Unsupervised Image Segmentation Parameters Evaluation for Urban Land Use/Land Cover Applications
Abstract
1. Introduction
2. Related Work
3. Materials and Methods
3.1. Satellite Imagery and Study Area
3.2. Feature Selection and Extraction
3.3. Image Variance and Spatial Autocorrelation Modeling
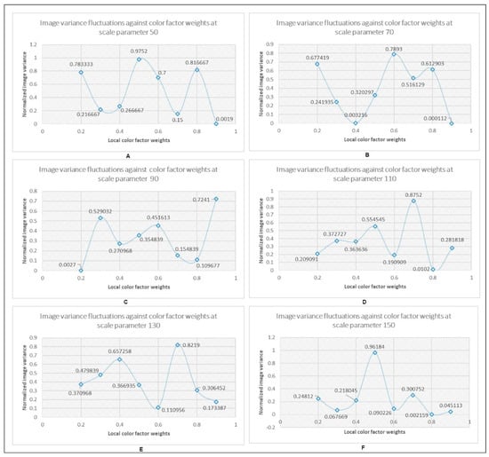
3.4. Image Variance Optimization
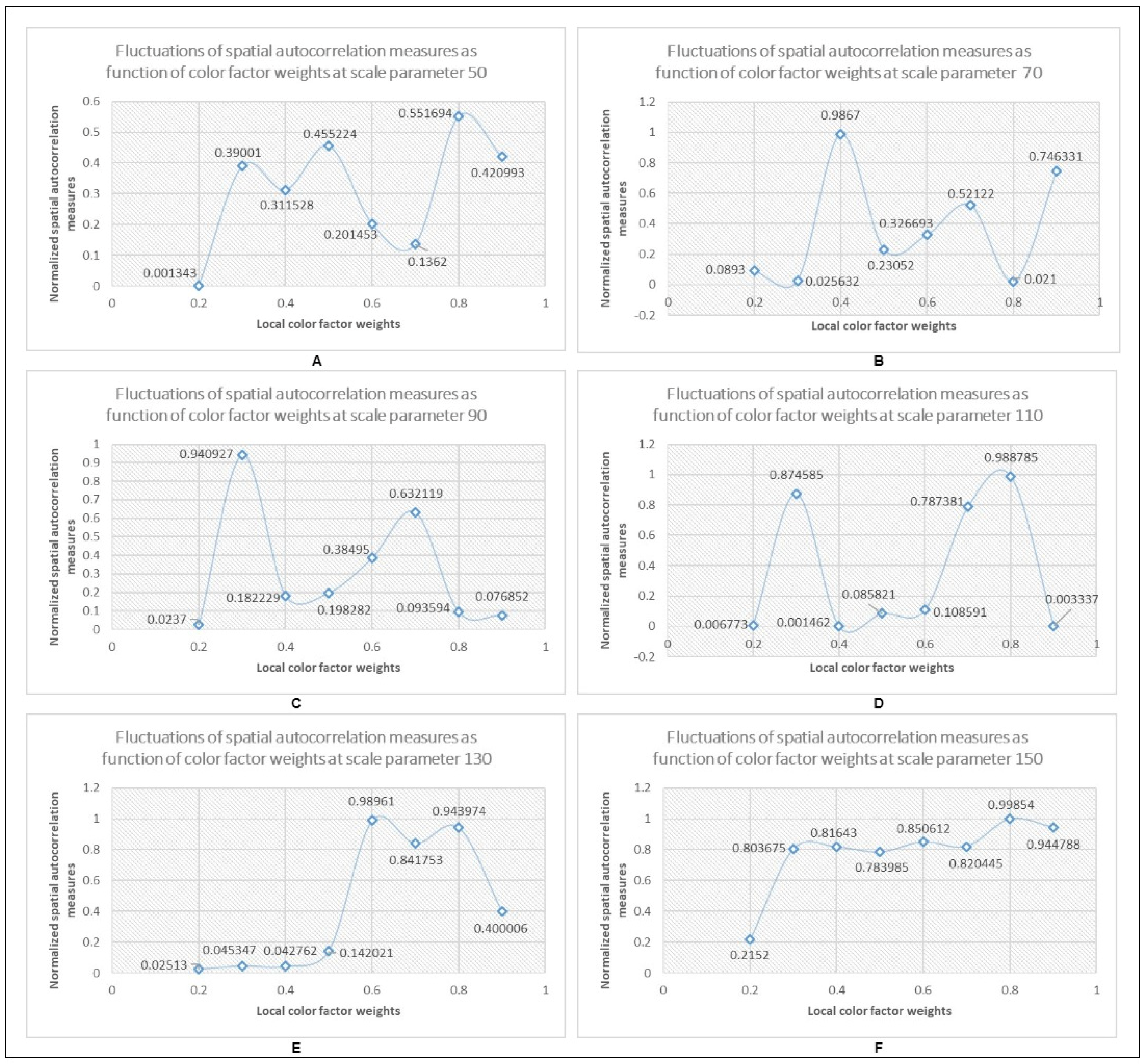
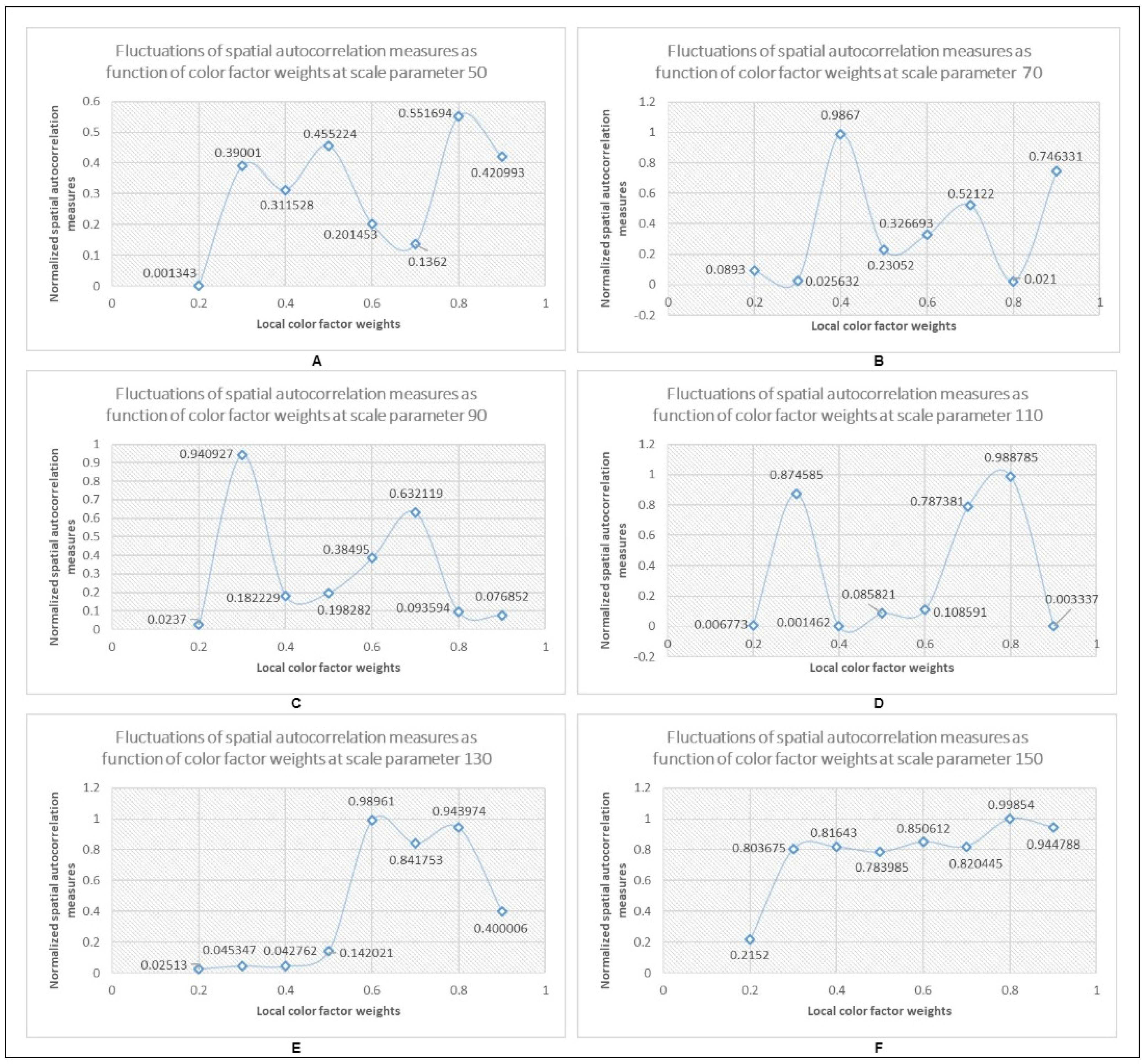
3.5. Image Spatial Autocorrelation Optimization
3.6. Segmentation Scale Parameter Optimization
4. Results and Discussion
5. Accuracy Assessment
| Segmentation Assessment Metrics | QR | AFI | US | OS | RMSE |
|---|---|---|---|---|---|
| Yang et al., (2014) [24] | 0.257700 | ------- | 0.220500 | 0.127550 | 0.180000 |
| El-Naggar, (2018) [42] | 0.386800 | −1.062000 | 0.329000 | 0.058000 | 0.273000 |
| Vamsee et al., (2018) [43] | 0.306700 | −0.145000 | 0.311700 | 0.295000 | 0.368000 |
| Wang et al., (2019) [5] | 0.314500 | ------- | 0.148200 | 0.191500 | 0.171000 |
| Norman et al., (2020) [41] | 0.483200 | 0.004580 | 0.005000 | 0.009730 | 0.014000 |
| Dao et al., (2021) [16] | 0.490000 | ------- | 0.080000 | 0.970000 | 0.688000 |
| He et al., (2024) [44] | 0.321100 | ------- | 0.238000 | 0.246900 | 0.342900 |
| The proposed method | 0.003910 | −0.005740 | 0.007780 | 0.007820 | 0.005510 |
6. Conclusions
Author Contributions
Funding
Institutional Review Board Statement
Informed Consent Statement
Data Availability Statement
Conflicts of Interest
References
- Krause, J.R.; Oczkowski, A.J.; Watson, E.B. Improved mapping of coastal salt marsh habitat changes at Barnegat Bay (NJ, USA) using object-based image analysis of high-resolution aerial imagery. Remote Sens. Appl. Soc. Environ. 2023, 29, 100910. [Google Scholar] [CrossRef] [PubMed]
- Taubenböck, H.; Esch, T.; Roth, A. An urban classification approach based on an object-oriented analysis of high-resolution satellite imagery for a spatial structuring within urban areas. In Proceedings of the First Workshop of the EARSeL Special Interest Group on Urban Remote Sensing “Challenges and Solutions”, Berlin, Germany, 2–3 March 2006. [Google Scholar]
