Previous Article in Journal
Upcycled Carbon Dots as Multifunctional Boosters for Broad-Spectrum Photostable Sunscreens
 
 
Font Type:
Arial Georgia Verdana
Font Size:
Aa Aa Aa
Line Spacing:
Column Width:
Background:
Article

Immune Gene Expression Modulation and In Vitro Inhibitory Effect of TiO2 Nanoparticles Under UV Irradiation on Viral Necrosis Virus

1
Aquaculture Laboratory, National Institute of Sea Sciences and Technologies, 28 Rue de 2 Mars 1934, Salamboo 2025, Tunisia
2
Department of Chemistry, University of Milano, via Golgi 19, 20133 Milano, Italy
3
Department of Veterinary Medicine and Animal Sciences, University of Milano, via dell’Università 6, 26900 Lodi, Italy
4
Department of Biomedical Sciences for Health, University of Milano, via dell’Università 6, 26900 Lodi, Italy
5
Department of Comparative Biomedicine and Food Science, University of Padua, Viale dell’Università 16, Legnaro, 35020 Padova, Italy
6
Marine Science Department, Canal Suez University, Ismailia 41522, Egypt
*
Authors to whom correspondence should be addressed.
Photochem 2025, 5(4), 33; https://doi.org/10.3390/photochem5040033
Submission received: 29 July 2025 / Revised: 11 September 2025 / Accepted: 4 October 2025 / Published: 16 October 2025

Abstract

This study examines the potential in vitro application of different concentrations of titanium dioxide (TiO2) nanoparticles (NPs) irradiated with UV light for the sanitation of recirculating aquaculture systems (RASs) and their antiviral activity. The diverse effects of Nodavirus on immune gene expression (i.e., pro-inflammatory and anti-inflammatory genes, cellular response genes, humoral response genes, and stress genes) were studied using RT-qPCR (Reverse Transcription Quantitative Polymerase Chain Reaction). In addition, the viability and cytopathic effect in E-11 fish cells were also investigated. The results obtained did not show a clear cytopathic effect under the reversed-phase microscope observation at different TiO2 concentrations. A significant decrease in viral coat protein gene expression was observed when using 2.5 and 1.25 g/L TiO2 suspensions under UV irradiation. TiO2 at 1.25 g/L induced an inflammatory response to Nodavirus by increasing the expression of all target genes. Thus, this work suggests that TiO2 NPs can strengthen the immune system of fish to fight virus infection and make aquaculture a greener and more sustainable activity.

1. Introduction

Many fish farms use open systems, where water is taken from a natural pond and used in tanks before being returned to the main body of water. A large amount of water is consumed each day, and inorganic substances and organic nutrients are released, polluting the aquatic environment and affecting the fish health status [1,2].
In recent years, photocatalysts have been widely studied in water treatment [3], including in recirculating aquaculture systems (RASs) for the off-flavors [4] or ammonia removal [5,6,7,8], with positive effects on water quality in terms of decreased ammonia and nitrogen compounds concentrations and increased animal health.
The photocatalytic treatment offers great potential as an industrial technology for the detoxification or remediation of wastewater due to several factors: the process uses natural oxygen and light, possibly also sunlight; thus, it is effective under ambient conditions. In recent years, novel insights into the photocatalytic properties of TiO2 and related nanomaterials have expanded their potential in biomedical and environmental applications, with several studies reporting enhanced antiviral and antimicrobial activities under optimized conditions [9,10].
Among various photocatalyst nanomaterials being used as antibacterial or antiviral materials, titanium dioxide (TiO2) is one of the best photocatalysts; it is well known, low-cost, readily available, non-toxic, and chemically and mechanically stable and has a high turnover [11,12,13,14,15,16,17,18]. Moreover, it can be prepared in different forms for different applications [19,20,21,22]. Under UV irradiation reactive oxygen species, namely hydroxyl radicals (OH) and superoxide anions (O2), are produced on TiO2 [19].
The industrial research on TiO2 photocatalysis is mainly aimed at using its oxidation properties for sterilization, sanitation, and anti-pollution applications in the aqueous phase [23]. Nowadays, the photocatalytic destruction of organic matter is also exploited in photocatalytic antimicrobial coatings, typically thin films applied to furniture in hospitals and other surfaces susceptible to contamination with microorganisms [24].
In the case of viruses, these reactive radicals can degrade the capsid and envelope proteins and phospholipids of non-enveloped and enveloped viruses, respectively, leading to leakage and subsequent degradation of genetic information [17,25,26,27].
For instance, silver nanoparticles (AgNPs) inhibit hepatitis B virus (HBV), herpes simplex virus type 2 (HSV-2) and human immunodeficiency virus 1 (HIV-1) [28,29] in vertebrates, as well as WSSV, Vibrio cholerae, V. harveyi, and V. parahaemolyticus infection in shrimp [30,31,32,33]. Gold nanoparticles (AuNPs) reduce the replication of foot-and-mouth disease virus (FMDV) in cloven-hoofed animals [34] and V. parahaemolyticus as shrimp infection [35]. Moreover, titanium dioxide can deactivate rotavirus, astrovirus, and feline calicivirus (FCV) [34]. In aquaculture, numerous viral organisms affect a significant portion of global fish production, resulting in significant economic impacts on aquaculture [36]. In particular, RNA viruses cause the most severe fish diseases, such as nervous necrosis virus, which is responsible for encephalopathy and retinopathy (VER) [37].
Fish nodavirus is a non-enveloped icosahedral virion containing two positive-sense single-stranded genomic RNAs and is classified as a betanodavirus of the Nodaviridae. Preventing VNN in Mediterranean aquaculture requires a comprehensive approach that combines measures aimed at reducing the introduction of betanodaviruses into production systems with strategies that strengthen fish resilience against infection and its consequences. In this framework, TiO2 nanoparticles emerge as a promising tool for marine hatcheries, since under UV activation they generate reactive oxygen species capable of disrupting viral capsid proteins and RNA, resulting in effective viral inactivation. Their application in water treatment systems could significantly reduce viral contamination in rearing tanks, limit the spread of nodaviruses, and ultimately protect the most vulnerable early life stages of cultured fish.
In this study, the effect of TiO2, at different concentrations, was evaluated on Nodavirus in the dark and under UV irradiation to determine TiO2 mechanisms of virus inactivation and of the cytopathic effect on fish cells, and immune system interactions of TiO2 NPs at different concentrations, activated by UV irradiation.

