide (CuONPs), Zinc Oxide (ZnONPs), Sodium Chloride (NaCl), Principal Component Analysis (PCA).

References

  1. Shahid, M.A.; Sarkhosh, A.; Khan, N.; Balal, R.M.; Ali, S.; Rossi, L.; Gómez, C.; Mattson, N.; Nasim, W.; Garcia-Sanchez, F. Insights into the physiological and biochemical impacts of salt stress on plant growth and development. Agronomy 2020, 10, 938. [Google Scholar] [CrossRef]
  2. Hussain, S.; Shaukat, M.; Ashraf, M.; Zhu, C.; Jin, Q.; Zhang, J. Salinity stress in arid and semi-arid climates: Effects and management in field crops. Clim. Change Agric. 2019, 13, 201–226. [Google Scholar]
  3. Ahmed, G.O.; Halshoy, H.S.; Mahmood, C.H.; Hama, J.R. Titanium Nanoparticle and Humic Acid Applications Improve Seed Germination, Growth Development, and Phytochemical Contents of Lettuce (Lactuca Sativa) Plants. BioNanoScience 2024, 14, 4930–4941. [Google Scholar] [CrossRef]
  4. Priyanka, N.; Geetha, N.; Ghorbanpour, M.; Venkatachalam, P. Chapter 6—Role of Engineered Zinc and Copper Oxide Nanoparticles in Promoting Plant Growth and Yield: Present Status and Future Prospects. In Advances in Phytonanotechnology; Ghorbanpour, M., Wani, S.H., Eds.; Academic Press: Cambridge, MA, USA, 2019; pp. 183–201. [Google Scholar]
  5. Yusuf, A.; Almotairy, A.R.Z.; Henidi, H.; Alshehri, O.Y.; Aldughaim, M.S. Nanoparticles as drug delivery systems: A review of the implication of nanoparticles’ physicochemical properties on responses in biological systems. Polymers 2023, 15, 1596. [Google Scholar] [CrossRef]
  6. Halshoy, H.S.; Rasul, K.S.; Ahmed, H.M.; Mohammed, H.A.; Mohammed, A.A.; Ibrahim, A.S.; Ibrahim, A.S.; Braim, S.A. Effect of nano titanium and organic fertilizer on broccoli growth, production, and biochemical profiles. J. Plant Nutr. 2024, 48, 1344–1363. [Google Scholar] [CrossRef]
  7. Etesami, H.; Fatemi, H.; Rizwan, M. Interactions of nanoparticles and salinity stress at physiological, biochemical and molecular levels in plants: A review. Ecotoxicol. Environ. Saf. 2021, 225, 112769. [Google Scholar] [CrossRef]
  8. Sarkar, J.; Chakraborty, N.; Chatterjee, A.; Bhattacharjee, A.; Dasgupta, D.; Acharya, K. Green synthesized copper oxide nanoparticles ameliorate defence and antioxidant enzymes in Lens culinaris. Nanomaterials 2020, 10, 312. [Google Scholar] [CrossRef]
  9. Faizan, M.; Yu, F.; Chen, C.; Faraz, A.; Hayat, S. Zinc oxide nanoparticles help to enhance plant growth and alleviate abiotic stress: A review. Curr. Protein Pept. Sci. 2021, 22, 362–375. [Google Scholar] [CrossRef]
  10. Al-Khayri, J.M.; Rashmi, R.; Surya Ulhas, R.; Sudheer, W.N.; Banadka, A.; Nagella, P.; Aldaej, M.I.; Rezk, A.A.-S.; Shehata, W.F.; Almaghasla, M.I. The role of nanoparticles in response of plants to abiotic stress at physiological, biochemical, and molecular levels. Plants 2023, 12, 292. [Google Scholar] [CrossRef]
  11. Tahir, N.A.-R.; Rasul, K.S.; Lateef, D.D.; Aziz, R.R.; Ahmed, J.O. In vitro evaluation of Iraqi Kurdistan tomato accessions under drought stress conditions using polyethylene glycol-6000. Life 2024, 14, 1502. [Google Scholar] [CrossRef]