- Ouchra, H.; Belangour, A. Satellite image classification methods and techniques: A survey. In Proceedings of the 2021 IEEE International Conference on Imaging Systems and Techniques (IST), Kaohsiung, Taiwan, 24–26 August 2021; pp. 1–6. [Google Scholar]
- Grybas, H.; Melendy, L.; Congalton, R.G. A comparison of unsupervised segmentation parameter optimization approaches using moderate-and high-resolution imagery. GISci. Remote Sens. 2017, 54, 515–533. [Google Scholar] [CrossRef]
- Wang, Y.; Qi, Q.; Liu, Y.; Jiang, L.; Wang, J. Unsupervised segmentation parameter selection using the local spatial statistics for remote sensing image segmentation. Int. J. Appl. Earth Obs. Geoinf. 2019, 81, 98–109. [Google Scholar] [CrossRef]
- Oreti, L.; Giuliarelli, D.; Tomao, A.; Barbati, A. Object oriented classification for mapping mixed and pure forest stands using very-high resolution imagery. Remote Sens. 2021, 13, 2508. [Google Scholar] [CrossRef]
- Li, M.; Ma, L.; Blaschke, T.; Cheng, L.; Tiede, D. A systematic comparison of different object-based classification techniques using high spatial resolution imagery in agricultural environments. Int. J. Appl. Earth Obs. Geoinf. 2016, 49, 87–98. [Google Scholar] [CrossRef]
- Bialas, J.; Oommen, T.; Havens, T.C. Optimal segmentation of high spatial resolution images for the classification of buildings using random forests. Int. J. Appl. Earth Obs. Geoinf. 2019, 82, 101895. [Google Scholar] [CrossRef]
- Na, J.; Ding, H.; Zhao, W.; Liu, K.; Tang, G.; Pfeifer, N. Object-based large-scale terrain classification combined with segmentation optimization and terrain features: A case study in China. Trans. GIS 2021, 25, 2939–2962. [Google Scholar] [CrossRef]
- Wojtaszek, M.V.; Ronczyk, L.; Mamatkulov, Z.; Reimov, M. Object-based approach for urban land cover mapping using high spatial resolution data. E3S Web Conf. 2021, 227, 01001. [Google Scholar] [CrossRef]
- Abdulateef, S.K.; Salman, M.D. A Comprehensive Review of Image Segmentation Techniques. Iraqi J. Electr. Electron. Eng. 2021, 17, 166–175. [Google Scholar] [CrossRef]
- Zhu, H.; Cai, L.; Liu, H.; Huang, W. Information extraction of high-resolution remote sensing images based on the calculation of optimal segmentation parameters. PLoS ONE 2016, 11, e0158585. [Google Scholar] [CrossRef]
