Single-Plant Grain Yield in Corn (Zea mays L.) Based on Emergence Date, Seed Size, Sowing Depth, and Plant to Plant Distance
Abstract
:1. Introduction
2. Materials and Methods
2.1. Field Plot Design and Sowing
2.2. Seed
2.3. Field Emergence
2.4. Field Harvest
2.5. Weather
2.6. Statistical Analysis
3. Results
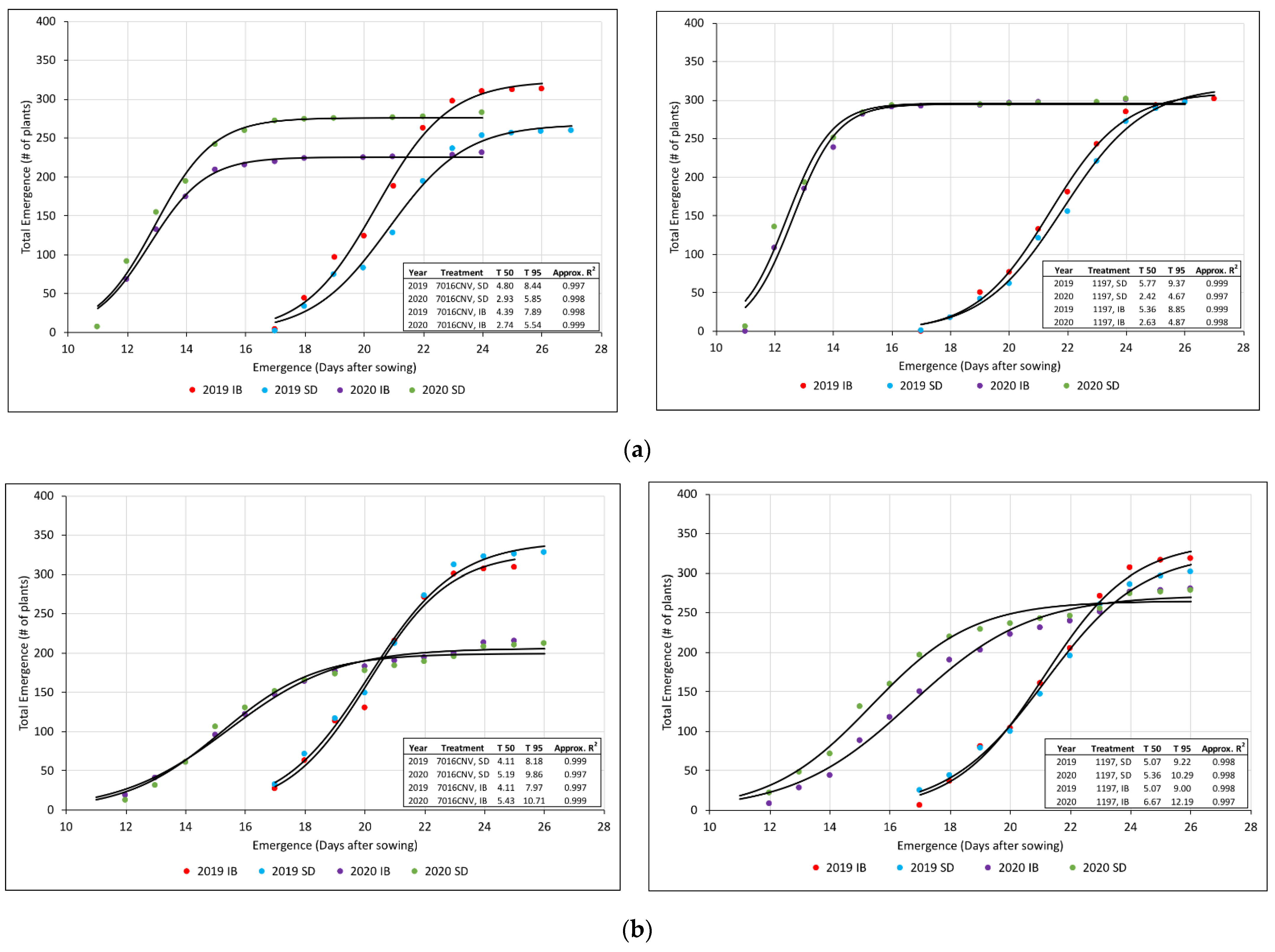
3.1. Field Emergence
3.1.1. Bare Soil vs. KBG-PGC Cropping System
3.1.2. Seed Size in Bare Soil vs. KBG-PGC Cropping System
3.1.3. Hybrid and Seed Size Interaction in a Bare Soil vs. KBG-PGC Cropping System
3.1.4. Sowing Depth in Bare Soil vs. KBG Cropping Systems
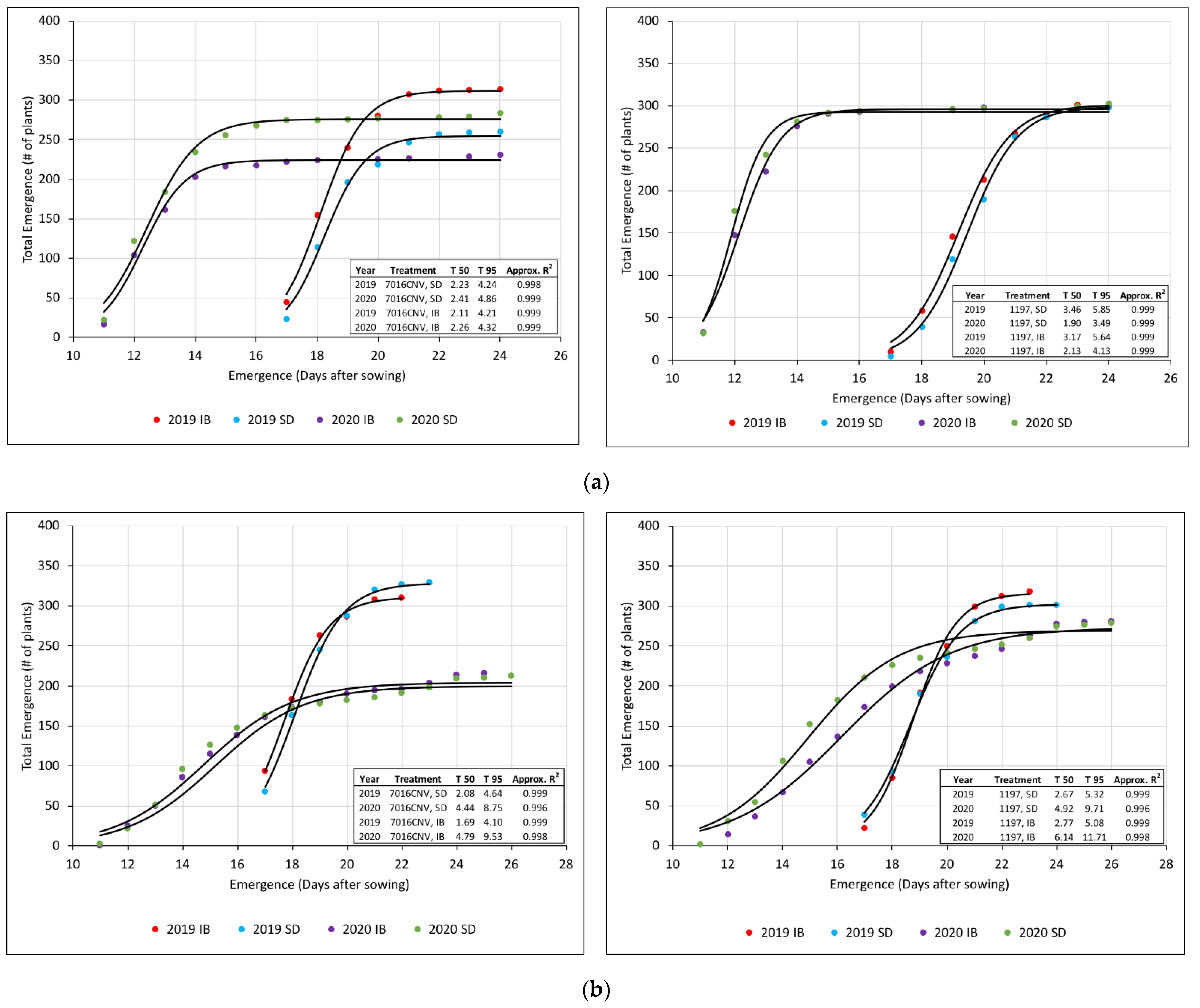
3.2. Normalized Emergence
3.2.1. Bare Soil vs. KBG-PGC Cropping System
3.2.2. Effect of Seed Size in Bare Soil vs. KBG-PGC Cropping System