2. Materials and Methods

2.1. TiO2 Powder Characterization

Commercial Aeroxide TiO2 P25 powder was purchased from Evonik (Essen, Germany) and used as received. Scanning electron microscopy (SEM) images for morphology investigation were acquired with a Zeiss (Oberkochen, Germany) ΣIGMA field emission instrument. The X-ray diffraction (XRD) pattern for crystal phase determination was recorded on a Philips (Amsterdam, Netherlands) PW3020 powder diffractometer, using the Cu Kα radiation (λ = 1.54056 Å). The Rietveld refinement method was performed for quantitative phase analysis, using the “Quanto” software. The average crystallite size was calculated by means of the Scherrer equation applied to the main reflections centered at 2θ = 25.425° for anatase and 2θ = 27.575° for rutile. The BET specific surface area (SSA) and BJH mesopore volume and size were measured by N2 adsorption/desorption at liquid nitrogen temperature (77 K) in a Micromeritics (Nocross, GA, USA) ASAP 2020 apparatus, after out-gassing the sample at 300 °C in vacuum for 1 h. The diffuse reflectance (R) spectrum was measured on a Jasco (Halifax, NS, Canada) V-670 spectrophotometer equipped with a PIN-757 integrating sphere, using barium sulfate as a reference, and then converted into a Taucplot, (KM hν)1/2 vs. hν, where KM is the Kubelka–Munk transform of the reflectance R, with KM = (1 − R)2/2R, for bandgap energy determination.

2.2. Preparation of TiO2 Suspensions

The P25 powder was dispersed in aqueous suspensions as follows: a suspension containing 5 g/L of TiO2 was prepared first, which was diluted with distilled water, to obtain suspensions containing 2.5, 2.0, 1.25, 0.75, and 0.3 mg/mL of TiO2.

2.3. Cells and Virus

The cell line (E-11) derived from the SSN-1 line of striped snakehead fish Ophiocephalus striatus [38] was maintained in L15 medium (Leibovitz L-15, Eurobio, Milan, Italy) supplemented with 10% fetal calf serum (Gibco) and 10% antibiotic (10,000 units/mL penicillin and 10,000 g/mL streptomycin, Gibco, Life Technologies, Waltham, MA, USA). The E-11 cells used in this study were kindly provided by Dr. Anna Toffan, head of the WOAH Reference Laboratory for Viral Encephalopathy and Retinopathy (IZSVe, Legnaro of Padua, Italy). Betanodavirus isolate (PG105/D19) was obtained from clinically infected specimens of Dicentrarchus labrax from the isolate collection of the Virology Laboratory of the National Institute of Marine Sciences and Technologies (INSTM), Tunisia.

2.4. Investigation of TiO2 Cytotoxic Properties on the E-11 Cell Line

The MTT assay was performed to measure the cellular metabolic activity as an indicator of cell viability, proliferation, and cytotoxicity. This colorimetric assay is based on the reduction of a yellow tetrazolium salt (3-(4,5-dimethylthiazol-2-yl)-2,5-diphenyltetrazolium bromide or MTT) to purple formazan crystals by metabolically active cells. The viable cells contain NAD(P)H-dependent oxidoreductase enzymes that reduce MTT to formazan. The insoluble formazan crystals are dissolved with a solubilizing solution, and the resulting-colored solution is analyzed by measuring the absorbance at 500–600 nm with a multiwall spectrophotometer. In this study, the protocol reported in ref. [39] was adopted with a small change in the incubation temperature (25 °C instead of 37 °C). The absorbance was measured at 590 nm. The viability threshold (%) was calculated as follows: Viability threshold (%) = (absorbance of different TiO2 suspensions / absorbance of the control) × 100.

2.5. TiO2 Inhibitory Properties on Nodaviruses Replication

An equal volume (50 µL) of Nodavirus solution and TiO2 suspension was mixed and used for the described treatments. Six TiO2 concentrations were tested (5.0, 2.5, 2.0, 1.25, 0.75, and 0.3 mg/mL). The UV irradiation was performed by exposing VNNV-TiO2 mix Eppendorf tubes, at a distance of 20 cm, to a clamped UV- source (15 W) with a peak at 253.7 nm. The irradiated mixtures were retrieved at 5 different time intervals (5 min, 15 min, 30 min, 1 h, and 16 h) and then inoculated on E-11 cells. The mock and positive controls were always added.
A total volume of the irradiated mixtures (100 µL) was withdrawn at 5 different time intervals. Simultaneously, the same assay was performed in the dark by mixing an equal volume of Nodavirus and TiO2 (5 mg/mL) and incubating for 1 h at 25 °C prior to cell inoculation. The negative and positive controls were always added. Five 96-well plates with confluent E-11 cells (7 × 104 cells/well) were freshly prepared 24 h before the start of the experiment. Each plate corresponds to a sample interval. The assay was created in duplicate.

2.6. RNA Extraction and Real-Time qRT-PCR Analysis

Total RNA was isolated from cell supernatants using the GF-1 kit (VIVANTIS) according to the manufacturer’s instructions. Quantitative reverse transcription qRT-PCR was performed using Luna One-Step Universal Probe RT-qPCR kit (New England Biolabs, Ipswich, MA, USA) and with gene-specific primers related to Nodavirus and various immune genes, such as antiviral protein genes (IFN-I, Mx); pro-inflammatory genes (IL-1β, IL-8); anti-inflammatory genes (TNF-α, TGF-β); genes involved in the cellular response (CD4, CMH1-β); genes involved in the humoral response (IgM); and a stress gene (Hsp30) (Table 1). The reaction was processed in the 7500 Real-Time PCR System (Applied Biosystems, Waltham, MA, USA) from ThermoFisher (Waltham, MA, USA). The β-actin gene was selected as the housekeeping gene. The ΔΔCT method was used to calculate relative gene expression [40]. Validation of amplification efficiency was performed for each gene to use the amplification protocols in the current study.

2.7. Statistical Analysis

All experiments were performed at least in duplicate, and results are presented as mean ± SD. Differences in the response between infected and mock groups were represented as means ± SD. Data were analyzed by one-way analysis of variance (ANOVA) using Statistical Package for Social Sciences Software (SPSS) version 20.0 (SPSS Inc., Chicago, IL, USA), and when statistically significant differences were observed (P < 0.05), a comparison of mean test was applied.

3. Results

3.1. TiO2 Powder Characterization

The SEM micrograph (Figure 1a) reveals that commercial P25 TiO2 consists of micro-aggregates of irregularly shaped, ca. 10 to 50 nm, NPs. According to the Rietveld refinement of the XRD pattern (Figure 1b), it is composed of 82% anatase and 18% rutile with no trace of brookite. The Scherrer average crystallite size is 21 nm for anatase and 26 nm for rutile. The N2 adsorption/desorption isotherm at 77 K (Figure 1c) shows a relatively narrow H1-type hysteresis loop typical of mesoporous materials with a BJH desorption cumulative volume of pores of 0.357 cm3/g and average pore width of 170 Å.
The measured BET specific surface area (SSABET) is 48 m2/g. If a spherical shape of the particles were assumed, the average particle diameter Dm can be calculated from the SSA as follows:
Dm = 6000/(SSABET × ρTiO2),
with SSABET in m2/g, ρTiO2, the TiO2 density, in g/cm3 and Dm in nm. If ρTiO2 = 4 g/cm3 is used (the mean value between the densities of anatase and rutile), then Dm = 30 nm, in line with the SEM micrograph and the Scherrer average crystallite size. Finally, the Tauc plot of the diffuse reflectance spectrum (Figure 1d) clearly shows the presence of two slopes. The extrapolation of these two linear regions to the abscissa yields an energy of the optical bandgap of 3.0 eV, characteristic of the rutile phase, and of 3.2 eV, typical of the anatase phase.