- Liu, J.; Du, M.; Mao, Z. Scale computation on high spatial resolution remotely sensed imagery multi-scale segmentation. Int. J. Remote Sens. 2017, 38, 5186–5214. [Google Scholar] [CrossRef]
- Lv, X.; Ming, D.; Chen, Y.; Wang, M. Very High-Resolution Remote Sensing Image Classification with SEEDS-CNN and Scale Effect Analysis for Superpixel CNN Classification. Int. J. Remote Sens. 2019, 40, 506–531. [Google Scholar] [CrossRef]
- Chen, Y.; Chen, Q.; Jing, C. Multi-resolution segmentation parameters optimization and evaluation for VHR remote sensing image based on mean NSQI and discrepancy measure. J. Spat. Sci. 2021, 66, 253–278. [Google Scholar] [CrossRef]
- Dao, P.D.; Mantripragada, K.; He, Y.; Qureshi, F.Z. Improving hyperspectral image segmentation by applying inverse noise weighting and outlier removal for optimal scale selection. ISPRS J. Photogramm. Remote Sens. 2021, 171, 348–366. [Google Scholar] [CrossRef]
- Espindola, G.M.; Câmara, G.; Reis, I.A.; Bins, L.S.; Monteiro, A.M. Parameter selection for region-growing image segmentation algorithms using spatial autocorrelation. Int. J. Remote Sens. 2006, 27, 3035–3040. [Google Scholar] [CrossRef]
- Martha, T.R.; Kerle, N.; Van Westen, C.J.; Jetten, V.; Kumar, K.V. Segment optimization and data-driven thresholding for knowledge-based landslide detection by object-based image analysis. IEEE Trans. Geosci. Remote Sens. 2011, 49, 4928–4943. [Google Scholar] [CrossRef]
- Johnson, B.; Xie, Z. Unsupervised image segmentation evaluation and refinement using a multi-scale approach. ISPRS J. Photogramm. Remote Sens. 2011, 66, 473–483. [Google Scholar] [CrossRef]
- Drăguţ, L.; Csillik, O.; Eisank, C.; Tiede, D. Automated parameterisation for multi-scale image segmentation on multiple layers. ISPRS J. Photogramm. Remote Sens. 2014, 88, 119–127. [Google Scholar] [CrossRef]
- Böck, S.; Immitzer, M.; Atzberger, C. On the objectivity of the objective function—Problems with unsupervised segmentation evaluation based on global score and a possible remedy. Remote Sens. 2017, 9, 769. [Google Scholar] [CrossRef]
- Georganos, S.; Grippa, T.; Lennert, M.; Vanhuysse, S.; Johnson, B.A.; Wolff, E. Scale matters: Spatially partitioned unsupervised segmentation parameter optimization for large and heterogeneous satellite images. Remote Sens. 2018, 10, 1440. [Google Scholar] [CrossRef]