3.2.3. Hybrid and Seed Size Interaction in Bare Soil vs. KBG-PGC Cropping System
3.3. Yield
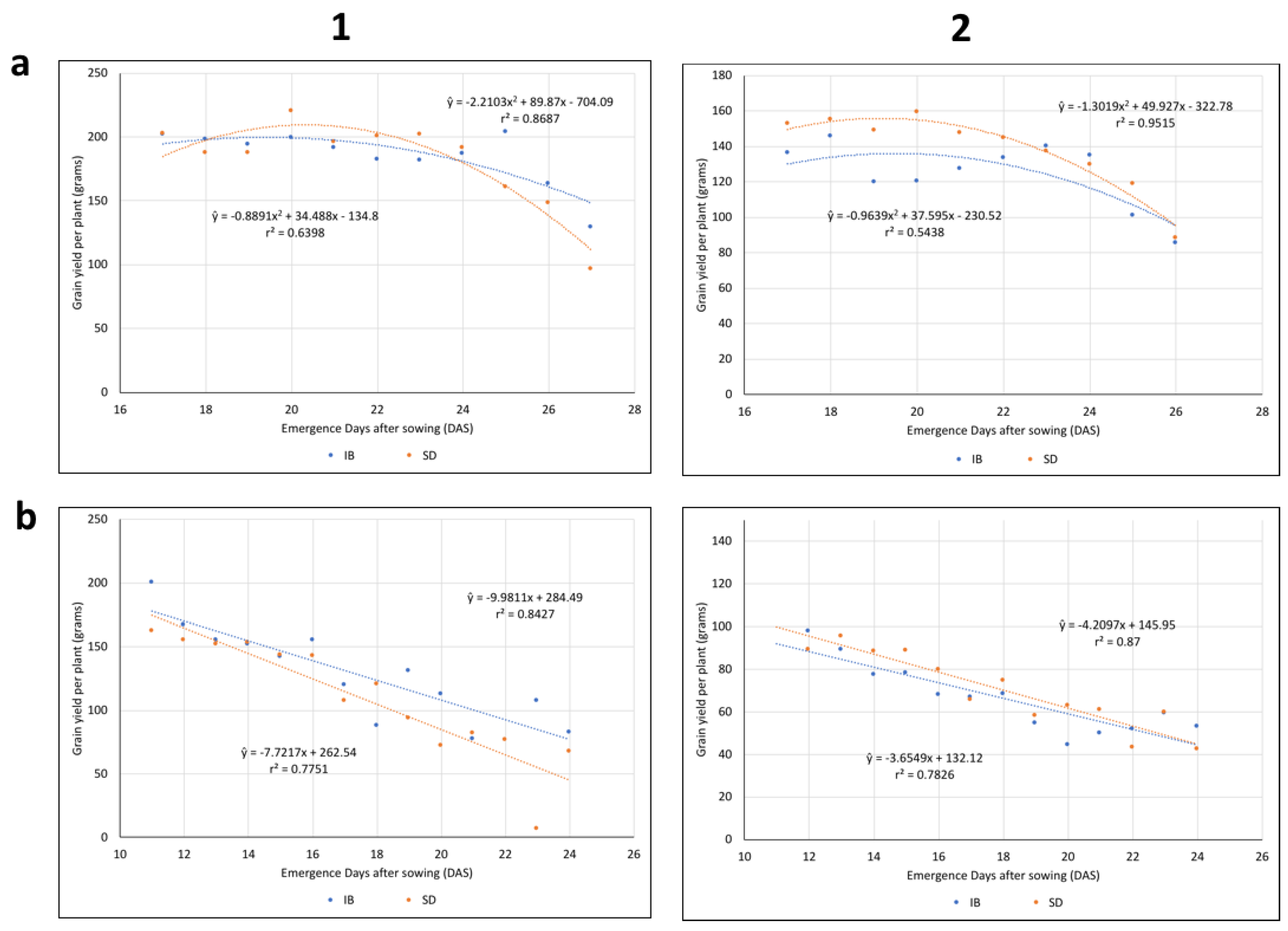
3.3.1. Yield Based on Emergence Date
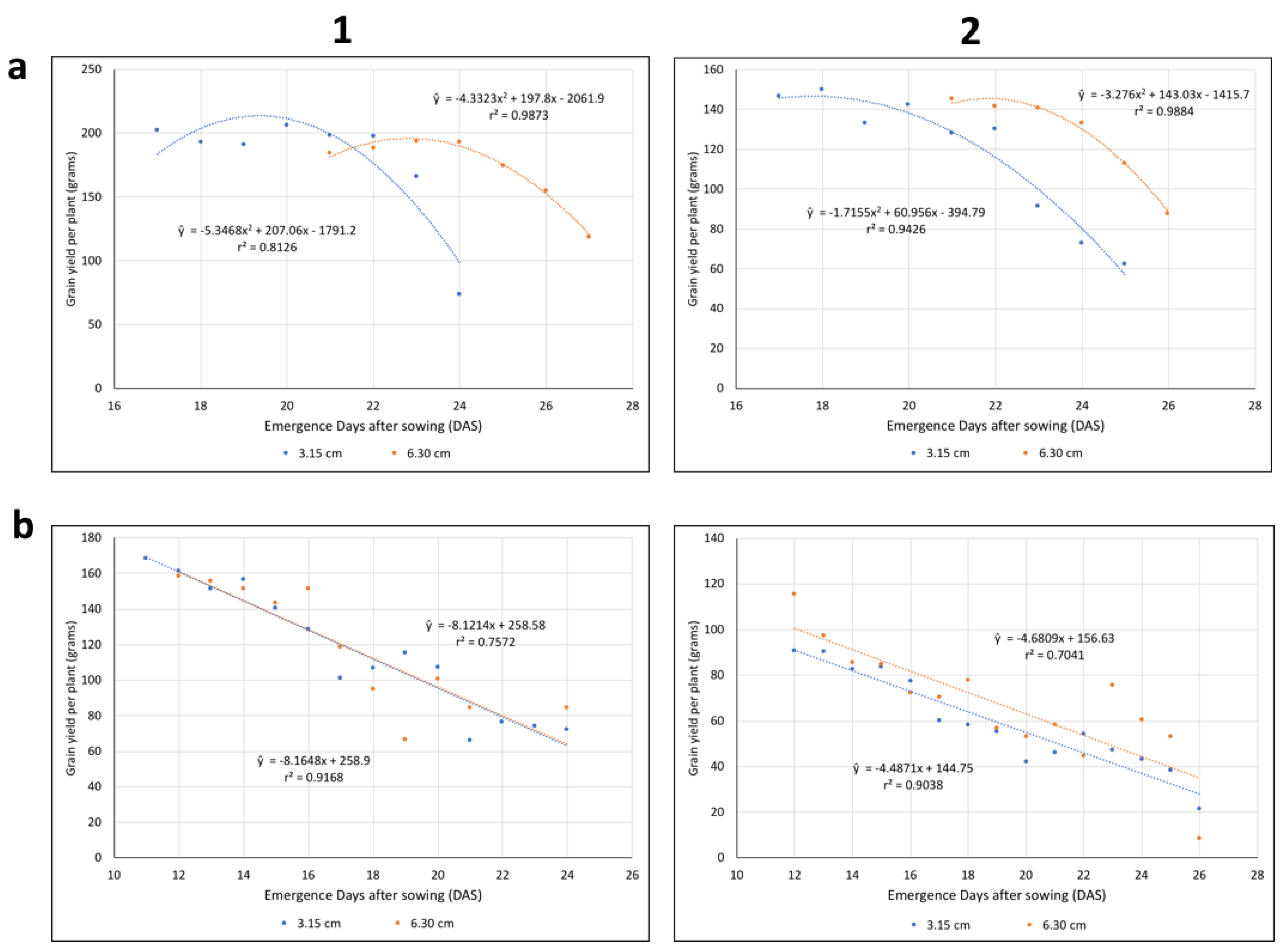
3.3.2. Yield Based on Seed Size
3.3.3. Yield Based on Sowing Depth
3.3.4. Yield Based on Hybrid
3.3.5. Yield Based on Normalized Emergence Date by Sowing Depth
3.3.6. Yield Based on Seed Size and Normalized Emergence
4. Discussion
4.1. Field Emergence
4.1.1. Emergence and Sowing Depth
Bare Soil vs. KBG Field Emergence
4.1.2. Seed Size
4.2. Yield
4.2.1. Yield Based on Emergence Date in Bare Soil
4.2.2. Yield Based on Emergence Date in the KBG Cropping System
4.2.3. Yield Based on Emergence Date and Seed Size
5. Conclusions
Supplementary Materials
Author Contributions
Funding
Data Availability Statement