3.2. Investigation of TiO2 Cytotoxic Properties on the E-11 Cell Line

Based on the MTT measurements, the wells treated with TiO2 (5 mg/mL) showed a higher viability threshold compared to those treated with the other TiO2 concentrations (Figure 2). In fact, TiO2 concentrations ranging from 2.5 to 0.3 mg/mL significantly reduced the viability of E-11 cells.

3.3. In Vitro Investigation of the Inhibitory Properties of TiO2 on Nodavirus Replication

Daily observations were performed to check the cellular cytopathic effect (CPE) after different treatment conditions (see Figure 3).
The cytopathic effect (CPE) of nodavirus on E-11 cells, and on wells containing Nodavirus exposed to different concentrations of TiO2 suspension, was assessed daily based on cell morphology (rounding, detachment, and lysis), the percentage of affected cells compared to controls, and the time of onset and progression of visible changes. However, the cell supernatants were very turbid, and morphological changes were not visible under the reversed-phase microscope. Therefore, the well content, which was already irradiated by UV at different time points after UV irradiation (5 min, 15 min, 30 min, 1 h, and 16 h), was collected regardless of the occurrence of CPE. It is worth noting that treatment of cells with a TiO2–Nodavirus mixture incubated in the dark (i.e., non-irradiated) did not significantly inhibit Nodavirus replication on E-11. This result highlights the synergistic effect of combined UV-irradiation and TiO2 NPs inoculation. Continuous CPE was observed daily. The results obtained in darkness were then omitted from the rest of this study.

3.4. Relative Expression of the Viral Capsid Gene (CP) in E-11 Cells

E-11 cells were inoculated with several UV-irradiated TiO2–Nodavirus mixtures. No clear dose-dependent inhibitory effect was obtained. However, a significant decrease in viral CP gene expression was observed when suspensions containing 2.5 mg/mL and 1.25 mg/mL of TiO2 were used (Figure 4). Interestingly, the inhibition of viral gene expression lasted up to 16 h after infection.

3.5. Immune Genes Expression

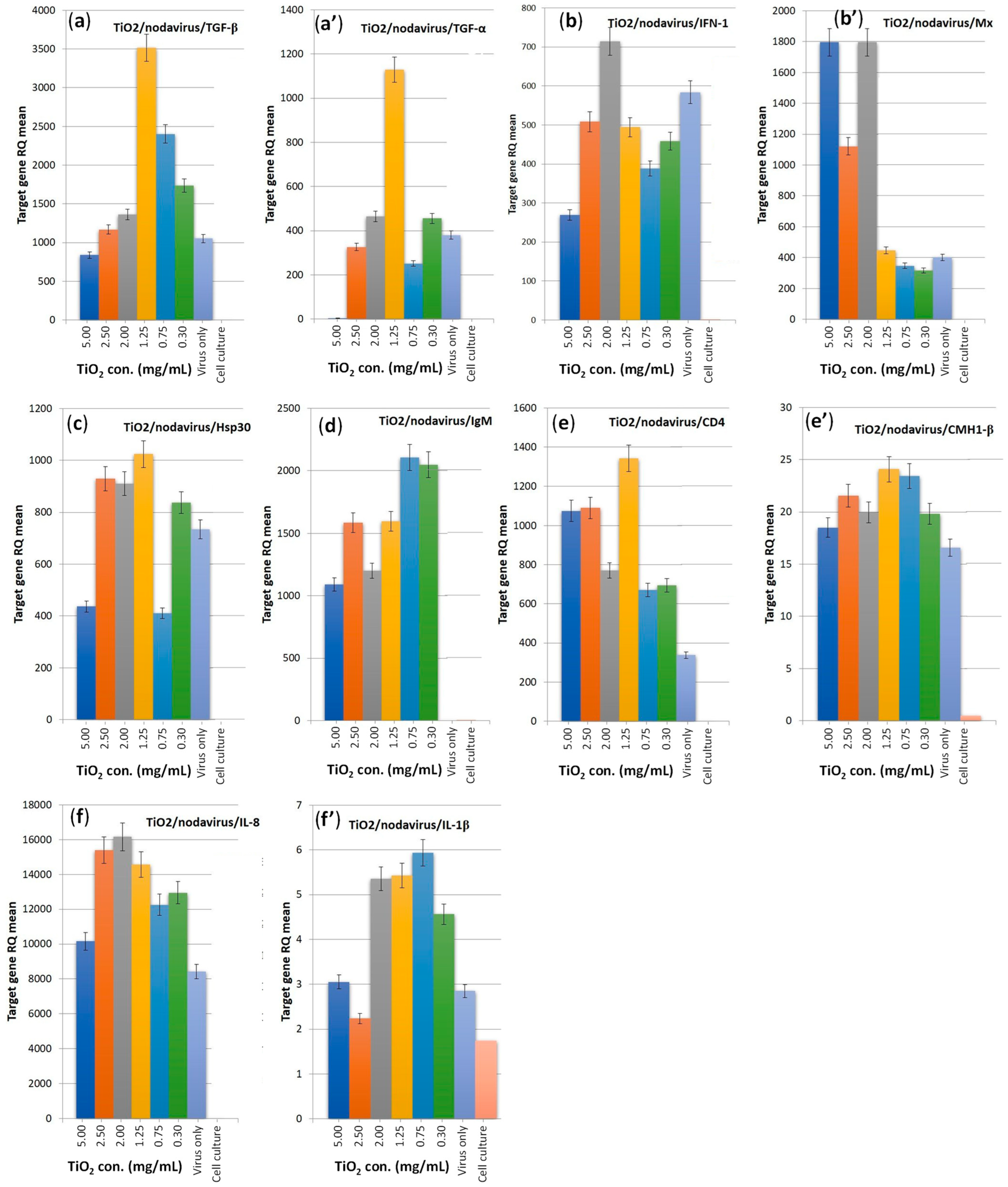
Immunogenes from E-11 fish cells exposed to TiO2 co-incubated with Nodavirus showed dose-dependent up-regulation at 1 h. Cells exposed to 1.25 mg/mL of TiO2 showed the highest level with increased expression of TGF-α, TGF-β, and Hsp30 genes compared to virus control. In addition, there was an increase in the expression of IFN-1, Mx, Hsp30, Il-1β, CD4, and Il-8 genes for cells exposed to 2.0 and 2.5 mg/mL TiO2 concentrations. With a TiO2 concentration range of 2.0 to 0.3g/L, MHC1-β gene expression increased, while cells exposed to low TiO2 concentrations (0.75 and 0.3 mg/mL) showed an increase in IgM gene expression (Figure 5).

