Previous Article in Journal
Examining Travel Behavior and Activity Changes During Flooding: A Case Study of Kudus, Indonesia
 
 
Font Type:
Arial Georgia Verdana
Font Size:
Aa Aa Aa
Line Spacing:
Column Width:
Background:
Article

Passive Occupant Safety Solutions for Non-Conventional Seating Positions

Department of Road and Rail Vehicles, Audi Hungaria Faculty of Automotive Engineering, Szechenyi Istvan University, Egyetem ter 1, H-9026 Győr, Hungary
*
Author to whom correspondence should be addressed.
Future Transp. 2026, 6(1), 7; https://doi.org/10.3390/futuretransp6010007 (registering DOI)
Submission received: 17 November 2025 / Revised: 24 December 2025 / Accepted: 31 December 2025 / Published: 2 January 2026

Abstract

In a fully autonomous vehicle, the driver becomes a passenger, free to adopt different seating positions. This change challenges traditional passive safety systems—such as seatbelts, airbags and seat design—that are optimised for a forward-facing position. As autonomous vehicles are integrated into mixed traffic with conventional cars, solutions need to address these challenges. In this intermediate stage, fully autonomous cars will need a system that, in the event of an accident, can rotate the seats to the most ideal position tested by the manufacturer. This could be a number of positions where the seat, airbags and seatbelts are optimised, taking into account the expected direction of impact. It is important that the rotation is not too radical, as this would increase the risk of injury. In addition, the seat dimensions need to be increased to improve energy absorption in the event of a collision, thereby reducing the impact forces on the occupants and improving overall safety. To improve passive protection, airbags will continue to be used in the future, but in completely new positions, sizes and shapes. This research aims to identify potential passive occupant safety solutions for seat positions that have been rotated in fully autonomous vehicles. The finite element simulation model on which the results in this article are based was developed in an earlier phase of the research. The current research combines two previously conducted research directions, using the modified seat and the developed airbag concept. This research’s main outcome is a system that effectively protects occupants in rotated seat positions. It maintains all evaluated injury criteria below their threshold limits and ensures controlled occupant kinematics.

1. Introduction

The advent of autonomous vehicles is transforming drivers into passive passengers, reducing the need for active engagement and allowing for alternative activities and relaxed postures. This research investigates how design elements, such as rotating seats, can impact future passenger safety systems [1,2,3].
A large and growing body of research on self-driving vehicles is making significant advances in active safety, thanks to progress in sensors, cameras, LIDAR and related technologies. However, little research has examined what would happen if a passenger in a fully autonomous car were to be involved in an accident despite the presence of all active safety systems. This is an important research gap. This could be due to a failure of the necessary active safety systems, but it could also be because, when fully autonomous vehicles appear, they will share the road with conventional vehicles. Therefore, although the passenger in a fully autonomous vehicle can occupy any comfortable seating position, the vehicle must still be able to protect the passenger throughout the entire journey in the vent of a collision [4,5,6].
Highly automated, self-driving cars offer the advantage of freeing up time for the driver, who can shift to a passenger role and choose any seating position. Adapting vehicle safety systems to accommodate this shift requires an understanding of user preferences for seating in highly automated self-driving cars. The following section presents a study conducted in Sweden with participants between the ages of 10 and 65. Each participant participated in the study individually, with test sessions lasting between ten and twenty minutes. Prior to each study, the participants were given detailed information about the procedures. Throughout the study, participants were able to choose from five different seating positions, as shown in Figure 1. These positions include the traditional forward-facing arrangement (A), a conversational configuration with the front seats facing inwards (B), and three lounge-style arrangements with all seats facing each other (C, D, E) [7,8].
The study found that the most preferred seating position was position C, characterised by the front seats turned 180°. This preference was followed by lounge positions E and D and conversation position B, consecutively. Conversely, the traditional forward-facing arrangement represented by position A attracted minimal interest from participants. However, the introduction of new seating positions in fully self-driving cars raises several safety concerns. Existing safety features such as airbags and seatbelts are optimised for forward-facing positions, limiting their effectiveness in alternative arrangements. In lounge-style configurations, where occupants face each other, the potential for dangerous interactions in the event of an accident becomes apparent, highlighting the need for innovative safety solutions [9,10,11].
The aim of this research is to propose novel safety solutions for fully autonomous vehicles that have not been explored before. These solutions should provide adequate occupant protection, even in rotated seat positions. This research, initiated five years ago as part of a doctoral program, aimed to develop and validate a computer simulation model for assessing passive occupant safety in fully autonomous vehicles. The model, validated using real crash test data, was adapted to evaluate various seating orientations. Frontal impact simulations were conducted for seating angles of 30°, 60°, 90°, 135°, and 180°, compared to the standard forward-facing position (see Figure 2).

