Numerical Analysis of Transient Burn Injury Grading Through Coupled Heat Transfer and Damage Integral Modeling
Abstract
1. Introduction
2. Numerical Description
2.1. Physical Model
2.2. Governing Equation
2.3. Burn Model
2.4. Parameter Determination and Boundary Conditions
2.5. Description of Working Conditions
3. Numerical Results and Discussion
3.1. Validation Using Published Data
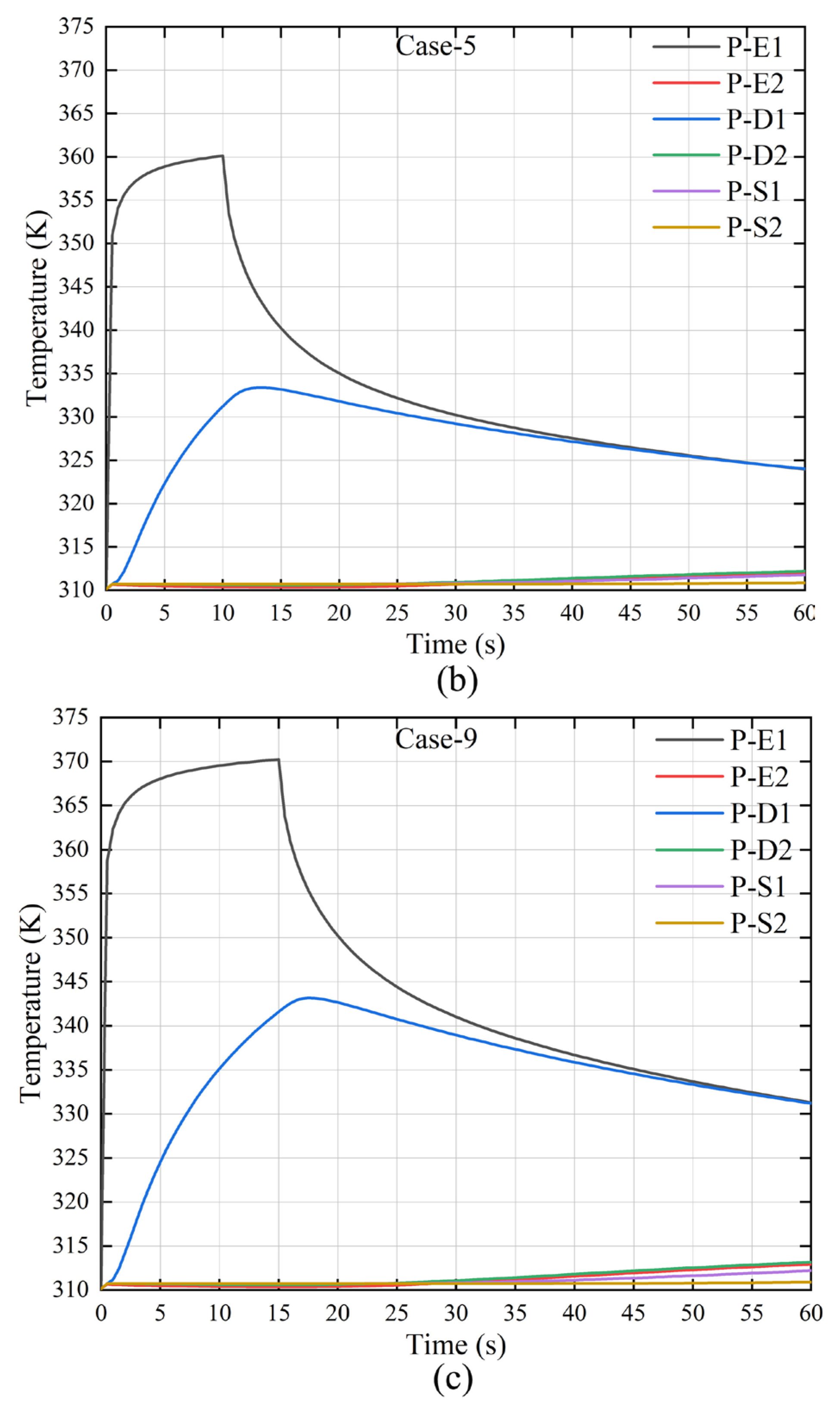
3.2. Effect of the Heat Source on the Temperature Distribution
3.3. Effect of the Heat Source on the Damage Integral Distribution
3.4. Effect of the Heat Source on the Burn Degree
4. Conclusions
Author Contributions
Funding
Data Availability Statement
Acknowledgments
Conflicts of Interest
Nomenclature
| Specific heat of blood () | |
| Specific heat of skin tissue () | |
| Thickness of epidermis (mm) | |
| Monitoring location point | |
| Thickness of dermis (mm) | |
| Monitoring location point | |
| Thickness of subcutaneous tissue(mm) | |
| Monitoring location point | |
| Monitoring location point | |
| Convection transfer rate () | |
| Pre-exponential frequency factor () | |
| Blood perfusion heat () | |
| Metabolism heat () | |
| Radius of heat source (mm) | |
| Radius of physical model (mm) | |
| Molar gas constant () | |
| Monitoring location point | |
| Monitoring location point | |
| Blood temperature (K) | |
| Ambient temperature of the atmosphere (K) | |
| Thickness of physical model (mm) | |
| Apparent activation energy () | |
| The burn damage integral value | |
| Density of blood () | |
| Density of skin tissue () | |
| Duration of heat source (s) | |
| Blood perfusion rate () | |
| Thermal conductivity of skin tissue () |
References
- Kankam, H.K.N.; Lee, K.C.; Sardeli, A.V.; Dretzke, J.; Lord, J.M.; Moiemen, N. Acute burn injuries associated with long-term mortality: A systematic review and meta-analysis. Burns 2022, 48, 1783–1793. [Google Scholar] [CrossRef] [PubMed]
- Schoenbrunner, A.; Banda, W.; Gosman, A.A. Global Burn Care: Education and Research. Clin. Plast. Surg. 2017, 44, 485–493. [Google Scholar] [CrossRef] [PubMed]
- Banga, A.T.; Westgarth-Taylor, C.; Grieve, A. The Epidemiology of Paediatric Burn Injuries in Johannesburg, South Africa. J. Pediatr. Surg. 2023, 58, 287–292. [Google Scholar] [CrossRef] [PubMed]
- Hop, M.J.; Wijnen, B.F.; Nieuwenhuis, M.K.; Dokter, J.; Middelkoop, E.; Polinder, S.; van Baar, M.E.; Dutch Burn Repository Group. Economic burden of burn injuries in the Netherlands: A 3 months follow-up study. Injury 2016, 47, 203–210. [Google Scholar] [CrossRef]
- Hultman, C.S.; van Duin, D.; Sickbert-Bennett, E.; DiBiase, L.M.; Jones, S.W.; Cairns, B.A.; Weber, D.J. Systems-based Practice in Burn Care: Prevention, Management, and Economic Impact of Health Care–associated Infections. Clin. Plast. Surg. 2017, 44, 935–942. [Google Scholar] [CrossRef]
- Pennes, H.H. Analysis of tissue and arterial blood temperatures in the resting human forearm. J. Appl. Physiol. 1948, 1, 93–122. [Google Scholar] [CrossRef]