- Hu, Z.; Zhang, Q.; Zou, Q.; Li, Q.; Wu, G. Stepwise evolution analysis of the region-merging segmentation for scale parameterization. IEEE J. Sel. Top. Appl. Earth Obs. Remote Sens. 2018, 11, 2461–2472. [Google Scholar] [CrossRef]
- Chen, G.; Weng, Q.; Hay, G.J.; He, Y. Geographic object-based image analysis (GEOBIA): Emerging trends and future opportunities. GISci. Remote Sens. 2018, 55, 159–182. [Google Scholar] [CrossRef]
- Yang, J.; Li, P.; He, Y. A multi-band approach to unsupervised scale parameter selection for multi-scale image segmentation. ISPRS J. Photogramm. Remote Sens. 2014, 94, 13–24. [Google Scholar] [CrossRef]
- Ni, N.; Chen, N.; Ernst, R.E.; Yang, S.; Chen, J. Semi-automatic extraction and mapping of dyke swarms based on multi-resolution remote sensing images: Applied to the dykes in the Kuluketage region in the northeastern Tarim Block. Precambrian Res. 2019, 329, 262–272. [Google Scholar] [CrossRef]
- Sharma, R.; Kumar, M.; Alam, M.S. Image processing techniques to estimate weight and morphological parameters for selected wheat refractions. Sci. Rep. 2021, 11, 20953. [Google Scholar] [CrossRef] [PubMed]
- Herold, M.; Scepan, J.; Müller, A.; Günther, S. Object-oriented mapping and analysis of urban land use/cover using IKONOS data. In Proceedings of the 22nd Earsel Symposium Geoinformation for European-Wide Integration, Prague, Czech Republic, 4–6 June 2002; pp. 4–6. [Google Scholar]
- Wang, X.; Liu, S.; Du, P.; Liang, H.; Xia, J.; Li, Y. Object-based change detection in urban areas from high spatial resolution images based on multiple features and ensemble learning. Remote Sens. 2018, 10, 276. [Google Scholar] [CrossRef]
- Wang, X.; Wang, L.; Tian, J.; Shi, C. Object-based spectral-phenological features for mapping invasive Spartina alterniflora. Int. J. Appl. Earth Obs. Geoinf. 2021, 101, 10. [Google Scholar] [CrossRef]
- Ikokou, G.B.; Smit, J. A technique for optimal selection of segmentation scale parameters for object-oriented classification of urban scenes. S. Afr. J. Geomat. 2013, 2, 358–369. [Google Scholar]
- Johnson, B.A.; Bragais, M.; Endo, I.; Magcale-Macandog, D.B.; Macandog, P.B.M. Image segmentation parameter optimization considering within-and between-segment heterogeneity at multiple scale levels: Test case for mapping residential areas using landsat imagery. ISPRS Int. J. Geo-Inf. 2015, 4, 2292–2305. [Google Scholar] [CrossRef]