2. Methodology

2.1. Advanced Simulation Model

The 50th percentile male THOR (Test Device for Human Occupant Restraint) dummy (472-0000), which is available free of charge to academic institutions, was used in the research and has recently replaced the Hybrid III dummy (see Figure 3). Successfully tested by the Euro NCAP Working Group in 2016, the THOR dummy was included in the 2020 Roadmap test protocol. Compared to the Hybrid III dummy, the THOR dummy offers higher biofidelity and is equipped with additional sensors. In this study, the THOR dummy was used for all calculations. The following improvements have been made in terms of human kinematics: These include better imaging in the cervical area through improved deformation and fixation in the thoracic and shoulder areas, as well as more flexible joints in the dorsal and lumbar spine. There is less contact with thigh movements and thighs in the pelvic area, which improves biofidelity and the absorption of axial forces. In addition to the improvements in human kinematics, the THOR dummy offers new measurement capabilities compared to the Hybrid III dummy. These include three-dimensional measurement of the thoracic cavity and abdomen at two points, as well as a force sensor in the acetabulum. Although the THOR dummy was primarily developed for frontal impacts, it was also used in side impacts since no other dummy model was available. For side impacts, it would be advisable to use WS or ES-2 side impact dummies, which have well-developed rib sections that can accurately measure the forces generated during a side impact. The TTF (Time To Fire) for the airbag was 15 ms, the same value was set for the belt tensioning time. The belt model used did not have a load limiter [12,13].
There are two types of frontal impact, collisions with a rigid wall and collisions with a deformable barrier. The rigid wall impact produces the maximum forces and deformations because it does not absorb any energy, so all the kinetic energy goes through the car. Conversely, the deformable barrier absorbs some of the kinetic energy, reducing the impact on the vehicle structure. It is only in the case of a rigid wall impact that a consistent and high occupant stress assessment is guaranteed. Therefore, only the rigid wall impact scenario is considered in this research, when the vehicle collides with a rigid wall at a speed of 50 km/h with 100% overlap. In addition to frontal crashes, side-impact scenarios are also studied in this research. The pole impact test simulates a vehicle colliding sideways with a tree at low speed. The test setup uses a rigid pole with a diameter of 254 mm and a height exceeding that of the vehicle. The vehicle hits the pole at 32 ± 0.5 km/h at an angle of 75° to the longitudinal axis of the car, with the target line passing through the centre of the dummy’s head. In physical crash tests, the vehicle is mounted on a platform, whereas in simulations, this setup is replicated with appropriate boundary conditions. In addition to pole impacts, there are also side impacts with a deformable barrier. The Advanced European Mobile Deformable Barrier (AE-MDB) used by EuroNCAP is an evolution of the original mobile deformable barrier. This barrier consists of a car with four tyres and a deformable honeycomb structure at the front, measuring approximately 1700 mm × 560 mm, with a total mass of 1400 kg. The barrier hits the vehicle at 60 ± 1 km/h in the vicinity of the two doors after it has been accelerated to the appropriate speed. The research focused on the pole test due to the higher load on the occupants, resulting in minimal body protection and significant deformation.
The simulations are based on a 2008 Honda Accord, which provides a comprehensive finite element vehicle model containing all the necessary components (see Figure 4). Although an existing academic model was used as the initial foundation, it represented a conventional vehicle and therefore required several modifications to emulate a fully autonomous configuration. The primary change involved enabling seat rotation. The chassis was also adapted to the boundary conditions to enable the seat to rotate properly.
However, as this model represents a conventional vehicle, adjustments are required to simulate a fully self-driving car. Firstly, the front passenger seat is removed to make room for the seat rotation. The entire centre console is then removed to allow to rotate the seat without obstruction. The absence of centre consoles is a common feature of all these concept cars. The changes to the interior layout are highlighted in Figure 5.
In addition, the underfloor of the car model has to be adapted to specific constraints to allow the seat to be rotated into different positions. For space reasons, modifications are made to flatten the tunnel to which the centre console is attached. In the context of electric vehicles, which are often associated with autonomous driving capabilities, the exhaust system is typically omitted due to the absence of exhaust emissions. Consequently, the tunnel designed to house this system is also modified, unless it serves another purpose, such as cooling. In addition, in modern vehicle designs, the battery used to store energy is typically located under the underbody. Figure 6 illustrates the geometric changes made to the underbody.
A key deviation from the original model concerns the seatbelt anchorage. In conventional vehicles, the belt is usually attached to the B-pillar to withstand high loads. However, this configuration is incompatible with seat rotation and could result in harmful loads being transferred to the occupant’s neck. Consequently, the seatbelt anchorage was integrated directly into the seat itself, necessitating adjustments to the load paths and increasing the structural demands placed on the seat. (see Figure 7). Physical testing is essential for validating the simulation results and ensuring the accuracy of the model. While simulations are highly effective for analysing and comparing theoretical scenarios, alignment with experimental data is crucial for achieving a realistic representation of the case. Consequently, a comprehensive validation of the baseline model was performed prior to implementing the aforementioned modifications.

2.2. Validation of the Simulations

To validate the simulations, a real test is essential. As the simulations are based on the 2008 Honda Accord model, a real test of this model is necessary for validation. Before validation, a preliminary plausibility check must be performed by visually inspecting the crash simulation, as shown in Figure 8 for the rigid wall crash and Figure 9 for the rigid pole crash at selected times. A preliminary plausibility check is essential to establish the credibility of a simulation model. This process ensures that the model is built on a sound foundation, adheres to realistic assumptions, and produces credible results that can be relied upon for further analysis or decision making. This visual inspection should be complemented by an analysis of the energy flows.
When examining energy flows, three types of energy are distinguished: kinetic energy, internal energy and hourglass energy. Initially, the total energy of the system is purely kinetic. Subsequently, the kinetic energy decreases to a plateau, while the internal energy increases to an almost constant value for about 10 ms. This behaviour is due to the lateral deflection of the heavy engine block, which causes initial fluctuations in the total energy. The first contact with the pole occurs just before 10 ms. From this point, the vehicle’s kinetic energy is progressively converted into internal energy by plastic deformation, with the vehicle coming to a near stop after approximately 110 ms. Due to the use of underintegrated elements, the hourglass energy increases over time to prevent the hourglass effect. Figure 10 shows the energy flow for a frontal collision, which is very similar to that for a side collision.
Table 1 compares the results of the base and modified models in a frontal crash test. The base model has been validated, with all differences in the simulation results remaining within the 10% limit. However, the modified model shows significant deviations due to the seat belt’s reduced restraining effect, which alters the kinematics of the seat and dummy. This results in larger deviations, particularly for neck and chest values, primarily due to the altered seat belt. Table 2 shows the results of the base model and the unmodified and modified versions compared to the crash test results in a side impact. The base model is validated, showing that all deviations in the simulation results are within acceptable limits. The modified model shows similar validation, as the modifications primarily impact frontal collisions. The only significant difference is in the neck values, primarily because of the change in the seat belt attachment point.

