Next Article in Journal
UV-Vis Spectrophotometer as an Alternative Technique for the Determination of Hydroquinone in Vinyl Acetate Monomer
Previous Article in Journal
Conformational Structure, Infrared Spectra and Light-Induced Transformations of Thymol Isolated in Noble Gas Cryomatrices
Previous Article in Special Issue
Autofluorescence Spectroscopy and Imaging II: A Special Issue Aimed to Promote Optically Based Studies on Biological Substrates
 
 
Font Type:
Arial Georgia Verdana
Font Size:
Aa Aa Aa
Line Spacing:
Column Width:
Background:
Article

Fluorescence and Phosphorescence of Flavylium Cation Analogues of Anthocyanins

by
Gustavo T. M. Silva
1,†,
Cassio P. Silva
1,†,
Karen M. Silva
1,2,
Renan M. Pioli
1,
Tássia S. Costa
3,
Vinícius V. Marto
3,
Adilson A. Freitas
4,
Jennifer Rozendo
1,
Lucas M. O. S. Martins
1,
Victor F. Cavalcante
1,
Liuqing Sun
5,
Adelia J. A. Aquino
5,6,
Vânia M. T. Carneiro
3 and
Frank H. Quina
1,*
1
Instituto de Química, Universidade de São Paulo, Avenida Lineu Prestes 748, São Paulo 05508-900, Brazil
2
Instituto Federal de Educação, Ciência e Tecnologia de São Paulo, São Paulo 01109-010, Brazil
3
Departamento de Química, Universidade Federal de Viçosa, Viçosa 36570-900, Brazil
4
Centro de Química Estrutural, Instituto Superior Técnico, Universidade de Lisboa, 1049001 Lisbon, Portugal
5
School of Pharmaceutical Science and Technology, Tianjin University, Tianjin 300072, China
6
Department of Mechanical Engineering, Texas Tech University, Lubbock, TX 79409, USA
*
Author to whom correspondence should be addressed.
These authors contributed equally to this work.
Photochem 2022, 2(2), 423-434; https://doi.org/10.3390/photochem2020029
Submission received: 30 April 2022 / Revised: 31 May 2022 / Accepted: 6 June 2022 / Published: 8 June 2022
(This article belongs to the Special Issue Autofluorescence Spectroscopy and Imaging II)

Abstract

:
Fluorescence spectra and lifetimes were determined for 16 synthetic flavylium cation analogues of anthocyanin plant pigments in dry acetonitrile acidified with trifluoroacetic acid (TFA). Phosphorescence was also observed from the lowest excited triplet state for all of the flavylium cations at 77 K in a rigid TFA-acidified isopropanol glass. The fluorescence quantum yields and lifetimes depend in a systematic manner on the nature and position of the substituents on the flavylium chromophore and three specific substitution patterns associated with significant decreases in the fluorescence quantum yield were identified. A 4′-bromo or 4′-iodo substituent in the B-ring of the flavylium cation produced a small but normal heavy-atom effect, reducing the fluorescence quantum yield and the phosphorescence lifetime relative to analogues without the halogen atom. In contrast, three flavylium cations with a 3′-bromo substituent exhibited an “inverse” heavy atom effect, i.e., an increase in the fluorescence quantum yield rather than a decrease, which was rationalized on the basis of the nodal properties of the natural transition orbitals (NTOs) involved in the S0→S1 radiative transition.