- Atik, S.O.; Ipbuker, C. Integrating convolutional neural network and multiresolution segmentation for land cover and land use mapping using satellite imagery. Appl. Sci. 2021, 11, 5551. [Google Scholar] [CrossRef]
- Salah, M. Extraction of road centrelines and edge lines from high-resolution satellite imagery using density-oriented fuzzy C-means and mathematical morphology. J. Indian Soc. Remote Sens. 2022, 50, 1243–1255. [Google Scholar] [CrossRef]
- Mahdavi Saeidi, A.; Babaie Kafaki, S.; Mattaji, A. Development and Improvement of Neural network algorithm and forest cover index (FCD) classification methods in GEOEYE high resolution satellite data. (Case study: Ramsar-Safarood Hyrcanian forests). J. Environ. Sci. Technol. 2022, 24, 113–126. [Google Scholar]
- Alcaras, E.; Parente, C. The Effectiveness of Pan-Sharpening Algorithms on Different Land Cover Types in GeoEye-1 Satellite Images. J. Imaging 2023, 9, 93. [Google Scholar] [CrossRef] [PubMed]
- Cánovas-García, F.; Alonso-Sarría, F. A local approach to optimize the scale parameter in multiresolution segmentation for multispectral imagery. Geocarto Int. 2015, 30, 937–961. [Google Scholar] [CrossRef]
- Hao, S.; Cui, Y.; Wang, J. Segmentation scale effect analysis in the object-oriented method of high-spatial-resolution image classification. Sensors 2021, 21, 7935. [Google Scholar] [CrossRef] [PubMed]
- Frishila, A.A.; Kamal, M. Selection of Optimum Image Segmentation Parameters for Building Extraction using GeoEye-1 Image Data. In Proceedings of the 2019 5th International Conference on Science and Technology (ICST), Yogyakarta, Indonesia, 30–31 July 2019; Volume 1, pp. 1–6. [Google Scholar]
- Mohan Vamsee, A.; Kamala, P.; Martha, T.R.; Vinod Kumar, K.; Jai Sankar, G.; Amminedu, E. A tool assessing optimal multi-scale image segmentation. J. Indian Soc. Remote Sens. 2018, 46, 31–41. [Google Scholar] [CrossRef]
- Norman, M.; Mohd Shafri, H.Z.; Idrees, M.O.; Mansor, S.; Yusuf, B. Spatio-statistical optimization of image segmentation process for building footprint extraction using very high-resolution WorldView 3 satellite data. Geocarto Int. 2020, 35, 1124–1147. [Google Scholar] [CrossRef]
