Effect of Material, Number of Yarns, and Loop Length on Pressure, Stretchability, and Thermal Properties of Seamless Knitted Fabrics for Compression Textiles
Abstract
1. Introduction
2. Materials and Methods
2.1. Knitting Materials
2.2. Fabrication of Knitted Samples
2.3. Evaluation of Fabric
2.4. Statistical Analysis
3. Results and Discussion
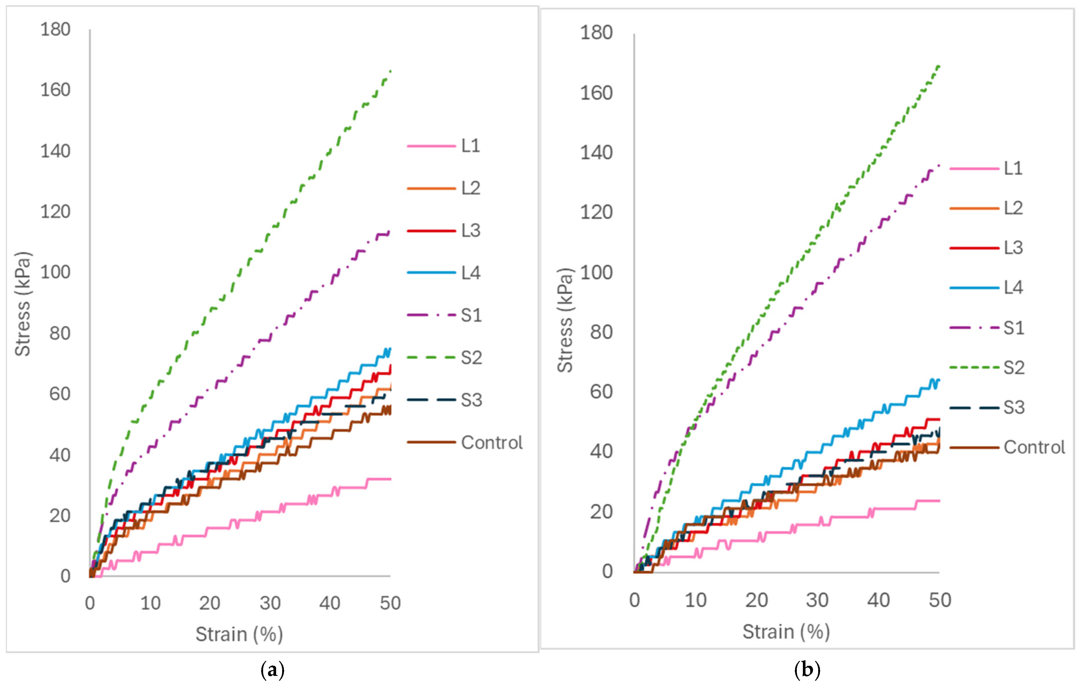
3.1. Stretchability
3.2. Pressure
3.3. Air Permeability, Thermal Conductivity and Water Vapour Permeability
3.3.1. Air Permeability
3.3.2. Thermal Conductivity
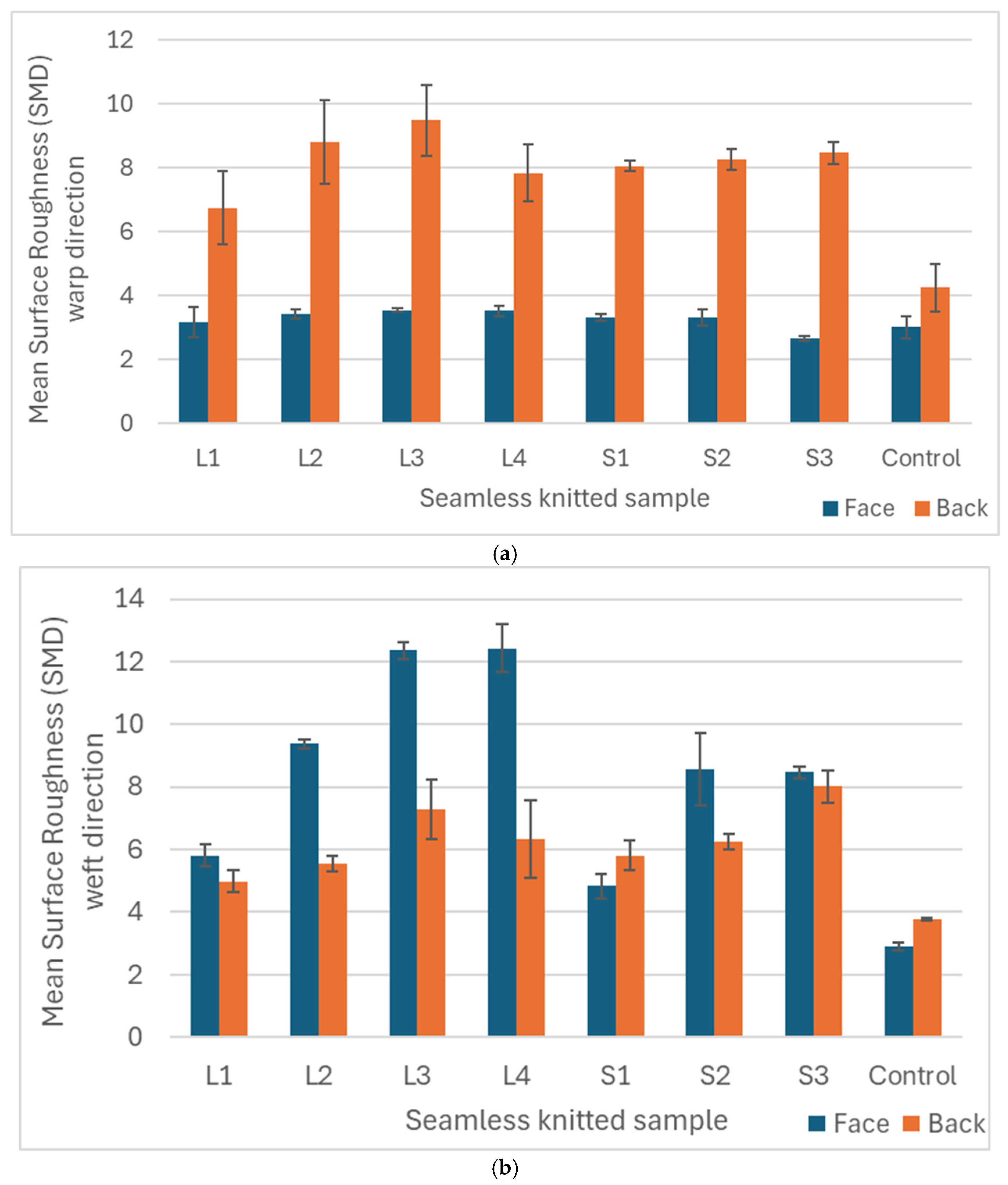
3.3.3. Surface Friction and Roughness
3.3.4. Water Vapour Permeability (WVP)
4. Conclusions
Supplementary Materials
Author Contributions
Funding
Institutional Review Board Statement
Data Availability Statement
Acknowledgments
Conflicts of Interest
References
- Morales Cuenca, G.; Abadia Sanchez, F.; Aguayo Albasini, J.L. What to do (or what «not to do») to increase the use of graduated compression stockings in patients with chronic venous disease? Cir. Española 2022, 100, 522–524. [Google Scholar] [CrossRef]
- Coelho Rezende, G.; O’Flynn, B.; O’Mahony, C. Smart Compression Therapy Devices for Treatment of Venous Leg Ulcers: A Review. Adv. Healthc. Mater. 2022, 11, 2200710. [Google Scholar] [CrossRef] [PubMed]
- Nakashima, N.; Tahara, N.; Sugiyama, Y.; Bekki, M.; Maeda-Ogata, S.; Honda, A.; Goto, C.; Tanaka, S.; Fukumoto, Y. Compression Stockings Improve Lower Legs Symptom in Patients with Pulmonary Artery Hypertension Treated by Pulmonary Vasodilators—A Pilot Study. J. Clin. Med. 2023, 12, 2484. [Google Scholar] [CrossRef] [PubMed]