- Diller, K.R.; Hayes, L.J.; Baxter, C.R. A mathematical model for the thermal efficacy of cooling therapy for burns. J. Burn Care Rehabil. 1983, 4, 81–89. [Google Scholar] [CrossRef]
- Prinzmetal, M.; Bergman, H.C.; Kruger, H.E. Demonstration of a Toxic Factor in the Blood of Rats Shocked by Burn. J. Clin. Investig. 1946, 25, 781–784. [Google Scholar] [CrossRef]
- Henriques, F.C., Jr.; Moritz, A.R. Studies of thermal injury II. The relative importance of time and surface temperature in the causation of cutaneous burns. Am. J. Pathol. 1947, 23, 695–720. [Google Scholar]
- Mansilla, E.; Spretz, R.; Larsen, G.; Nuñez, L.; Drago, H.; Sturla, F.; Marin, G.H.; Roque, G.; Martire, K.; Díaz Aquino, V.; et al. Outstanding Survival and Regeneration Process by the Use of Intelligent Acellular Dermal Matrices and Mesenchymal Stem Cells in a Burn Pig Model. Transplant. Proc. 2010, 42, 4275–4278. [Google Scholar] [CrossRef]
- Sheu, S.Y.; Wang, W.L.; Fu, Y.T.; Lin, S.C.; Lei, Y.C.; Liao, J.H.; Tang, N.Y.; Kuo, T.F.; Yao, C.H. The pig as an experimental model for mid-dermal burns research. Burns 2014, 40, 1679–1688. [Google Scholar] [CrossRef] [PubMed]
- Zhuravleva, K.; Goertz, O.; Wölkart, G.; Guillemot, L.; Petzelbauer, P.; Lehnhardt, M.; Schmidt, K.; Citi, S.; Schossleitner, K. The tight junction protein cingulin regulates the vascular response to burn injury in a mouse model. Microvasc. Res. 2020, 132, 104067. [Google Scholar] [CrossRef] [PubMed]
- Zhao, Y.; Liu, J.; Ding, Z.; Ge, W.; Wang, S.; Zhang, J. ATP-induced hypothermia improves burn injury and relieves burn pain in mice. J. Therm. Biol. 2023, 114, 103563. [Google Scholar] [CrossRef]
- Chen, L.; Xie, L.; Tan, J.; Li, N.; Luo, Y.; Li, M.; Zhang, S.; Wang, Z. The gut microbiota regulates the depressive-type behaviors and inflammatory processes after severe burn injuries in mice. Heliyon 2024, 10, e25617. [Google Scholar] [CrossRef] [PubMed]
- Hu, R.H.; Yu, Y.M.; Costa, D.; Young, V.R.; Ryan, C.M.; Burke, J.F.; Tompkins, R.G. A rabbit model for metabolic studies after burn injury. J. Surg. Res. 1998, 75, 153–160. [Google Scholar] [CrossRef]
- Defagó, V.; Moyano, J.; Bernhardt, C.; Sambuelli, G.; Cuestas, E. Protective effect of early placement of nasogastric tube with solid dilator on tissue damage and stricture formation after caustic esophageal burns in rabbits. J. Pediatr. Surg. 2015, 50, 1264–1268. [Google Scholar] [CrossRef]
- Ozcan, O.; Ipekci, H.; Alev, B.; Ustundag, U.V.; Sen, A.; Emekli-Alturfan, E.; Sener, G.; Yarat, A.; Tunali-Akbay, T. The effect of Myrtus communis L. ethanol extract on the small intestine and lungs in experimental thermal burn injury. J. Therm. Biol. 2020, 93, 102685. [Google Scholar] [CrossRef]
- Mulder, P.P.G.; Koenen, H.J.P.M.; Vlig, M.; Joosten, I.; de Vries, R.B.M.; Boekema, B.K.H.L. Burn-Induced Local and Systemic Immune Response: Systematic Review and Meta-Analysis of Animal Studies. J. Investig. Dermatol. 2022, 142, 3093–3109.e15. [Google Scholar] [CrossRef]