1. Introduction

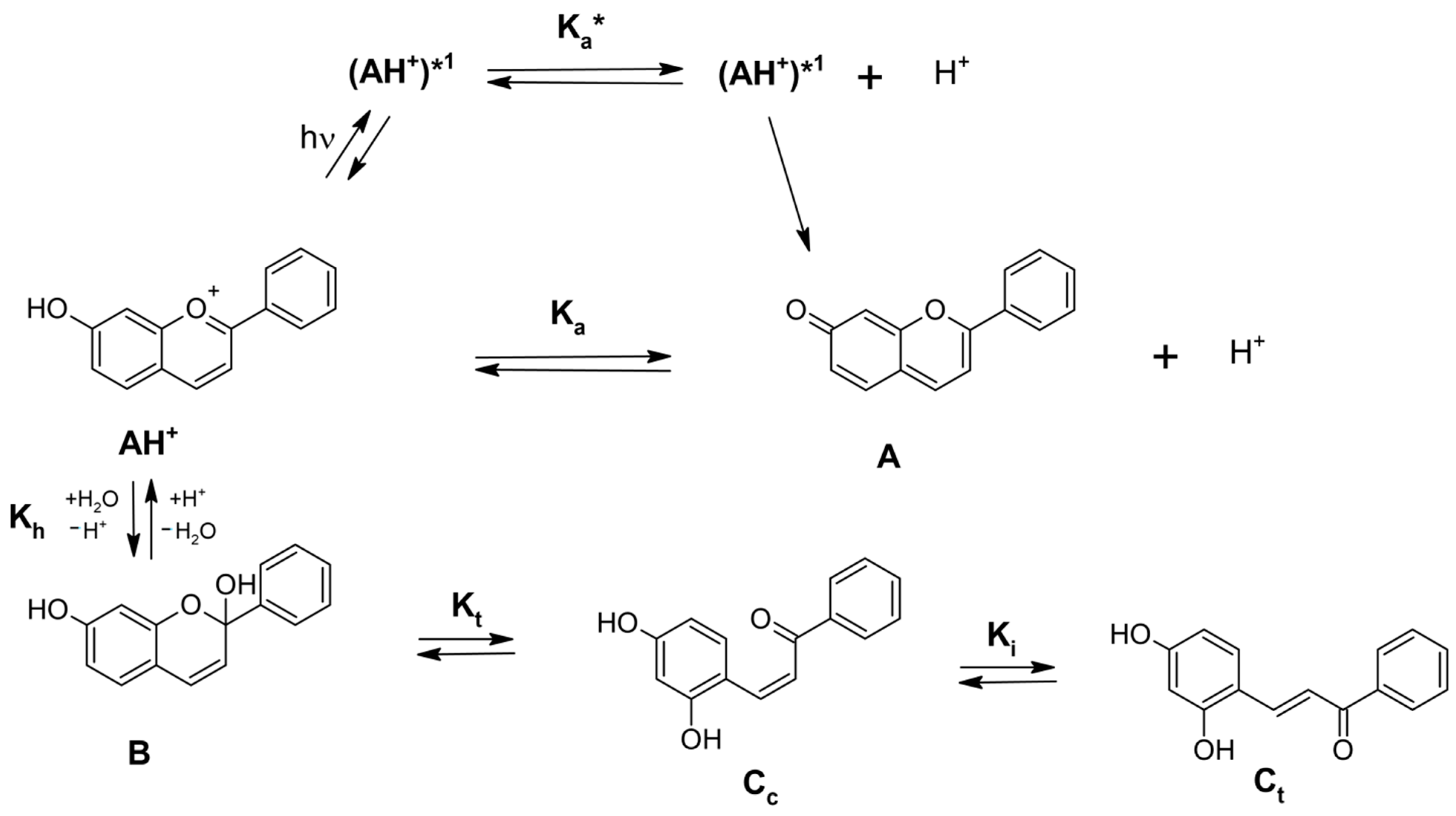
The anthocyanins, the natural pigments responsible for most of the red, blue and purple colors of flowers fruits and leaves of plants, are flavylium cations [1,2,3,4] whose chemical structures differ primarily in the number of hydroxyl or methoxy substituents in the B-ring and the nature of the 3-O- and 5-O-glycosylation of the OH groups in the C- and A-rings (Scheme 1). Much of the current understanding of the complex pH-dependent chemistry of natural anthocyanins has been derived from studies of simple synthetic flavylium cations, whose chemistry often mimics that of their natural counterparts [1,2,3,4,5,6]. Thus, as indicated in Scheme 2, in aqueous solution at strongly acidic pH, the visibly colored flavylium cation form (AH+) is the predominant species present. Above about pH 3, however, a nucleophilic attack of water produces the hemiketal that in turn can ring open and isomerize to the corresponding (E)- and (Z)-chalcones, resulting in a near colorless equilibrium mixture of these species at neutral pH [1,2,3,4]. The concurrent acid-base chemistry of anthocyanins, forming the neutral conjugated base A, can be investigated by employing fast kinetic methods [1,4,5].
In contrast to the natural pigments, however, the structure and substituents of synthetic flavylium cations can be manipulated to control or eliminate parts of this complex reactivity. For example, the introduction of a 4-methyl group into the structure blocks the nucleophilic attack by water and subsequent loss of color, while methylation blocks the acid-base chemistry of OH groups. Thus, in the 7-methoxy-4-methylflavylium cation (FL1, Scheme 3), all the pH-dependent anthocyanin-like ground- and excited-state reactivity of the AH+ form is effectively blocked by introducing only two substituents into the flavylium chromophore [6]. At the same time, because the loss of color of natural anthocyanins at neutral pH limits the wider application of anthocyanins as coloring agents, synthetic flavylium cations serve as surrogates for investigating strategies for the stabilization of the color, such as copigmentation with organic molecules or inorganic cations, adsorption on clays or encapsulation to exclude contact with water [7,8,9,10,11,12,13,14,15,16,17].
Natural anthocyanins fluoresce only weakly if at all in aqueous solution, which has been attributed primarily to ultrafast excited state proton transfer (ESPT) to water on a picosecond time scale [5]. Analogous ultrafast proton transfer occurs with simple synthetic hydroxyflavylium cations, such as the 7-hydroxy-4-methyl-flavylium cation (FL2, Scheme 3), which has a fluorescence lifetime of ca. 5 ps in aqueous solution determined by the rate of adiabatic ESPT to water [18,19]. Ground-state copigmentation complexes of anthocyanins and synthetic flavylium cations with colorless organic molecules such as electron-rich cinnamic or benzoic acid derivatives are non-fluorescent due to sub-ps (probably charge-transfer mediated) decay back to the ground state [7,20,21]. Both of these decay routes provide efficient non-deleterious dissipation of the absorbed light energy and substantiate the proposed in vivo photoprotective role of free and copigmented anthocyanins in plants [2,18,21]. In contrast to the excited singlet state photophysics of anthocyanins and flavylium cations, little is known about the excited triplet states of flavylium cations, in large part due to the absence of clear evidence thus far for triplet state formation in solution.
In the present work, we report a comparative investigation of the fluorescence properties of 16 synthetic flavylium cations (Scheme 3) in dry acetonitrile acidified with trifluoroacetic acid (TFA) to suppress ESPT, together with the phosphorescence of these same compounds in a rigid TFA-acidified isopropanol glass at 77 K. Under these conditions, ESPT of the 10 compounds with OH substituents is suppressed in the excited singlet state and all 16 of the flavylium cations exhibit detectable phosphorescence, providing the first systematic information on the energies and emissive properties of the excited triplet states of flavylium cations. Particularly interesting are the distinct effects of heavy-atom substitution at the 3′- or 4′-positions of the B-ring, which can be rationalized on the basis of the nodal properties of the natural transition orbitals (NTOs) involved in the S0→S1 radiative transition.