Conflicts of Interest
References
- Graven, L.M.; Carter, P.R. Seed Size/Shape and Tillage System Effect on Corn Growth and Grain Yield. J. Prod. Agric. 1990, 3, 445–452. [Google Scholar] [CrossRef] [Green Version]
- Nafziger, E.D. Seed Size Effects on Yields of Two Corn Hybrids. J. Prod. Agric. 1992, 5, 538–540. [Google Scholar] [CrossRef]
- Hunter, R.B.; Kannenberg, L.W. Effects of Seed Size on Emergence, Grain Yield, and Plant Height in Corn. Can. J. Plant Sci. 1971, 52, 252–256. [Google Scholar] [CrossRef]
- Molatudi, R.; Mariga, I. The Effect of Maize Seed Size and Depth of Planting on Seedling Emergence and Seedling Vigour. J. Appl. Sci. Res. 2009, 5, 2234–2237. [Google Scholar]
- Martin, R.C.; Greyson, P.R.; Gordon, R. Competition between corn and a living mulch. Can. J. Plant Sci. 1999, 79, 579–586. [Google Scholar] [CrossRef] [Green Version]
- Flynn, E.S.; Moore, K.J.; Singer, J.W.; Lamkey, K.R. Evaluation of Grass and Legume Species as Perennial Ground Covers in Corn Production. Crop Sci. 2013, 53, 611–620. [Google Scholar] [CrossRef]
- Beyaert, R.P.; Schott, J.W.; White, P.H. Tillage effects on corn production in a coarse-textured soil in Southern Ontario. Agron. J. 2002, 94, 767–774. [Google Scholar] [CrossRef]
- Duvick, D.N. The contribution of breeding to yield advances in maize (Zea mays L.). Adv. Agron. 2005, 86, 82–145. [Google Scholar]
- Tokatlidis, I.S.; Koutroubas, S.D. A review of maize hybrids’ dependence on high plant populations and its implications for crop yield stability. F. Crop. Res. 2004, 88, 103–114. [Google Scholar] [CrossRef]
- Tollenaar, M.; Lee, E.A. Yield potential, yield stability and stress tolerance in maize. F. Crop. Res. 2002, 75, 161–169. [Google Scholar] [CrossRef]
- Pecinovsky, K.T. Corn Population Research. 2011. Available online: https://dr.lib.iastate.edu/handle/20.500.12876/36160 (accessed on 5 April 2019).
- Nielsen, R.L. Stand establishment variability in Corn. 1991. Available online: https://www.agry.purdue.edu/ext/pubs/AGRY-91-01_v5.pdf (accessed on 12 June 2019).
- Nielsen, R.L. Stand establishment variability in corn. In Proceedings of the 2006 Indiana CCA Conference, Indianapolis, IN, USA, 19 December 2006; pp. 1–10. [Google Scholar]
- Doerge, T.; Hall, T.; Gardner, D. Improved plant spacing in Corn. 2002. Available online: https://studylib.net/doc/7585349/benefits-of-improved-plant-spacing-uniformity (accessed on 25 March 2019).