2.3. Passive Safety Solutions for Non-Conventional Seating Positions

Based on the research results, the seat can significantly reduce the severity of injuries in a crash, provided the load direction is favourable. Based on these findings, a new seat design with an extended backrest geometry was developed to provide better protection in a wider range of crash scenarios. This phenomenon was particularly evident in side collisions, where the seat’s ability to absorb impact was critical. The seat’s design and structural integrity helped to distribute the forces more evenly, reducing the risk of injury despite the non-traditional seating position. To maintain symmetry, the backrest was extended by 400 mm in one direction only.
Structurally, the extension mirrors the original seat design, with an internal metal framework covered by a deformable soft foam exterior. Importantly, the modification did not alter the seating position of the dummy, ensuring that the results remain comparable to previous tests. Figure 11 shows the three-dimensional models of the original and modified seats, together with a Z-section view at shoulder height to highlight the structural differences.
In the next stage of the research, the aim was to reproduce the protective effect of seat modifications with airbags. The original seat modification extended the backrest geometry to increase protection and create a larger deformation zone in a crash. In this phase, it was desirable to achieve similar results with the airbag. Initially, the backrest was only extended in one direction due to symmetry constraints. However, the result showed that a unidirectionally deployed airbag compromised stability and failed to effectively coordinate occupant movement. The airbag deployed, and the force of the powerful gas generator caused slight movement of the occupant, potentially increasing the risk of injury due to misalignment with other restraint systems. To overcome this, the model was mirrored to ensure stability in both directions. A custom-sized airbag has been developed, strategically positioned to optimise its effectiveness.
The airbag was positioned on the side of the seat to envelop the occupant when deployed. In the early stages of the airbag research, as shown by the blue concept in Figure 12, a deformation zone similar to the modified seat was targeted. However, regardless of the thickness of the airbag, the problem arose that it was not stiff enough to withstand lateral forces. During a collision, the passenger impacts the airbag with considerable force, so the airbag must be robust enough to function without a supporting surface. Unlike side airbags that rely on the door panel or driver airbags that are supported by the steering wheel, this design lacked such a rigid surface, requiring further reinforcement.
After identifying and analyzing the problem, a switch was made to the concept shown in green in Figure 12, which effectively solved the previously identified problem by providing sufficient resistance to forces from all directions. The final design was achieved through the iterative development of several intermediate stages. As shown in Figure 13, the airbag deploys fully within 30 ms, which aligns with average airbag deployment times. At this stage, the inflow of additional gas stretches the folded airbag, causing it to expand progressively towards the occupant. The quality of the folding and the initial shape of the deflated airbag are crucial in determining its final shape after inflation. The aim in designing the airbag was to mimic the seat geometry from the earlier phase of the research. It is essential that the airbag begins to inflate at a sufficient distance from the occupant to minimise the risk of injury. As shown in Figure 13, the airbag initially expands not only in the X-direction but also in the Y-direction to ensure safe and effective deployment.

3. Results and Discussion

3.1. Results Obtained with Rotated Seating Positions

Frontal crash results indicate that non-standard seating orientations significantly alter injury kinematics and reduce the effectiveness of conventional passive safety systems. Rotated positions notably increase the risk of fatal head and neck injuries and exacerbate trauma to the chest and lower extremities, Figure 14 summarize the frontal crash results.
A crash involves a sharp and sudden deceleration of the vehicle, with occupants naturally attempting to continue in their original direction due to the law of conservation of momentum. In a normal case, the entire dummy moves forward, followed by the seat belt, which restrains further pelvic movement as the knees contact the dashboard and the upper body rotates forward and downward, a radical change occurs in this kinematics as a result of the rotation.
A steep increase in injuries (HIC, a3ms and BrlC) can be observed at 30° and 60° of rotation; however, this trend then decreases. This is primarily due to the seat; the greater the angle at which it is rotated in the event of a frontal collision, the more energy it can absorb, thereby reducing the load on the passenger. Due to the injury values and the high risk of slipping, 60° seat rotation is the most critical load case in a frontal collision. Therefore, we have examined this case in the event of a side collision. In general, however, it can be said that current systems do not provide sufficient protection.
For the torso, the chest and abdomen deflections are critical for evaluation. Chest deformation is primarily influenced by the tensile force of the shoulder harness. As the force distribution shifts from the seatbelt to the backrest, the backrest moves more in the direction of impact. The integrated belt system follows this movement but does not adequately restrain the thorax, resulting in minimal changes in thorax deflection, except for a noticeable increase at the 180° rotation angle. Abdominal deformation is similarly affected by the limitations of the seatbelt, with an increase up to a rotation angle of 60°. Beyond 90°, in the absence of a frontal impact on the dummy, a significant decrease in abdominal deformation is observed due to the altered dummy kinematics.
Femoral forces peak in the upright seating position. It is notable that these forces decrease sharply to a minimum at the 30° rotation angle, followed by a subsequent increase at larger rotation angles. This pattern is attributed to changes in seating position and the corresponding load distribution.
The side crash results showed that rotated positions significantly alter injury kinematics but generally result in a reduction in overall injury severity, with the exception of thoracic and abdominal trauma. This reduction is primarily due to the cushioning effect of the seat, which reduces direct impact and deformation. However, the results underline the continued need for advanced passive safety systems, as current designs do not fully address all the safety challenges posed by side impacts (see Figure 15). The results highlight the need to improve current passive safety systems to ensure effective protection in rotating seat configurations. The two possible solutions examined during the research were presented in detail in the methodology section.