4. Discussion

Numerous viral organisms affect a significant portion of global fish production, resulting in significant economic impacts on aquaculture. In particular, RNA viruses cause the most serious fish diseases like the neural necrosis virus: betanodavirus responsible for encephalopathy and retinopath [49,50]. The current study is an in vitro evaluation of the application of TiO2 powders as an antiviral treatment in aquaculture and TiO2 powder characterization.
A comparative study of the effect of TiO2 at different concentrations on Nodavirus in the dark and under UV irradiation was performed to determine the mechanisms of the inactivating effect of TiO2. The investigation of the cytopathic effect was also carried out. The MTT assay shows that the cell viability decreases after the addition of TiO2 at different concentrations, especially in the 2.5–0.3 mg/mL range. These results are consistent with those of previous studies [51], showing a significant reduction in cell viability upon co-exposure of the BF2 fish cell line to TiO2 at 2.5 and 1.25 g/L. Despite the fact that the MTT assay either overestimates the cell viability or fails to detect a reduction in cell number and viability, this effect is most likely produced by the superoxide anions (O2) generated by TiO2 NPs [52].
No clear cytopathic effect was observed under the reversed-phase microscope at different TiO2 concentrations. Consistent with present results, a comparative analysis between TiO2 NPs and ZnO NPs has shown that TiO2 NPs are less cytotoxic than ZnO NPs [53], meaning that TiO2 NPs are safer than ZnO NPs with lower cytotoxicity. Another study showed that TiO2 NPs, when coated with glycated polyethylene, exhibit stronger antiviral activity and lower cytotoxicity compared to bare TiO2 NPs [16].
To further investigate the antiviral activity of TiO2, the relative expression of the viral capsid gene (CP) in E-11 cells was examined. The results showed a significant decrease in viral CP gene expression using a TiO2 suspension at a concentration of 2.5 g/L or 1.25 g/L (Figure 4). This result is in line with those reported by others [23], who showed that the UV-activated TiO2 surface is able to degrade the capsid and envelope proteins as well as the phospholipids of the non-enveloped virus. Consistent with the present results, previous studies have shown that an astrovirus, a non-enveloped virus that causes diarrheal diseases, was inactivated, but in this case, TiO2 was irradiated with visible light [36]. Future studies will further investigate the direct inactivation of free Nodavirus by TiO2 nanoparticles under UV irradiation in cell-free conditions to better elucidate the underlying antiviral mechanisms.
Consistent results were obtained in previous studies on the impact of the use of different NPs on the immune system. Studies on Mytilus galloprovincialis showed that such particles induce pro-apoptotic processes. Their uptake by hemocytes was rapid and affected the phagocytic function [54,55,56]. Similarly, studies of earthworms exposed to TiO2 revealed bioaccumulation and significantly reduced phagocytosis from 0.1 mg/mL of TiO2 NPs. However, TiO2 did not cause cytotoxicity on coelomocytes [54].
In the present study, co-incubation of Nodavirus with different concentrations of TiO2 exposed to UV light for 1 h differentially regulated the relative expression of genes associated with immunity and stress in cells, such as antiviral protein genes (IFN-I, Mx); pro-inflammatory genes (IL-1, IL-8), anti-inflammatory genes (TGF-, TGF-), genes involved in the cellular response (CD4, CMH1-), a gene involved in the humoral response (IgM), and a stress gene (Hsp30). Remarkably, the TiO2 concentration of 1.25 mg/mL increased the expression of all target genes and induced an inflammatory response to Nodavirus, which has never been reported in the literature. Studies have now been conducted to examine the interaction of TiO2 NPs with the immune system: human macrophages were exposed in vitro to non-toxic concentrations of various nanoparticles, including TiO2, which were shown [55] to significantly affect the expression of several Toll-Like Receptor (TLR) molecules. These latter receptors represent a critical class involved in the initiation of the inflammatory response and innate immune responses. Particularly intriguing is that NPs like TiO2 could increase the expression of TLR chains required for virus-dependent stimulation [55]. TLR7 is another receptor that is crucial for detecting viruses. It binds to viral ssRNA and activates the signaling pathway that depends on IRF-3 to produce IFN-a/b [56,57]. According to [55], macrophages exposed to nanoparticles such as TiO2 have increased susceptibility to viral infections. Our in vitro research has shown that the different doses of TiO2-NPs can possibly boost the fish’s immune system to fight viral infections, although the doses are much higher compared to the estimated environmental concentration of 0.025 mg/mL [58,59].
Several research results suggest that nanoparticles can replace antibiotics in the treatment of infections. TiO2 NPs proved to be the safest of all NPs, cheap and easy to manufacture, compared to other NPs.

5. Conclusions

This in vitro study shows that photocatalysis with TiO2 NPs reduces viral infection, while boosting the fish’s innate immunity markers, and might be able to suppress more pathogens, although further experiments, such as in vivo tests, are required. In particular, further investigations should clarify whether the inactivation of TiO2 NPs depends on the virus titer, the incubation time, and the TiO2 concentration. However, this work demonstrates the great potential of photocatalysis with TiO2 NPs to control Nodaviruses in fish farming. Importantly, TiO2 also aligns with the principles of green chemistry, offering a low-cost, non-toxic, and chemically stable alternative to harmful chemical disinfectants traditionally used in aquaculture. Future research should focus on optimizing photocatalytic efficiency under UV or natural light to lower energy demand, and on assessing TiO2 recyclability to minimize waste, thereby promoting more sustainable aquaculture practices. By combining antiviral efficacy with eco-friendly features, TiO2 NPs represent a promising avenue for greener aquatic disease management.

Author Contributions

Conceptualization, N.C., A.C., A.D.G., D.B., G.R. and G.L.C.; methodology, N.C., A.C., A.D.G., D.B., G.R. and G.L.C.; investigation, R.E.J., N.C. and G.L.C.; resources, N.C. and G.L.C.; data curation, N.C. and G.L.C.; writing—original draft preparation, R.E.J., N.C. and G.L.C.; writing—review and editing, N.C., G.L.C., A.C., A.D.G. and E.S.; supervision, N.C. and G.L.C.; project administration, A.C.; funding acquisition, G.L.C., A.C., A.D.G., G.R., N.C., T.T., D.B., G.R. and E.S. All authors have read and agreed to the published version of the manuscript.

Funding

This research was funded by the EU project PRIMA 2019 FishPhotoCAT.

Institutional Review Board Statement

No direct animal experiments were conducted during this study. Viral strains were previously isolated from fish samples derived from the diagnostic and monitoring activities of the CapTunHealth project (PEER Cycle 5) with a protocol approved by the institutional bioethics committee of the National Institute of Marine Sciences and Technologies (INSTM) (protocol code 2017/24/E/INSTM) (date of approval: 14 May 2018).