2. Materials and Methods

All reagents were obtained from commercial sources and used without further purification unless otherwise stated. Trifluoroacetic acid (TFA, Sigma-Aldrich, Darmstadt, Germany, 9%) and isopropanol (Merck p.a., Darmstadt, Germany) were used as received. Acetonitrile (Merck p.a.) was dried by distillation from calcium hydride. Ethyl acetate was dried over molecular sieves (4Å). 1-(3-Bromo-4-methoxyphenyl)butane-1,3-dione, 1-(4-bromophenyl)butane-1,3-dione and 1-(4-iodophenyl)butane-1,3-dione were prepared by Claisen condensations of ethyl acetate with 3-bromo-4-methoxyacetophenone, 4-bromoacetophenone or 4-iodoacetophenone, respectively [22,23,24]. The 4-methyl flavylium chlorides (FL1, FL2, FL7–FL12, FL15 and FL16) were synthesized by HCl-catalyzed condensations between the corresponding phenol and the appropriate 1-arylbutane-1,3-dione [25,26]. The flavylium chlorides without a methyl group at the C4-position (FL3–FL6, FL13 and FL14) were obtained by HCl-catalyzed condensation of the corresponding o-hydroxybenzaldehyde and acetophenone derivatives [27,28]. FL1–FL8 and FL11–FL13 are known compounds [4,5,14,25,29,30,31,32,33,34].
The flavylium salts were characterized on the basis of 1H and 13C NMR spectra recorded at 500 or 300 and 125 or 75 MHz, respectively, and are reported in parts per million (ppm) downfield from the solvent acetonitrile-d3 (CD3CN; δ 1.94 for 1H NMR and δ 118.69 and 1.39 for 13C NMR; Sigma-Aldrich) or methanol-d4 (MeOD; δ 3.31 for 1H NMR and δ 49.15 for 13C NMR; Sigma-Aldrich) containing 1% deuterium chloride (DCl, Sigma-Aldrich) or 1% deutero trifluoroacetic acid (TFA-d1; Sigma-Aldrich). The signal of the residual water in methanol (δ 4.70 in the 1H NMR) was suppressed using the ZGPR pulse sequence. Multiplicities are indicated as s (singlet), br s (broad singlet), d (doublet), t (triplet), m (multiplet), and dd (double of doublets). After an initial check of purity by unit resolution mass spectrometry (Bruker amaZon SL ion trap, Brucker, Bremen, Germany), high-resolution mass spectra (HRMS) were determined by electrospray ionization time of flight (ESI-TOF) at the Central Analytical Facility of the Institute of Chemistry of the Universidade de São Paulo (CA-IQ-USP). The NMR and high-resolution mass spectral data for the known compounds (FL1–FL8 and FL11–FL13) [4,5,14,25,29,30,31,32,33,34] were fully consistent with those reported in the literature. The corresponding spectral and analytical data for the previously unknown flavylium salts are provided in the Supplementary Materials.
UV-Vis absorbance spectra were measured with a Varian Cary 50 UV-vis Bio spectrophotometer. A 30 μL aliquot of a stock solution of the flavylium cation in methanol was added to 2.00 mL of buffer solution of the desired pH in a 1.00 cm path length absorbance. The solution pH was controlled with HCl for pH < 3, 0.010 mol L−1 acetate buffer for pH 3–6 and 0.010 mol L−1 phosphate buffer for pH 6–8.5. Ground-state equilibrium constants for deprotonation (pKa) of the compounds with OH groups in aqueous solution were determined from absorption spectral changes within 5 s. The pH dependence of the loss of color of the AH+ form of the flavylium cations without a 4-methyl substituent due to hydration and chalcone formation (Scheme 2) was determined after 1 h equilibration in the dark. The corresponding apparent equilibrium constant [pKap = log (Ka + Kh + KhKt + KhKtKi)] for color loss is a composite function of the set of ground-state equilibrium constants in Scheme 2.
Steady-state measurements of fluorescence at room temperature (ca. 20 °C) were performed with a Hitachi F-4500 fluorescence spectrophotometer. Solutions in dry, air-equilibrated acetonitrile containing 0.10 mol dm3 TFA (to suppress ESPT) were contained in 1.00 cm path length fluorescence cuvettes at room temperature, and spectra were corrected for the detector response. Fluorescence quantum yields were determined at room temperature relative to an appropriate reference compound from the ratio of areas of the fluorescence spectra of solutions with matched absorbances at the excitation wavelength (typically ca. 0.3 cm−1, corresponding to concentrations of the flavylium cations of the order of 10−5 mol L−1) and were corrected for refractive index when different solvents were employed. Fluorescein (Sigma-Aldrich) in 0.10 mol L−1 sodium hydroxide (Sigma-Aldrich) was utilized as standard (Φf = 0.95) [35] for FL14–FL16 and coumarin-151 in acetonitrile (Φf = 0.57) [36] for FL1–FL8. The fluorescence quantum yields of the poorly emitting compounds (FL9–FL13) were determined by using FL5 in dry acidified acetonitrile as the reference. Fluorescence decays were measured in dry air-equilibrated acetonitrile solutions containing 0.10 mol L−1 TFA by the time-correlated single-photon counting technique using a Spectra Physics Millennia Xs/Tsunami pumping system described elsewhere [19]. The laser excitation pulse (402 or 410 nm) and sample fluorescence emissions (480–585 nm) were collected at the magic angle (54.7°) using automatic alternate measurements of pulse and sample (1000 counts in the maximum channel per cycle) until a total of 5000 counts had been collected at the maximum. The instrument response function (IRF), measured at 1.53 ps/channel, was 25 ps (full width at half-maximum, fwhm). Lifetimes of FL14–FL16 were determined by single photon counting, employing an Edinburgh Instruments FLS 980 lifetime spectrometer (Edinburgh EPLED-340 nm diode excitation at 335 nm); the lifetimes of FL1–FL3 and FL6–FL8 measured with this latter system were within the experimental error of those determined with ps time resolution. In all cases, the lifetimes could be adequately fit to single exponential decays based on chi-squared values and plots of residuals. Phosphorescence emission spectra were determined at 77 K (liquid nitrogen temperature), employing a Hitachi F-4500 fluorescence spectrophotometer equipped with a phosphorescence accessory with a quartz Dewar. Solutions of the flavylium cations in isopropanol with 0.10 mol L−1 TFA, contained in 5 mm diameter stoppered NMR tubes (Sigma-Aldrich), were rapidly cooled to 77 K to obtain a rigid glass. Phosphorescence lifetimes were determined from single exponential fits of the temporal decay of the phosphorescence intensity. Excitation and emission bandwidths varied between 2.5 nm and 20.0 nm, depending on sample emission intensity.
The quantum chemical calculations were performed as in previous work [10,37] with the Turbomole [38] program suite employing the def2-TZVP triple zeta valence polarization basis set [39]. Full geometry optimization of the flavylium cations in the ground state (S0) was carried out in the gas phase using second-order Møller–Plesset perturbation theory (MP2) [40]. The calculations were performed using the algebraic diagrammatic construction method to second order (ADC(2)) [41]. The MP2 and ADC(2) approaches were combined with the resolution of the identity (RI) [42] method, allowing computationally efficient calculations. The Ring-B to Rings-A/C charge transfer contributions, q(CT), of the excited states and the natural transition orbitals (NTOs) [43] for the S0 to S1 transition were evaluated and visualized with the TheoDORE package [44,45]. The conductor-like screening model (COSMO) [46] as implemented in Turbomole was used to simulate the effects of an acetonitrile environment.