  12. Zhang, T.; Fan, S.; Xiang, Y.; Zhang, S.; Wang, J.; Sun, Q. Non-destructive analysis of germination percentage, germination energy and simple vigour index on wheat seeds during storage by Vis/NIR and SWIR hyperspectral imaging. Spectrochim. Acta Part A Mol. Biomol. Spectrosc. 2020, 239, 118488. [Google Scholar] [CrossRef]
  13. Gairola, K.C.; Nautiyal, A.R.; Dwivedi, A.K. Effect of temperatures and germination media on seed germination of Jatropha curcas Linn. Adv. Biores. 2011, 2, 66–71. [Google Scholar]
  14. Othman, S.H.; Lazim, Z.S.; Al-Wakaa, A.H.A. Allelopathic Potential of Aqueous Plant Extracts Against Seed Germination and Seedling Growth of Weeds. IOP Conf. Ser. Earth Environ. Sci. 2023, 1262, 032041. [Google Scholar] [CrossRef]
  15. Ibrahim, C.O.; Mahmood, C.H. Response of tomato (Lycopersicum esculentum L.) to imbibing seeds by GA3, and foliar spraying by boron and α-tocopherol. J. Duhok Univ. 2022, 25, 211–228. [Google Scholar] [CrossRef]
  16. Khan, A.Z.; Imran, A.M.; Khalil, A.; Gul, H.; Akbar, H.; Wahab, S. Impact of fertilizer priming on seed germination behavior and vigor of maize. Pure Appl. Biol. (PAB) 2021, 5, 744–751. [Google Scholar] [CrossRef]
  17. Mohammed, N.T.; Halshoy, H.S.; Saed, N.F.; Ali, H.W.R.; Mohammed, N.I.; Ali, S.M. Impact of inorganic fertilizer doses on growth, yield, physical and chemical components of broccoli plants. J. Kerbala Agric. Sci. 2024, 11, 57–72. [Google Scholar] [CrossRef]
  18. Parihar, P.; Singh, S.; Singh, R.; Singh, V.P.; Prasad, S.M. Effect of salinity stress on plants and its tolerance strategies: A review. Environ. Sci. Pollut. Res. 2015, 22, 4056–4075. [Google Scholar] [CrossRef]
  19. Shah, T.; Latif, S.; Saeed, F.; Ali, I.; Ullah, S.; Abdullah Alsahli, A.; Jan, S.; Ahmad, P. Seed priming with titanium dioxide nanoparticles enhances seed vigor, leaf water status, and antioxidant enzyme activities in maize (Zea mays L.) under salinity stress. J. King Saud Univ.-Sci. 2021, 33, 101207. [Google Scholar] [CrossRef]
  20. Raliya, R.; Saharan, V.; Dimkpa, C.; Biswas, P. Nanofertilizer for Precision and Sustainable Agriculture: Current State and Future Perspectives. J. Agric. Food Chem. 2018, 66, 6487–6503. [Google Scholar] [CrossRef]
  21. Dimkpa, C.O.; McLean, J.E.; Latta, D.E.; Manangón, E.; Britt, D.W.; Johnson, W.P.; Boyanov, M.I.; Anderson, A.J. CuO and ZnO nanoparticles: Phytotoxicity, metal speciation, and induction of oxidative stress in sand-grown wheat. J. Nanopart. Res. 2012, 14, 1125. [Google Scholar] [CrossRef]
  22. Mahmood, C.H. Response of some vegetables belongs to Solanaceae family to different temperature and NaCl levels on seed germination and growth characteristics. Tikrit J. Agric. Sci 2017, 17, 11–27. [Google Scholar]
  23. Khan, M.N.; Fu, C.; Li, J.; Tao, Y.; Li, Y.; Hu, J.; Chen, L.; Khan, Z.; Wu, H.; Li, Z. Seed nanopriming: How do nanomaterials improve seed tolerance to salinity and drought? Chemosphere 2023, 310, 136911. [Google Scholar] [CrossRef] [PubMed]
  24. Kashyap, P.L.; Kumar, S.; Jasrotia, P.; Singh, D.P.; Singh, G.P. Nanotechnology in Wheat Production and Protection. In Environmental Nanotechnology Volume 4; Dasgupta, N., Ranjan, S., Lichtfouse, E., Eds.; Springer International Publishing: Cham, Switzerland, 2020; pp. 165–194. [Google Scholar]