Informed Consent Statement

Not applicable.

Data Availability Statement

The original contributions presented in this study are included in the article. Further inquiries can be directed to the corresponding authors.

Conflicts of Interest

The authors declare no conflicts of interest.

References

  1. Pascoli, F.; Negrato, E.; Di Giancamillo, A.; Bertotto, D.; Domeneghini, C.; Simontacchi, C.; Mutinelli, F.; Radaelli, G. Evaluation of oxidative stress biomarkers in Zosterisessor ophiocephalus from the Venice Lagoon, Italy. Aquat. Toxicol. 2011, 101, 512–520. [Google Scholar] [CrossRef] [PubMed]
  2. Ahmad, A.L.; Chin, J.Y.; Harun, M.H.Z.M.; Low, S.C. Environmental impacts and imperative technologies towards sustainable treatment of aquaculture wastewater: A review. J. Water Process. Eng. 2022, 46, 102553. [Google Scholar] [CrossRef]
  3. Ren, G.; Han, H.; Wang, Y.; Liu, S.; Zhao, J.; Meng, X.; Li, Z. Recent Advances of Photocatalytic Application in Water Treatment: A Review. Nanomaterials 2021, 11, 1804. [Google Scholar] [CrossRef] [PubMed]
  4. Zorzi, V.; Bertini, A.; Robertson, A.; Berardinelli, A.; Palmisano, L.; Parrino, F. The application of advanced oxidation processes including photocatalysis-based ones for the off-flavours removal (GSM and MIB) in recirculating aquaculture systems. Mol. Catal. 2023, 551, 113616. [Google Scholar] [CrossRef]
  5. Livolsi, S.; Franz, S.; Costa, A.; Buoio, E.; Bazzocchi, C.; Bestetti, M.; Selli, E.; Chiarello, G.L. Innovative photoelectrocatalytic water remediation system for ammonia abatement. Catal. Today 2023, 413–415, 113996. [Google Scholar] [CrossRef]
  6. Buoio, E.; Cialini, C.; Cafiso, A.; Aidos, L.; Mazzola, S.M.; Rossi, R.; Livolsi, S.; Di Giancamillo, A.; Moretti, V.M.; Selli, E.; et al. From Photocatalysis to Photo-Electrocatalysis: An Innovative Water Remediation System for Sustainable Fish Farming. Sustainability 2022, 14, 9067. [Google Scholar] [CrossRef]
  7. Randazzo, B.; Chemello, G.; Tortarolo, I.; Chiarello, G.L.; Zalas, M.; Santini, A.; Liberatore, M.; Liberatore, M.; Selli, E.; Olivotto, I. A Novel Photocatalytic Purification System for Fish Culture. Zebrafish 2017, 14, 411–421. [Google Scholar] [CrossRef]
  8. Altomare, M.; Chiarello, G.L.; Costa, A.; Guarino, M.; Selli, E. Photocatalytic abatement of ammonia in nitrogen-containing effluents. Chem. Eng. J. 2012, 191, 394–401. [Google Scholar] [CrossRef]
  9. Di, J.; Liu, Y.; Zhang, Y.; Guo, S.; Wang, S.; Jiang, W.; Li, H.; Xia, J. In situ N-doped Bi3O4Br/(BiO)2CO3 ultrathin nanojunctions with matched energy band structure for nonselective photocatalysis pollutant removal. cMat 2024, 1, e23. [Google Scholar] [CrossRef]
  10. Li, Y.-H.; Chen, B.-F.; Carabineiro, S.A.C.; Duan, Y.-Y.; Tan, P.; Ho, W.-K.; Dong, F. Enhancing visible-light-driven NO oxidation through molecular-level insights of dye-loaded sea sands. Rare Met. 2023, 43, 543–554. [Google Scholar] [CrossRef]
  11. Moreira, N.F.; Orge, C.A.; Ribeiro, A.R.; Faria, J.L.; Nunes, O.C.; Pereira, M.F.R.; Silva, A.M. Fast mineralization and detoxification of amoxicillin and diclofenac by photocatalytic ozonation and application to an urban wastewater. Water Res. 2015, 87, 87–96. [Google Scholar] [CrossRef]
  12. Do, T.C.M.V.; Nguyen, D.Q.; Nguyen, K.T.; Le, P.H. TiO2 and Au-TiO2 Nanomaterials for Rapid Photocatalytic Degradation of Antibiotic Residues in Aquaculture Wastewater. Materials 2019, 12, 2434. [Google Scholar] [CrossRef]
  13. Miyauchi, M.; Sunada, K.; Hashimoto, K. Antiviral Effect of Visible Light-Sensitive CuxO/TiO2 Photocatalyst. Catalysts 2020, 10, 1093. [Google Scholar] [CrossRef]
  14. Park, G.W.; Cho, M.; Cates, E.L.; Lee, D.; Oh, B.-T.; Vinjé, J.; Kim, J.-H. Fluorinated TiO2 as an ambient light-activated virucidal surface coating material for the control of human norovirus. J. Photochem. Photobiol. B Biol. 2014, 140, 315–320. [Google Scholar] [CrossRef] [PubMed]
  15. Nakano, R.; Ishiguro, H.; Yao, Y.; Kajioka, J.; Fujishima, A.; Sunada, K.; Minoshima, M.; Hashimoto, K.; Kubota, Y. Photocatalytic inactivation of influenza virus by titanium dioxide thin film. Photochem. Photobiol. Sci. 2012, 11, 1293–1298. [Google Scholar] [CrossRef]
  16. Akhtar, S.; Shahzad, K.; Mushtaq, S.; Ali, I.; Rafe, M.H.; Fazal-ul-Karim, S.M. Antibacterial and antiviral potential of colloidal Titanium dioxide (TiO2) nanoparticles suitable for biological applications. Mater. Res. Express 2019, 6, 105409. [Google Scholar] [CrossRef]
  17. Hajkova, P.; Spatenka, P.; Horsky, J.; Horska, I.; Kolouch, A. Photocatalytic effect of TiO2 films on viruses and bacteria. Plasma Process Polym. 2007, 4, 397–401. [Google Scholar] [CrossRef]
  18. Moongraksathum, B.; Chien, M.-Y.; Chen, Y.-W. Antiviral and Antibacterial Effects of Silver-Doped TiO2 Prepared by the Peroxo Sol-Gel Method. J. Nanosci. Nanotechnol. 2019, 19, 7356–7362. [Google Scholar] [CrossRef] [PubMed]
  19. Wu, Y.; Long, M.; Cai, W.; Dai, S.; Chen, C.; Wu, D.; Bai, J. Preparation of photocatalytic anatase nanowire films by in situ oxidation of titanium plate. Nanotechnology 2009, 20, 185703. [Google Scholar] [CrossRef] [PubMed]
  20. Chiarello, G.L.; Zuliani, A.; Ceresoli, D.; Martinazzo, R.; Selli, E. Exploiting the Photonic Crystal Properties of TiO2 Nanotube Arrays to Enhance Photocatalytic Hydrogen Production. ACS Catal. 2016, 6, 1345–1353. [Google Scholar] [CrossRef]
  21. Chiarello, G.L.; Tealdi, C.; Mustarelli, P.; Selli, E. Fabrication of Pt/Ti/TiO2 Photoelectrodes by RF-Magnetron Sputtering for Separate Hydrogen and Oxygen Production. Materials 2016, 9, 279. [Google Scholar] [CrossRef]
  22. Murgia, S.M.; Poletti, A.; Selvaggi, R. Photocatalytic Degradation of High Ammonia Concentration Water Solutions by TiO2. Ann. Chim. 2005, 95, 335–343. [Google Scholar] [CrossRef]
  23. Bono, N.; Ponti, F.; Punta, C.; Candiani, G. Effect of UV Irradiation and TiO2-Photocatalysis on Airborne Bacteria and Viruses: An Overview. Materials 2021, 14, 1075. [Google Scholar] [CrossRef] [PubMed]
  24. Hussein, M.M.A.; Gad, E.; Ahmed, M.M.; Arisha, A.H.; Mahdy, H.F.; Swelum, A.A.-A.; Tukur, H.A.; Saadeldin, I.M. Amelioration of titanium dioxide nanoparticle reprotoxicity by the antioxidants morin and rutin. Environ. Sci. Pollut. Res. 2019, 26, 29074–29084. [Google Scholar] [CrossRef] [PubMed]
  25. Gilson, R.C.; Black, K.C.L.; Lane, D.D.; Achilefu, S. Hybrid TiO2–Ruthenium Nano-photosensitizer Synergistically Produces Reactive Oxygen Species in both Hypoxic and Normoxic Conditions. Angew. Chem. 2017, 129, 10857–10860. [Google Scholar] [CrossRef]