3.2. Results Obtained with the Modified Seat and Airbag Concept

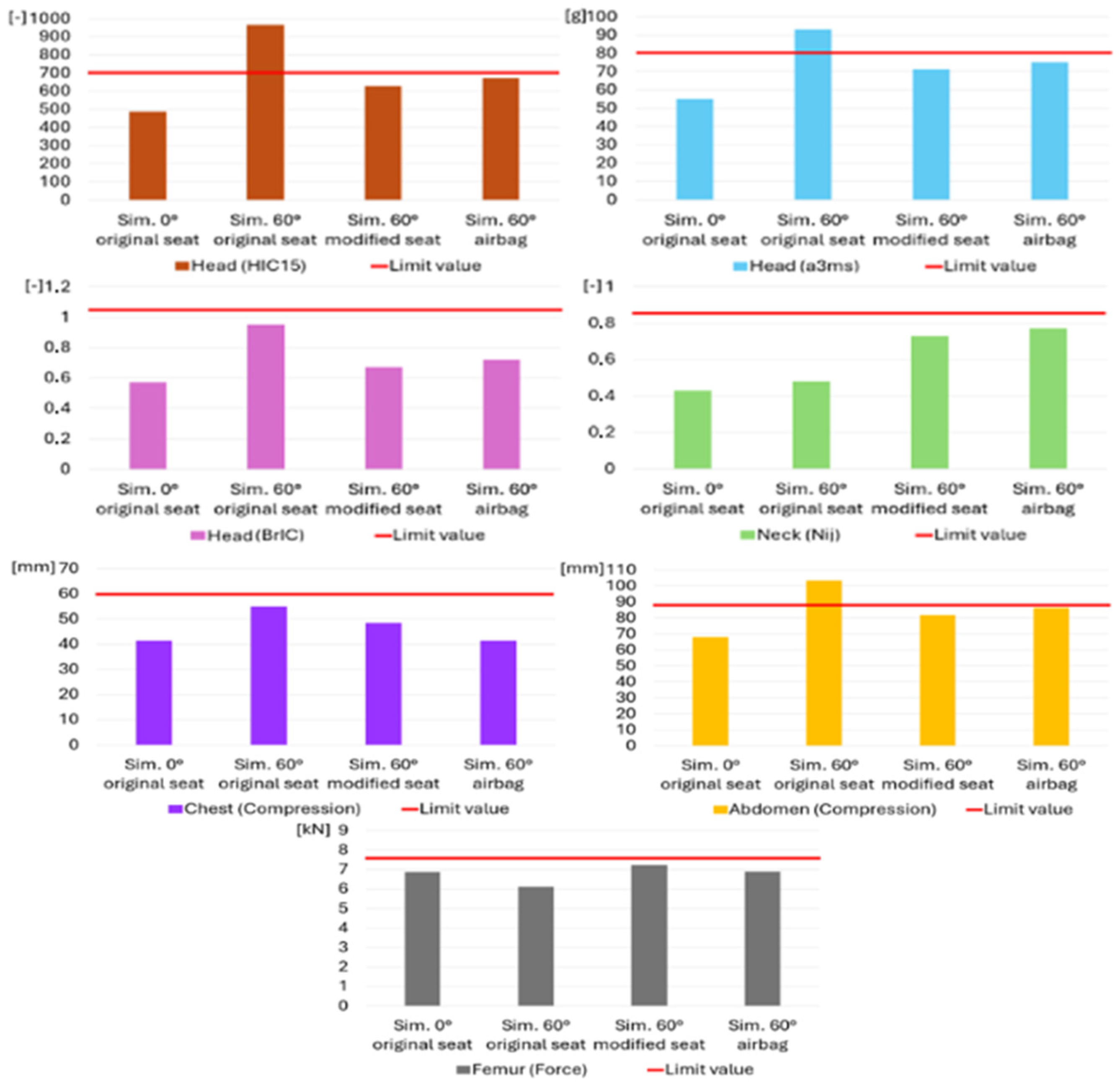
In the third phase, the research focused on refining the seat design, specifically evaluating a critical 60° rotated position in both frontal and side impacts (see Figure 16). In frontal impacts, all injury metrics for the modified seat remained below safety thresholds, despite slightly elevated levels compared to standard configurations (see Figure 17 and Figure 18). For side impacts, the emphasis shifted toward enhancing the predictability and coordination of occupant kinematics. The modified seat improved upper body movement control, resulting in increased upper body injuries but reduced lower body trauma. Overall, the seat met safety standards in both scenarios. However, its practical implementation may be constrained by current vehicle interior layouts, which lack the necessary spatial accommodations. Future vehicle designs will need to consider spatial integration and user ergonomics, including ease of entry and exit. Ensuring occupant safety across all seat rotation angles will require a comprehensive interior redesign and further ergonomic evaluation [14,15].
The fourth phase of research explored innovative airbag applications tailored to a 60° seat rotation, which was identified as a critical orientation (see Figure 16). The proposed airbag concept met all safety standards and kept injury metrics within acceptable limits (see Figure 17 and Figure 18). In side impact, the focus went beyond injury reduction to improve occupant movement coordination. Both the redesigned seat and the new airbag concept proved effective, with the soft restraint of the airbag offering particular advantages. In contrast to frontal impacts, side impact tests showed an increase in upper body injuries and a decrease in lower body injuries, particularly with regard to the critical neck Nij value. There are two main reasons for this: the modified seat back and the airbag effectively absorb most of the impact energy, stabilise the body and minimise excessive motion. However, due to the relative mobility of the neck, this has an unfavourable effect on the neck Nij value during heavy braking. Another possible reason is that seat belt integration may cause additional shear forces on the chest, which mainly occur in the neck region during side impacts. The safety criteria were met, but the large dimensions of the modified seat and its incompatibility with existing vehicle interiors posed practical challenges, requiring a fundamental redesign of the cabin layout. In addition, the seat’s restricted field of vision may hinder manual control in emergency scenarios. In contrast, the airbag concept preserves visibility by remaining concealed until deployment [16,17,18].