- SAS Institute Inc. SAS Institute Inc. Version 9.4; SAS Institute Inc.: Cary, NC, USA, 2013. [Google Scholar]
- Delouche, J.C. Environmental Effects on Seed Development and Seed Quality. HortScience 1980, 15, 13–18. [Google Scholar]
- Castro, J.; Hodar, J.A.; Gomez, J.M. Handbook of Seed Science and Technology: Seed Size; CRC Press: Boca Raton, FL, USA, 2006. [Google Scholar]
- Wright, H. Commercial Hybrid Seed Production. In Hybridization of Crop Plants; DeKalb AgResearch, Inc.: DeKalb, IL, USA, 1980; pp. 161–176. [Google Scholar]
- USDA. Understanding Seeding Rates, Recommended Planting Rates, and Pure Live Seeds (PLS). 2009. Available online: https://www.nrcs.usda.gov/Internet/FSE_PLANTMATERIALS/publications/lapmctn9045.pdf (accessed on 20 March 2019).
- Copeland, L.O.; McDonald, M.B. Seed Vigor and Vigor Testing. In Principles of Seed Science and Technology; Springer: Boston, MA, USA, 2001. [Google Scholar]
- Varga, P.; Berzy, T.; Anda, A.; Ertsey, K. Relationship between seed harvesting method and seed physiological quality for a number of Pioneer maize hybrids. Maydica 2012, 57, 220–225. [Google Scholar]
- Gubbels, G.H. Growth of Corn Seedlings Under Low Temperatures As Affected By Genotype, Seed Size, Total Oil, and Fatty Acid Content of the Seed. Can. J. Plant Sci. 2010, 54, 425–426. [Google Scholar] [CrossRef]
- Bockstaller, C.; Girardin, P. Effects of seed size on maize growth from emergence to silking. Maydica 1994, 39, 213–218. [Google Scholar]
- Nash, H.M.; Selles, F. Seedling emergence as influenced by aggregate size, bulk density, and penetration resistance of the seedbed. Soil Tillage Res. 1995, 34, 61–76. [Google Scholar]
- Szparaga, A.; Kocira, S. Generalized logistic functions in modelling emergence of Brassica napus L. PLoS ONE 2018, 13, e0201980. [Google Scholar] [CrossRef]
- Gupta, S.C.; Schneider, E.C.; Swan, J.B. Planting Depth and Tillage Interactions on Corn Emergence. Soil Sci. Soc. Am. J. 1988, 1122–1127. [Google Scholar] [CrossRef] [Green Version]
- Newman, P.R.; Moser, L.E. Grass Seedling Emergence, Morphology, and Establishment as Affected by Planting Depth. Agron. J. 1988, 80, 383–387. [Google Scholar] [CrossRef] [Green Version]
- Devlin, P.F. Plants wait for the lights to change to red. Proc. Natl. Acad. Sci. USA 2016, 113, 7301–7303. [Google Scholar] [CrossRef] [Green Version]
- Flynn, E.S. Corn Production with Perennial Ground Covers: Evaluation of Cover Species and Their Effects on Corn Growth and Development. Ph.D. Thesis, Iowa State University, Ames, IA, USA, 2011. [Google Scholar]
- Fageria, N.K.; Baligar, V.C.; Bailey, B.A. Role of Cover Crops in Improving Soil and Row Crop Productivity Role of Cover Crops in Improving Soil. Commun. Soil Sci. Plant Anal. 2007, 36, 2733–2757. [Google Scholar] [CrossRef]
- Drury, C.F.; Tan, C.S.; Welacky, T.W.; Oloya, T.O.; Hamill, A.S.; Weaver, S.E. Red clover and tillage influence on soil temperature, water content, and corn emergence. Agron. J. 1999, 91, 101–108. [Google Scholar] [CrossRef]
- Bartel, C.A.; Banik, C.; Lenssen, A.W.; Moore, K.J.; Laird, D.A.; Archontoulis, S.V.; Lamkey, K.R. Establishment of perennial groundcovers for maize-based bioenergy production systems. Agron. J. 2017, 109, 822–835. [Google Scholar] [CrossRef] [Green Version]