  26. Mazurkova, N.A.; Spitsyna, Y.E.; Shikina, N.V.; Ismagilov, Z.R.; Zagrebel’nYi, S.N.; Ryabchikova, E.I. Interaction of titanium dioxide nanoparticles with influenza virus. Nanotechnol. Russ. 2010, 5, 417–420. [Google Scholar] [CrossRef]
  27. Orłowski, P.; Kowalczyk, A.; Tomaszewska, E.; Ranoszek-Soliwoda, K.; Węgrzyn, A.; Grzesiak, J.; Celichowski, G.; Grobelny, J.; Eriksson, K.; Krzyzowska, M. Antiviral Activity of Tannic Acid Modified Silver Nanoparticles: Potential to Activate Immune Response in Herpes Genitalis. Viruses 2018, 10, 524. [Google Scholar] [CrossRef]
  28. Elechiguerra, J.L.; Burt, J.L.; Morones, J.R.; Camacho-Bragado, A.; Gao, X.; Lara, H.H.; Yacaman, M.J. Interaction of silver nanoparticles with HIV-1. J. Nanobiotechnol. 2005, 3, 6. [Google Scholar] [CrossRef]
  29. Sun, R.W.-Y.; Chen, R.; Chung, N.P.-Y.; Ho, C.-M.; Lin, C.-L.S.; Che, C.-M. Silver nanoparticles fabricated in Hepes buffer exhibit cytoprotective activities toward HIV-1 infected cells. Chem. Commun. 2005, 5059–5061. [Google Scholar] [CrossRef]
  30. Kandasamy, K.; Alikunhi, N.M.; Manickaswami, G.; Nabikhan, A.; Ayyavu, G. Synthesis of silver nanoparticles by coastal plant Prosopis chilensis (L.) and their efficacy in controlling vibriosis in shrimp Penaeus monodon. Appl. Nanosci. 2012, 3, 65–73. [Google Scholar] [CrossRef]
  31. Ochoa-Meza, A.R.; Álvarez-Sánchez, A.R.; Romo-Quiñonez, C.R.; Barraza, A.; Magallón-Barajas, F.J.; Chávez-Sánchez, A.; García-Ramos, J.C.; Toledano-Magaña, Y.; Bogdanchikova, N.; Pestryakov, A.; et al. Silver nanoparticles enhance survival of white spot syndrome virus infected Penaeus vannamei shrimps by activation of its immunological system. Fish Shellfish Immunol. 2019, 84, 1083–1089. [Google Scholar] [CrossRef]
  32. Sivaramasamy, E.; Wang, Z.; Li, F.; Xiang, J. Enhancement of vibriosis resistance in Litopenaeus vannamei by supplementation of biomastered silver nanoparticles by Bacillus subtilis. J. Nanosci. Nanotechnol. 2016, 7, 2. [Google Scholar] [CrossRef]
  33. Márquez, J.C.M.; Partida, A.H.; Dosta, M.d.C.M.; Mejía, J.C.; Martínez, J.A.B. Silver nanoparticles applications (AgNPS) in aquaculture. IJFAS 2018, 6, 5–11. [Google Scholar]
  34. Rafiei, S.; Rezatofighi, S.E.; Ardakani, M.R.; Rastegarzadeh, S. Gold Nanoparticles Impair Foot-and-Mouth Disease Virus Replication. IEEE Trans. NanoBiosci. 2015, 15, 34–40. [Google Scholar] [CrossRef]
  35. Tello-Olea, M.; Rosales-Mendoza, S.; Campa-Córdova, A.I.; Palestino, G.; Luna-González, A.; Reyes-Becerril, M.; Velazquez, E.; Hernandez-Adame, L.; Angulo, C. Gold nanoparticles (AuNP) exert immunostimulatory and protective effects in shrimp (Litopenaeus vannamei) against Vibrio parahaemolyticus. Fish Shellfish Immun. 2019, 84, 756–767. [Google Scholar] [CrossRef]
  36. Sang, X.; Phan, T.G.; Sugihara, S.; Yagyu, F.; Okitsu, S.; Maneekarn, N.; Müller, W.E.G.; Ushijima, H. Photocatalytic inactivation of diarrheal viruses by visible-light-catalytic titanium dioxide. Clin Lab. 2007, 53, 413–421. [Google Scholar]
  37. Valero, Y.; Cuesta, A. Reassortant viruses threatening fish aquaculture. Rev. Aquac. 2023, 15, 1720–1731. [Google Scholar] [CrossRef]
  38. Iwamoto, T.; Nakai, T.; Mori, K.; Arimoto, M.; Furusawa, I. Cloning of the fish cell line SSN-1 for piscine nodaviruses. Dis. Aquat. Org. 2000, 43, 81–89. [Google Scholar] [CrossRef]
  39. Mosmann, T. Rapid colorimetric assay for cellular growth and survival: Application to proliferation and cytotoxicity assays. J. Immunol. Methods 1983, 65, 55–63. [Google Scholar] [CrossRef]
  40. Livak, K.J.; Schmittgen, T.D. Analysis of relative gene expression data using real-time quantitative PCR and the 2−ΔΔCT method. Methods 2001, 25, 402–408. [Google Scholar] [CrossRef]
  41. Panzarin, V.; Patarnello, P.; Mori, A.; Rampazzo, E.; Cappellozza, E.; Bovo, G.; Cattoli, G. Development and validation of a real-time TaqMan PCR assay for the detection of betanodavirus in clinical specimens. Arch. Virol. 2010, 155, 1193–1203. [Google Scholar] [CrossRef]
  42. Mahanty, A.; Purohit, G.K.; Mohanty, S.; Nayak, N.R.; Mohanty, B.P. Suitable reference gene for quantitative real-time PCR analysis of gene expression in gonadal tissues of minnow Puntius sophore under high-temperature stress. BMC Genom. 2017, 18, 617. [Google Scholar] [CrossRef]
  43. Radaelli, E.; Buonocore, F.; Scapigliati, G.; Marino, G. Cell markers and determinants in fish immunology. Fish Shellfish Immunol. 2008, 4, 326–340. [Google Scholar] [CrossRef]
  44. Poisa-Beiro, L.; Dios, S.; Montes, A.; Aranguren, R.; Figueras, A.; Novoa, B. Nodavirus increases the expression of Mx and inflammatory cytokines in fish brain. Mol. Immunol. 2008, 45, 218–225. [Google Scholar] [CrossRef]
  45. Sepulcre, M.P.; Sarropoulou, E.; Kotoulas, G.; Meseguer, J.; Mulero, V. Vibrio anguillarum evades the immune response of the bony fish sea bass (Dicentrarchus labrax L.) through the inhibition of leukocyte respiratory burst and down-regulation of apoptotic caspases. Mol. Immunol. 2007, 44, 3751–3757. [Google Scholar] [CrossRef]
  46. Angsujinda, K.; Mahony, T.J.; Smith, D.R.; Kettratad, J.; Assavalapsakul, W. Expression profile of selected genes of the E-11 cell line in response to red-spotted grouper nervous necrosis virus infection. Aquac. Rep. 2020, 18, 100468. [Google Scholar] [CrossRef]
  47. Dos Santos, N.M.S.; Taverne, N.; Taverne-Thiele, A.J.; De Sousa, M.; Rombout, J.H.W.M. Characterisation of monoclonal antibodies specific for sea bass (Dicentrarchus labrax L.) IgM indicates the existence of B cell subpopulations. Fish Shellfish Immunol. 1997, 7, 175–191. [Google Scholar] [CrossRef]
  48. Picchietti, S.; Abelli, L.; Guerra, L.; Randelli, E.; Proietti Serafini, F.; Belardinelli, M.C.; Buonocore, F.; Bernini, C.; Fausto, A.M.; Scapigliati, G. MHC II-β chain gene expression studies define the regional organization of the thymus in the developing bony fish Dicentrarchus labrax (L.). Fish Shellfish Immunol. 2015, 42, 483–493. [Google Scholar] [CrossRef]
  49. Kibenge, F.S.B. Emerging viruses in aquaculture. Curr. Opin. Virol. 2019, 34, 97–103. [Google Scholar] [CrossRef]
  50. Rodger, H.D. Fish disease causing economic impact in global aquaculture. In Birkhauser Advances in Infectious Diseases; Springer: Basel, Switzerland, 2016; pp. 1–34. [Google Scholar] [CrossRef]
