UPS, XPS, NEXAFS and Computational Investigation of Acrylamide Monomer
Abstract
:1. Introduction
2. Materials and Methods Details
2.1. Experimental Methods
2.2. Computational Methods
3. Results and Discussion
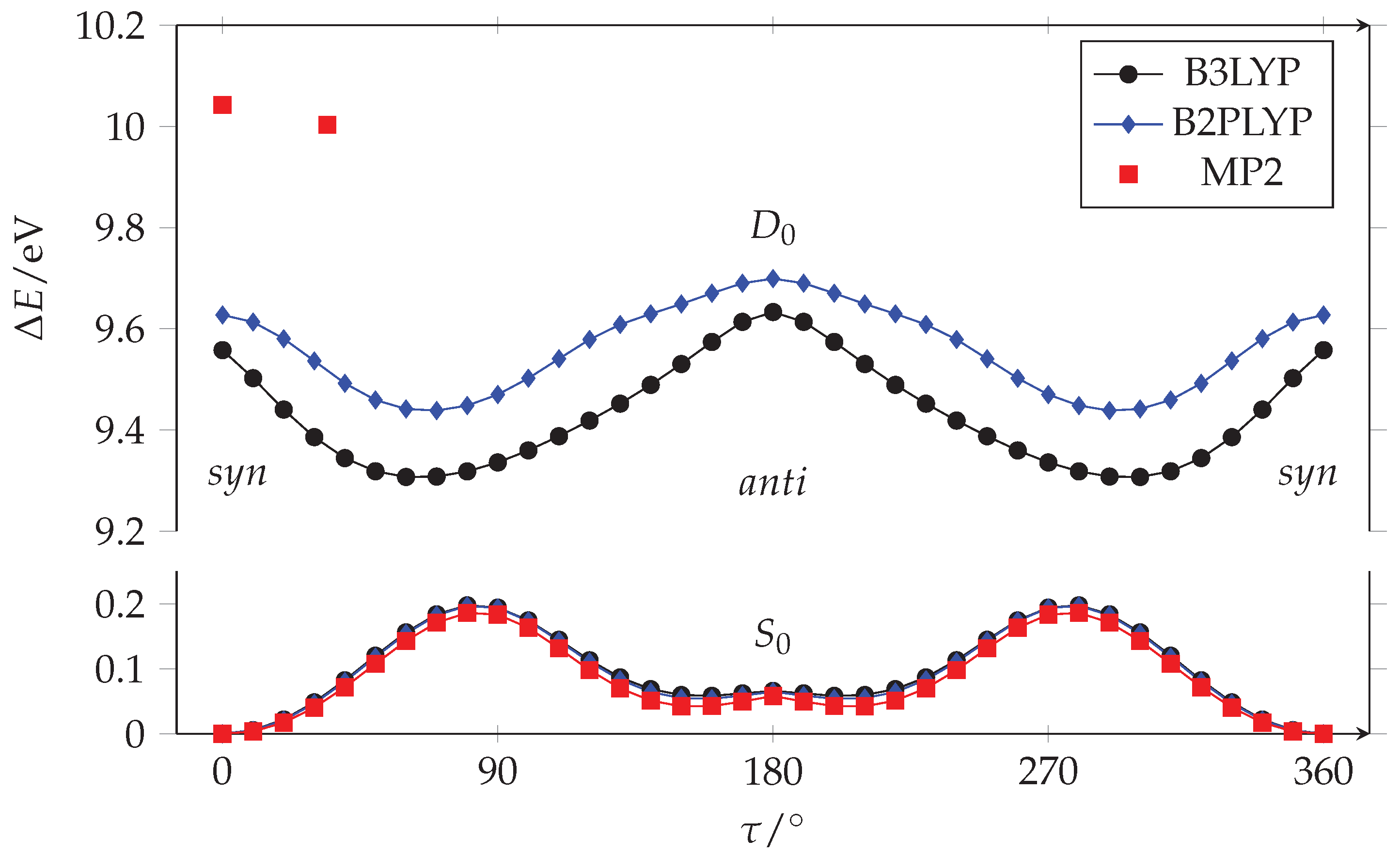
3.1. Conformational Analysis
3.2. UPS
3.3. XPS
3.4. NEXAFS
4. Conclusions
Author Contributions
Funding
Institutional Review Board Statement
Informed Consent Statement
Data Availability Statement
Acknowledgments
Conflicts of Interest
References
- Smith, E.; Prues, S.; Oehme, F. Environmental Degradation of Polyacrylamides. 1. Effects of Artificial Environmental Conditions: Temperature, Light, and pH. Ecotoxicol. Environ. Saf. 1996, 35, 121–135. [Google Scholar] [CrossRef] [PubMed]
- Huang, S.Y.; Lipp, D.; Farinato, R. Acrylamide polymers. In Encyclopedia of Polymer Science and Technology; American Cancer Society: Atlanta, GA, USA, 2001. [Google Scholar] [CrossRef]
- NTP (National Toxicology Program). Report on Carcinogens, 14th ed.; U.S. Department of Health and Human Services, Public Health Service: Research Triangle Park, NC, USA, 2016.
- Xiong, B.; Loss, R.; Shields, D.T.; Pawlik, R.H.; Zydney, A.; Kumar, M. Polyacrylamide degradation and its implications in environmental systems. NPJ Clean Water 2018, 1, 17. [Google Scholar] [CrossRef]
- Tepe, Y.; Çebi, A. Acrylamide in Environmental Water: A Review on Sources, Exposure, and Public Health Risks. Expos. Health 2019, 11, 3–12. [Google Scholar] [CrossRef]
- Exon, J.H. A Review of the Toxicology of Acrylamide. J. Toxicol. Environ. Heal. Part B 2006, 9, 397–412. [Google Scholar] [CrossRef] [PubMed]
- Moldoveanu, S.; Gerardi, A. Acrylamide Analysis in Tobacco, Alternative Tobacco Products, and Cigarette Smoke. J. Chromatogr. Sci. 2011, 49, 234–242. [Google Scholar] [CrossRef]
- Mottram, D.; Wedzicha, B.; Dodson, A. Acrylamide is formed in the Maillard reaction. Nature 2002, 419, 448–449. [Google Scholar] [CrossRef]
- Marstokk, K.M.; Møllendal, H.; Samdal, S. Microwave spectrum, conformational equilibrium, 14N quadrupole coupling constants, dipole moment, vibrational frequencies and quantum chemical calculations for acrylamide. J. Mol. Struct. 2000, 524, 69–85. [Google Scholar] [CrossRef]