- El-naggar, A.M. Determination of optimum segmentation parameter values for extracting building from remote sensing images. Alexandria Eng. J. 2018, 57, 3089–3097. [Google Scholar] [CrossRef]
- Arbelaez, P.; Maire, M.; Fowlkes, C.; Malik, J. Contour detection and hierarchical image segmentation. IEEE Trans. Pattern Anal. Mach. Intelligence 2011, 33, 898–916. [Google Scholar] [CrossRef]
- He, T.; Chen, J.; Kang, L.; Zhu, Q. Evaluation of Global-Scale and Local-Scale Optimized Segmentation Algorithms in GEOBIA with SAM on Land Use and Land Cover. IEEE J. Sel. Top. Appl. Earth Obs. Remote Sens. 2024, 17, 6721–6738. [Google Scholar] [CrossRef]
- Clinton, N.; Holt, A.; Scarborough, J.; Yan, L.I.; Gong, P. Accuracy assessment measures for object-based image segmentation goodness. Photogramm. Eng. Remote Sens. 2010, 76, 289–299. [Google Scholar] [CrossRef]
- Kim, M.; Madden, M.; Warner, T. Estimation of optimal image object size for the segmentation of forest stands with multispectral IKONOS imagery. In Object-Based Image Analysis: Spatial Concepts for Knowledge-Driven Remote Sensing Applications; Springer: Berlin/Heidelberg, Germany, 2008; pp. 291–307. [Google Scholar]












| Normalized Image Variance | Normalized-Spatial Autocorrelation | Normalized Image Variance | Normalized-Spatial Autocorrelation |
|---|---|---|---|
| 0.761112 | 0.001389 | 0.002861 | 0.027271 |
| 0.279703 | 0.389601 | 0.548032 | 0.894092 |
| 0.293666 | 0.311528 | 0.270968 | 0.182229 |
| 0.989752 | 0.455224 | 0.394835 | 0.198282 |
| 0.810025 | 0.201453 | 0.654612 | 0.384949 |
| 0.150011 | 0.136200 | 0.186838 | 0.632118 |
| 0.816667 | 0.551694 | 0.156677 | 0.093594 |
| 0.001906 | 0.420993 | 0.698041 | 0.076852 |
| 0.308909 | 0.006773 | 0.446272 | 0.874585 |
| 0.645545 | 0.085821 | 0.291909 | 0.108591 |
| 0.498977 | 0.089321 | 0.349643 | 0.025632 |
| 0.003216 | 0.986762 | 0.356380 | 0.230527 |
| 0.789301 | 0.326693 | 0.789180 | 0.521224 |
| 0.681493 | 0.021069 | 0.085201 | 0.746331 |
| 0.383669 | 0.001462 | 0.858952 | 0.787381 |
| Color Factor Weight | Normalized-Image-Variance at Scale Parameter 50 | Normalized-Image-Variance at Scale Parameter 70 | Normalized-Image-Variance at Scale Parameter 90 |
| 0.2 | 0.783333 | 0.677419 | 0.0027 |