  51. George, S.; Gardner, H.; Seng, E.K.; Chang, H.; Wang, C.; Fang, C.H.Y.; Richards, M.; Valiyaveettil, S.; Chan, W.K. Differential Effect of Solar Light in Increasing the Toxicity of Silver and Titanium Dioxide Nanoparticles to a Fish Cell Line and Zebrafish Embryos. Environ. Sci. Technol. 2014, 48, 6374–6382. [Google Scholar] [CrossRef]
  52. Wang, S.; Yu, H.; Wickliffe, J.K. Limitation of the MTT and XTT assays for measuring cell viability due to superoxide formation induced by nano-scale TiO2. Toxicol. In Vitro 2011, 25, 2147–2151. [Google Scholar] [CrossRef]
  53. Hamza, R.Z.; Gobouri, A.A.; Al-Yasi, H.M.; Al-Talhi, T.A.; El-Megharbel, S.M. A New Sterilization Strategy Using TiO2 Nanotubes for Production of Free Radicals that Eliminate Viruses and Application of a Treatment Strategy to Combat Infections Caused by Emerging SARS-CoV-2 during the COVID-19 Pandemic. Coatings 2021, 11, 680. [Google Scholar] [CrossRef]
  54. Canesi, L.; Ciacci, C.; Fabbri, R.; Marcomini, A.; Pojana, G.; Gallo, G. Bivalve molluscs as a unique target group for nanoparticle toxicity. Mar. Environ. Res. 2012, 76, 16–21. [Google Scholar] [CrossRef]
  55. Ciacci, C.; Canonico, B.; Bilaniĉovă, D.; Fabbri, R.; Cortese, K.; Gallo, G.; Marcomini, A.; Pojana, G.; Canesi, L. Immunomodulation by Different Types of N-Oxides in the Hemocytes of the Marine Bivalve Mytilus galloprovincialis. PLoS ONE 2012, 7, e36937. [Google Scholar] [CrossRef]
  56. Barmo, C.; Ciacci, C.; Canonico, B.; Fabbri, R.; Cortese, K.; Balbi, T.; Marcomini, A.; Pojana, G.; Gallo, G.; Canesi, L. In vivo effects of n-TiO2 on digestive gland and immune function of the marine bivalve Mytilus galloprovincialis. Aquat. Toxicol. 2013, 132–133, 9–18. [Google Scholar] [CrossRef]
  57. Lucarelli, M.; Gatti, A.M.; Savarino, G.; Quattroni, P.; Martinelli, L.; Monari, E.; Boraschi, D. Innate defence functions of macrophages can be biased by nano-sized ceramic and metallic particles. Eur. Cytokine Netw. 2005, 15, 339–346. [Google Scholar]
  58. Mueller, N.C.; Nowack, B. Exposure Modeling of Engineered Nanoparticles in the Environment. Environ. Sci. Technol. 2008, 42, 4447–4453. [Google Scholar] [CrossRef]
  59. Pérez, S.; Barceló, D.; Farré, M.L. Analysis, behavior and ecotoxicity of carbon-based nanomaterials in the aquatic environment. TrAC 2009, 28, 820–832. [Google Scholar] [CrossRef]
Figure 1. TiO2 P25 powder characterization: (a) SEM image; (b) XRD diffractogram (the reflection positions and relative intensities of Anatase (A), Brookite (B), and Rutile (R) phases are reported at the top, for comparison); (c) N2 adsorption/desorption isotherm at 77 K; and (d) Tauc plot of the diffuse reflectance spectrum.
Figure 1. TiO2 P25 powder characterization: (a) SEM image; (b) XRD diffractogram (the reflection positions and relative intensities of Anatase (A), Brookite (B), and Rutile (R) phases are reported at the top, for comparison); (c) N2 adsorption/desorption isotherm at 77 K; and (d) Tauc plot of the diffuse reflectance spectrum.
Photochem 05 00033 g001
Figure 2. Determination of cell viability (%) for different concentrations of TiO2.
Figure 2. Determination of cell viability (%) for different concentrations of TiO2.
Photochem 05 00033 g002
Figure 3. Cytopathic effect of different concentrations of TiO2 after 60 min UV irradiation, without (IIV) or with (I′IV′) Nodavirus infection. TiO2 concentration: (I,I′) 5 mg/mL; (II,II′) 2.5 mg/mL; (III,III′): 1.25 mg/mL; (IV,IV′) 0.3 mg/mL; compared to (V) water only and (VI) Nodavirus only. Scale bar = 100 μm.
Figure 3. Cytopathic effect of different concentrations of TiO2 after 60 min UV irradiation, without (IIV) or with (I′IV′) Nodavirus infection. TiO2 concentration: (I,I′) 5 mg/mL; (II,II′) 2.5 mg/mL; (III,III′): 1.25 mg/mL; (IV,IV′) 0.3 mg/mL; compared to (V) water only and (VI) Nodavirus only. Scale bar = 100 μm.
Photochem 05 00033 g003
Figure 4. Effect of UV-irradiation time on the relative expression of the viral gene CP after inoculation with different concentrations of TiO2: (a) 5 mg/mL; (b) 2.5 mg/mL; (c): 2 mg/mL; (d): 1.25 mg/mL; (e): 0.75 mg/mL; and (f) 0.3 mg/mL.
Figure 4. Effect of UV-irradiation time on the relative expression of the viral gene CP after inoculation with different concentrations of TiO2: (a) 5 mg/mL; (b) 2.5 mg/mL; (c): 2 mg/mL; (d): 1.25 mg/mL; (e): 0.75 mg/mL; and (f) 0.3 mg/mL.
Photochem 05 00033 g004
Figure 5. Effect of the TiO2 content (from 5.0 to 0.3 mg/mL) co-incubated with Nodavirus and under UV irradiation on immune genes expression profiles, compared to virus only and cell culture. (a,a′) Anti-inflammatory gene; (b,b′) antiviral protein genes; (c) stress gene; (d) gene involved in humoral response; (e,e′) genes involved in cellular response; and (f,f′) pro-inflammatory genes.
Figure 5. Effect of the TiO2 content (from 5.0 to 0.3 mg/mL) co-incubated with Nodavirus and under UV irradiation on immune genes expression profiles, compared to virus only and cell culture. (a,a′) Anti-inflammatory gene; (b,b′) antiviral protein genes; (c) stress gene; (d) gene involved in humoral response; (e,e′) genes involved in cellular response; and (f,f′) pro-inflammatory genes.
Photochem 05 00033 g005
Table 1. Primers used for relative quantification RT-PCR using the ΔΔCT method with β-actin as the housekeeping gene.
Table 1. Primers used for relative quantification RT-PCR using the ΔΔCT method with β-actin as the housekeeping gene.
GeneForwardReverseReference
NodavirusCAACTGACARCGAHCACACCCCACCAYTTGGCVAC[41]
β-actinGCC TTC CTT CCT TGG TAT GGGTG TTG GCG TAC AGG TCC TT[42]
IFN-IGGCTCTACTGGATACGATGGCT GCGTCCAAAGCATCAGCT[43]
MxATTCTGAGTTCTTGCTGAAGGCCTCTAGAACTCCACCAGG[44]
IL-1βCAGGACTCCGGTTTGAACATGTCCATTCAAAAGGGGACAA[44]
IL-8GTGCTCCTGGCGTTCCTTCACCCAGGGAGC[45]
TNF-αAGA CAA GGT GGA GTG GAA GACCT GGC TGT AGA CGA AGT AGA[46]
TGF-βGACCTGGGATGGAAGTGGCAGCTGCTCCACCTTGTG[43]
IgMGAGCTGCAGAAGGACAGTGTCAGACTGGCCTCACAGCT[47]
CD4GTGATAACGCTGAAGATCGAGCCGAGGTGTGTCATCTTCCGTTG[43]
CMH1-βCAGAGACGGACAGGAAGCAAGATCAGACCCAGGA[48]
Hsp30CAG GTG GGC AGG AAG CTGACC CCT TCA GGC AGA TCA AAC TC[46]
Disclaimer/Publisher’s Note: The statements, opinions and data contained in all publications are solely those of the individual author(s) and contributor(s) and not of MDPI and/or the editor(s). MDPI and/or the editor(s) disclaim responsibility for any injury to people or property resulting from any ideas, methods, instructions or products referred to in the content.