- Kolesniková, L.; Belloche, A.; Koucký, J.; Alonso, E.R.; Garrod, R.T.; Luková, K.; Menten, K.M.; Müller, H.S.P.; Kania, P.; Urban, S. Laboratory rotational spectroscopy of acrylamide and a search for acrylamide and propionamide toward Sgr B2(N) with ALMA. Astron. Astrophys. 2022, 659, A111. [Google Scholar] [CrossRef]
- Kydd, R.; Dunham, A. The infrared spectra and structure of acetamide and acrylamide. J. Mol. Struct. 1980, 69, 79–88. [Google Scholar] [CrossRef]
- Åsbrink, L.; Svensson, A.; von Niessen, W.; Bier, G. 30.4-nm He(II) photoelectron spectra of organic molecules: Part V. Hetero-compounds containing first-row elements (C, H, B, N, O, F). J. Electron Spectrosc. Relat. Phenom. 1981, 24, 293–314. [Google Scholar] [CrossRef]
- Prince, K.C.; Blyth, R.R.; Delaunay, R.; Zitnik, M.; Krempasky, J.; Slezak, J.; Camilloni, R.; Avaldi, L.; Coreno, M.; Stefani, G.; et al. The gas-phase photoemission beamline at Elettra. J. Synchrotron Radiat. 1998, 5, 565–568. [Google Scholar] [CrossRef] [PubMed]
- Lüder, J.; de Simone, M.; Totani, R.; Coreno, M.; Grazioli, C.; Sanyal, B.; Eriksson, O.; Brena, B.; Puglia, C. The electronic characterization of biphenylene-Experimental and theoretical insights from core and valence level spectroscopy. J. Chem. Phys. 2015, 142, 074305. [Google Scholar] [CrossRef] [PubMed] [Green Version]
- Carpenter, E.; Davis, H. Acrylamide. Its preparation and properties. J. Appl. Chem. 1957, 7, 671–676. [Google Scholar] [CrossRef]
- Mårtensson, N.; Baltzer, P.; Brühwiler, P.; Forsell, J.O.; Nilsson, A.; Stenborg, A.; Wannberg, B. A very high resolution electron spectrometer. J. Electron Spectrosc. Relat. Phenom. 1994, 70, 117–128. [Google Scholar] [CrossRef]
- Li, X.; Frisch, M.J. Energy-Represented Direct Inversion in the Iterative Subspace within a Hybrid Geometry Optimization Method. J. Chem. Theory Comput. 2006, 2, 835–839. [Google Scholar] [CrossRef]
- Runge, E.; Gross, E.K.U. Density-Functional Theory for Time-Dependent Systems. Phys. Rev. Lett. 1984, 52, 997–1000. [Google Scholar] [CrossRef]
- Ehara, M.; Hasegawa, J.; Nakatsuji, H. SAC-CI method applied to molecular spectroscopy. In Theory and Applications of Computational Chemistry. The First Forty Years.; Elsevier: Amsterdam, The Netherlands, 2005; pp. 1099–1141. [Google Scholar] [CrossRef]
- Linderberg, J.; Öhrn, Y. Propagators in Quantum Chemistry, 2nd ed.; John Wiley and Sons, Inc.: Hoboken, NJ, USA, 2004. [Google Scholar]