3.3. Results Obtained When Using the Modified Seat and Airbag Concept Together

A fallback solution must be provided for future fully autonomous vehicles in the event of emergency safety seat rotation failure, sensor malfunction, or undetectable accidents. Therefore, in fully autonomous vehicles of the future, it will be necessary to develop a combined seat and airbag system that can provide sufficient protection for passengers in the aforementioned failure cases (see Figure 19) [19,20,21].
This combined seat and airbag system provides adequate protection against loads from any direction and at any seat rotation angle. To test the system’s effectiveness, the most critical load case identified in earlier stages of the research was examined, a 60° rotation of the seat in frontal and side impacts.
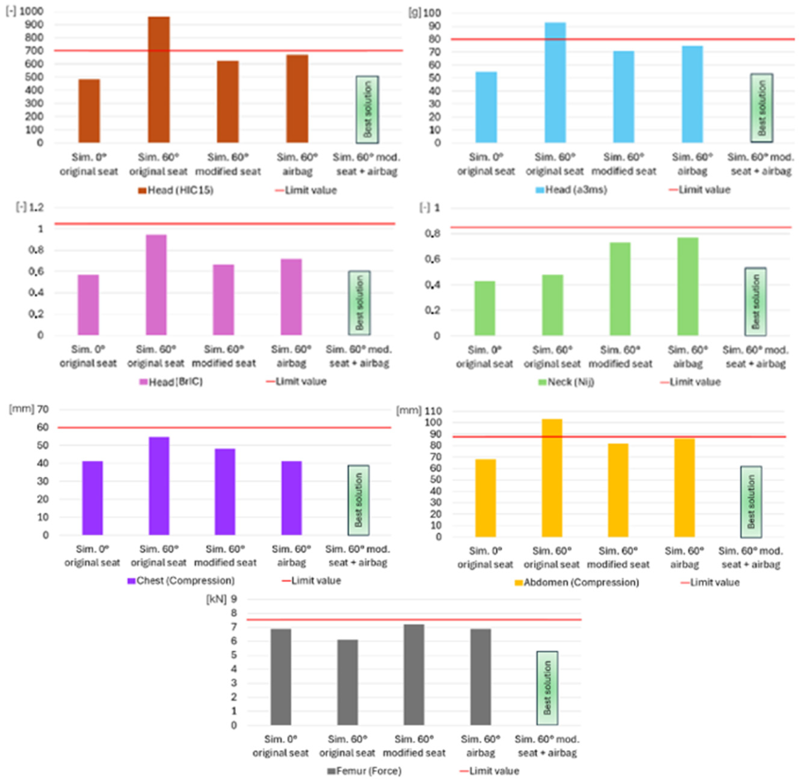
In terms of the results obtained in the frontal impact test, it can be said that a noticeable improvement in all the tested injury parameters can be demonstrated in the case of the combined system. Compared to the specified limits, the combined system provides 30–50% more safety. The difference is even more significant when compared to the original version with a conventional seat and airbag, which offers no extra protection (see Figure 20). Neck hyperextension is the only parameter that approaches the limit, mainly due to the strong restraining effect of the seat back. The seat back effectively absorbs and redirects much of the impact energy, stabilising the body and minimising excessive movement, but the neck remains vulnerable to hyperextension due to its relative mobility [22,23].
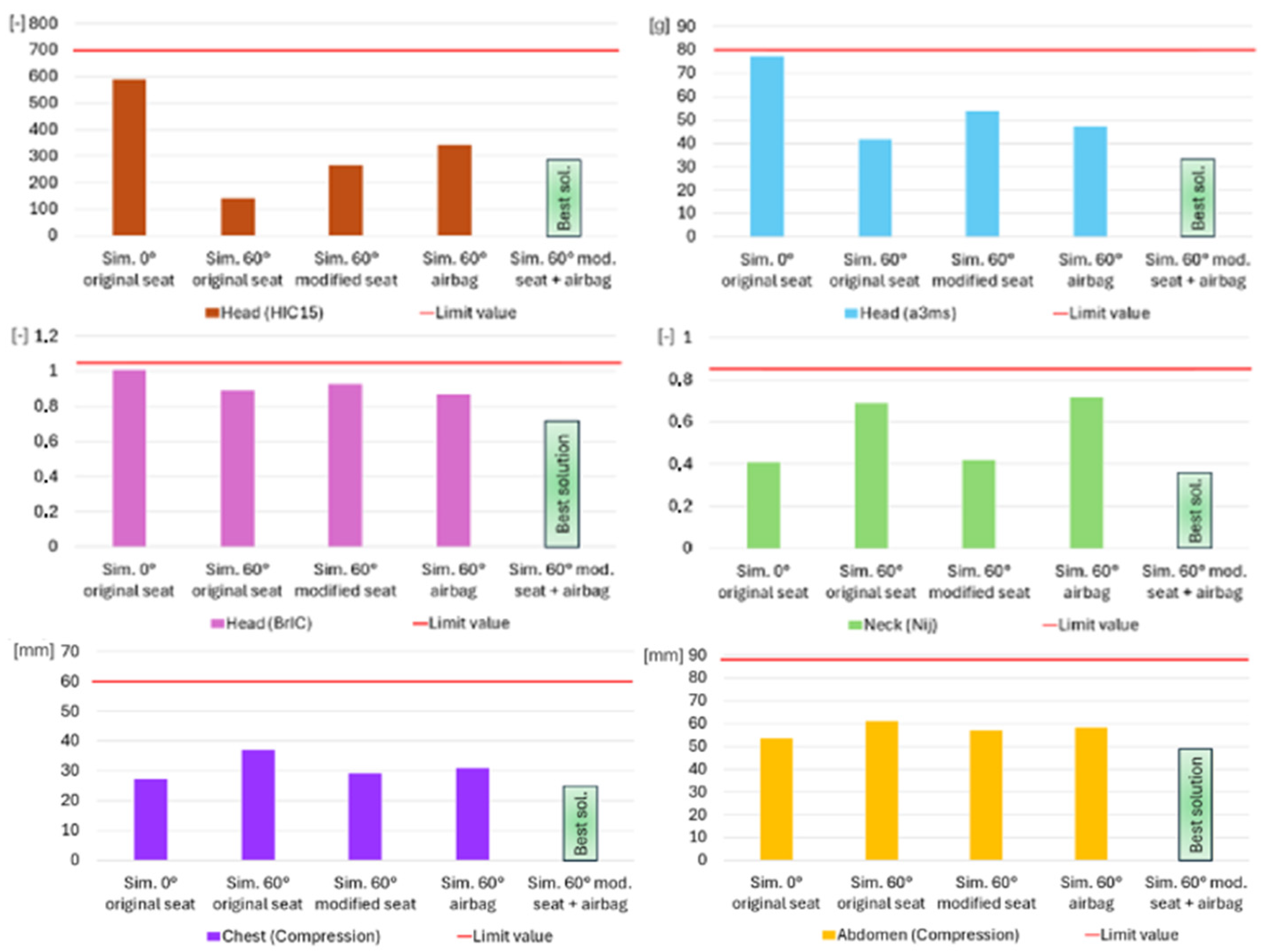
In side impact tests, the combined system demonstrated significant improvements in all evaluated injury parameters, although these were generally less severe than those observed in frontal impacts. Compared to the baseline configuration without a conventional seat or airbag, the combined system achieved results that were up to 50% better (see Figure 21). Another advantage is the enhanced coordination of occupant kinematics, which was previously identified in earlier research phases and has been further improved by the integrated seat and airbag design. Figure 22 is a section in the X direction that perfectly illustrates the difference in head movement between the original and the modified model. Overall, it can be said that the passenger’s movement is much more coordinated in the case of the modified seat. In the case of the original seat, there appears to be a lack of coordination between the movement of the upper and lower body. Specifically, the upper body, particularly the head, exhibits uncoordinated movement separate from the lower body [24,25,26].