  25. Shukla, P.; Chaurasia, P.; Younis, K.; Qadri, O.S.; Faridi, S.A.; Srivastava, G. Nanotechnology in sustainable agriculture: Studies from seed priming to post-harvest management. Nanotechnol. Environ. Eng. 2019, 4, 11. [Google Scholar] [CrossRef]
  26. Korotkova, A.M.; Lebedev, S.V.; Gavrish, I.A. The study of mechanisms of biological activity of copper oxide nanoparticle CuO in the test for seedling roots of Triticum vulgare. Environ. Sci. Pollut. Res. 2017, 24, 10220–10233. [Google Scholar] [CrossRef]
  27. Solanki, B.; Khan, M.S. Phytotoxic impact of copper oxide nanoparticles fabricated from rose petals (Rosa indica) on germination, biological growth, and phytochemicals of tomato (Solanum lycopersicum). S. Afr. J. Bot. 2024, 172, 125–139. [Google Scholar] [CrossRef]
  28. Thakur, V.; Sharma, S.; Kumar, A.; Kumar, R. Unraveling nanoparticles efficiency in solanaceae crops: Mechanistic understanding, action, and stress mitigation approaches. Ecol. Front. 2024, 44, 1097–1108. [Google Scholar] [CrossRef]
  29. Raliya, R.; Nair, R.; Chavalmane, S.; Wang, W.-N.; Biswas, P. Mechanistic evaluation of translocation and physiological impact of titanium dioxide and zinc oxide nanoparticles on the tomato (Solanum lycopersicum L.) plant. Metallomics 2015, 7, 1584–1594. [Google Scholar] [CrossRef]
  30. Singh, A.; Sengar, R.S.; Rajput, V.D.; Minkina, T.; Singh, R.K. Zinc Oxide Nanoparticles Improve Salt Tolerance in Rice Seedlings by Improving Physiological and Biochemical Indices. Agriculture 2022, 12, 1014. [Google Scholar] [CrossRef]
  31. Giordani, T.; Fabrizi, A.; Guidi, L.; Natali, L.; Giunti, G.; Ravasi, F.; Cavallini, A.; Pardossi, A. Response of tomato plants exposed to treatment with nanoparticles. EQA-Int. J. Environ. Qual. 2012, 8, 27–38. [Google Scholar]
  32. Sun, L.; Song, F.; Zhu, X.; Liu, S.; Liu, F.; Wang, Y.; Li, X. Nano-ZnO alleviates drought stress via modulating the plant water use and carbohydrate metabolism in maize. Arch. Agron. Soil Sci. 2021, 7, 245–259. [Google Scholar] [CrossRef]
  33. Siddiqui, M.H.; Al-Whaibi, M.H.; Firoz, M.; Al-Khaishany, M.Y. Role of Nanoparticles in Plants. In Nanotechnology and Plant Sciences: Nanoparticles and Their Impact on Plants; Siddiqui, M.H., Al-Whaibi, M.H., Mohammad, F., Eds.; Springer International Publishing: Cham, Switzerland, 2015; pp. 19–35. [Google Scholar]
  34. Bulcke, F.; Dringen, R.; Thiel, K. Copper oxide nanoparticles: Synthesis, toxic potential and modulation of astrocytic metabolism. SpringerPlus 2015, 4 (Suppl. S1), P5. [Google Scholar] [CrossRef]
  35. Zafar, H.; Aziz, T.; Khan, B.; Mannan, A.; Rehman, R.; Zia, M. CuO and ZnO Nanoparticle Application in Synthetic Soil Modulates Morphology, Nutritional Contents, and Metal Analysis of Brassica nigra. ACS Omega 2020, 5, 13566–13577. [Google Scholar] [CrossRef]
  36. Prasad, R.; Bhattacharyya, A.; Nguyen, Q.D. Nanotechnology in sustainable agriculture: Recent developments, challenges, and perspectives. Front. Microbiol. 2017, 8, 1014. [Google Scholar] [CrossRef]
  37. Javan, M.; Selahvarzi, Y.; Sayyad-Amin, P.; Rastegar, S. Potential application of TiO2 nanoparticles to improve the nutritional quality of strawberry cv. Camarosa under drought stress. Sci. Hortic. 2024, 330, 113055. [Google Scholar] [CrossRef]