- Danovich, D. Green’s function methods for calculating ionization potentials, electron affinities, and excitation energies. Wiley Interdiscip. Rev. Comput. Mol. Sci. 2011, 1, 377–387. [Google Scholar] [CrossRef]
- Cederbaum, L.S. One-body Green’s function for atoms and molecules: Theory and application. J. Phys. B Atom. Mol. Phys. 1975, 8, 290–303. [Google Scholar] [CrossRef]
- von Niessen, W.; Schirmer, J.; Cederbaum, L. Computational methods for the one-particle green’s function. Comput. Phys. Rep. 1984, 1, 57–125. [Google Scholar] [CrossRef]
- Zakrzewski, V.; Ortiz, J.; Nichols, J.; Heryadi, D.; Yeager, D.; Golab, J. Comparison of perturbative and multiconfigurational electron propagator methods. Int. J. Quantum Chem. 1996, 60, 29–36. [Google Scholar] [CrossRef]
- Ortiz, J.V. Partial third-order quasiparticle theory: Comparisons for closed-shell ionization energies and an application to the Borazine photoelectron spectrum. J. Chem. Phys. 1996, 104, 7599–7605. [Google Scholar] [CrossRef]
- Negri, F.; Zgierski, M. Franck–Condon analysis of the S0->T1 absorption and phosphorescence spectra of biphenyl and bridged derivatives. J. Chem. Phys. 1992, 97, 7124–7136. [Google Scholar] [CrossRef]
- Malagoli, M.; Coropceanu, V.; da Silva Filho, D.; Brédas, J. A multimode analysis of the gas-phase photoelectron spectra in oligoacenes. J. Chem. Phys. 2004, 120, 7490–7496. [Google Scholar] [CrossRef] [Green Version]
- Duschinsky, F. The importance of the electron spectrum in multi atomic molecules. Concerning the Franck–Condon principle. Acta Physicochim. URSS 1937, 7, 551–566. [Google Scholar]
- Santoro, F.; Lami, A.; Improta, R.; Bloino, J.; Barone, V. Effective method for the computation of optical spectra of large molecules at finite temperature including the Duschinsky and Herzberg–Teller effect: The Qx band of porphyrin as a case study. J. Chem. Phys. 2008, 128, 224311. [Google Scholar] [CrossRef]
- Dierksen, M.; Grimme, S. An efficient approach for the calculation of Franck–Condon integrals of large molecules. J. Chem. Phys. 2005, 122, 244101. [Google Scholar] [CrossRef] [PubMed]
- Barone, V.; Bloino, J.; Biczysko, M.; Santoro, F. Fully Integrated Approach to Compute Vibrationally Resolved Optical Spectra: From Small Molecules to Macrosystems. J. Chem. Theory Comput. 2009, 5, 540–554. [Google Scholar] [CrossRef]
- Udovenko, A.; Kolzunova, L. Crystal structure of acrylamide. J. Struct. Chem. 2008, 49, 961–964. [Google Scholar] [CrossRef]