4. Conclusions

The article outlines the key components of the simulation model employed in the research. It discusses the load cases examined and how the simulation model was constructed and validated for frontal and side impacts. The cases of the rotated seating positions examined are also presented. It then goes on to present the applied extended seat model and the novel airbag concept.
Focusing on the critical seat orientation identified in earlier work, a 60° rotation, both frontal and side impact scenarios were examined. The modified seat and airbag concept ensured that all injury metrics remained below regulatory limits, with the combined system offering significant additional improvements. Although injury values in the side impact baseline configuration were already low, the focus here was on optimising occupant kinematics. Notably, side impact tests showed a more variable injury pattern than frontal impacts: upper body injury values increased, while lower body values decreased.
Due to its size, the feasibility of the modified seat used in the research may be challenging, which makes it incompatible with current interior layouts. Implementing it would require a new approach to interior design that prioritises significantly increased passenger space. While full Level 5 autonomous driving remains a long-term goal, the findings clearly show that achieving it will require radical changes to the entire vehicle design process.
This research introduces a novel seat concept that can provide effective protection in rotated seating positions. Additionally, a specialised airbag configuration is also presented, compared with the modified seat concept, the airbag solution provides softer impact cushioning while still allowing the occupant to easily enter and exit the vehicle. When used together, the new seat concept and the specialised airbag further reduce occupant loads and substantially improve kinematic control during a collision. This could be the solution to the problem of fully autonomous vehicles in the future.
It is important to note that the THOR dummy was primarily developed for frontal impacts. It was also used for side impacts in this research as no other suitable dummy was available. For side impacts, it is advisable to use WS or ES-2 dummies, as they have well-developed rib sections that can accurately measure the forces generated in such an impact. The VIVA+ v2.0.1 open-source human body model can be used to assess the risk of injury in all directions and would therefore provide an excellent solution to this problem. One possible continuation of the research could be to investigate this further.
Another possibility would be to investigate emergency seat rotation, since manufacturers must define and validate ‘safe positions’ to protect passengers from impacts in all directions. Typical safe directions include 0°, 90° and 180°, at which angles the system does not need to consider the direction of impact. However, at intermediate angles, the system must sense and respond to the expected load direction because the occupant load differs significantly depending on whether the impact is frontal, lateral or rear-end. While the positions tested by manufacturers provide occupant protection, emergency seat rotation will be required in cases where an impact is expected at an intermediate angle.

Author Contributions

Conceptualization, L.P. and I.L.; methodology, L.P. and I.L.; software, L.P.; validation, L.P.; formal analysis, L.P.; investigation, L.P. and I.L.; resources, L.P.; data curation, L.P.; writing—original draft preparation, L.P. and I.L.; writing—review and editing, L.P.; visualization, L.P.; supervision, Istvan Lakatos; project administration, L.P. and I.L.; funding acquisition, L.P. and I.L. All authors have read and agreed to the published version of the manuscript.

Funding

This research received no external funding.

Data Availability Statement

The raw data supporting the conclusions of this article will be made available by the authors on request.

Conflicts of Interest

The authors declare no conflict of interest.