| 0.3 | 0.216667 | 0.241935 | 0.529032 |
| 0.4 | 0.266667 | 0.003216 | 0.270968 |
| 0.5 | 0.975200 | 0.320297 | 0.354839 |
| 0.6 | 0.700000 | 0.789300 | 0.451613 |
| 0.7 | 0.150000 | 0.516129 | 0.154839 |
| 0.8 | 0.816667 | 0.612903 | 0.109677 |
| 0.9 | 0.001900 | 0.000112 | 0.724100 |
| Color Factor Weight | Normalized-Image-Variance at Scale Parameter 110 | Normalized-Image-Variance at Scale Parameter 130 | Normalized-Image-Variance at Scale Parameter 150 |
| 0.2 | 0.209091 | 0.370968 | 0.248120 |
| 0.3 | 0.372727 | 0.479839 | 0.067669 |
| 0.4 | 0.363636 | 0.657258 | 0.218045 |
| 0.5 | 0.554545 | 0.366935 | 0.961840 |
| 0.6 | 0.190909 | 0.110956 | 0.090226 |
| 0.7 | 0.875200 | 0.821900 | 0.300752 |
| 0.8 | 0.010200 | 0.306452 | 0.002159 |
| 0.9 | 0.281818 | 0.173387 | 0.045113 |
| Color Factor Weight | Proportion of Intra-Segment Homogeneity at Scale Parameter 50 | Proportion of Intra-Segment Homogeneity at Scale Parameter 70 | Proportion of Intra-Segment Homogeneity at Scale Parameter 90 |
| 0.2 | 22% | 32% | 99% |
| 0.3 | 78% | 76% | 47% |
| 0.4 | 73% | 98% | 72% |
| 0.5 | 03% | 68% | 64% |
| 0.6 | 30% | 21% | 54% |
| 0.7 | 85% | 48% | 84% |
| 0.8 | 18% | 39% | 89% |
| 0.9 | 97% | 98% | 27% |
| COLOR Factor Weight | Proportion of Intra-Segment Homogeneity at Scale Parameter 110 | Proportion of Intra-Segment Homogeneity at Scale Parameter 130 | Proportion of Intra-Segment Homogeneity at Scale Parameter 150 |
| 0.2 | 79% | 62% | 75% |
| 0.3 | 62% | 52% | 93% |
| 0.4 | 63% | 34% | 78% |
| 0.5 | 44% | 63% | 03% |
| 0.6 | 80% | 88% | 90% |
| 0.7 | 12% | 17% | 69% |
| 0.8 | 98% | 69% | 98% |
| 0.9 | 71% | 82% | 95% |
| Color Factor Weight | Normalized-Spatial Autocorrelation-at-Scale Parameter 50 | Normalized-Spatial Autocorrelation-at-Scale Parameter 70 | Normalized-Spatial Autocorrelation-at-Scale Parameter 90 |
| 0.2 | 0.001343 | 0.089300 | 0.023700 |
| 0.3 | 0.390010 | 0.025632 | 0.940927 |
| 0.4 | 0.311528 | 0.986700 | 0.182229 |
| 0.5 | 0.455224 | 0.230520 | 0.198283 |
| 0.6 | 0.201453 | 0.326693 | 0.384950 |
| 0.7 | 0.136200 | 0.521220 | 0.632119 |
| 0.8 | 0.551694 | 0.021000 | 0.093594 |
| 0.9 | 0.420993 | 0.746331 | 0.076852 |
| Color Factor Weight | Normalized-Spatial Autocorrelation-at-Scale Parameter 110 | Normalized-Spatial Autocorrelation-at-Scale Parameter 130 | Normalized-Spatial Autocorrelation-at-Scale Parameter 150 |