  38. Ghormade, V.; Deshpande, M.V.; Paknikar, K.M. Perspectives for nano-biotechnology enabled protection and nutrition of plants. Biotechnol. Adv. 2011, 29, 792–803. [Google Scholar] [CrossRef] [PubMed]
  39. Mahawar, L.; Živčák, M.; Barboricova, M.; Kovár, M.; Filaček, A.; Ferencova, J.; Vysoká, D.M.; Brestič, M. Effect of copper oxide and zinc oxide nanoparticles on photosynthesis and physiology of Raphanus sativus L. under salinity stress. Plant Physiol. Biochem. 2024, 206, 108281. [Google Scholar] [CrossRef] [PubMed]
  40. Faizan, M.; Bhat, J.A.; Chen, C.; Alyemeni, M.N.; Wijaya, L.; Ahmad, P.; Yu, F. Zinc oxide nanoparticles (ZnO-NPs) induce salt tolerance by improving the antioxidant system and photosynthetic machinery in tomato. Plant Physiol. Biochem. 2021, 161, 122–130. [Google Scholar] [CrossRef]
  41. Shahbaz, M. Heat and Wheat: Adaptation strategies with respect to heat shock proteins and antioxidant potential; an era of climate change. Int. J. Biol. Macromol. 2024, 256, 128379. [Google Scholar]
  42. Singh, A.; Sengar, R.S.; Shahi, U.P.; Rajput, V.D.; Minkina, T.; Ghazaryan, K.A. Prominent effects of zinc oxide nanoparticles on roots of rice (Oryza sativa L.) grown under salinity stress. Stresses 2022, 3, 33–46. [Google Scholar] [CrossRef]
  43. Adisa, I.O.; Pullagurala, V.L.R.; Peralta-Videa, J.R.; Dimkpa, C.O.; Elmer, W.H.; Gardea-Torresdey, J.L.; White, J.C. Recent advances in nano-enabled fertilizers and pesticides: A critical review of mechanisms of action. Environ. Sci. Nano 2019, 6, 2002–2030. [Google Scholar] [CrossRef]
  44. Pérez-Labrada, F.; López-Vargas, E.R.; Ortega-Ortiz, H.; Cadenas-Pliego, G.; Benavides-Mendoza, A.; Juárez-Maldonado, A. Responses of tomato plants under saline stress to foliar application of copper nanoparticles. Plants 2019, 8, 151. [Google Scholar] [CrossRef] [PubMed]
  45. Rai-Kalal, P.; Jajoo, A. Priming with zinc oxide nanoparticles improve germination and photosynthetic performance in wheat. Plant Physiol. Biochem. 2021, 160, 341–351. [Google Scholar] [CrossRef] [PubMed]
  46. Hu, J.; Wu, X.; Wu, F.; Chen, W.; White, J.C.; Yang, Y.; Wang, B.; Xing, B.; Tao, S.; Wang, X. Potential application of titanium dioxide nanoparticles to improve the nutritional quality of coriander (Coriandrum sativum L.). J. Hazard. Mater. 2020, 389, 121837. [Google Scholar] [CrossRef] [PubMed]
  47. Kaleem, Z.; Xu, W.; Ulhassan, Z.; Shahbaz, H.; He, D.; Naeem, S.; Ali, S.; Shah, A.M.; Sheteiwy, M.S.; Zhou, W. Harnessing the potential of copper-based nanoparticles in mitigating abiotic and biotic stresses in crops. Environ. Sci. Pollut. Res. 2024, 31, 59727–59748. [Google Scholar] [CrossRef]
  48. Allará, C.; Ciccone, G.; Ciocca, M.; Vasquez, S.; Ibba, P.; Maver, M.; Mimmo, T.; Lugli, P.; Petti, L. Electronic nanomaterials for plants: A review on current advances and future prospects. Adv. Electron. Mater. 2025, 2500080. [Google Scholar] [CrossRef]
  49. Simonin, M.; Richaume, A. Impact of engineered nanoparticles on the activity, abundance, and diversity of soil microbial communities: A review. Environ. Sci. Pollut. Res. 2015, 22, 13710–13723. [Google Scholar] [CrossRef]