Share and Cite

MDPI and ACS Style

El Jeni, R.; Chiarello, G.L.; Selli, E.; Costa, A.; Di Giancamillo, A.; Bertotto, D.; Radaelli, G.; Temraz, T.; Chérif, N. Immune Gene Expression Modulation and In Vitro Inhibitory Effect of TiO2 Nanoparticles Under UV Irradiation on Viral Necrosis Virus. Photochem 2025, 5, 33. https://doi.org/10.3390/photochem5040033

AMA Style

El Jeni R, Chiarello GL, Selli E, Costa A, Di Giancamillo A, Bertotto D, Radaelli G, Temraz T, Chérif N. Immune Gene Expression Modulation and In Vitro Inhibitory Effect of TiO2 Nanoparticles Under UV Irradiation on Viral Necrosis Virus. Photochem. 2025; 5(4):33. https://doi.org/10.3390/photochem5040033

Chicago/Turabian Style

El Jeni, Rim, Gian Luca Chiarello, Elena Selli, Annamaria Costa, Alessia Di Giancamillo, Daniela Bertotto, Giuseppe Radaelli, Tarek Temraz, and Nadia Chérif. 2025. "Immune Gene Expression Modulation and In Vitro Inhibitory Effect of TiO2 Nanoparticles Under UV Irradiation on Viral Necrosis Virus" Photochem 5, no. 4: 33. https://doi.org/10.3390/photochem5040033

APA Style

El Jeni, R., Chiarello, G. L., Selli, E., Costa, A., Di Giancamillo, A., Bertotto, D., Radaelli, G., Temraz, T., & Chérif, N. (2025). Immune Gene Expression Modulation and In Vitro Inhibitory Effect of TiO2 Nanoparticles Under UV Irradiation on Viral Necrosis Virus. Photochem, 5(4), 33. https://doi.org/10.3390/photochem5040033

Article Metrics

Back to TopTop