- Sanchez Jimenez, J.L.; Carrión González, C.; Pérez Soriano, P.; Catalá Vilaplana, I.; Aparicio Aparicio, I. The Review of compression stocking in sports market. Eur. J. Hum. Mov. 2024, 53, 5–31. [Google Scholar] [CrossRef]
- Mota, G.R.; Simim, M.A.d.M.; dos Santos, I.A.; Sasaki, J.E.; Marocolo, M. Effects of Wearing Compression Stockings on Exercise Performance and Associated Indicators: A Systematic Review. Open Access J. Sports Med. 2020, 11, 29–42. [Google Scholar] [CrossRef] [PubMed]
- Lee, D.C.W.; Ali, A.; Sheridan, S.; Chan, D.K.C.; Wong, S.H.S. Wearing Compression Garment Enhances Central Hemodynamics? A Systematic Review and Meta-Analysis. J. Strength Cond. Res. 2022, 36, 2349–2359. [Google Scholar] [CrossRef] [PubMed]
- O’Riordan, S.F.; McGregor, R.; Halson, S.L.; Bishop, D.J.; Broatch, J.R. Sports compression garments improve resting markers of venous return and muscle blood flow in male basketball players. J. Sport Health Sci. 2023, 12, 513–522. [Google Scholar] [CrossRef] [PubMed]
- Franke, T.P.C.; Backx, F.J.G.; Huisstede, B.M.A. Lower extremity compression garments use by athletes: Why, how often, and perceived benefit. BMC Sports Sci. Med. Rehabil. 2021, 13, 31. [Google Scholar] [CrossRef] [PubMed]
- Pérez-Soriano, P.; García-Roig, Á.; Sanchis-Sanchis, R.; Aparicio, I. Influence of compression sportswear on recovery and performance: A systematic review. J. Ind. Text. 2019, 48, 1505–1524. [Google Scholar] [CrossRef]
- Brubacher, K.; Rossi, R.M.; Kankariya, N. Efficacy of Compression Garments in Medical and Sports Applications. In Compression Textiles for Medical, Sports, and Allied Applications; CRC Press: Boca Raton, FL, USA, 2024; pp. 139–156. [Google Scholar]