  50. Côa, F.; Bortolozzo, L.S.; Petry, R.; Da Silva, G.H.; Martins, C.H.; de Medeiros, A.M.; Sabino, C.M.; Costa, R.S.; Khan, L.U.; Delite, F.S.; et al. Environmental toxicity of nanopesticides against non-target organisms: The state of the art. In Nanopesticides: From Research and Development to Mechanisms of Action and Sustainable Use in Agriculture; Springer: Berlin/Heidelberg, Germany, 2020; pp. 227–279. [Google Scholar]
Figure 1. Response of seed germination attributes of tomato, eggplant, and pepper plants to salinity and nanoparticles. The data are expressed as means (n = 3). Asterisks denote significant differences (p ≤ 0.05) among treatments, as identified using Duncan’s multiple range test. (a) seed germination (%); (b) germination index; (c) mean daily germination; (d); mean germination time (days); (e) time to 50% germination; (f) germination energy.
Figure 1. Response of seed germination attributes of tomato, eggplant, and pepper plants to salinity and nanoparticles. The data are expressed as means (n = 3). Asterisks denote significant differences (p ≤ 0.05) among treatments, as identified using Duncan’s multiple range test. (a) seed germination (%); (b) germination index; (c) mean daily germination; (d); mean germination time (days); (e) time to 50% germination; (f) germination energy.
Crops 05 00062 g001
Figure 2. Response of morphology attributes of tomato, eggplant, and pepper plants to salinity and nanoparticles. The data are expressed as means (n = 3). Asterisks denote significant differences (p ≤ 0.05) among treatments, as identified using Duncan’s multiple range test.
Figure 2. Response of morphology attributes of tomato, eggplant, and pepper plants to salinity and nanoparticles. The data are expressed as means (n = 3). Asterisks denote significant differences (p ≤ 0.05) among treatments, as identified using Duncan’s multiple range test.
Crops 05 00062 g002
Figure 3. Response of yield components attributes of tomato, eggplant, and pepper plants to salinity and nanoparticles. The data are expressed as means (n = 3). Asterisks denote significant differences (p ≤ 0.05) among treatments, as identified using Duncan’s multiple range test.
Figure 3. Response of yield components attributes of tomato, eggplant, and pepper plants to salinity and nanoparticles. The data are expressed as means (n = 3). Asterisks denote significant differences (p ≤ 0.05) among treatments, as identified using Duncan’s multiple range test.
Crops 05 00062 g003
Figure 4. Response of seed production attributes of tomato, eggplant, and pepper plants to salinity and nanoparticles. The data are expressed as means (n = 3), with error bars representing the SEs. Different letters, assigned based on Duncan’s test, indicate statistically significant differences between treatments (p ≤ 0.05).
Figure 4. Response of seed production attributes of tomato, eggplant, and pepper plants to salinity and nanoparticles. The data are expressed as means (n = 3), with error bars representing the SEs. Different letters, assigned based on Duncan’s test, indicate statistically significant differences between treatments (p ≤ 0.05).