3. Results and Discussion

Table 1 and Figures S1–S13 of the Supplementary Information summarize the pKa and pKap values determined from the pH-dependent multistate reactivity of the flavylium cations in aqueous solution. The six flavylium cations without a 4-methyl group (FL3–FL6 and FL13–FL14) undergo hydration with pKap values in the range of 3.3 ± 0.4, while the 10 flavylium cations with hydroxyl substituents (FL2–FL5, FL7, FL9–FL12, FL15) are weak acids and deprotonate to the neutral conjugate base with pKa values in the range of 4.5 ± 0.5. Both of these are typical values for flavylium cations of this type, as indicated in the extensive data compilation of Pina et al. [4]. The four dihydroxy flavylium cations (FL9–FL12) exhibit a second deprotonation at ca. 3–4 pK units higher than the first pKa, while the absorption spectra of the three flavylium cations with a 4-methyl group and no hydroxyl substituent (FL1, FL8 and FL16) are insensitive to the medium pH up to at least pH 7.
Because hydroxyflavylium cations are relatively strong photoacids, with excited state pKa*s (Scheme 2) in the range of ca. −1 to 0, their photophysics in aqueous solution is overwhelmingly dominated by the rate of adiabatic excited state proton transfer (ESPT) to water, resulting in weak fluorescence from both the cation and the neutral conjugate base with picosecond timescale singlet lifetimes [2,5,6,18,19]. Since it was of interest in this work to examine the intrinsic effects of substituents in the absence of ESPT, fluorescence quantum yields and lifetimes were determined (Table 2) in dry acetonitrile acidified with 0.10 mol L−1 trifluoroacetic acid (TFA) to suppress ESPT [47] in the 10 hydroxyflavylium cations and permit comparison of the results with those of the six flavylium cations without hydroxyl substituents. The absence of water and the acidity of the medium also eliminate the possibility of interference from hydration in the ground state. The fact that ESPT is efficiently suppressed in dry acidified acetonitrile is clearly indicated by the lack of observable fluorescence from the conjugate base form of the hydroxyflavylium cations. Moreover, the fluorescence lifetime of FL2 increases 500-fold from ca. 5 ps in aqueous acid [48] to 2.6 ns in dry acidic acetonitrile, only a factor of two shorter than the lifetime of the 7-methoxy analogue FL1 (Table 2). Likewise, phosphorescence emission spectra and lifetimes (Table 2 and normalized spectra in Figure 1) were determined in the weakly basic solvent isopropanol acidified with 0.10 mol L−1 TFA, which forms rigid, optically-transparent glasses upon rapid cooling to 77 K in liquid nitrogen.
Despite the restricted number of compounds, the fluorescence data point to some interesting relationships to the substitution patterns of the flavylium cation chromophore. Thus, in the pairs of compounds FL1–FL2, FL3–FL6 and FL7–FL8 the replacement of a 7-methoxy substituent by a 7-hydroxy group results in only a relatively modest change (a factor of two or less) in the fluorescence quantum yields and lifetimes with no effect within experimental error on the fluorescence rate constants of the pair. In contrast, in the pairs FL3–FL5 and FL6–FL4, replacement of a 4′-methoxy substituent by a 4′-hydroxy group results in an almost 10-fold decrease in the fluorescence quantum yield and lifetime, while in the pairs FL2–FL11 and FL7–FL12 the introduction of an additional 5-hydroxy group on Ring-A provokes a large two orders-of-magnitude decrease in the fluorescence quantum yield. For FL12, the fluorescence quantum yield together with an estimate of ca. 1 × 108 s−1 for the fluorescence rate constant (based on the similarity of εmax to that of FL2; Table 1) provides an estimate of about 50 ps for the fluorescence lifetime of FL12 in dry acidified acetonitrile.
Compared to FL6, the introduction of a second methoxy group at position 3′ of Ring-B in compound FL13 results in a 200-fold decrease in the fluorescence quantum yield. In this case, the ADC(2)/def2-TZVP quantum chemical calculations suggest that the more electron-rich B-ring of FL13 promotes the relaxation of the locally excited singlet state to a charge transfer state with a substantial out-of-plane rotation of the B-ring relative to the C-ring (Tables S1 and S2 of the Supplementary Information). Indeed, the fluorescence intensity of FL13 increases markedly upon inclusion into cucurbit [7] uril [14] or upon adsorption onto clays [12,49,50], both of which presumably stabilize the more planar locally excited state relative to the twisted charge transfer state.
As mentioned in the Introduction, virtually nothing is known at present about triplet state formation upon excitation of flavylium cations or anthocyanins in fluid solution. However, at 77 K in a rigid isopropanol glass, all 16 of the flavylium cations exhibited detectable phosphorescence. The S1-T1 singlet-triplet splittings fall in the range of 0.54 ± 0.6 eV for most of the compounds, but are about 0.2 eV smaller (0.33 ± 0.5 eV) for the compounds with hydroxyl groups at positions 5 and 7. Both S1 and T1 are π, π* states and the results of ADC(2) calculations on a variety of other flavylium cations suggest that T2 of substituted flavylium cations is always higher in energy than S1 by at least 0.1 eV. Intersystem crossing should thus occur from S1 to T1 without the intermediacy of upper triplet states and with a relatively small rate constant [51,52,53]. In view of the relatively short singlet lifetimes, intersystem crossing should indeed be fairly inefficient, especially for hydroxyflavylium cations in aqueous solution where ESPT is fast and dominates the photoreactivity.
In order to examine the effects of heavy-atom perturbations on intersystem crossing and phosphorescence [52,53,54,55] in the singlet and triplet manifolds of the flavylium cation chromophore, five heavy-atom containing analogues were prepared: the 4′-bromo derivative FL9, the 4′-iodo derivative FL10 and three 3’-bromo derivatives FL14–FL16. The flavylium cations without a heavy-atom substituent exhibit phosphorescence lifetimes in the range of 0.3–2.4 s with no immediately obvious dependence on the substitution pattern of the molecules. As expected, the phosphorescence lifetimes of the four bromo derivatives are somewhat shorter (0.07–0.10 s) than those of the analogues without the bromine substituent, while that of the 4′-iodo derivative (0.009 s) is the shortest of all of the compounds investigated. In retrospect, the structures of FL9 and FL10, which were dictated by the most expeditious synthetic route based on available commercial starting materials, are less than optimal because of the efficient competitive deactivation of S1 associated with hydroxyl groups at positions 5 and 7 of the A-ring. Nonetheless, the fluorescence quantum yields are somewhat smaller than those of FL12, consistent with the expected heavy-atom effect.
The completely unexpected result was the “inverse” heavy-atom effect on the fluorescence of all three 3′-bromo derivatives. Thus, comparing the pairs FL6–FL14, FL8–FL15 and FL8–FL16, the introduction of a 3′-bromo substituent results in a notable increase of the fluorescence quantum yield rather than the anticipated decrease, associated in large part with an increase in the fluorescence rate constant, kf. Furthermore, as indicated by comparing the fluorescence properties of FL13 and FL14 (Table 2), the consequences of introducing an electron-withdrawing 3′-bromo group are clearly distinct from that of introducing an electron-donating methoxy group. A rationale for the lack of the expected heavy-atom effect in FL14–FL16 is provided by a consideration of the HOMO→LUMO-dominated (>90%) natural transition orbitals (NTOs) for the S0→S1 radiative transitions shown in Figure 2. In all four compounds, the excitation shifts electron density from the A-and B-rings into the C-ring, consistent with the enhanced photoacidity of 7-hydroxy substituents of flavylium cations that is manifested in aqueous solution [56]. More important in the present context is the existence of a node at carbons 3′ and 5′ in the particle NTO (i.e., in the LUMO). Despite the potential limitations of inferences based on spin-free NTOs [57], a node through the 3′-carbon and the attached bromine atom in compounds FL14–FL16 presumably precludes significant mixing of the spin-orbit coupling on the bromine atom into the excited states of the flavylium chromophore. As a result, rather than producing a heavy-atom perturbation of intersystem crossing, the 3′ bromine atom is relegated to the more mundane non-relativistic role of a simple electron-withdrawing substituent on the B-ring.

4. Conclusions

The fluorescence properties of a series of non-heavy-atom substituted flavylium cations are consistent with four substitution patterns or motifs that are representative of those found in naturally occurring anthocyanins: (1) in the absence of ESPT, compounds such as FL1 and FL2 are reasonably fluorescent and 7-hydroxy and 7-methoxy substituents are similar; (2) In contrast, the introduction of a 4′-OH group reduces the fluorescence quantum yield and lifetime by nearly an order of magnitude relative to FL1; (3) a 5,7-dihydroxy motif in Ring-A of flavylium cations with a 4-methyl group reduces the fluorescence quantum yield relative to FL1 by at least two orders of magnitude; (4) the electron rich 3′,4′-dimethoxy motif in ring-B promotes formation of a weakly emissive non-planar charge transfer S1 state. Because natural anthocyanins themselves are only very weakly fluorescent in acidic aqueous solution, the presumption [2,6,18] has been that ESPT to water is largely responsible for the ca. 20 ps fluorescence lifetimes of the flavylium cation form of the anthocyanins in aqueous solution [5]. However, the present results suggest that intrinsic deactivation pathways associated with the hydroxyl groups at positions 4′, 5 and 7 of naturally occurring anthocyanins (Scheme 1) may compete favorably with ESPT. Independent of their origin, the net result is that the deactivation routes of the excited singlet state of anthocyanins are highly efficient and consistent with the photoprotection hypothesis as their primary biological role in plant leaves [2,6,18].
The present results also provide the first systematic evidence for the formation of excited triplet states of flavylium cations, albeit from phosphorescence in a rigid glass at 77 K rather than in fluid solution. However, because the triplet state energies are now known from phosphorescence, photosensitization [58] can potentially be employed to populate and investigate the photoreactivity of flavylium cations in the triplet manifold. Interestingly, flavylium cations appear to be rather insensitive to heavy atom substitution in the B-ring. Indeed, the introduction of a 3′-bromine substituent on the B-ring produced an increase in fluorescence rather than the expected heavy-atom perturbation of S1, a result attributed to the presence of a node at the 3′-carbon and the bromine atom in the particle NTO of the flavylium cation. This suggests that the introduction of a non-heavy atom substituent such as a nitrile group at the 3′- and/or 5′-carbons of a compound like FL8 with a 4-alkyl substituent and no OH groups could be a potential strategy for producing stable, highly fluorescent flavylium cation-based dyes and pigments with relatively pH-insensitive colors.