- Kankariya, N. Material, structure, and design of textile-based compression devices for managing chronic edema. J. Ind. Text. 2022, 52, 1–35. [Google Scholar] [CrossRef]
- Xiong, Y.; Tao, X. Compression Garments for Medical Therapy and Sports. Polymers 2018, 10, 663. [Google Scholar] [CrossRef]
- Zadekhast, R.; Asayesh, A. The Effect of Fabric Structure on the Compression Behavior of Rib Weft Knitted Fabrics. Fibers Polym. 2021, 22, 2878–2884. [Google Scholar] [CrossRef]
- Chattopadhyay, R.; Rossi, R.M.; Kankariya, N. Materials and Structure of Compression Bandages and Stocking Devices; CRC Press: Boca Raton, FL, USA, 2024; pp. 15–30. [Google Scholar]
- Lozo, M.; Lovričević, I.; Pavlović, Ž.; Vrljičak, Z. Designing compression of preventive compression stockings. J. Eng. Fibers Fabr. 2021, 16, 1–12. [Google Scholar] [CrossRef]
- Sarı, B.; Oğlakcıoğlu, N. Analysis of the parameters affecting pressure characteristics of medical stockings. J. Ind. Text. 2018, 47, 1083–1096. [Google Scholar] [CrossRef]
- Li, N.W.; Yick, K.-L.; Yu, A.; Ning, S. Mechanical and Thermal Behaviours of Weft-Knitted Spacer Fabric Structure with Inlays for Insole Applications. Polymers 2022, 14, 619. [Google Scholar] [CrossRef] [PubMed]
- Li, N.W.; Kwan, M.-Y.; Yick, K.-L. Pressure and Thermal Behavior of Elastic Polyurethane and Polyamide Knitted Fabrics for Compression Textiles. Polymers 2025, 17, 831. [Google Scholar] [CrossRef] [PubMed]
- RAL-GZ 387/1; Medical Compression Hosiery. RAL Deutsches Institut für Gütesicherung und Kennzeichnung e.V.: Sankt Augustin, Germany, 2008.