- Velchev, I.; Hogervorst, W.; Ubachs, W. Precision VUV Spectroscopy of Ar I at 105 nm. J. Phys. B 1999, 32, L511–L516. [Google Scholar] [CrossRef]
- Koopmans, T. Über die Zuordnung von Wellenfunktionen und Eigenwerten zu den einzelnen Elektronen eines Atoms. Physica 1934, 1, 104–113. [Google Scholar] [CrossRef]
- Siegbarn, H.; Asplund, L.; Kelfve, P.; Hamrin, K.; Karlsson, L.; Siegbahn, K. ESCA applied to liquids. II. Valence and core electron spectra of formamide. J. Electron Spectrosc. Relat. Phenom. 1974, 5, 1059–1079. [Google Scholar] [CrossRef]
- Bodi, A.; Hemberger, P. Low-Energy Photoelectron Spectrum and Dissociative Photoionization of the Smallest Amides: Formamide and Acetamide. J. Phys. Chem. A 2019, 123, 272–283. [Google Scholar] [CrossRef] [PubMed]
- Thomas, T.D.; Shaw, R.W. Accurate core ionization potentials and photoelectron kinetic energies for light elements. J. Electron Spectrosc. Relat. Phenom. 1974, 5, 1081–1094. [Google Scholar] [CrossRef]
- Jolly, W.; Bomben, K.; Eyermann, C. Core-electron binding energies for gaseous atoms and molecules. At. Data Nucl. Data 1984, 31, 433–493. [Google Scholar] [CrossRef]
- Li, C.; Salén, P.; Yatsyna, V.; Schio, L.; Feifel, R.; Squibb, R.; Kamińska, M.; Larsson, M.; Richter, R.; Alagia, M.; et al. Experimental and theoretical XPS and NEXAFS studies of N-methylacetamide and N-methyltrifluoroacetamide. Phys. Chem. Chem. Phys. 2016, 18, 2210–2218. [Google Scholar] [CrossRef] [PubMed]
- Kovač, B.; Ljubić, I.; Kivimäki, A.; Coreno, M.; Novak, I. Characterisation of the electronic structure of some stable nitroxyl radicals using variable energy photoelectron spectroscopy. Phys. Chem. Chem. Phys. 2014, 16, 10734–10742. [Google Scholar] [CrossRef] [PubMed]
- Melandri, S.; Evangelisti, L.; Canola, S.; Sa’adeh, H.; Calabrese, C.; Coreno, M.; Grazioli, C.; Prince, K.; Negri, F.; Maris, A. Chlorination and tautomerism: A computational and UPS/XPS study of 2-hydroxypyridine-2-pyridone equilibrium. Phys. Chem. Chem. Phys. 2020, 22, 13440–13455. [Google Scholar] [CrossRef]
- Tronc, M.; King, G.; Read, F. Carbon K-shell excitation in small molecules by high-resolution electron impact. J. Phys. B At. Mol. Phys. 1979, 12, 137–157. [Google Scholar] [CrossRef]
- Sodhi, R.; Brion, C. Reference energies for inner shell electron energy-loss spectroscopy. J. Electron Spectrosc. Relat. Phenom. 1984, 34, 363–372. [Google Scholar] [CrossRef]