Supplementary Materials

The following supporting information can be downloaded at: https://www.mdpi.com/article/10.3390/photochem2020029/s1, Characterization data of the new compounds; Figures S1–S13. Spectral changes as a function of pH and determination of the pKap and/or pKa of FL2–FL7 and FL9–FL15. Table S1: Vertical excitation energies E (in eV and in nm), oscillator strength f and the charge transfer character q(CT) (in units of e) by ADC(2)/def2-TZVP in the gas phase and in COSMO acetonitrile of the five lowest energy excited singlet states of selected flavylium cations; Table S2: ADC(2)/def2-TZVP vertical absorption and adiabatic and vertical fluorescence emission energies (eV) for the S1 state and changes in the Ring-B/Ring-C dihedral angle between S0 and S1 in the gas phase.

Author Contributions

Conceptualization, G.T.M.S., C.P.S. and F.H.Q.; Methodology, G.T.M.S., C.P.S., A.J.A.A., V.M.T.C. and F.H.Q.; Validation, G.T.M.S. and C.P.S.; Formal Analysis, G.T.M.S., C.P.S., R.M.P., A.A.F., L.M.O.S.M., V.M.T.C. and F.H.Q.; Investigation, G.T.M.S., C.P.S., K.M.S., R.M.P., T.S.C., V.V.M., A.A.F., J.R., L.M.O.S.M., V.F.C. and L.S.; Resources, A.J.A.A., V.M.T.C. and F.H.Q.; Writing—Original Draft Preparation, F.H.Q.; Writing-Review and Editing, G.T.M.S. and F.H.Q.; Visualization, G.T.M.S. and F.H.Q.; Supervision, F.H.Q.; Project Administration, F.H.Q.; Funding Acquisition, F.H.Q. All authors have read and agreed to the published version of the manuscript.

Funding

The Brazilian authors thank the CNPq (INCT-Catalise: 465454/2014-3; 444061/2018-5 and Universal: 408181/2016-3 and 407774/2021-1) and FAPEMIG (CEX-APQ-00321-15) for support, the CNPq for a research productivity fellowship (F.H.Q.) and the Coordenação de Aperfeiçoamento de Pessoal de Nível Superior (CAPES, Finance Code 001) for fellowships (G.T.M.S., R.M.P., K.M.S., T.S.C., V.V.M., J.R., L.M.O.S.M., V.F.C.). A.A.F. thanks the Fundacão para a Ciência e Tecnologia, FCT/MCTES, Portugal, for financial support through CEEC contracts (IST-ID/93/2018) and project PTDC/QUI-QFI/29527/2017. We are grateful for generous support by the School of Pharmaceutical Science and Technology, Tianjin University, China for computer time on the SPST computer cluster Arran. Unit resolution mass spectrograms were graciously provided by the IQ-USP multiuser mass spectroscopy facility coordinated by Dr. Thiago C. Correra (FAPESP 2015/08539-1).

Data Availability Statement

The data presented in this study are available on request from the corresponding author.

Conflicts of Interest

The authors declare no conflict of interest.