- Li, N.W.; Kwan, M.-y.; Yick, K.-l. Graduated compression stocking performance: Insights from wearers and development of a cost-effective 3D-printed leg mannequin. Text. Res. J. 2025, 95, 1375–1386. [Google Scholar] [CrossRef]
- Partsch, H.; Schuren, J.; Mosti, G.; Benigni, J.P. The Static Stiffness Index: An important parameter to characterise compression therapy in vivo. J. Wound Care 2016, 25, S4–S10. [Google Scholar] [CrossRef] [PubMed]
- Kisiel, M.; Thoppey, N.M.; Morlock, M.M.; Bannwarth, S. Stiffness in compression therapy: Analytical estimation of pressure changes beneath textile compression devices. Text. Res. J. 2025, 95, 599–610. [Google Scholar] [CrossRef]










| Factor | Level | |||
|---|---|---|---|---|
| Yarn number | 2 | 4 | ||
| Loop length | 4.6 | 5.0 | 5.2 | 5.5 |
| Yarn type | (A) 43D 69% Nylon 31% Lycra (Double low power) | (B) 90D 86% nylon 14% spandex (High Power) | (C) 94dtex 80% Polyamide 6.6 20% Lycra (100% Elongation) | (D) 25D 77% Nylon 23% spandex (High Power) |
| Yarn | Yarn Count | Material | Supplier |
|---|---|---|---|
| A | 43D | 69% Nylon 31% Lycra (Double low power) | Daiya FUKUSHOKU Co., Ltd., Japan |
| B | 90D | 86% nylon 14% spandex (High Power) | Sun Hing Elastic Covering Factory Limited, Hong Kong, China |
| C | 94dtex | 80% Polyamide 6.6 20% Lycra (100% Elongation) | W. Zimmermann GmbH & Co. KG, Weiler-Simmerberg, Germany |
| D | 25D | 77% Nylon 23% spandex (High Power) | Sun Hing Elastic Covering Factory Limited, Hong Kong, China |
| Fabric Component | L1–L3 | S1–S2 | S3 |
|---|---|---|---|
| Main yarn (without float) | Yarn C | Yarn C | Yarn C |
| Auxiliary yarn (with float) | Yarn A | Yarn B | Yarn D |
| Knitting notations of punch-lace structure | ![]() | ||
| Fabric Code | Yarn Number | Loop Length | Weight per Unit Area (g/m2) | Thickness (mm) | Microscopic View of Fabric | ||||
|---|---|---|---|---|---|---|---|---|---|
| Yarn A | Yarn B | Yarn C | Yarn D | Front | Back | ||||
| L1 | 2 | 2 | 5.50 | 266.12 | 1.27 | ![]() | ![]() | ||
| L2 | 2 | 4 | 5.50 | 337.96 | 1.53 | ![]() | ![]() | ||
| L3 | 2 | 4 | 5.00 | 335.51 | 1.52 | ![]() | ![]() | ||
| L4 | 2 | 4 | 4.60 | 325.71 | 1.54 | ![]() | ![]() | ||
| S1 | 2 | 2 | 5.20 | 343.67 | 1.49 | ![]() | ![]() | ||
| S2 | 2 | 4 | 5.20 | 452.24 | 1.77 | ![]() | ![]() | ||
| S3 | 2 | 2 | 5.50 | 270.20 | 1.39 | ![]() | ![]() | ||
| Control | 2 | 5.20 | 242.45 | 1.00 | ![]() | ![]() | |||
| Property | Parameter | Device | Testing Standard |
|---|---|---|---|
| Thickness | Thickness under 4 gf/cm2 pressure | Thickness gauge (Model BC1110-1-04, AMES LOGIC Basic, USA) | ASTM D1777-96 (2019): Standard Test Method for Thickness of Textile Materials; ASTM International: West Conshohocken, PA, USA, 2019. |
| Pressure | Pressure | Leg mannequin with an AMI air-pack pressure sensor (AMI3037-SB-SET, SANKO TSUSHO Co., Ltd., Tokyo, Japan) | DS/CEN/TR 15831 Medical Compression Hosiery—Recommendations for Testing of Hosiery; European Committee for Standardisation (CEN): Brussels, Belgium, 2009. |