- Sasaki, M.; Abe, R.; Fujita, Y.; Ando, S.; Inokuma, D.; Shimizu, H. Mesenchymal stem cells are recruited into wounded skin and contribute to wound repair by transdifferentiation into multiple skin cell type. J. Immunol. 2008, 180, 2581–2587. [Google Scholar] [CrossRef]
- Lewis, C.J. Stem cell application in acute burn care and reconstruction. J. Wound Care 2013, 22, 7–16. [Google Scholar] [CrossRef]
- Ehrenreich, M.; Ruszczak, Z. Tissue-engineered temporary wound coverings. Important options for the clinician. Acta Dermatovenerol. Alp. Pannonica Adriat. 2006, 15, 5–13. [Google Scholar] [PubMed]
- Hermans, M.H. Preservation methods of allografts and their (lack of) influence on clinical results in partial thickness burns. Burns 2011, 37, 873–881. [Google Scholar] [CrossRef] [PubMed]
- Graca, M.F.P.; Miguel, S.P.; Cabral, C.S.D.; Correia, I.J. Hyaluronic acid-Based wound dressings: A review. Carbohydr. Polym. 2020, 241, 116364. [Google Scholar] [CrossRef] [PubMed]
- Pepliński, B. External Costs for Agriculture from Lignite Extraction from the Złoczew Deposit. Energies 2021, 14, 2660. [Google Scholar] [CrossRef]
- Baldwin, A.; Xu, J.; Attinger, D. How to cool a burn: A heat transfer point of view. J. Burn Care Res. 2012, 33, 176–187. [Google Scholar] [CrossRef]
- Ali, A.; Bukhari, Z.; Shahzadi, G.; Abbas, Z.; Umar, M. Numerical Simulation of the Thermally Developed Pulsatile Flow of a Hybrid Nanofluid in a Constricted Channel. Energies 2021, 14, 2410. [Google Scholar] [CrossRef]
- Csenkey, A.; Hargitai, E.; Pakai, E.; Kajtar, B.; Vida, L.; Lorincz, A.; Gergics, M.; Vajda, P.; Jozsa, G.; Garami, A. Effectiveness of four topical treatment methods in a rat model of superficial partial-thickness burn injury: The advantages of combining zinc-hyaluronan gel with silver foam dressing. Injury 2022, 53, 3912–3919. [Google Scholar] [CrossRef]
- Ng, E.Y.; Chua, L.T. Mesh-independent prediction of skin burns injury. J. Med. Eng. Technol. 2000, 24, 255–261. [Google Scholar]
- Ng, E.Y.; Chua, L.T. Prediction of skin burn injury. Part 1: Numerical modelling. Proc. Inst. Mech. Eng. H 2002, 216, 157–170. [Google Scholar] [CrossRef]
- Ng, E.Y.; Chua, L.T. Prediction of skin burn injury. Part 2: Parametric and sensitivity analysis. Proc. Inst. Mech. Eng. H 2002, 216, 171–183. [Google Scholar] [CrossRef]
- Abraham, J.P.; Plourde, B.; Vallez, L.; Stark, J.; Diller, K.R. Estimating the time and temperature relationship for causation of deep-partial thickness skin burns. Burns 2015, 41, 1741–1747. [Google Scholar] [CrossRef] [PubMed]
- Dai, W.; Wang, H.; Jordan, P.M.; Mickens, R.E.; Bejan, A. A mathematical model for skin burn injury induced by radiation heating. Int. J. Heat Mass Transf. 2008, 51, 5497–5510. [Google Scholar] [CrossRef]
- Ng, E.Y.K.; Tan, H.M.; Ooi, E.H. Boundary element method with bioheat equation for skin burn injury. Burns 2009, 35, 987–997. [Google Scholar] [CrossRef] [PubMed]
- Etehadtavakol, M.; Ng, E.Y.K. Survey of numerical bioheat transfer modelling for accurate skin surface measurements. Therm. Sci. Eng. Prog. 2020, 20, 100681. [Google Scholar] [CrossRef]