- Wiggans, D.R.; Singer, J.W.; Moore, K.J.; Lamkey, K.R. Maize Water Use in Living Mulch Systems with Stover Removal Maize Water Use in Living Mulch Systems with Stover Removal. Crop Sci. 2012, 52, 327–338. [Google Scholar] [CrossRef] [Green Version]
- Alessi, J.; Power, J.F. Corn Emergence in Relation to Soil Temperature and Seeding Depth. Agron. J. 1971, 63, 717–719. [Google Scholar] [CrossRef] [Green Version]
- Adams, W.E.; Pallas, J.E.; Dawson, R.N.; Al, A.E.T. Tillage Methods for Corn-Sod Systems in the Southern Piedmont 1 Treatment Effects on Corn Germination. Agron. J. 1970, 62, 646–649. [Google Scholar] [CrossRef]
- Walters, S.A.; Young, B.G. Utility of Winter Rye Living Mulch for Weed Management in Zucchini Squash Production. Weed Technol. 2008, 22, 724–728. [Google Scholar] [CrossRef]
- Leishman, M.R.; Westoby, M. The Role of Seed Size in Seedling Establishment in Dry Soil Conditions–Experimental Evidence from Semi-Arid Species. J. Ecol. 1994, 82, 249–258. [Google Scholar] [CrossRef]
- Anderson, R.L.; Nielsen, D.C. Emergence Pattern of Five Weeds in the Central Great Plains. Weed Technol. 1996, 10, 744–749. [Google Scholar] [CrossRef]
- Gitaitis, R.; Walcott, R. The Epidemiology and Management of Seedborne Bacterial Diseases. Annu. Rev. Phytopathol. 2007, 45, 371–397. [Google Scholar] [CrossRef]
- Rectenwald, J. Seed Size and Planter Prep. Available online: https://ocj.com/2012/03/seed-size-and-planter-prep/ (accessed on 28 December 2018).
- Chaves, M.M.; Pereira, J.S.; Maroco, J.; Rodrigues, M.L.; Ricardo, C.P.P.; Osoario, M.L.; Carvalho, I.; Faria, T.; Pinheiro, C. How Plants Cope with Water Stress in the Field. Photosynthesis and Growth. Ann. Bot. 2002, 89, 907–916. [Google Scholar] [CrossRef] [Green Version]
- Dowdy, R.; Hess, A. Randy Dowdy: Eight Reasons for Uneven Corn Emergence. Available online: https://www.agdaily.com/crops/randy-dowdy-uneven-corn-emergence/ (accessed on 28 December 2018).
- Hart, J.; Dowdy, R.; Hula, D. Corn Yield Champions Hula and Dowdy Use Flags to Measure Emergence. Available online: https://www.farmprogress.com/grains/corn-yield-champions-hula-and-dowdy-use-flags-measure-emergence (accessed on 28 December 2018).
- Rajcan, I.; Chandler, K.J.; Swanton, C.J. Red-far-red ratio of reflected light: A hypothesis of why early-season weed control is important in corn. Weed Sci. 2004, 52, 774–778. [Google Scholar] [CrossRef]
- Holmes, M.G.; Smith, H. The function of phytochrome in plants growing in the natural environment. Nature 1975, 254, 512–514. [Google Scholar] [CrossRef]
- Afifi, M.; Swanton, C. Maize seed and stem roots differ in response to neighbouring weeds. Weed Res. 2011, 51, 442–450. [Google Scholar] [CrossRef]
- Markham, M.Y.; Stoltenberg, D.E. Red:Far-Red Light Effects on Corn Growth and Productivity in Field Environments. Weed Sci. 2009, 57, 208–215. [Google Scholar] [CrossRef]
- Ferreira, G.; Brown, A. Advances in Silage Prodution and Utilizations: Environmental Factors Affecting Corn Quality for Silage Production. 2016. Available online: https://www.intechopen.com/chapters/51614 (accessed on 25 March 2019).