References

  1. Pettersson, I.; Karlsson, M. Setting the stage for autonomous cars: A pilot study of future autonomous driving experiences. IET Intell. Transp. Syst. 2015, 9, 694–701. [Google Scholar] [CrossRef]
  2. Hassan, M.T.Z.; Shi, M.G. Nonlinear multibody dynamics and finite element modeling of occupant response. Int. J. Mechan. Mater. Des. 2019, 15, 3–21. [Google Scholar]
  3. Nie, B.; Gan, S.; Chen, W.; Zhou, Q. Seating preferences in highly automated vehicles and occupant safety awareness: A national survey of Chinese perceptions. Traffic Inj. Prev. 2020, 21, 247–253. [Google Scholar] [CrossRef]
  4. Francisco, J.; Jesus, R.; Katarina, B. Seating preferences in highly automated vehicles are dependent on yearly exposure to traffic and previous crash experiences. In Proceedings of the IRCOBI Conference, Florence, Italy, 11–13 September 2019. [Google Scholar]
  5. Koppel, S.; Jiménez Octavio, J.; Bohman, K.; Logan, D.; Raphael, W.; Quintana Jimenez, L.; Lopez-Valdes, F. Seating configuration and position preferences in fully automated vehicles. Traffic Inj. Prev. 2019, 20, S103–S109. [Google Scholar] [CrossRef]
  6. Kitagawa, Y.; Hayashi, S.; Yamada, K.; Gotoh, M. Occupant Kinematics in Simulated Autonomous Driving Vehicle Collisions: Influence of Seating Position, Direction and Angle; SAE International: Warrendale, PA, USA, 2017. [Google Scholar]
  7. Jorlov, S.; Bohman, K.; Larsson, A. Seating positions and activities in highly automated cars, a qualitative study of future automated driving scenarios. In Proceedings of the IRCOBI Conference, Antwerp, Belgium, 13–15 September 2017. [Google Scholar]
  8. Górniak, A.; Matla, J.; Górniak, W.; Magdziak-Tokłowicz, M.; Krakowian, K.; Zawiślak, M.; Włostowski, R.; Cebula, J. Influence of a passenger position seating on recline seat on a head injury during a frontal crash. Sensors 2022, 22, 2003. [Google Scholar] [CrossRef]
  9. Tran, D.; Müller, G.; Müller, S. The effect of a braking maneuver on the occupant’s kinematics of a highly reclined seating position in a frontal crash. Traffic Inj. Prev. 2023, 24, 299–306. [Google Scholar] [CrossRef] [PubMed]
  10. Baker, C.E.; Ghajari, M. How do demographic factors, non-standard and out-of-position seating affect vehicle occupant injury outcomes in road traffic collisions? Saf. Sci. 2025, 187, 106834. [Google Scholar] [CrossRef]
  11. Abdul Samad, M.S.; Mohd Nor, M.K.; Abdul Majid, M.M.; Abu Kassim, K.K. Optimization of vehicle pulse index parameters based on validated vehicle-occupant finite element model. Int. J. Crashworthiness 2022, 28, 217–223. [Google Scholar] [CrossRef]
  12. Fung, K.; Xu, R.; Jung, S.; Sobanj, J. Development and testing of a simplifed dummy for frontal crash. Exp. Tech. 2019, 43, 7–14. [Google Scholar] [CrossRef]
  13. Kurano, Y.; Hikida, K.; Hibara, S.; Kawamura, Y.; Maehara, K.; Narukawa, T. Two-dimensional degenerated model of next-generation crash test dummy thor 5f. Int. J. Automot. Eng. 2020, 11, 94–100. [Google Scholar] [CrossRef]
  14. Kim, T.; Song, K.; Hong, S. Estimation of Whole-Body Injury Metrics for Evaluating Effect of Airbag Deployment. Automot. Technol. Springer 2023, 24, 633–642. [Google Scholar] [CrossRef]
  15. Umale, S.; Arun, M.; Hauschild, H. Quantitative evaluation of THOR world SID and hybrid III under farside impacts. In Proceedings of the International Research Council on the Biomechanics of Injury, Athens, Greece, 12–14 September 2018. [Google Scholar]
  16. Tang, L.; Zheng, J.; Hu, J. A numerical investigation of factors affecting lumbar spine injuries in frontal crashes. Accid. Anal. Prev. 2020, 136, 105400. [Google Scholar] [CrossRef] [PubMed]
  17. Porkolab, L.; Lakatos, I. Possibilities for further development of the driver’s seat in the case of a non-conventional seating positions. Heliyon 2024, 10, e28909. [Google Scholar] [CrossRef]
  18. Porkolab, L.; Lakatos, I. Possibilities for Further Development of the Airbags in the Case of Non-conventional Seating Positions. Period. Polytech. Transp. Eng. 2025, 53, 146–157. [Google Scholar] [CrossRef]
  19. Mao, Y.; Appel, H. The influence of different airbag folding patterns on the potential dangers of airbags. ATZ Worldwide 2002, 104, 26–28. [Google Scholar] [CrossRef]
  20. Samantray, S.; Parashar, S. Airbag used in automobile. Mater. Today Proc. 2023, 81, 593–596. [Google Scholar] [CrossRef]
  21. Myeongkwan, K.; Hyungjoo, K. Occupant safety effectiveness of proactive safety seat in autonomous emergency braking. Sci. Rep. Springer 2022, 12, 5727. [Google Scholar]
  22. Bohman, K.; Ortlund, R.; Growth, G.K.; Nurbo, P.; Jakobsson, L. Evaluation of users’ experience and posture in a rotated swivel seating configuration. Traffic Inj. Prev. 2020, 21, S13–S18. [Google Scholar] [CrossRef] [PubMed]
  23. Marin, M.D.; Alonso, J.A. Child safety in autonomous vehicles: Living room layout. Dyna Ing. E Ind. 2022, 97, 30–34. [Google Scholar]
  24. Diederich, A.; Bastien, C.; Ekambaram, K.; Wilson, A. Occupant pre-crash kinematics in rotated seat arrangements. Proc. Inst. Mech. Eng. Part D-J. Automob. Eng. 2021, 235, 2818–2842. [Google Scholar] [CrossRef]
  25. Li, Z.; Gao, R.; McCoy, R.; Hu, H.; He, L.; Gao, Z. Effects of an integrated safety system for swivel seat arrangements in frontal crash. Front. Bioeng. Biotechnol. 2023, 11, 1153265. [Google Scholar] [CrossRef] [PubMed]
  26. Wu, H.; Hou, H.; Shen, M. Occupant kinematics and biomechanics during side collision in autonomous vehicles can rotatable seat provides additional protection. Comput. Methods Biomech. Biomed. Eng. 2020, 23, 191–200. [Google Scholar] [CrossRef] [PubMed]
Figure 1. Top view of the five possible seating positions [7].
Figure 1. Top view of the five possible seating positions [7].
Futuretransp 06 00007 g001
Figure 2. Representation of the tested rotation angles in a frontal impact (Source: Author’s plot).
Figure 2. Representation of the tested rotation angles in a frontal impact (Source: Author’s plot).
Futuretransp 06 00007 g002
Figure 3. Relevant Structure and measuring points of the THOR dummy (Source: Author’s plot).
Figure 3. Relevant Structure and measuring points of the THOR dummy (Source: Author’s plot).
Futuretransp 06 00007 g003
Figure 4. Relevant occupant safety components used in the research (Source: Author’s plot).
Figure 4. Relevant occupant safety components used in the research (Source: Author’s plot).
Futuretransp 06 00007 g004