- Jiang, S.C.; Ma, N.; Li, H.J.; Zhang, X.X. Effects of thermal properties and geometrical dimensions on skin burn injuries. Burns 2002, 28, 713–717. [Google Scholar] [CrossRef]
- Malekmohamadi, M.H.; Ahmadikia, H.; Mosharaf-Dehkordi, M. The effect of heat flux distribution and internal heat generation on the thermal damage in multilayer tissue in thermotherapy. J. Therm. Biol. 2021, 99, 102920. [Google Scholar] [CrossRef]
- Kashcooli, M.; Salimpour, M.R.; Shirani, E. Heat transfer analysis of skin during thermal therapy using thermal wave equation. J. Therm. Biol. 2017, 64, 7–18. [Google Scholar] [CrossRef]
- Lee, S.L.; Lu, Y.H. Modeling of bioheat equation for skin and a preliminary study on a noninvasive diagnostic method for skin burn wounds. Burns 2014, 40, 930–939. [Google Scholar] [CrossRef]
- Wang, Z.; Zhao, G.; Wang, T.; Yu, Q.; Su, M.; He, X. Three-dimensional numerical simulation of the effects of fractal vascular trees on tissue temperature and intracelluar ice formation during combined cancer therapy of cryosurgery and hyperthermia. Appl. Therm. Eng. 2015, 90, 296–304. [Google Scholar] [CrossRef]
- Shirkavand, A.; Nazif, H.R. Numerical study on the effects of blood perfusion and body metabolism on the temperature profile of human forearm in hyperthermia conditions. J. Therm. Biol. 2019, 84, 339–350. [Google Scholar] [CrossRef]
- Muddassir, M.; Limbert, G.; Navarro-Alarcon, D. Development of a numerical multi-layer model of skin subjected to pulsed laser irradiation to optimise thermal stimulation in photorejuvenation procedure. Comput. Methods Programs Biomed. 2022, 216, 106653. [Google Scholar] [CrossRef] [PubMed]
- Wu, J.; Hu, Z.; Gu, Y.; Li, L.; Zhu, H. A multi-segmented human bioheat model for cold and extremely cold exposures. Int. J. Therm. Sci. 2022, 173, 107394. [Google Scholar] [CrossRef]
- Dinda, A.; Acharya, J.; Bhanja, D.; Nath, S. Local thermal non-equilibrium bioheat transfer model for interstitial hyperthermia treatment of tumour cell: A numerical approach. J. Therm. Biol. 2022, 110, 103368. [Google Scholar] [CrossRef] [PubMed]
- Log, T. Modeling Skin Injury from Hot Spills on Clothing. Int. J. Environ. Res. Public Health 2017, 14, 1374. [Google Scholar] [CrossRef]
- Log, T. Modeling Burns for Pre-Cooled Skin Flame Exposure. Int. J. Environ. Res. Public Health 2017, 14, 1024. [Google Scholar] [CrossRef]
- Log, T. Modeling Skin Injury from Hot Rice Porridge Spills. Int. J. Environ. Res. Public Health 2018, 15, 808. [Google Scholar] [CrossRef]
- Zhang, Q.; Sun, Y.; Yang, J. Thermoelastic behavior of skin tissue induced by laser irradiation based on the generalized dual-phase lag model. J. Therm. Biol. 2021, 100, 103038. [Google Scholar] [CrossRef]
- Lu, X.; Meng, J.; Chen, G.; Lu, Y. Numerical simulation of heat and moisture transfer in protective clothing under high pressure steam exposure: Effect of fabric properties and steam conditions. Int. J. Therm. Sci. 2023, 194, 108550. [Google Scholar] [CrossRef]