References

  1. Cruz, L.; Basílio, N.; Mateus, N.; De Freitas, V.; Pina, F. Natural and Synthetic Flavylium-Based Dyes: The Chemistry behind the Color. Chem. Rev. 2022, 122, 1416–1481. [Google Scholar] [CrossRef] [PubMed]
  2. Quina, F.H.; Bastos, E.L. Chemistry Inspired by the Colors of Fruits, Flowers and Wine. An. Acad. Bras. Cienc. 2018, 90, 681–695. [Google Scholar] [CrossRef] [PubMed]
  3. Pina, F.; Alejo-armijo, A.; Clemente, A.; Mendoza, J.; Seco, A.; Basílio, N.; Parola, A.J. Evolution of Flavylium-based Color Systems in Plants: What Physical Chemistry Can Tell Us. Int. J. Mol. Sci. 2021, 22, 3833. [Google Scholar] [CrossRef]
  4. Pina, F.; Melo, M.J.; Laia, C.A.T.; Parola, A.J.; Lima, J.C. Chemistry and Applications of Flavylium Compounds: A Handful of Colours. Chem. Soc. Rev. 2012, 41, 869–908. [Google Scholar] [CrossRef] [PubMed]
  5. Moreira, P.F.; Giestas, L.; Yihwa, C.; Vautier-Giongo, C.; Quina, F.H.; Maçanita, A.L.; Lima, J.C. Ground- and Excited-State Proton Transfer in Anthocyanins: From Weak Acids to Superphotoacids. J. Phys. Chem. A 2003, 107, 4203–4210. [Google Scholar] [CrossRef]
  6. Silva, V.O.; Freitas, A.A.; Maçanita, A.L.; Quina, F.H. Chemistry and Photochemistry of Natural Plant Pigments: The Anthocyanins. J. Phys. Org. Chem. 2016, 29, 594–599. [Google Scholar] [CrossRef]
  7. Trouillas, P.; Sancho-García, J.C.; De Freitas, V.; Gierschner, J.; Otyepka, M.; Dangles, O. Stabilizing and Modulating Color by Copigmentation: Insights from Theory and Experiment. Chem. Rev. 2016, 116, 4937–4982. [Google Scholar] [CrossRef] [Green Version]
  8. Cortez, R.; Luna-Vital, D.A.; Margulis, D.; Gonzalez de Mejia, E. Natural Pigments: Stabilization Methods of Anthocyanins for Food Applications. Compr. Rev. Food Sci. Food Saf. 2017, 16, 180–198. [Google Scholar] [CrossRef]
  9. Oancea, S. A Review of the Current Knowledge of Thermal Stability of Anthocyanins and Approaches to Their Stabilization to Heat. Antioxidants 2021, 10, 1337. [Google Scholar] [CrossRef]
  10. He, J.; Li, X.; Silva, G.T.M.; Quina, F.H.; Aquino, A.J.A. Quantum Chemical Investigation of the Intramolecular Copigmentation Complex of an Acylated Anthocyanin. J. Braz. Chem. Soc. 2019, 30, 492–498. [Google Scholar] [CrossRef]
  11. Yoshida, K.; Mori, M.; Kondo, T. Blue Flower Color Development by Anthocyanins: From Chemical Structure to Cell Physiology. Nat. Prod. Rep. 2009, 26, 884–915. [Google Scholar] [CrossRef] [PubMed]
  12. Silva, G.T.M.; Silva, K.M.; Silva, C.P.; Gonçalves, J.M.; Quina, F.H. Hybrid Pigments from Anthocyanin Analogues and Synthetic Clay Minerals. ACS Omega 2020, 5, 26592–26600. [Google Scholar] [CrossRef] [PubMed]
  13. Li, S.; Mu, B.; Wang, X.; Kang, Y.; Wang, A. A Comparative Study on Color Stability of Anthocyanin Hybrid Pigments Derived from 1D and 2D Clay Minerals. Materials 2019, 12, 3287. [Google Scholar] [CrossRef] [PubMed] [Green Version]
  14. Held, B.; Tang, H.; Natarajan, P.; Da Silva, C.P.; De Oliveira Silva, V.; Bohne, C.; Quina, F.H. Cucurbit[7]Uril Inclusion Complexation as a Supramolecular Strategy for Color Stabilization of Anthocyanin Model Compounds. Photochem. Photobiol. Sci. 2016, 15, 752–757. [Google Scholar] [CrossRef] [Green Version]
  15. Basílio, N.; Pina, F. Chemistry and Photochemistry of Anthocyanins and Related Compounds: A Thermodynamic and Kinetic Approach. Molecules 2016, 21, 1502. [Google Scholar] [CrossRef]
  16. Pradhan, P.C.; Mandal, A.; Dutta, A.; Sarkar, R.; Kundu, A.; Saha, S. Delineating the Behavior of Berberis Anthocyanin/β-Cyclodextrin Inclusion Complex in Vitro: A Molecular Dynamics Approach. LWT 2022, 157, 113090. [Google Scholar] [CrossRef]
  17. Micó-Vicent, B.; Ramos, M.; Viqueira, V.; Luzi, F.; Dominici, F.; Terenzi, A.; Maron, E.; Hamzaoui, M.; Kohnen, S.; Torre, L.; et al. Anthocyanin Hybrid Nanopigments from Pomegranate Waste: Colour, Thermomechanical Stability and Environmental Impact of Polyester-Based Bionanocomposites. Polymers 2021, 13, 1966. [Google Scholar] [CrossRef]
  18. Quina, F.H.; Moreira, P.F.; Vautier-Giongo, C.; Rettori, D.; Rodrigues, R.F.; Freitas, A.A.; Silva, P.F.; Maçanita, A.L. Photochemistry of Anthocyanins and Their Biological Role in Plant Tissues. Pure Appl. Chem. 2009, 81, 1687–1694. [Google Scholar] [CrossRef]
  19. Freitas, A.A.; Quina, F.H.; Fernandes, A.C.; Maçanita, A.A.L. Picosecond Dynamics of the Prototropic Reactions of 7-Hydroxyflavylium Photoacids Anchored at an Anionic Micellar Surface. J. Phys. Chem. A 2010, 114, 4188–4196. [Google Scholar] [CrossRef]
  20. Ferreira da Silva, P.; Lima, J.C.; Freitas, A.A.; Shimizu, K.; Maçanita, A.L.; Quina, F.H. Charge-Transfer Complexation as a General Phenomenon in the Copigmentation of Anthocyanins. J. Phys. Chem. A 2005, 109, 7329–7338. [Google Scholar] [CrossRef]
  21. Rodrigues, R.F.; Da Silva, P.F.; Shimizu, K.; Freitas, A.A.; Kovalenko, S.A.; Ernsting, N.P.; Quina, F.H.; Maçanita, A. Ultrafast Internal Conversion in a Model Anthocyanin-Polyphenol Complex: Implications for the Biological Role of Anthocyanins in Vegetative Tissues of Plants. Chem. Eur. J. 2009, 15, 1397–1402. [Google Scholar] [CrossRef] [PubMed]
  22. Massari, S.; Desantis, J.; Nannetti, G.; Sabatini, S.; Tortorella, S.; Goracci, L.; Cecchetti, V.; Loregian, A.; Tabarrini, O. Efficient and Regioselective One-Step Synthesis of 7-Aryl-5-Methyl- and 5-Aryl-7-Methyl-2-Amino-[1,2,4]Triazolo[1,5-a] Pyrimidine Derivatives. Org. Biomol. Chem. 2017, 15, 7944–7955. [Google Scholar] [CrossRef] [PubMed]
  23. Liang, T.; Zhao, H.; Gong, L.; Jiang, H.; Zhang, M. Direct Access to Functionalized Indoles via Single Electron Oxidation Induced Coupling of Diarylamines with 1,3-Dicarbonyl Compounds. Org. Lett. 2019, 21, 6736–6740. [Google Scholar] [CrossRef] [PubMed]
  24. Inagaki, S.; Saito, K.; Suto, S.; Aihara, H.; Sugawara, A.; Tamura, S.; Kawano, T. Synthesis of 5-Aryl-3(2 H)-Furanones Using Intramolecular Cyclization of Sulfonium Salts. J. Org. Chem. 2018, 83, 13834–13846. [Google Scholar] [CrossRef] [PubMed]
  25. Chassaing, S.; Isorez-Mahler, G.; Kueny-Stotz, M.; Brouillard, R. Aged Red Wine Pigments as a Source of Inspiration for Organic Synthesis-The Cases of the Color-Stable Pyranoflavylium and Flavylium-(4→8)-Flavan Chromophores. Tetrahedron 2015, 71, 3066–3078. [Google Scholar] [CrossRef]
  26. Chen, J.-R.; Wong, J.-B.; Kuo, P.-Y.; Yang, D.-Y. Synthesis and Characterization of Coumarin-Based Spiropyran Photochromic Colorants. Org. Lett. 2008, 10, 4823–4826. [Google Scholar] [CrossRef]
  27. Werbovetz, K.; George, T.; Richard, J.; Barszcz, T.; Capers, J. Flavylium Salts as Precursors of Biologically Active Chalcones. Lett. Drug Des. Discov. 2008, 5, 69–73. [Google Scholar] [CrossRef]
  28. Jurd, L. Anthocyanins and Related Compounds. IV. The Synthesis of Coumestrol and Related Coumarinobenzofurans from Flavylium Salts. J. Org. Chem. 1964, 29, 3036–3038. [Google Scholar] [CrossRef]
  29. Kueny-stotz, M.; Chassaing, S.; Brouillard, R.; Nielsen, M.; Goeldner, M. Flavylium Salts as in Vitro Precursors of Potent Ligands to Brain GABA-A Receptors. Bioorg. Med. Chem. Lett. 2008, 18, 4864–4867. [Google Scholar] [CrossRef]
  30. Jurd, L. Anthocyanins and Related Compounds. I. Structural Transformations of Flavylium Salts in Acidic Solutions. J. Org. Chem. 1963, 28, 987–991. [Google Scholar] [CrossRef]
  31. Jurd, L.; Geissman, T.A. Anthocyanins and Related Compounds. II. Structural Transformations of Some Anhydro Bases. J. Org. Chem. 1963, 28, 2394–2397. [Google Scholar] [CrossRef]
  32. Da Silva, C.P.; Pioli, R.M.; Liu, L.; Zheng, S.; Zhang, M.; Silva, G.T.D.M.; Carneiro, V.M.T.; Quina, F.H. Improved Synthesis of Analogues of Red Wine Pyranoanthocyanin Pigments. ACS Omega 2018, 3, 954–960. [Google Scholar] [CrossRef] [PubMed]
  33. Brouillard, R.; Iacobucci, G.A.; Sweeny, J.G. Chemistry of Anthocyanin Pigments. 9. UV-Visible Spectrophotometric Determination of the Acidity Constants of Apigeninidin and Three Related 3-Deoxyflavylium Salts. J. Am. Chem. Soc. 1982, 104, 7585–7590. [Google Scholar] [CrossRef]
  34. Gavrilyuk, I.M.; Ishchenko, A.A.; Kudinova, M.A.; Tolmachev, A.I. Pyrylocyanines. 22. Styrils Derived from Methoxy-Substituted 4-Methylflavylium Salts. Chem. Heterocycl. Compd. 1986, 22, 703–707. [Google Scholar] [CrossRef]
  35. Brouwer, A.M. Standards for Photoluminescence Quantum Yield Measurements in Solution (IUPAC Technical Report). Pure Appl. Chem. 2011, 83, 2213–2228. [Google Scholar] [CrossRef] [Green Version]
  36. Nad, S.; Pal, H. Unusual Photophysical Properties of Coumarin-151. J. Phys. Chem. A 2001, 105, 1097–1106. [Google Scholar] [CrossRef]
  37. Siddique, F.; Silva, C.P.; Silva, G.T.M.; Lischka, H.; Quina, F.H.; Aquino, A.J.A. The Electronic Transitions of Analogs of Red Wine Pyranoanthocyanin Pigments. Photochem. Photobiol. Sci. 2019, 18, 45–53. [Google Scholar] [CrossRef]