| Stretchability | Load, strain | Tensile tester (5566, Instron®, Norwood, MA, USA) | CEN. EN 14704-1:2005 Determination of the Elasticity of Fabrics—Part 1: Strip Tests; European Committee for Standardisation (CEN): Brussels, Belgium, 2005. |
| Fabric growth | Tensile tester (5566, Instron®, Norwood, MA, USA) | ASTM D3107-07 (2019) Standard Test Method for Stretch Properties of Fabrics Woven from Stretch Yarns; ASTM International: West Conshohocken, PA, USA, 2019. | |
| Air permeability | Ventilation resistance | Air permeability tester (KES-F8-AP1, KATO Tech Co., Ltd., Kyoto, Japan) | ASTM D737-18 Standard Test Method for Air Permeability of Textile Fabrics; ASTM International: West Conshohocken, PA, USA, 2018. |
| Thermal comfort | Water vapour transmission rate | Cup method in accordance with the standard | ASTM E96/E96M-16: Standard Test Methods for Water Vapour Transmission of Materials; ASTM International: West Conshohocken, PA, USA, 2016. |
| Thermal conductivity | Thermal measuring unit (KES-F7 Thermo Labo II, KATO Tech Co., Ltd., Kyoto, Japan) | JIS L 1927:2010: Testing Methods for Cool Feeling of Textiles; Japanese Standards Association: Tokyo, Japan, 2010. | |
| Surface | Surface roughness, surface friction | Surface Tester (KES-FB4-A, KATO Tech Co., Ltd., Kyoto, Japan) | JIS B 0601:2013: Geometrical Product Specifications (GPS)—Surface Texture: Profile Method—Terms, Definitions and Surface Texture Parameters; Japanese Standards Association: Tokyo, Japan, 2013. |
Disclaimer/Publisher’s Note: The statements, opinions and data contained in all publications are solely those of the individual author(s) and contributor(s) and not of MDPI and/or the editor(s). MDPI and/or the editor(s) disclaim responsibility for any injury to people or property resulting from any ideas, methods, instructions or products referred to in the content. |
© 2026 by the authors. Licensee MDPI, Basel, Switzerland. This article is an open access article distributed under the terms and conditions of the Creative Commons Attribution (CC BY) license.
Share and Cite
Li, N.W.; Kwan, M.-Y.; Yick, K.-L. Effect of Material, Number of Yarns, and Loop Length on Pressure, Stretchability, and Thermal Properties of Seamless Knitted Fabrics for Compression Textiles. Textiles 2026, 6, 39. https://doi.org/10.3390/textiles6020039
Li NW, Kwan M-Y, Yick K-L. Effect of Material, Number of Yarns, and Loop Length on Pressure, Stretchability, and Thermal Properties of Seamless Knitted Fabrics for Compression Textiles. Textiles. 2026; 6(2):39. https://doi.org/10.3390/textiles6020039
Chicago/Turabian StyleLi, Nga Wun, Mei-Ying Kwan, and Kit-Lun Yick. 2026. "Effect of Material, Number of Yarns, and Loop Length on Pressure, Stretchability, and Thermal Properties of Seamless Knitted Fabrics for Compression Textiles" Textiles 6, no. 2: 39. https://doi.org/10.3390/textiles6020039
APA StyleLi, N. W., Kwan, M.-Y., & Yick, K.-L. (2026). Effect of Material, Number of Yarns, and Loop Length on Pressure, Stretchability, and Thermal Properties of Seamless Knitted Fabrics for Compression Textiles. Textiles, 6(2), 39. https://doi.org/10.3390/textiles6020039


