- Yang, J.; Zhang, S. Three-dimensional simulation of the convective heat transfer coefficient of the human body under various air velocities and human body angles. Int. J. Therm. Sci. 2023, 187, 108171. [Google Scholar] [CrossRef]
- Wang, Y.; Xu, Y.; Xu, D.; Fan, J. The heat and moisture transfer model of firefighter protective clothing. Int. J. Therm. Sci. 2024, 197, 108854. [Google Scholar] [CrossRef]













| Physical Parameters | Epidermis | Dermis | Subcutaneous |
|---|---|---|---|
| Density ρs, kg/m3 | 1200 | 1200 | 1000 |
| Specific heat cs, J/(kg·K) | 3600 | 3600 | 2500 |
| Thermal conductivity λs, W/(m·K) | 0.22 | 0.4 | 0.2 |
| Thickness d, mm | 0.1 | 2 | 10 |
| Parameters | Symbol | Unit | Value |
|---|---|---|---|
| Pre-exponential frequency factor | P | s−1 | 3.1 × 1098 |
| Activation energy | ΔE | J·mol−1 | 6.28 × 108 |
| Molar gas constant | R | J·mol−1·K−1 | 8314 |
| Convection transfer rate | h | W·m−1·K−1 | 10 |
| Ambient temperature | T∞ | K | 293.15 |
| Radius of heat source | rhs | mm | 5 |
| Radius of physical model | rpm | mm | 10 |
| Thickness of physical model | zpm | mm | 12.1 |
| Working Conditions | Water Temperature, K | Action Time, s |
|---|---|---|
| Case1 | 353 | 5 |
| Case2 | 353 | 10 |
| Case3 | 353 | 15 |
| Case4 | 363 | 5 |
| Case5 | 363 | 10 |
| Case6 | 363 | 15 |
| Case7 | 373 | 5 |
| Case8 | 373 | 10 |
| Case9 | 373 | 15 |
Disclaimer/Publisher’s Note: The statements, opinions and data contained in all publications are solely those of the individual author(s) and contributor(s) and not of MDPI and/or the editor(s). MDPI and/or the editor(s) disclaim responsibility for any injury to people or property resulting from any ideas, methods, instructions or products referred to in the content. |
© 2025 by the authors. Licensee MDPI, Basel, Switzerland. This article is an open access article distributed under the terms and conditions of the Creative Commons Attribution (CC BY) license (https://creativecommons.org/licenses/by/4.0/).
Share and Cite
Zhang, C.; Ma, X.; Li, M.; Qiu, Y.; Kim, M.K.; Liu, J. Numerical Analysis of Transient Burn Injury Grading Through Coupled Heat Transfer and Damage Integral Modeling. Thermo 2025, 5, 4. https://doi.org/10.3390/thermo5010004
Zhang C, Ma X, Li M, Qiu Y, Kim MK, Liu J. Numerical Analysis of Transient Burn Injury Grading Through Coupled Heat Transfer and Damage Integral Modeling. Thermo. 2025; 5(1):4. https://doi.org/10.3390/thermo5010004
Chicago/Turabian StyleZhang, Chao, Xinbin Ma, Mengxi Li, Yubin Qiu, Moon Keun Kim, and Jiying Liu. 2025. "Numerical Analysis of Transient Burn Injury Grading Through Coupled Heat Transfer and Damage Integral Modeling" Thermo 5, no. 1: 4. https://doi.org/10.3390/thermo5010004
APA StyleZhang, C., Ma, X., Li, M., Qiu, Y., Kim, M. K., & Liu, J. (2025). Numerical Analysis of Transient Burn Injury Grading Through Coupled Heat Transfer and Damage Integral Modeling. Thermo, 5(1), 4. https://doi.org/10.3390/thermo5010004