  38. Ahlrichs, R.; Bär, M.; Häser, M.; Horn, H.; Kölmel, C. Electronic Structure Calculations on Workstation Computers: The Program System Turbomole. Chem. Phys. Lett. 1989, 162, 165–169. [Google Scholar] [CrossRef]
  39. Weigend, F.; Häser, M.; Patzelt, H.; Ahlrichs, R. RI-MP2: Optimized Auxiliary Basis Sets and Demonstration of Efficiency. Chem. Phys. Lett. 1998, 294, 143–152. [Google Scholar] [CrossRef]
  40. Møller, C.; Plesset, M.S. Note on an Approximation Treatment for Many-Electron Systems. Phys. Rev. 1934, 46, 618–622. [Google Scholar] [CrossRef] [Green Version]
  41. Hättig, C. Structure Optimizations for Excited States with Correlated Second-Order Methods: CC2 and ADC(2). Adv. Quantum Chem. 2005, 50, 37–60. [Google Scholar] [CrossRef]
  42. Hättig, C. Geometry Optimizations with the Coupled-Cluster Model CC2 Using the Resolution-of-the-Identity Approximation. J. Chem. Phys. 2003, 118, 7751–7761. [Google Scholar] [CrossRef]
  43. Martin, R.L. Natural Transition Orbitals. J. Chem. Phys. 2003, 118, 4775–4777. [Google Scholar] [CrossRef]
  44. Plasser, F.; Wormit, M.; Dreuw, A. New Tools for the Systematic Analysis and Visualization of Electronic Excitations. I. Formalism. J. Chem. Phys. 2014, 141, 024106. [Google Scholar] [CrossRef] [Green Version]
  45. Plasser, F.; Lischka, H. Analysis of Excitonic and Charge Transfer Interactions from Quantum Chemical Calculations. J. Chem. Theory Comput. 2012, 8, 2777–2789. [Google Scholar] [CrossRef]
  46. Klamt, A.; Jonas, V. Treatment of the Outlying Charge in Continuum Solvation Models. J. Chem. Phys. 1996, 105, 9972–9981. [Google Scholar] [CrossRef]
  47. Silva, C.P.; Silva, G.T.M.; Costa, T.D.S.; Carneiro, V.M.T.; Siddique, F.; Aquino, A.J.A.; Freitas, A.A.; Clark, J.A.; Espinoza, E.M.; Vullev, V.I.; et al. Chromophores Inspired by the Colors of Fruit, Flowers and Wine. Pure Appl. Chem. 2019, 92, 255–263. [Google Scholar] [CrossRef]
  48. Freitas, A.A.; Maçanita, A.A.L.; Quina, F.H. Improved Analysis of Excited State Proton Transfer Kinetics by the Combination of Standard and Convolution Methods. Photochem. Photobiol. Sci. 2013, 12, 902–910. [Google Scholar] [CrossRef]
  49. Silva, G.T.M.; Silva, C.P.; Gehlen, M.H.; Oake, J.; Bohne, C.; Quina, F.H. Organic/Inorganic Hybrid Pigments from Flavylium Cations and Palygorskite. Appl. Clay Sci. 2018, 162, 478–486. [Google Scholar] [CrossRef]
  50. Silva, G.T.M.; Da Silva, K.M.; Silva, C.P.; Rodrigues, A.C.B.; Oake, J.; Gehlen, M.H.; Bohne, C.; Quina, F.H. Highly Fluorescent Hybrid Pigments from Anthocyanin- and Red Wine Pyranoanthocyanin-Analogs Adsorbed on Sepiolite Clay. Photochem. Photobiol. Sci. 2019, 18, 1750–1760. [Google Scholar] [CrossRef]
  51. Penfold, T.J.; Gindensperger, E.; Daniel, C.; Marian, C.M. Spin-Vibronic Mechanism for Intersystem Crossing. Chem. Rev. 2018, 118, 6975–7025. [Google Scholar] [CrossRef] [PubMed] [Green Version]
  52. Marian, C.M. Understanding and Controlling Intersystem Crossing in Molecules. Annu. Rev. Phys. Chem. 2021, 72, 617–640. [Google Scholar] [CrossRef] [PubMed]
  53. Lower, S.K.; El-Sayed, M.A. The Triplet State and Molecular Electronic Processes in Organic Molecules. Chem. Rev. 1966, 66, 199–241. [Google Scholar] [CrossRef]
  54. Solovyov, K.N.; Borisevich, E.A. Intramolecular Heavy-Atom Effect in the Photophysics of Organic Molecules. Physics-Uspekhi 2005, 48, 231–253. [Google Scholar] [CrossRef]
  55. Baryshnikov, G.; Minaev, B.; Ågren, H. Theory and Calculation of the Phosphorescence Phenomenon. Chem. Rev. 2017, 117, 6500–6537. [Google Scholar] [CrossRef]
  56. Aqdas, A.; Siddique, F.; Nieman, R.; Quina, F.H.; Aquino, A.J.A. Photoacidity of the 7-Hydroxyflavylium Cation. Photochem. Photobiol. 2019, 95, 1339–1344. [Google Scholar] [CrossRef]
  57. Feng, R.; Yu, X.; Autschbach, J. Spin-Orbit Natural Transition Orbitals and Spin-Forbidden Transitions. J. Chem. Theory Comput. 2021, 17, 7531–7544. [Google Scholar] [CrossRef]
  58. Quina, F.H.; Silva, G.T.M. The photophysics of photosensitization: A brief overview. J. Photochem. Photobiol. 2021, 7, 100042. [Google Scholar] [CrossRef]
Scheme 1. Flavylium cation structure of naturally occurring anthocyanins. R = H or Gly(cosyl residue); R2 = OH and R1 and R3 can be H, OH or OCH3.
Scheme 1. Flavylium cation structure of naturally occurring anthocyanins. R = H or Gly(cosyl residue); R2 = OH and R1 and R3 can be H, OH or OCH3.
Photochem 02 00029 sch001
Scheme 2. Typical pH-dependent ground and excited singlet state reactivity of flavylium cations in aqueous solution, illustrated for the 7-hydroxy flavylium cation.
Scheme 2. Typical pH-dependent ground and excited singlet state reactivity of flavylium cations in aqueous solution, illustrated for the 7-hydroxy flavylium cation.
Photochem 02 00029 sch002
Scheme 3. Structures of the 16 flavylium cations.
Scheme 3. Structures of the 16 flavylium cations.
Photochem 02 00029 sch003
Figure 1. Normalized absorption spectra (black) in TFA-acidified isopropanol at room temperature and the corresponding normalized fluorescence (red) and phosphorescence (blue) spectra in a TFA-acidified isopropanol glass (77 K).
Figure 1. Normalized absorption spectra (black) in TFA-acidified isopropanol at room temperature and the corresponding normalized fluorescence (red) and phosphorescence (blue) spectra in a TFA-acidified isopropanol glass (77 K).
Photochem 02 00029 g001
Figure 2. Comparison of the hole and particle natural transition orbitals (NTOs) for the S0→S1 radiative transition of four flavylium cations based on ADC(2)/def2-TZVP calculations in the gas phase.
Figure 2. Comparison of the hole and particle natural transition orbitals (NTOs) for the S0→S1 radiative transition of four flavylium cations based on ADC(2)/def2-TZVP calculations in the gas phase.
Photochem 02 00029 g002
Table 1. Ground-state equilibrium constants for the loss of color of the AH+ form due to hydration and formation of chalcones (pKap) of the compounds without a 4-methyl group and for deprotonation (pKa) of the compounds with OH groups in aqueous solution and absorption maxima and molar absorption coefficients of the compounds in dry acetonitrile containing 0.1 mol L−1 TFA.
Table 1. Ground-state equilibrium constants for the loss of color of the AH+ form due to hydration and formation of chalcones (pKap) of the compounds without a 4-methyl group and for deprotonation (pKa) of the compounds with OH groups in aqueous solution and absorption maxima and molar absorption coefficients of the compounds in dry acetonitrile containing 0.1 mol L−1 TFA.
Flavylium CationpKappKaλmaxεmax
±0.1±0.1nmL mol−1 cm−1
FL1--41728,300
FL2-4.441833,900
FL32.93.946151,800
FL43.75.146047,300
FL53.51st 4.2; 2nd 7.445952,600
FL63.4-46144,800
FL7-4.844743,600
FL8--44651,000
FL9-1st 4.9; 2nd 9.0390 & 44418,400 & 14,200
FL10-1st 5.2; 2nd 8.7385 & 44419,400 & 13,900
FL11-1st 4.2; 2nd 7.2383 & 44519,000 & 14,300
FL12-1st 4.7; 2nd 7.445231,900
FL133.2-47837,800
FL143.2-46021,400
FL15-4.344627,700
FL16--44639,000
Table 2. Fluorescence quantum yields (±10%), lifetimes (±0.1 ns), rate constants and lowest excited singlet state energies of the 16 flavylium cations in dry TFA-acidified acetonitrile at ambient temperature and the lowest excited singlet and triplet energies, S1-T1 energy gaps and triplet lifetimes (±10%) in a TFA-acidified isopropanol glass at 77 K.
Table 2. Fluorescence quantum yields (±10%), lifetimes (±0.1 ns), rate constants and lowest excited singlet state energies of the 16 flavylium cations in dry TFA-acidified acetonitrile at ambient temperature and the lowest excited singlet and triplet energies, S1-T1 energy gaps and triplet lifetimes (±10%) in a TFA-acidified isopropanol glass at 77 K.
Dry CH3CN + 0.1 mol L−1 TFA, 20 °CIsopropanol + 0.1 mol L−1 TFA, 77 K
Flavylium CationΦfτf, ns10−7kf, s−1ES, eV aES, eV aET, eV bEST, eVτT, s
FL10.535.49.82.832.912.310.600.67
FL20.262.6102.792.762.220.540.39
FL30.421.8232.612.672.140.530.76
FL40.0550.2282.622.652.140.510.42
FL50.0650.24272.622.612.130.481.13
FL60.291.5202.612.762.180.581.3
FL70.483.0162.702.702.200.501.6
FL80.683.0222.702.732.240.492.4
FL90.0013<0.2-2.41 c2.412.080.330.009
FL100.00075<0.2-2.41 c2.432.090.340.07
FL110.0011<0.2-2.562.422.140.280.15
FL120.005<0.2-2.552.522.150.370.35
FL130.0014<0.2-2.36 c2.571.960.610.30
FL140.762.2342.612.722.140.580.08
FL150.792.8282.702.712.170.540.11
FL161.002.7372.702.792.200.590.09
a at 10% of the emission maximum, measured from the emission onset. b at the phosphorescence emission maximum. c estimated from the absorption spectrum due to the very weak emission.
Publisher’s Note: MDPI stays neutral with regard to jurisdictional claims in published maps and institutional affiliations.