- Toliver, D.K.; Larson, J.A.; Roberts, R.K.; English, B.C.; De La Torre Ugarte, D.G.; West, T.O. Effects of No-Till on Yields as Influenced by Crop and Environmental Factors. Agron. J. Soil Tillage Conserv. Manag. 2012, 104, 530–541. [Google Scholar] [CrossRef] [Green Version]















| Mean Temperature (°C) | Rainfall (mm) | GDU (Base 50) | ||||
|---|---|---|---|---|---|---|
| Month | 2019 | 2020 | 2019 | 2020 | 2019 | 2020 |
| April | 9.4 | 8.3 | 24.9 | 2.3 | 43.0 | 85.0 |
| May | 13.9 | 14.4 | 211.3 | 134.1 | 338.5 | 346.5 |
| June | 20.6 | 22.8 | 100.8 | 39.9 | 622.5 | 729.5 |
| July | 23.3 | 24.4 | 117.1 | 70.9 | 774.0 | 778.5 |
| August | 21.1 | 22.8 | 33.0 | 25.9 | 637.5 | 678.5 |
| September | 20.0 | 16.7 | 115.8 | 81.0 | 609.5 | 434.0 |
| October | 8.3 | - | 133.1 | - | 148.0 | - |
| Growing Season | ||
|---|---|---|
| 2019 | 2020 | |
| Day after Planting (DAP) | Accumulated GDU | Accumulated GDU |
| 11 | 112 | |
| 12 | 126 | |
| 13 | 129 | |
| 14 | 129 | |
| 15 | 134 | |
| 16 | 141 | |
| 17 | 147 | 145 |
| 18 | 154 | 153 |
| 19 | 156 | 155 |
| 20 | 159 | 160 |
| 21 | 168 | 166 |
| 22 | 177 | 169 |
| 23 | 193 | 177 |
| 24 | 216 | 189 |
| 25 | 230 | 203 |
| 26 | 248 | 209 |
| 27 | 251 | 218 |
| Average GDU/day | 10.4 | 6.6 |
| Average Single-Plant Yield at 15% Grain Moisture (g) | ||
|---|---|---|
| 2019 | 2020 | |
| Bare Soil | ||
| Overall average | 191.41 | 151.39 |
| 7016CNV | 171.00 | 152.10 |
| 1197 | 212.35 | 150.78 |
| KBG | ||
| Overall average | 138.22 | 72.97 |
| 7016CNV | 132.99 | 63.92 |
| 1197 | 143.25 | 79.91 |
Publisher’s Note: MDPI stays neutral with regard to jurisdictional claims in published maps and institutional affiliations. |
© 2022 by the authors. Licensee MDPI, Basel, Switzerland. This article is an open access article distributed under the terms and conditions of the Creative Commons Attribution (CC BY) license (https://creativecommons.org/licenses/by/4.0/).
Share and Cite
Kimmelshue, C.L.; Goggi, A.S.; Moore, K.J. Single-Plant Grain Yield in Corn (Zea mays L.) Based on Emergence Date, Seed Size, Sowing Depth, and Plant to Plant Distance. Crops 2022, 2, 62-86. https://doi.org/10.3390/crops2010006
Kimmelshue CL, Goggi AS, Moore KJ. Single-Plant Grain Yield in Corn (Zea mays L.) Based on Emergence Date, Seed Size, Sowing Depth, and Plant to Plant Distance. Crops. 2022; 2(1):62-86. https://doi.org/10.3390/crops2010006
Chicago/Turabian StyleKimmelshue, Chad L., A. Susana Goggi, and Kenneth J. Moore. 2022. "Single-Plant Grain Yield in Corn (Zea mays L.) Based on Emergence Date, Seed Size, Sowing Depth, and Plant to Plant Distance" Crops 2, no. 1: 62-86. https://doi.org/10.3390/crops2010006
APA StyleKimmelshue, C. L., Goggi, A. S., & Moore, K. J. (2022). Single-Plant Grain Yield in Corn (Zea mays L.) Based on Emergence Date, Seed Size, Sowing Depth, and Plant to Plant Distance. Crops, 2(1), 62-86. https://doi.org/10.3390/crops2010006