| 0.2 | 0.006773 | 0.025130 | 0.215200 |
| 0.3 | 0.874585 | 0.045347 | 0.803675 |
| 0.4 | 0.001462 | 0.042762 | 0.816430 |
| 0.5 | 0.085822 | 0.142021 | 0.783985 |
| 0.6 | 0.108592 | 0.989610 | 0.850612 |
| 0.7 | 0.787381 | 0.841753 | 0.820445 |
| 0.8 | 0.988785 | 0.943974 | 0.998540 |
| 0.9 | 0.003337 | 0.400006 | 0.944788 |
| Scale Parameter | Lowest Normalized Image Variance Measures | Largest Normalized Spatial Autocorrelation Measures | Heterogeneous Function |
|---|---|---|---|
| 50 | 0.150000 | 0.551694 | 0.572463 |
| 70 | 0.003216 | 0.986700 | 0.993503 |
| 90 | 0.109677 | 0.940927 | 0.791211 |
| 110 | 0.010200 | 0.988785 | 0.979579 |
| 130 | 0.110956 | 0.989610 | 0.798366 |
| 150 | 0.002159 | 0.998540 | 0.995685 |
Disclaimer/Publisher’s Note: The statements, opinions and data contained in all publications are solely those of the individual author(s) and contributor(s) and not of MDPI and/or the editor(s). MDPI and/or the editor(s) disclaim responsibility for any injury to people or property resulting from any ideas, methods, instructions or products referred to in the content. |
© 2024 by the authors. Licensee MDPI, Basel, Switzerland. This article is an open access article distributed under the terms and conditions of the Creative Commons Attribution (CC BY) license (https://creativecommons.org/licenses/by/4.0/).
Share and Cite
Ikokou, G.B.; Malale, K.M. Unsupervised Image Segmentation Parameters Evaluation for Urban Land Use/Land Cover Applications. Geomatics 2024, 4, 149-172. https://doi.org/10.3390/geomatics4020009
Ikokou GB, Malale KM. Unsupervised Image Segmentation Parameters Evaluation for Urban Land Use/Land Cover Applications. Geomatics. 2024; 4(2):149-172. https://doi.org/10.3390/geomatics4020009
Chicago/Turabian StyleIkokou, Guy Blanchard, and Kate Miranda Malale. 2024. "Unsupervised Image Segmentation Parameters Evaluation for Urban Land Use/Land Cover Applications" Geomatics 4, no. 2: 149-172. https://doi.org/10.3390/geomatics4020009
APA StyleIkokou, G. B., & Malale, K. M. (2024). Unsupervised Image Segmentation Parameters Evaluation for Urban Land Use/Land Cover Applications. Geomatics, 4(2), 149-172. https://doi.org/10.3390/geomatics4020009