Share and Cite

MDPI and ACS Style

Silva, G.T.M.; Silva, C.P.; Silva, K.M.; Pioli, R.M.; Costa, T.S.; Marto, V.V.; Freitas, A.A.; Rozendo, J.; Martins, L.M.O.S.; Cavalcante, V.F.; et al. Fluorescence and Phosphorescence of Flavylium Cation Analogues of Anthocyanins. Photochem 2022, 2, 423-434. https://doi.org/10.3390/photochem2020029

AMA Style

Silva GTM, Silva CP, Silva KM, Pioli RM, Costa TS, Marto VV, Freitas AA, Rozendo J, Martins LMOS, Cavalcante VF, et al. Fluorescence and Phosphorescence of Flavylium Cation Analogues of Anthocyanins. Photochem. 2022; 2(2):423-434. https://doi.org/10.3390/photochem2020029

Chicago/Turabian Style

Silva, Gustavo T. M., Cassio P. Silva, Karen M. Silva, Renan M. Pioli, Tássia S. Costa, Vinícius V. Marto, Adilson A. Freitas, Jennifer Rozendo, Lucas M. O. S. Martins, Victor F. Cavalcante, and et al. 2022. "Fluorescence and Phosphorescence of Flavylium Cation Analogues of Anthocyanins" Photochem 2, no. 2: 423-434. https://doi.org/10.3390/photochem2020029

APA Style

Silva, G. T. M., Silva, C. P., Silva, K. M., Pioli, R. M., Costa, T. S., Marto, V. V., Freitas, A. A., Rozendo, J., Martins, L. M. O. S., Cavalcante, V. F., Sun, L., Aquino, A. J. A., Carneiro, V. M. T., & Quina, F. H. (2022). Fluorescence and Phosphorescence of Flavylium Cation Analogues of Anthocyanins. Photochem, 2(2), 423-434. https://doi.org/10.3390/photochem2020029

Article Metrics

Back to TopTop