- Wight, G.; Brion, C. K-Shell energy loss spectra of 2.5 keV electrons in CO2 and N2O. J. Electron Spectrosc. Relat. Phenom. 1974, 3, 191–205. [Google Scholar] [CrossRef]
- Ishii, I.; Hitchcock, A. A quantitative experimental study of the core excited electronic states of formamide, formic acid, and formyl fluoride. J. Chem. Phys. 1987, 87, 830–839. [Google Scholar] [CrossRef]
- Duflot, D.; Flament, J.P.; Walker, I.C.; Heinesch, J.; Hubin-Franskin, M.J. Core shell excitation of 2-propenal (acrolein) at the O 1s and C 1s edges: An experimental and ab initio study. J. Chem. Phys. 2003, 118, 1137–1145. [Google Scholar] [CrossRef]
- Ljubić, I.; Kivimäki, A.; Coreno, M. An experimental NEXAFS and computational TDDFT and ΔDFT study of the gas-phase core excitation spectra of nitroxide free radical TEMPO and its analogues. Phys. Chem. Chem. Phys. 2016, 18, 10207–10217. [Google Scholar] [CrossRef]
- Totani, R.; Ljubić, I.; Ciavardini, A.; Grazioli, C.; Galdenzi, F.; de Simone, M.; Coreno, M. Frontier orbital stability of nitroxyl organic radicals probed by means of inner shell resonantly enhanced valence band photoelectron spectroscopy. Phys. Chem. Chem. Phys. 2022, 24, 1993–2003. [Google Scholar] [CrossRef] [PubMed]













| / | /a.u. | /eV | C=C/Å | C-C/Å | C-N/Å | C=O/Å | CCC/ | CCO/ | CCN/ | ||
|---|---|---|---|---|---|---|---|---|---|---|---|
| B3LYP | 0 | −247.400743 | 0 | 1.327 | 1.493 | 1.366 | 1.219 | 121.1 | 114.5 | 123.4 | |
| 157 | −247.398607 | 0.06 | 1.328 | 1.491 | 1.367 | 1.220 | 126.2 | 117.2 | 120.6 | ||
| 64 | −247.058750 | 9.31 | 1.350 | 1.487 | 1.307 | 1.246 | 120.5 | 126.3 | 106.1 | ||
| (TS) | 0 | −247.049500 | 9.56 | 1.335 | 1.465 | 1.311 | 1.280 | 123.7 | 122.2 | 118.1 | |
| TD-B3LYP | 0 | −247.045674 | 9.66 | 1.403 | 1.508 | 1.329 | 1.22 | 118.3 | 116.8 | 118.0 | |
| B2PLYP | 0 | −247.204462 | 0 | 1.330 | 1.491 | 1.365 | 1.221 | 120.7 | 114.5 | 123.3 | |
| 156 | −247.202496 | 0.05 | 1.332 | 1.489 | 1.368 | 1.222 | 125.7 | 116.9 | 120.8 | ||
| 67 | −246.857625 | 9.44 | 1.356 | 1.486 | 1.308 | 1.240 | 119.7 | 127.4 | 103.5 | ||
| (TS) | 0 | −246.850666 | 9.63 | 1.337 | 1.459 | 1.309 | 1.287 | 122.8 | 118.4 | 122.6 | |
| MP2 | 0 | −246.852848 | 0 | 1.334 | 1.490 | 1.364 | 1.224 | 120.3 | 114.3 | 123.3 | |
| 154 | −246.851325 | 0.04 | 1.337 | 1.487 | 1.369 | 1.225 | 124.9 | 116.9 | 121.1 | ||