Crops 05 00062 g004
Figure 5. The PCA biplot provides a detailed representation of the data for the Solanaceae family, encompassing (a) tomato, (b) eggplant, and (c) pepper plants subjected to salinity and nanoparticle (TiO2, CuO, and ZnO) treatments. The abbreviations representing the variables analyzed in the PCA are as follows: SG: seed germination, GI: germination index, MDG: mean daily germination, MGT: mean germination time, TG: time to 50% germination, GE: germination energy, PH: plant height, SD: stem diameter, PBN: plant branch number, PLN: plant leaf number, LA: leaf area, LCC: leaf chlorophyll content, TNF: total number of flowers, NAF: number of aborted flowers, AFW: average fruit weight, PFN: plant fruit number, PFW: plant fruit weight, TMY: total marketable yield, SFN: seed fruit number, PSY: plant seed yield, NS: number of seeds per plant, and SW: seed weight of 1000 per gram.
Figure 5. The PCA biplot provides a detailed representation of the data for the Solanaceae family, encompassing (a) tomato, (b) eggplant, and (c) pepper plants subjected to salinity and nanoparticle (TiO2, CuO, and ZnO) treatments. The abbreviations representing the variables analyzed in the PCA are as follows: SG: seed germination, GI: germination index, MDG: mean daily germination, MGT: mean germination time, TG: time to 50% germination, GE: germination energy, PH: plant height, SD: stem diameter, PBN: plant branch number, PLN: plant leaf number, LA: leaf area, LCC: leaf chlorophyll content, TNF: total number of flowers, NAF: number of aborted flowers, AFW: average fruit weight, PFN: plant fruit number, PFW: plant fruit weight, TMY: total marketable yield, SFN: seed fruit number, PSY: plant seed yield, NS: number of seeds per plant, and SW: seed weight of 1000 per gram.
Crops 05 00062 g005
Disclaimer/Publisher’s Note: The statements, opinions and data contained in all publications are solely those of the individual author(s) and contributor(s) and not of MDPI and/or the editor(s). MDPI and/or the editor(s) disclaim responsibility for any injury to people or property resulting from any ideas, methods, instructions or products referred to in the content.

Share and Cite

MDPI and ACS Style

Mahmood, C.H.; Rasul, K.S.; Halshoy, H.S. Mitigating Salinity Stress in Solanaceae: The Role of Nanoparticles in Seed Germination and Growth Development. Crops 2025, 5, 62. https://doi.org/10.3390/crops5050062

AMA Style

Mahmood CH, Rasul KS, Halshoy HS. Mitigating Salinity Stress in Solanaceae: The Role of Nanoparticles in Seed Germination and Growth Development. Crops. 2025; 5(5):62. https://doi.org/10.3390/crops5050062

Chicago/Turabian Style

Mahmood, Chinur Hadi, Kamaran Salh Rasul, and Hawar Sleman Halshoy. 2025. "Mitigating Salinity Stress in Solanaceae: The Role of Nanoparticles in Seed Germination and Growth Development" Crops 5, no. 5: 62. https://doi.org/10.3390/crops5050062

APA Style

Mahmood, C. H., Rasul, K. S., & Halshoy, H. S. (2025). Mitigating Salinity Stress in Solanaceae: The Role of Nanoparticles in Seed Germination and Growth Development. Crops, 5(5), 62. https://doi.org/10.3390/crops5050062

Article Metrics

Back to TopTop