Figure 5. Occupant Base model (left) and adaptation (right) (Source: Author’s plot).
Figure 5. Occupant Base model (left) and adaptation (right) (Source: Author’s plot).
Futuretransp 06 00007 g005
Figure 6. Geometric adaptation of the subfloor (red: base; blue: adaptation) (Source: Author’s plot).
Figure 6. Geometric adaptation of the subfloor (red: base; blue: adaptation) (Source: Author’s plot).
Futuretransp 06 00007 g006
Figure 7. Geometric adaptation of the seat belt (Source: Author’s plot).
Figure 7. Geometric adaptation of the seat belt (Source: Author’s plot).
Futuretransp 06 00007 g007
Figure 8. Selected points in time during a front rigid wall crash (Source: Author’s plot).
Figure 8. Selected points in time during a front rigid wall crash (Source: Author’s plot).
Futuretransp 06 00007 g008
Figure 9. Selected points in time during a side rigid pole crash (Source: Author’s plot).
Figure 9. Selected points in time during a side rigid pole crash (Source: Author’s plot).
Futuretransp 06 00007 g009
Figure 10. Energy flow during a front rigid wall crash (Source: Author’s plot).
Figure 10. Energy flow during a front rigid wall crash (Source: Author’s plot).
Futuretransp 06 00007 g010
Figure 11. Original (orange) and extended backrest seat (turquoise) (Source: Author’s plot).
Figure 11. Original (orange) and extended backrest seat (turquoise) (Source: Author’s plot).
Futuretransp 06 00007 g011
Figure 12. Original, modified seat and the tested two airbag concept (Source: Author’s plot).
Figure 12. Original, modified seat and the tested two airbag concept (Source: Author’s plot).
Futuretransp 06 00007 g012
Figure 13. The final form of the researched airbag (Source: Author’s plot).
Figure 13. The final form of the researched airbag (Source: Author’s plot).
Futuretransp 06 00007 g013
Figure 14. Results overview frontal crash (Source: Author’s plot).
Figure 14. Results overview frontal crash (Source: Author’s plot).
Futuretransp 06 00007 g014
Figure 15. Results overview side crash (Source: Author’s plot).
Figure 15. Results overview side crash (Source: Author’s plot).
Futuretransp 06 00007 g015
Figure 16. Original, modified seat and airbag concept (Source: Author’s plot).
Figure 16. Original, modified seat and airbag concept (Source: Author’s plot).
Futuretransp 06 00007 g016
Figure 17. Results overview frontal impact with original, modified seat and airbag concept (Source: Author’s plot).
Figure 17. Results overview frontal impact with original, modified seat and airbag concept (Source: Author’s plot).
Futuretransp 06 00007 g017
Figure 18. Results overview side impact with original, modified seat and airbag concept (Source: Author’s plot).
Figure 18. Results overview side impact with original, modified seat and airbag concept (Source: Author’s plot).
Futuretransp 06 00007 g018
Figure 19. Combined modified seat and airbag system (Source: Author’s plot).
Figure 19. Combined modified seat and airbag system (Source: Author’s plot).
Futuretransp 06 00007 g019
Figure 20. Results overview frontal impact with original, modified seat, airbag concept and combined system (Source: Author’s plot).
Figure 20. Results overview frontal impact with original, modified seat, airbag concept and combined system (Source: Author’s plot).
Futuretransp 06 00007 g020
Figure 21. Results overview side impact with original, modified seat, airbag concept and combined system (Source: Author’s plot).
Figure 21. Results overview side impact with original, modified seat, airbag concept and combined system (Source: Author’s plot).
Futuretransp 06 00007 g021
Figure 22. Difference in head movement between the original and the modified seats (Source: Author’s plot).
Figure 22. Difference in head movement between the original and the modified seats (Source: Author’s plot).
Futuretransp 06 00007 g022
Table 1. Results of the base model and the modified model in comparison with the crash test (frontal crash).
Table 1. Results of the base model and the modified model in comparison with the crash test (frontal crash).
CriteriaUnitLimit ValueCrash TestSimulation 0°
Base Model Without any Modifications
Simulation 0°
Fitted Model with All Modifications
Head (HIC15)[-]700416437 (+5%)487 (+17%)
Head (a3ms)[g]8047.449.4 (+4%)55.1 (+16%)
Head (BrIC)[-]1.050.390.42 (+8%)0.57 (+46%)
Neck (Nij)[-]0.850.640.63 (−2%)0.43 (−32%)
Chest
(Compression)
[mm]6032.834.3 (+5%)41.4 (+26%)
Abdomen
(Compression)
[mm]8872.970.7 (−3%)68.1 (−7%)
Femur (Force)[kN]7.566.036.25 (+4%)6.88 (+14%)
Table 2. Results of the base model and the modified model in comparison with the crash test (side crash).
Table 2. Results of the base model and the modified model in comparison with the crash test (side crash).
CriteriaUnitLimit ValueCrash TestSimulation 0°
Base Model Without any Modifications
Simulation 0°
Fitted Model with All Modifications
Head (HIC15)[-]700541575 (+6%)592 (+9%)
Head (a3ms)[g]8071.472.9 (+2%)77.6 (+8%)
Head (BrIC)[-]1.050.860.93 (+8%)1.01 (+17%)
Head (Nij)[-]0.850.620.44 (−29%)0.41 (−34%)
Chest
(Compression)
[mm]6025.827.0(+5%)27.4 (+6%)
Abdomen
(Compression)
[mm]8858.955.2 (−6%)53.7 (−9%)
Disclaimer/Publisher’s Note: The statements, opinions and data contained in all publications are solely those of the individual author(s) and contributor(s) and not of MDPI and/or the editor(s). MDPI and/or the editor(s) disclaim responsibility for any injury to people or property resulting from any ideas, methods, instructions or products referred to in the content.

Share and Cite

MDPI and ACS Style

Porkolab, L.; Lakatos, I. Passive Occupant Safety Solutions for Non-Conventional Seating Positions. Future Transp. 2026, 6, 7. https://doi.org/10.3390/futuretransp6010007

AMA Style

Porkolab L, Lakatos I. Passive Occupant Safety Solutions for Non-Conventional Seating Positions. Future Transportation. 2026; 6(1):7. https://doi.org/10.3390/futuretransp6010007

Chicago/Turabian Style

Porkolab, Laszlo, and Istvan Lakatos. 2026. "Passive Occupant Safety Solutions for Non-Conventional Seating Positions" Future Transportation 6, no. 1: 7. https://doi.org/10.3390/futuretransp6010007

APA Style

Porkolab, L., & Lakatos, I. (2026). Passive Occupant Safety Solutions for Non-Conventional Seating Positions. Future Transportation, 6(1), 7. https://doi.org/10.3390/futuretransp6010007

Article Metrics

Article metric data becomes available approximately 24 hours after publication online.
Back to TopTop