| 34 | −246.485231 | 10.00 | 1.343 | 1.457 | 1.304 | 1.286 | 120.1 | 124.7 | 114.3 | ||
| (TS) | 0 | −246.483791 | 10.04 | 1.326 | 1.453 | 1.305 | 1.297 | 121.3 | 118.8 | 123.1 |
| HF a | B3LYP b | B2PLYP c | SAC-CI d | P3 e | OVGF f | Exp. | |||||
|---|---|---|---|---|---|---|---|---|---|---|---|
| 1 | O(1s) | −558.27 | −519.67 | −535.80 | 537.99 | 0.79 | - | - | - | - | 537.22 |
| 2 | N(1s) | −424.19 | −390.48 | −404.55 | 406.77 | 0.78 | - | - | - | - | 405.97 |
| 3 | C1(1s) | −309.01 | −279.87 | −292.06 | 294.88 | 0.77 | - | - | - | - | 294.16 |
| 4 | C3(1s) | −306.24 | −277.45 | −289.42 | 291.79 | 0.75 | - | - | - | - | 291.03 |
| 5 | C2(1s) | −306.07 | −277.36 | −289.38 | 291.60 | 0.76 | - | - | - | - | 291.03 |
| 6 | −37.47 | −28.36 | −32.14 | 31.73 | 0.17 | - | - | - | - | 32.6 | |
| 7 | −33.05 | −24.90 | −28.30 | 27.26 | 0.14 | - | - | - | - | 28.3 | |
| 8 | −29.05 | −21.57 | −24.71 | 24.28 | 0.63 | - | - | - | - | 24.3 | |
| 9 | −23.91 | −17.81 | −20.37 | 20.55 | 0.83 | - | - | - | - | 20.6 | |
| 10 | −21.01 | −15.69 | −17.92 | 18.31 | 0.87 | 18.98 | 0.86 | 19.11 | 0.87 | 18.6 | |
| 11 | −19.61 | −14.65 | −16.74 | 17.37 | 0.89 | 17.95 | 0.87 | 18.04 | 0.88 | 17.6 | |
| 12 | −18.92 | −13.94 | −16.04 | 16.41 | 0.87 | 17.07 | 0.86 | 17.18 | 0.87 | 16.4/17.0 g | |
| 13 | −16.74 | −11.84 | −13.85 | 14.13 | 0.90 | 14.82 | 0.88 | 15.10 | 0.89 | 15.0 | |
| 14 | −16.27 | −11.76 | −13.69 | 14.18 | 0.90 | 14.86 | 0.89 | 14.77 | 0.90 | 14.63 | |
| 15 | −15.69 | −11.53 | −13.28 | 13.87 | 0.89 | 14.33 | 0.86 | 14.53 | 0.87 | 14.07 | |
| 16 | −14.75 | −10.44 | −12.23 | 12.76 | 0.91 | 13.48 | 0.89 | 13.58 | 0.90 | 13.17 | |
| 17 | −10.60 | −7.95 | −8.99 | 10.29 | 0.93 | 10.59 | 0.90 | 10.53 | 0.90 | 10.675 | |
| 18 | −11.35 | −7.69 | −9.25 | 9.71 | 0.91 | 10.33 | 0.88 | 10.44 | 0.89 | 10.296 | |
| 19 | −11.69 | −7.28 | −9.09 | 9.19 | 0.90 | 9.86 | 0.88 | 10.43 | 0.89 | 9.756 | |
| /cm | /meV | /cm | /meV | ||
|---|---|---|---|---|---|
| 260 | 32 | 0.272 | 183 | 23 | 0.018 |
| 456 | 57 | 0.326 | 235 | 29 | 0.004 |
| 550 | 68 | 0.083 | 305 | 38 | 0.854 |
| 873 | 108 | 0.106 | 467 | 58 | 0.003 |
| 1061 | 132 | 0.238 | 648 | 80 | 0.156 |
| 1078 | 134 | 0.038 | 835 | 104 | 0.088 |
| 1342 | 166 | 0.011 | 838 | 104 | 0.001 |
| 1444 | 179 | 1.011 | 1063 | 132 | 0.001 |
| 1481 | 184 | 0.028 | 1134 | 141 | 0.002 |
| 1584 | 196 | 0.247 | 1297 | 161 | 0.134 |
| 1689 | 209 | 0.046 | 1388 | 172 | 0.410 |
| 2200 | 273 | 0.003 | 1492 | 185 | 0.081 |
| Acrylamide | Formamide | Acrolein | C9H15N2O2 | |||
|---|---|---|---|---|---|---|
| (, ) | [45] | [46] | [48] | Assignment | ||
| C1 | 294.16 | 294.88 | 294.5 | - | 294.0 | |
| C2; C3 | 291.03 | 291.79; 291.60 | 290.7 | |||
| C (a) | 287.85/6.31 | 288.40/6.48 (6.8) | 288.1/6.4 | 286.10 | C1 * | |
| C (b) | 284.52/7.27 | 285.18/5.85 (6.0) | 284.19 | C3 * | ||
| C (c) | 284.27/7.33 | 284.97/6.06 (3.0) | 284.19 | C2 * | ||
| N | 405.97 | 406.77 | 406.5 | 405.9 | ||
| N (a) | 401.00/4.97 | 402.83/3.94 (1.0) | N * | |||
| N (b) | 401.70/4.27 | 402.59/4.18 (1.5) | 401.9/4.6 | 401.95/3.95 | N * | |
| N (c) | 402.87/3.10 | 404.01/2.76 (3.1) | 403.15/2.75 | N * | ||
| O | 537.22 | 537.99 | 537.7 | - | 536.9 | |
| O (a) | 531.14/6.08 | 532.30/5.69 (2.9) | 531.5/6.2 | 530.59 | 531.3/5.6 | O * |
| O (b) | 534.06/3.16 | 537.04/0.95 (0.6) | 533.57 | 534.3/3.0 | O * | |
![]() | ![]() | ![]() | ![]() | |||
| 1* | * | * | * | |||
Publisher’s Note: MDPI stays neutral with regard to jurisdictional claims in published maps and institutional affiliations. |
© 2022 by the authors. Licensee MDPI, Basel, Switzerland. This article is an open access article distributed under the terms and conditions of the Creative Commons Attribution (CC BY) license (https://creativecommons.org/licenses/by/4.0/).
Share and Cite
Evangelisti, L.; Melandri, S.; Negri, F.; Coreno, M.; Prince, K.C.; Maris, A. UPS, XPS, NEXAFS and Computational Investigation of Acrylamide Monomer. Photochem 2022, 2, 463-478. https://doi.org/10.3390/photochem2030032
Evangelisti L, Melandri S, Negri F, Coreno M, Prince KC, Maris A. UPS, XPS, NEXAFS and Computational Investigation of Acrylamide Monomer. Photochem. 2022; 2(3):463-478. https://doi.org/10.3390/photochem2030032
Chicago/Turabian StyleEvangelisti, Luca, Sonia Melandri, Fabrizia Negri, Marcello Coreno, Kevin C. Prince, and Assimo Maris. 2022. "UPS, XPS, NEXAFS and Computational Investigation of Acrylamide Monomer" Photochem 2, no. 3: 463-478. https://doi.org/10.3390/photochem2030032
APA StyleEvangelisti, L., Melandri, S., Negri, F., Coreno, M., Prince, K. C., & Maris, A. (2022). UPS, XPS, NEXAFS and Computational Investigation of Acrylamide Monomer. Photochem, 2(3), 463-478. https://doi.org/10.3390/photochem2030032





